Effects of NaCl Stress on the Growth, Physiological Characteristics and Anatomical Structures of Populus talassica × Populus euphratica Seedlings
Abstract
1. Introduction
2. Results
2.1. Effects of Salinity on P. talassica × P. euphratica Growth
2.1.1. Effects of Different Concentrations of NaCl-Stress Treatments on Leaf Length, Leaf Width, Leaf Area, Leaf Number and the Survival Rate of P. talassica × P. euphratica
2.1.2. Effects of Different Concentrations of NaCl-Stress Treatments on P. talassica × P. euphratica Biomass
2.1.3. Effects of Different Concentrations of NaCl-Stress Treatments on P. talassica × P. euphratica Root Vitality
2.1.4. Effects of Different Concentrations of NaCl-Stress Treatments on the Plant Height, Ground Diameter and Crown Width of P. talassica × P. euphratica
2.2. Effects of Different Concentrations of NaCl-Stress Treatments on P. talassica × P. euphratica Physiological Properties
2.2.1. Effects of Different Concentrations of NaCl-Stress Treatments on Leaf Surface Salt Secretion of P. talassica × P. euphratica
2.2.2. Effects of Different Concentrations of NaCl-Stress Treatments on the Diurnal Variation in the P. talassica × P. euphratica Leaf Water Potential
2.2.3. Effects of Different Concentrations of NaCl-Stress Treatments on the Relative Water Contents and Water Saturation Deficits of P. talassica × P. euphratica Leaves
2.2.4. Effects of Different Concentrations of NaCl-Stress Treatments on the P. talassica × P. euphratica Leaf Chlorophyll Content
2.2.5. Effects of Different Concentrations of NaCl-Stress Treatments on the Size, and the Opening and Closing, of P. talassica × P. euphratica Leaf Stomata
2.2.6. Effects of Different Concentrations of NaCl-Stress Treatments on the Photosynthetic Characteristics of P. talassica × P. euphratica Leaves
2.2.7. Effects of Different Concentrations of NaCl-Stress Treatments on the Contents of MDA, Pro, Soluble Sugar and Soluble Protein in P. talassica × P. euphratica Leaves
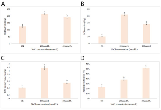
2.2.8. Effects of Different Concentrations of NaCl-Stress Treatments on the Activities of Three Antioxidant Enzymes and the Relative Conductivity in P. talassica × P. euphratica Leaves
2.3. Effects of Different Concentrations of NaCl-Stress Treatments on the Root, Stem and Leaf Anatomy of P. talassica × P. euphratica
2.3.1. Effects of Different Concentrations of NaCl-Stress Treatments on the Leaf Anatomy of P. talassica × P. euphratica
2.3.2. Effects of Different Concentrations of NaCl-Stress Treatments on the Stem Anatomy of P. talassica × P. euphratica
2.3.3. Effects of Different Concentrations of NaCl-Stress Treatments on the Root Anatomy of P. talassica × P. euphratica
3. Materials and Methods
3.1. Overview of the Study Area
3.2. Plant Material and Imposition of Salt Stress
3.3. Growth Index Measurement Methods
3.4. Physiological Index Measurement Methods
3.5. Determination of the Anatomical Structural Index of Roots, Stems, and Leaves
3.6. Data Processing and Analyses
4. Discussion
4.1. Growth Characteristics of P. talassica × P. euphratica
4.2. Physiological Characteristics of P. talassica × P. euphratica
4.3. Anatomical Characteristics of P. talassica × P. euphratica Roots, Stems and Leaves
4.3.1. Anatomical Features of P. talassica × P. euphratica Leaves
4.3.2. Anatomical Features of P. talassica × P. euphratica Stems
4.3.3. Anatomical Features of P. talassica × P. euphratica Roots
5. Conclusions
Author Contributions
Funding
Institutional Review Board Statement
Informed Consent Statement
Data Availability Statement
Conflicts of Interest
Abbreviations
| RWC | Relative water content |
| WSD | Water saturation deficit |
| POD | Peroxidase |
| SOD | Superoxide dismutase |
| CAT | Catalase |
| MDA | Malondialdehyde |
| Pro | Proline |
| Pn | Net photosynthetic rate |
| Tr | Transpiration rate |
| Ci | Intercellular CO2 concentration |
| Gs | Stomatal conductance |
| Ls | Stomatal limitation |
| WUE | Water Use Efficiency |
| CP | Palisade tissue thickness/Spongy tissue thickness |
References
