Adoption of Sustainable Agriculture Practices through Participatory Research: A Case Study on Galapagos Islands Farmers Using Water-Saving Technologies
Abstract
1. Introduction
2. Results
2.1. Participation of Farmers
2.2. Effect of Water-Saving Technologies on the Selected Crop Traits
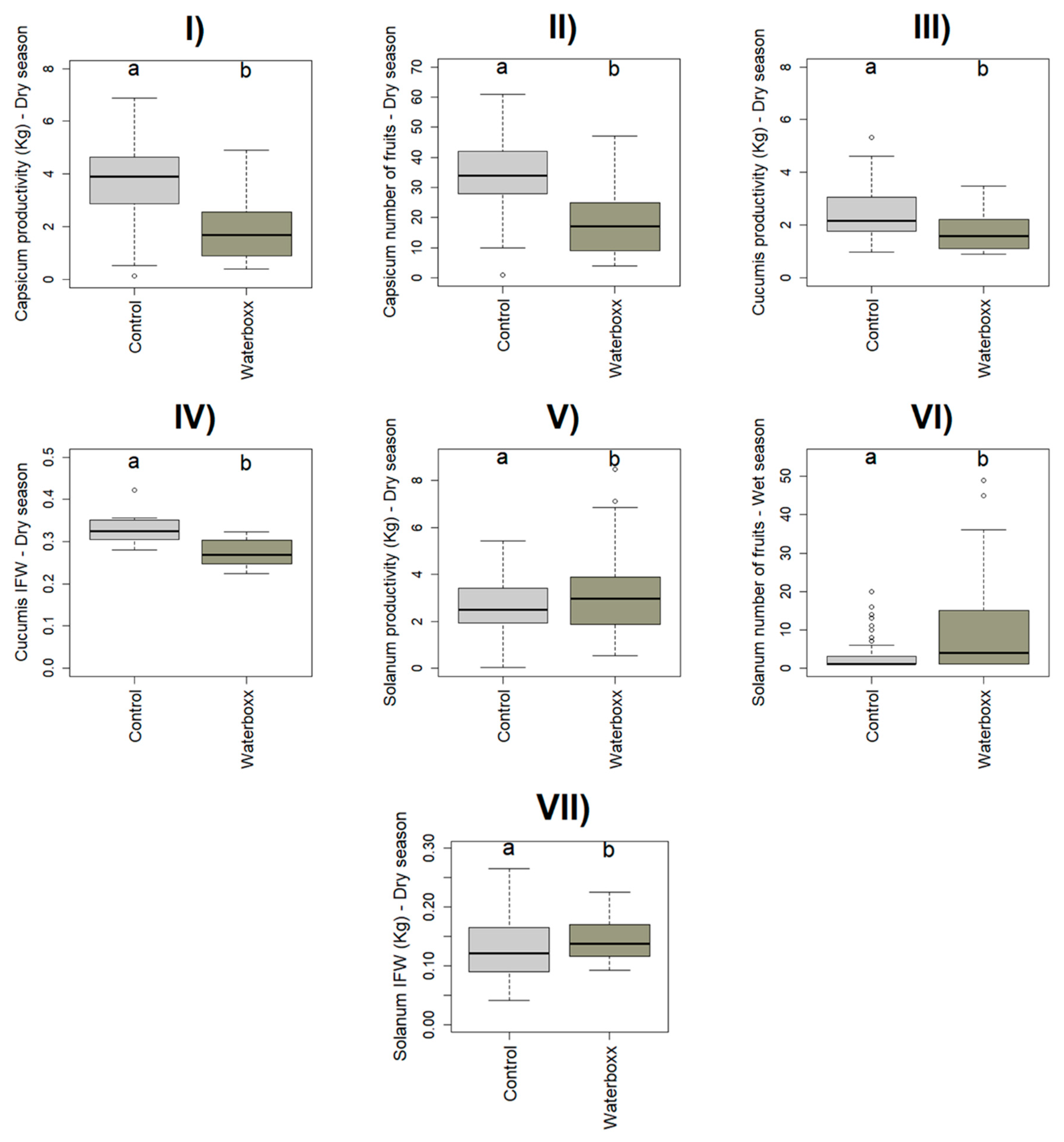