- Liang, Y.; Yang, C.; Shi, H. Effects of silicon on growth and mineral composition of barley grown under toxic levels of aluminum. J. Plant Nutr. 2001, 24, 229–243. [Google Scholar] [CrossRef]
- Min, Z.; Juntuan, Z.; Zhanjiang, H.; Jianyin, S.; Yang, S. Effect of NaCl on survival rate and physiological characteristics of Populus talassica × P. euphratica. J. Tarim Univ. 2021, 33, 15–22. [Google Scholar]
- Hongyou, T.; Jianyin, S.; Zhanjiang, H.; Menghan, B.; Yang, S.; Min, Z. Physiological Response of Populus talassica × P. euphratica to Na2SO4 Environment. Chin. Agric. Sci. Bull. 2021, 37, 38–42. [Google Scholar]
- Pitman, M.G.; Luchli, A. Global Impact of Salinity and Agricultural Ecosystems; Springer: Amsterdam, The Netherlands, 2004; pp. 3–20. [Google Scholar]
- Golldack, D.; Li, C.; Mohan, H.; Nina, P. Tolerance to drought and salt stress in plants: Unraveling the signaling networks. Front. Plant 2014, 5, 151. [Google Scholar] [CrossRef]
- Yamaguchi, T.; Blumwald, E. Developing salt-tolerant crop plants: Challenges and opportunities. Trends Plant Sci. 2005, 10, 615–620. [Google Scholar] [CrossRef]
- Tang, X.; Mu, X.; Shao, H.; Wang, H.; Brestic, M. Global plant-responding mechanisms to salt stress: Physiological and molecular levels and implications in biotechnology. Crit. Rev. Biotechnol. 2015, 35, 425–437. [Google Scholar] [CrossRef]
- Stepien, P.; Johnson, G.N. Contrasting responses of photosynthesis to salt stress in the glycophyte Arabidopsis and the halophyte Thellungiella: Role of the plastid terminal oxidase as an alternative electron sink. Plant Physiol. 2009, 149, 1154–1165. [Google Scholar] [CrossRef]
- Bohnert, H.J.; Cushman, J.C. The ice plant cometh: Lessons in abiotic stress tolerance. J. Plant Growth Regul. 2000, 19, 334–346. [Google Scholar] [CrossRef]
- Bohnert, H.J.; Nelson, D.E.; Jensen, R.G. Adaptations to Environmental Stresses. Plant Cell 1995, 7, 1099–1111. [Google Scholar] [CrossRef]
- Flowers, T.J.; Colmer, T.D. Salinity Tolerance in Halophytes—Flowers; New Phytologist; Wiley Online Library: Hoboken, NJ, USA, 2008; pp. 945–963. [Google Scholar]
- Flowers, T.J.; Troke, P.F.; Yeo, A.R. The mechanism of salt tolerance in halophytes. Annu. Rev. Plant Physiol. 1977, 28, 89–121. [Google Scholar] [CrossRef]
- Flowers, T.J.; Galal, H.K.; Bromham, L. Evolution of halophytes: Multiple origins of salt tolerance in land plants. Funct. Plant Biol. 2010, 37, 604–612. [Google Scholar] [CrossRef]
- Flowers, T.J.; Hajibagheri, M.A.; Clipson, N.J.W. Halophytes: Sussex research online. Q. Rev. Biol. 1986, 61, 313–337. [Google Scholar] [CrossRef]
- Santos, J.; Al-Azzawi, M.; Aronson, J.; Flowers, T.J. eHALOPH a database of salt-tolerant plants: Helping put halophytes to work. Plant Cell Physiol. 2015, 57, e10. [Google Scholar] [CrossRef] [PubMed]
- Sun, X.; Gao, Y.; Wang, D.; Chen, J.; Zhang, F.; Zhou, J.; Yan, X.; Li, Y.; Luo, Z.-B. Stoichiometric variation of halophytes in response to changes in soil salinity. Plant Biology. 2017, 19, 360–367. [Google Scholar] [CrossRef]
- Duarte, B.; Santos, D.; Marques, J.C.; Caçador, I. Ecophysiological constraints of two invasive plant species under a saline gradient: Halophytes versus glycophytes. Estuar. Coast. Shelf Sci. 2015, 167, 154–165. [Google Scholar] [CrossRef]
- Evlakov, P.M.; Zapletin, V.Y.; Rzhevsky, S.G. Salt stress effect on morphometrical and anatomical leaf traits of promising poplar biotypes. IOP Conf. Ser. Earth Environ. Sci. 2019, 392, 012041. [Google Scholar] [CrossRef]
- Sixto, H.; Grau, J.M.; Alba, N.; ALÍA, R. Response to sodium chloride in different species and clones of genus Populus L. Forestry 2005, 78, 93–104. [Google Scholar] [CrossRef]
- Sixto, H.; Aranda, I.; Grau, J.M. Assessment of salt tolerance in Populus alba clones using chlorophyll flfluorescence. Photosynthetica 2006, 44, 169–173. [Google Scholar] [CrossRef]
- Ma, H.C.; Fung, L.; Wang, S.S.; Altman, A.; Hüttermann, A. Photosynthetic response of Populus euphratica to salt stress. For. Ecol. Manag. 1997, 93, 55–61. [Google Scholar] [CrossRef]
- Fung, L.E.; Wang, S.S.; Altman, A.; Hütterman, A. Effect of NaCl on growth, photosynthesis, ion and water relations of four poplar genotypes—ScienceDirect. For. Ecol. Manag. 1998, 107, 135–146. [Google Scholar] [CrossRef]
- Chen, S.; Li, J.; Wang, S.; Altman, A.; Hüttermann, A. Salt, nutrient uptake and transport, and ABA of Populus euphratica; A hybrid in response to increasing soil NaCl. Trees Struct. Funct. 2001, 15, 186–194. [Google Scholar] [CrossRef]
- Chen, S.; Li, J.; Wang, S.; Altman, A.; Hüttermann, A. Sodium and chloride distribution in roots and transport in three poplar genotypes under increasing NaCl stress. For. Ecol. Manag. 2002, 168, 217–230. [Google Scholar] [CrossRef]
- Chen, S.; Li, J.; Wang, S.; Fritz, E.; Hüttermann, A.; Altman, A. Effects of NaCl on shoot growth, transpiration, ion compartmentation, and transport in regenerated plants of Populus euphratica and Populus tomentosa. Can. J. For. Res. 2003, 33, 967–975. [Google Scholar] [CrossRef]
- Beritognolo, I.; Piazzai, M.; Benucci, S.; Kuzminsky, E.; Sabatti, M.; Mugnozza, G.S.; Muleo, R. Functional characterisation of three Italian Populus alba L. genotypes under salinity stress. Trees 2007, 21, 465–477. [Google Scholar] [CrossRef]
- Imada, S.; Yamanaka, N.; Tamai, S. Effects of salinity on the growth, Na partitioning, and Na dynamics of a salt-tolerant tree, Populus alba L. J. Arid. Environ. 2009, 73, 245–251. [Google Scholar] [CrossRef]
- Gu, R.; Fonseca, S.; Puskas, L.G.; Hackler, L.; Zvara, A.; Dudits, D.; Pais, M.S. Transcript identification and profiling during salt stress and recovery of Populus euphratica. Tree Physiol. 2004, 24, 265–276. [Google Scholar] [CrossRef]
- Chen, S.; Wang, S.; Arie, A.; Huttermann, A. Genotypic variation in drought tolerance of poplar in relation to abscisic acid. Tree Physiol. 1997, 17, 797–803. [Google Scholar] [CrossRef]
- Chen, J.; Xia, X.; Yin, W. Expression profiling and functional characterization of a DREB2-type gene from Populus euphratica. Biochem. Biophys. Res. Commun. 2009, 378, 483–487. [Google Scholar] [CrossRef]
- Bradshaw, H.D.; Ceulemans, R.; Davis, J.; Stettler, R. Emerging model systems in plant biology: Poplar (Populus) as a model forest tree. J. Plant Growth Regul. 2000, 19, 306–313. [Google Scholar] [CrossRef]
- Liu, Y.; Han, Z.J.; Su, M.X.; Zhang, M. Transcriptomic profile analysis of P. talassica × P. euphratica response and tolerance under salt stress conditions. Genes 2022, 13, 1032. [Google Scholar] [CrossRef]
- Chen, S.; Polle, A. Salinity tolerance of Populus. Plant Biol. 2010, 12, 317–333. [Google Scholar] [CrossRef]
- Munns, R. Physiological processes limiting plant growth in saline soils: Some dogmas and hypotheses. Plant Cell Environ. 1993, 16, 15–24. [Google Scholar] [CrossRef]
- Mehari, A.; Ericsson, T.; Weih, M. Effects of NaCl on seedling growth, biomass production and water status of Acacia nilotica and A. tortilis. J. Arid. Environ. 2005, 62, 343–349. [Google Scholar] [CrossRef]
- Shu, G. The possible mechanisms of NaCl inhibit photosythesis of maize seedlings. Acta Photophysiol. Sin. 2001, 27, 461–466. [Google Scholar]
- Kylin, A.; Quatrano, R.S. Plants in Saline environments. In Ecologicol Studies, Analysis and Synthesis; Springer: Berlin/Heidelberg, Germany, 1975; pp. 147–167. [Google Scholar]
- Parida, A.K.; Das, A.B. Salt tolerance and salinity effects on plants: A review. Ecotoxicol. Environ. Saf. 2005, 60, 324–349. [Google Scholar] [CrossRef]
- Zhu, Z.; Chen, J.; Zheng, H.L. Physiological and proteomic characterization of salt tolerance in a mangrove plant Bruguiera gymnorrhiza (L.). Lam. Tree Physiol. 2012, 32, 1378–1388. [Google Scholar] [CrossRef]
- Al-Khaliel, A.S. Effect of salinity stress on mycorrhizal association and growth response of peanut infected by Glomus mosseae. Plant Soil Environ. 2010, 56, 318–324. [Google Scholar] [CrossRef]
- Hassan, F.; Ali, E. Effects of salt stress on growth, antioxidant enzyme activity and some other physiological parameters in jojoba [Simmondsia chinensis (Link) Schneider] plant. Aust. J. Crop Sci. 2014, 8, 1615–1624. [Google Scholar]
- Orcen, N. Effect of salt stress on plant growth and physiological parameters of common glasswort (Salicornia europaea). Int. J. Biosci. Law 2016, 8, 218–227. [Google Scholar]
- Chen, M.; Chen, Y.; Zhang, Y.; Song, B. Determination of soluble protein in potato by attenvated total reflection mid-infrared spectroscopy. J. Chin. Cereals Oils Assoc. 2018, 33, 118–126. [Google Scholar]
- Fayek, M.A.; Fayed, T.A.; El-Sayed, E.H.; Ebtesam, E. Comparative impacts of salt stress on survival and leaf anatomy traits in olive genotypes. Biosci. Res. 2018, 15, 565–574. [Google Scholar]
- Zhuang, L.; Li, W.H.; Yuan, F.; Gong, W.; Tian, Z. Ecological adaptation characteristics of Populus euphratica and Tamarix ramosissima leaf microstructures in the lower reaches of Tarim River. Acta Ecol. Sin. 2010, 30, 62–66. [Google Scholar] [CrossRef]
- Bui, E.N. Soil salinity: A neglected factor in plant ecology and biogeography. J. Arid. Environ. 2013, 92, 14–25. [Google Scholar] [CrossRef]
- Shi, D.; Sheng, Y. Effect of various salt-alkaline mixed stress conditions on sunflower seedlings and analysis of their stress factors. Environ. Exp. Bot. 2005, 54, 8–21. [Google Scholar] [CrossRef]
- Li, R.; Shi, F.; Fukuda, K. Interactive effects of various salt and alkali stresses on growth, organic solutes, and cation accumulation in a halophyte Spartina alterniflora (Poaceae). Environ. Exp. Bot. 2010, 68, 66–74. [Google Scholar] [CrossRef]
- Ramoliya, P.J.; Pandey, A.N. Effect of salinization of soil on emergence, growth and survival of seedlings of Cordia rothii. For. Ecol. Manag. 2003, 176, 185–194. [Google Scholar] [CrossRef]
- Lacerda, C.; Cambraia, J.; Oliva, M.A.; Ruiz, H.A. Changes in growth and in solute concentrations in sorghum leaves and roots during salt stress recovery. Environ. Exp. Bot. 2005, 54, 69–76. [Google Scholar] [CrossRef]
- Nobel, L. Salinity effects on leaf anatomy. Plant Physiol. 1979, 63, 700–703. [Google Scholar]
- Maas, E.V. Crop salt tolerance–current assessment. J. Irrig. Drain. Div. 1977, 103, 115–134. [Google Scholar] [CrossRef]
- Ruigang, W.; Shaoliang, C.; Xiaoyang, Z.; Shen, X.; Deng, L.; Zhu, H.; Shao, J.; Shi, Y.; Dai, S.; Fritz, E.; et al. lonic homeostasis and reactive oxygen species control in leaves and xylem sap of two poplars subjected to NaCl stress. Tree Physiol. 2008, 28, 947–957. [Google Scholar]
- Chang, Y.; Chen, S.; Yin, W.; Wang, R.; Liu, Y.; Shi, Y.; Shen, Y.; Li, Y.; Jiang, J.; Liu, Y. Growth, gas exchange, abscisic acid, and calmodulin response to salt stress in three poplars. J. Integr. Plant Biol. 2006, 48, 8. [Google Scholar] [CrossRef]
- Evers, D.; Schmit, C.; Mailliet, Y.; Hausman, J.F. Growth characteristics and biochemical changes of poplar shoots in vitro under sodium chloride stress. J. Plant Physiol. 1997, 151, 748–753. [Google Scholar] [CrossRef]
- Munns, R.; Tester, M. Mechanisms of salinity tolerance. Annu. Rev. Plant Biol. 2008, 59, 651–681. [Google Scholar] [CrossRef]
- Watanabe, S.; Kojima, K.; Ide, Y.; Sasaki, S. Effects of saline and osmotic stress on proline and sugar accumulation in Populus euphratica in vitro. Plant Cell Tissue Organ Cult. 2000, 63, 199–206. [Google Scholar] [CrossRef]
- Ashraf, M.; Arfan, M.; Ahmad, A. Salt tolerance in Okra: Ion relations and gas exchange characteristics. J. Plant Nutr. 2003, 26, 63–79. [Google Scholar] [CrossRef]
- Liu, J.; Guo, W.Q.; Shi, D.C. Seed germination, seedling survival, and physiological response of sunflowers under saline and alkaline conditions. Photosynthetica 2010, 48, 278–286. [Google Scholar] [CrossRef]
- Wei, Y.; Xu, X.; Tao, H.; Wang, P. Growth performance and physiological response in the halophyte Lycium barbarum grown at salt-affected soil. Ann. Appl. Biol. 2010, 149, 263–269. [Google Scholar] [CrossRef]
- Shams, M.; Yildirim, E.; Ekinci, M.; Metin, T.; Atilla, D.; Fazilet, P.; Raziye, K. Exogenously applied glycine betaine regulates some chemical characteristics and antioxidative defence systems in lettuce under salt stress. Hortic. Environ. Biotechnol. 2016, 57, 225–231. [Google Scholar] [CrossRef]
- Bijanzadeh, E.; Emam, Y. Effects of salt stress on root anatomy and hydraulic conductivity of barley cultivars. Iran Agric. Res. 2015, 34, 71–79. [Google Scholar]
- Cavalcanti, F.R.; Lima, J.; Ferreira-Silva, S.L.; Metin, T.; Atilla, D.; Fazilet, P.; Raziye, K. Roots and leaves display contrasting oxidative response during salt stress and recovery in cowpea. J. Plant Physiol. 2007, 164, 591–600. [Google Scholar] [CrossRef]
- Zhang, L.; Chen, B.; Zhang, G.; Li, J.; Wang, Y.; Meng, Y.; Zhou, Z. Effect of soil salinity, soil drought, and their combined action on the biochemical characteristics of cotton roots. Acta Physiol. Plant. 2013, 35, 3167–3179. [Google Scholar] [CrossRef]
- Saied, A.S.; Keutgen, A.J.; Noga, G. The influence of NaCl salinity on growth, yield and fruit quality of strawberry cvs. ‘Elsanta’ and ‘Korona’. Sci. Hortic. 2005, 103, 289–303. [Google Scholar] [CrossRef]
- Bolu, W.H.; Polle, A. Growth and stress reactions in roots and shoots of a salt-sensitive poplar species (Populus x canescens). Trop. Ecol. 2004, 45, 997–1005. [Google Scholar]
- Shabala, S.; Bose, J.; Hedrich, R. Salt bladders: Do they matter? Trends Plant Sci. 2014, 19, 687–691. [Google Scholar] [CrossRef] [PubMed]
- Esau, K. Plant Anatomy, 2nd ed.; John Wiley: New York, NY, USA, 1965. [Google Scholar]
- Yuan, F.; Leng, B.; Wang, B. Progress in studying salt secretion from the salt glands in recretohalophytes: How do plants secrete salt? Front. Plant Sci. 2016, 7, 977. [Google Scholar] [CrossRef]
- Fanjiang, C.; Ximing, Z.; Xiangyi, L.; Foetzki, A.; Runge, M. Seasonal variation of Tamarix ramosissima and Populus euphratica water potentials in southern fringe of Taklamakan Desert. Chin. J. Appl. Ecol. 2005, 16, 1389–1393. [Google Scholar]
- Romero-Aranda, R.; Soria, T.; Cuartero, J. Tomato plant-water uptake and plant-water relationships under saline growth conditions. Plant Science. 2001, 160, 265–272. [Google Scholar] [CrossRef]
- Zhu, J.K. Plant salt tolerance. Trends Plant Sci. 2001, 6, 66–71. [Google Scholar] [CrossRef]
- Arndt, S.K. Growth, physiological characteristics and ion distribution of NaCl stressed Alhagi sparsifolia seedlings. Chin. Sci. Bull. 2008, 53, 169–176. [Google Scholar]
- Lee, G.; Carrow, R.N.; Duncan, R.R. Growth and water relation responses to salinity stress in halophytic seashore paspalum ecotypes. Sci. Hortic. 2005, 104, 221–236. [Google Scholar] [CrossRef]
- Gadallah, M.A.A. Effects of indole-3-acetic acid and zinc on the growth, osmotic potential and soluble carbon and nitrogen components of soybean plants growing under water deficit. J. Arid. Environ. 2000, 44, 451–467. [Google Scholar] [CrossRef]
- Shalhevet, J. Plants under salt and water stress. In Plant Adaptation to Environmental Stress; Fowden, L., Mansfield, T., Stoddart, J., Eds.; Chapman and Hall: London, UK, 1993; pp. 133–154. [Google Scholar]
- Jing, C.; Lv, X.Y.; Chen, L.; Xing, J.; Lan, H. Effects of salinity on the growth, physiology and relevant gene expression of an annual halophyte grown from heteromorphic seeds. AoB PLANTS 2015, 7, 2016. [Google Scholar]
- Gorai, M.; Ennajeh, M.; Khemira, H.; Neffati, M. Influence of NaCl-salinity on growth, photosynthesis, water relations and solute accumulation in Phragmites australis. Acta Physiol. Plant. 2011, 33, 963–971. [Google Scholar] [CrossRef]
- Chalermpol, S.K. Proline accumulation, photosynthetic abilities and growth characters of Sugarcane (Saccharum officinarum L.) plantlets in response to iso-osmotic salt and water-deficit stress. Agric. Sci. China 2009, 8, 51–58. [Google Scholar]
- Rao, S.; Du, C.; Li, A.; Xia, X.; Yin, W.; Chen, J. Salicylic acid alleviated salt damage of Populus euphratica: A physiological and transcriptomic analysis. Forests 2019, 10, 423. [Google Scholar] [CrossRef]
- Li, J.Y.; Zhao, C.Y.; Li, J.; Yan, Y.Y.; Yu, B.; Han, M. Growth and leaf gas exchange in Populus euphratica across soil water and salinity gradients. Photosynth. Int. J. Photosynth. Res. 2013, 51, 321–329. [Google Scholar] [CrossRef]
- Sharkey, T.D.; Sharkey, T. Water stress effect on photosynthesis. Photosynthetica 1990, 24, 651–656. [Google Scholar]
- Rosario, M.; Maurizio, S.; Grazia, A.; Moica, P.; Isacco, B. Leaf morphological plasticity and stomatal conductance in three Populus alba L. genotypes subjected to salt stress. Environ. Exp. Bot. 2009, 66, 381–388. [Google Scholar]
- Alkan, N.; Sözen, M.Ş.; Kurtaş, Ö. Morphological and anatomical responses of two Palestinian tomato (Solanum lycopersicon L.) cultivars to salinity during seed germination and early growth stages. Acad. J. 2013, 12, 4789–4797. [Google Scholar]
- Rajput, V.D.; Chen, Y.; Ayup, M. Effects of high salinity on physiological and anatomical indices in the early stages of Populus euphratica growth. Russ. J. Plant Physiol. 2015, 62, 229–236. [Google Scholar] [CrossRef]
- Qiu, R.; Katul, G.G. Maximizing leaf carbon gain in varying saline conditions: An optimization model with dynamic mesophyll conductance. Plant J. 2019, 101, 543–554. [Google Scholar] [CrossRef] [PubMed]
- Chen, T.W.; Kahlen, K.; Stützel, H. Disentangling the contributions of osmotic and ionic effects of salinity on stomatal, mesophyll, biochemical and light limitations to photosynthesis. Plant Cell Env. 2015, 38, 1528–1542. [Google Scholar] [CrossRef] [PubMed]
- Sun, J.; Li, L.; Liu, M.; Wang, M.; Ding, M.; Deng, S.; Lu, C.; Zhou, X.; Shen, X.; Zheng, X.; et al. Hydrogen peroxide and nitric oxide mediate K+/Na+ homeostasis and antioxidant defense in NaCl-stressed callus cells of two contrasting poplars. Plant Cell Tissue Organ Cult. 2010, 103, 205–215. [Google Scholar] [CrossRef]
- Agarwal, S.; Pandey, V. Antioxidant enzyme responses to NaCl stress in Cassia angustifolia. Biol. Plant. 2004, 48, 555–560. [Google Scholar] [CrossRef]
- Roy, S.J.; Negrão, S.; Tester, M. Salt resistant crop plants. Curr. Opin. Biotechnol. 2014, 26, 115–124. [Google Scholar] [CrossRef] [PubMed]
- Eltarawy, M.O. Physiological Studies on Olive Transplants; Faculty of Agriculture, Benha University: Benha, Egypt, 2017. [Google Scholar]
- Mohsen, A.M.; El-Mosallamy, H.M.; El-Hefnawy, S.M. Some anatomical features of guava seedlings in response to soil moisture and soil salinity. 1.-leaf structure [Egypt]. Zagazig J. Agric. Res. 1987, 14, 1–22. [Google Scholar]
- Salem, S.E.; Moustafa, S.S. Effect of some citrus rootstocks on the growth and mineral content of Washington navel orange seedlings. Adv. Space Res. 1990, 37, 1932–1937. [Google Scholar]
- Sherin, A.S. Studies on Growth of Olive Plants under Salt Stress; Department of Pomology, Faculty of Agriculture, Cairo University: Cairo, Egypt, 2002. [Google Scholar]
- Pfeiffer, T.U.; Ivna, T.; Marina, H.; Zanic, M.; Pavicic, N.; Cesar, V.; Lepedus, H. Comparative study of leaf anatomy and certain biochemical traits in two Olive cultivars. Agric. Conspec. Sci. 2010, 75, 91–97. [Google Scholar]
- Karimi, E.; Abdolzadeh, A.; Sadeghipour, H.R. Increasing salt tolerance in Olive, Olea europaea L. plants by supplemental potassium nutrition involves changes in ion accumulation and anatomical attributes. Int. J. Plant Prod. 2012, 3, 1735–6814. [Google Scholar]
- Rashid, P.; Ahmed, A. Anatomical adaptations of Myriostachya wightiana Hook. F. to salt stress. Dhaka Univ. J. Biol. Sci. 2011, 20, 205–208. [Google Scholar] [CrossRef]
- Baloch, A.H.; Gates, P.J.; Baloch, G.M. Anatomical changes brought about by salinity in stem, leaf and root of Arabidopsis thaliana (L.) Heynh (thale cress). Sarhad J. Agric. 1998, 14, 131–142. [Google Scholar]
- Younis, A.; Riaz, A.; Ikram, S.; Nawaz, T.; Hameed, M.; Fatima, S.; Batool, R.; Ahmad, F. Salinity-induced structural and functional changes in 3 cultivars of Alternanthera bettzickiana (Regel) G. Nicholson. Turk. J. Agric. For. 2013, 37, 674–687. [Google Scholar] [CrossRef]
- Hameed, M.; Ashraf, M.; Naz, N.; Al-Qurainy, F. Anatomical adaptations of Cynodon dactylon (L.) Pers. from the salt range (Pakistan) to salinity stress. II. Leaf anatomy. Pak. J. Bot. 2013, 45, 133–142. [Google Scholar]
- Awasthi, O.P.; Pathak, R.K. Effect of salinity levels on survival and anatomy of four scion cultivars budded on Indian jujuba. Hort. J. 1999, 12, 53–59. [Google Scholar]
- Hameed, M.; Chaudhry, A.A.; Maan, M.A.; Anwar, H.G. Diversity of plant species in Lal Suhanra National Park, Bahawalpur, Pakistan. J. Biol. Sci. 2002, 2, 267–274. [Google Scholar]
- Mansoor, U.; Hameed, M.; Wahid, A.; Rao, A.R. Ecotypic variability for drought resistance in Cenchrus ciliaris L. Germplasm from cholistan desert in Pakistan. Int. J. Agric. Biol. 2002, 4, 392–397. [Google Scholar]
- Nawazish, S.; Hameed, M.; Naurin, S. Leaf anatomical adaptations of Cenchrus ciliaris L. from the Salt Range, Pakistan against drought stress. Pak. J. Bot. 2006, 38, 1723–1730. [Google Scholar]
- Ping, A.; Shinobu, I.; Li, X.; Hideyuki, S.; Eiichi, T. Root characteristics in salt tolerance. Root Res. 2009, 12, 125–132. [Google Scholar]
- Reinhardt, D.H.; Rost, T.L. On the correlation of primary root growth and tracheary element size and distance from the tip in cotton seedlings grown under salinity. Environ. Exp. Bot. 1995, 35, 575–588. [Google Scholar] [CrossRef]
- Serrato, V.G.; Melone, L.; Orsi, O.; Riveros, F. Anatomical changes in Prosopis cineraria (L.) Druce seedlings growing at different levels of NaCl salinity. Ann. Bot. 1992, 70, 399–404. [Google Scholar]
- Miloud, T.; Rabah, C.; Khadidja, B.; Abdelkarim, F. Search for physiological and anatomical parameters of salt tolerance in beans (Phaseolus vulgaris L.). Int. J. Biosci. 2017, 11, 184–197. [Google Scholar]
- Abdelkarim, F. Root anatomy and growth responses of soybean (Glycine max (L.) Merr.) ‘Wilis’ to NaCl stress. Trop. Agric. 2017, 209–218. [Google Scholar] [CrossRef]
- Hacke, U.G.; Sperry, J.S.; Wheeler, J.K. Scaling of angiosperm xylem structure with safety and efficiency. Tree Physiol. 2006, 26, 689–701. [Google Scholar] [CrossRef]
- Flowers, T.J.; Rana, M.; Colmer, T.D. Sodium chloride toxicity and the cellular basis of salt tolerance in halophytes. Ann. Bot. 2015, 115, 419–431. [Google Scholar] [CrossRef]













| NaCl | Leaf Area | Leaf Length | Average Leaf Width | Number of Leaves | Survival Rate |
|---|---|---|---|---|---|
| (mmol/L) | (cm2) | (cm) | (cm) | (Pieces) | (%) |
| CK | 10.07 ± 0.18 b | 10.24 ± 0.22 b | 0.90 ± 0.07 a | 17.60 ± 1.14 b | 100.00 ± 0.00 a |
| 200 | 10.60 ± 0.35 a | 11.04 ± 0.24 a | 0.98 ± 0.16 a | 19.80 ± 0.84 a | 100.00 ± 0.00 a |
| 400 | 8.56 ± 0.23 c | 7.10 ± 0.16 c | 0.67 ± 0.04 b | 15.20 ± 0.84 c | 91.60 ± 1.14 b |
| NaCl | Aboveground Biomass | Underground Biomass | Whole Plant Biomass | Root to Shoot Ratio |
|---|---|---|---|---|
| (mmol/L) | (g) | (g) | (g) | |
| CK | 7.49 ± 0.53 a | 4.33 ± 0.30 b | 11.82 ± 0.70 a,b | 0.58 ± 0.04 b |
| 200 | 7.91 ± 0.30 a | 5.41 ± 0.51 a | 13.32 ± 0.58 a | 0.68 ± 0.07 a |
| 400 | 6.12 ± 0.47 b | 4.49 ± 0.46 b | 10.61 ± 0.93 b | 0.73 ± 0.02 a |
| NaCl | Length | Surface Area | Volume | Average Diameter | Number of Forks |
|---|---|---|---|---|---|
| (mmol/L) | (cm) | (cm2) | (cm3) | (mm) | |
| CK | 1080.35 ± 81.94 b | 459.76 ± 58.56 b | 39.54 ± 2.79 b | 0.99 ± 0.03 b,c | 3475.80 ± 328.77 b |
| 200 | 1703.38 ± 144.41 a | 620.01 ± 57.51 a | 51.06 ± 4.17 a | 1.22 ± 0.31 a,b | 6068.40 ± 652.26 a |
| 400 | 769.91 ± 171.04 c | 330.47 ± 51.10 c | 29.82 ± 1.37 c | 0.87 ± 0.08 b,c | 2574.40 ± 572.54 c |
| Growth Indexes (cm) | NaCl (mmol/L) | ||
|---|---|---|---|
| CK | 200 mmol/L | 400 mmol/L | |
| Crown width before NaCl treatment (cm) | 12.88 ± 0.18 a | 12.84 ± 0.24 a | 12.87 ± 0.19 a |
| Crown width 45 d after NaCl treatment (cm) | 15.77 ± 0.25 b | 16.97 ± 0.29 a | 14.92 ± 0.30 c |
| Relative crown growth (cm) | 2.89 ± 0.17 b | 4.13 ± 0.25 a | 2.05 ± 0.16 c |
| Plant height before NaCl treatment (cm) | 9.97 ± 0.32 a | 10.02 ± 0.32 a | 10.04 ± 0.27 a |
| Plant height 45 d after NaCl treatment (cm) | 10.68 ± 0.32 b | 11.06 ± 0.32 a | 10.45 ± 0.23 b |
| Relative plant height growth (cm) | 0.71 ± 0.07 b | 1.04 ± 0.07 a | 0.41 ± 0.10 c |
| Ground diameter before NaCl treatment (cm) | 0.71 ± 0.02 a | 0.71 ± 0.02 a | 0.70 ± 0.02 a |
| Ground diameter 45 d after NaCl treatment (cm) | 1.20 ± 0.03 b | 1.35 ± 0.07 a | 1.08 ± 0.04 c |
| Relative ground diameter growth (cm) | 0.49 ± 0.01 b | 0.65 ± 0.05 a | 0.39 ± 0.02 c |
| NaCl | Chlorophyll a Content | Chlorophyll b Content | Chlorophyll a/b | Total Chlorophyll Content | Carotene Content |
|---|---|---|---|---|---|
| (mmol/L) | (mg/g) | (mg/g) | (mg/g) | (mg/g) | |
| CK | 13.80 ± 1.37 a | 4.40 ± 0.47 a | 3.14 ± 0.07 a | 18.20 ± 1.84 a | 3.26 ± 0.30 a |
| 200 | 9.19 ± 0.82 b | 2.93 ± 0.31 b | 3.14 ± 0.14 a | 12.13 ± 1.10 b | 2.13 ± 0.16 b |
| 400 | 4.48 ± 0.72 c | 1.49 ± 0.25 c | 3.01 ± 0.15 b | 5.98 ± 0.97 c | 1.18 ± 0.11 c |
| NaCl | Stomatal Length | Stomatal Width | Stomatal Area | Stomatal Density | Stomatal Area Index | Proportion of Opened Stomata |
|---|---|---|---|---|---|---|
| (mmol/L) | (μm) | (μm) | (μm2) | (number mm−2) | (%) | (%) |
| CK | 32.98 ± 0.69 a | 14.92 ± 1.15 a | 328.23 ± 5.41 a | 573.12 ± 14.52 a | 0.18 ± 0.01 a | 0.44 ± 0.02 a |
| 200 | 31.20 ± 0.82 a | 12.08 ± 0.49 b | 283.87 ± 6.63 b | 474.31 ± 23.88 b | 0.14 ± 0.01 b | 0.32 ± 0.02 b |
| 400 | 22.65 ± 2.10 b | 8.22 ± 0.98 c | 123.34 ± 8.68 c | 350.99 ± 12.31 c | 0.04 ± 0.01 c | 0.15 ± 0.03 c |
| NaCl | Palisade Tissue Thickness | Spongy Tissue Thickness | Blade Thickness | CP | The Tightness of the Blade Structure |
|---|---|---|---|---|---|
| (mmol/L) | (μm) | (μm) | (μm) | ||
| CK | 274.12 ± 12.42 c | 423.31 ± 12.06 a | 762.85 ± 17.90 a | 0.66 ± 0.04 c | 0.36 ± 0.01 c |
| 200 | 365.40 ± 17.77 b | 377.43 ± 13.68 b | 790.79 ± 16.36 b | 0.83 ± 0.03 b | 0.46 ± 0.02 b |
| 400 | 451.25 ± 10.45 a | 319.91 ± 14.45 c | 812.78 ± 20.25 c | 1.30 ± 0.04 a | 0.56 ± 0.01 a |
| NaCl | Epidermal Thickness | Cortical Thickness | Phloem Thickness | Xylem Thickness | Pith Diameter |
|---|---|---|---|---|---|
| (mmol/L) | (μm) | (μm) | (μm) | (μm) | (μm) |
| CK | 20.58 ± 1.75 c | 59.90 ± 4.05 c | 325.85 ± 8.14 c | 761.71 ± 24.96 c | 921.67 ± 13.22 c |
| 200 | 26.13 ± 1.17 b | 74.94 ± 3.82 b | 402.36 ± 9.81 b | 819.33 ± 6.30 b | 1026.27 ± 28.47 b |
| 400 | 29.66 ± 0.84 a | 92.32 ± 1.98 a | 479.27 ± 22.23 a | 859.22 ± 17.34 a | 1169.68 ± 48.38 a |
| NaCl | Peripheral Thickness | Phloem Thickness | Xylem Thickness | Xylem Vessel Diameter | Root Cross Section Diameter |
|---|---|---|---|---|---|
| (mmol/L) | (μm) | (μm) | (μm) | (μm) | (μm) |
| CK | 19.95 ± 1.32 a,b | 629.44 ± 52.66 c | 1739.67 ± 88.77 c | 121.26 ± 8.09 c | 2510.32 ± 106.45 c |
| 200 | 19.42 ± 1.14 b | 786.87 ± 37.04 b | 2140.24 ± 112.59 b | 167.14 ± 6.28 b | 3113.67 ± 132.22 b |
| 400 | 21.19 ± 1.75 a | 960.38 ± 49.10 a | 3405.23 ± 214.93 a | 234.69 ± 12.66 a | 4621.50 ± 231.73 a |
Publisher’s Note: MDPI stays neutral with regard to jurisdictional claims in published maps and institutional affiliations. |
© 2022 by the authors. Licensee MDPI, Basel, Switzerland. This article is an open access article distributed under the terms and conditions of the Creative Commons Attribution (CC BY) license (https://creativecommons.org/licenses/by/4.0/).
Share and Cite
Liu, Y.; Su, M.; Han, Z. Effects of NaCl Stress on the Growth, Physiological Characteristics and Anatomical Structures of Populus talassica × Populus euphratica Seedlings. Plants 2022, 11, 3025. https://doi.org/10.3390/plants11223025
Liu Y, Su M, Han Z. Effects of NaCl Stress on the Growth, Physiological Characteristics and Anatomical Structures of Populus talassica × Populus euphratica Seedlings. Plants. 2022; 11(22):3025. https://doi.org/10.3390/plants11223025
Chicago/Turabian StyleLiu, Ying, Mengxu Su, and Zhanjiang Han. 2022. "Effects of NaCl Stress on the Growth, Physiological Characteristics and Anatomical Structures of Populus talassica × Populus euphratica Seedlings" Plants 11, no. 22: 3025. https://doi.org/10.3390/plants11223025
APA StyleLiu, Y., Su, M., & Han, Z. (2022). Effects of NaCl Stress on the Growth, Physiological Characteristics and Anatomical Structures of Populus talassica × Populus euphratica Seedlings. Plants, 11(22), 3025. https://doi.org/10.3390/plants11223025

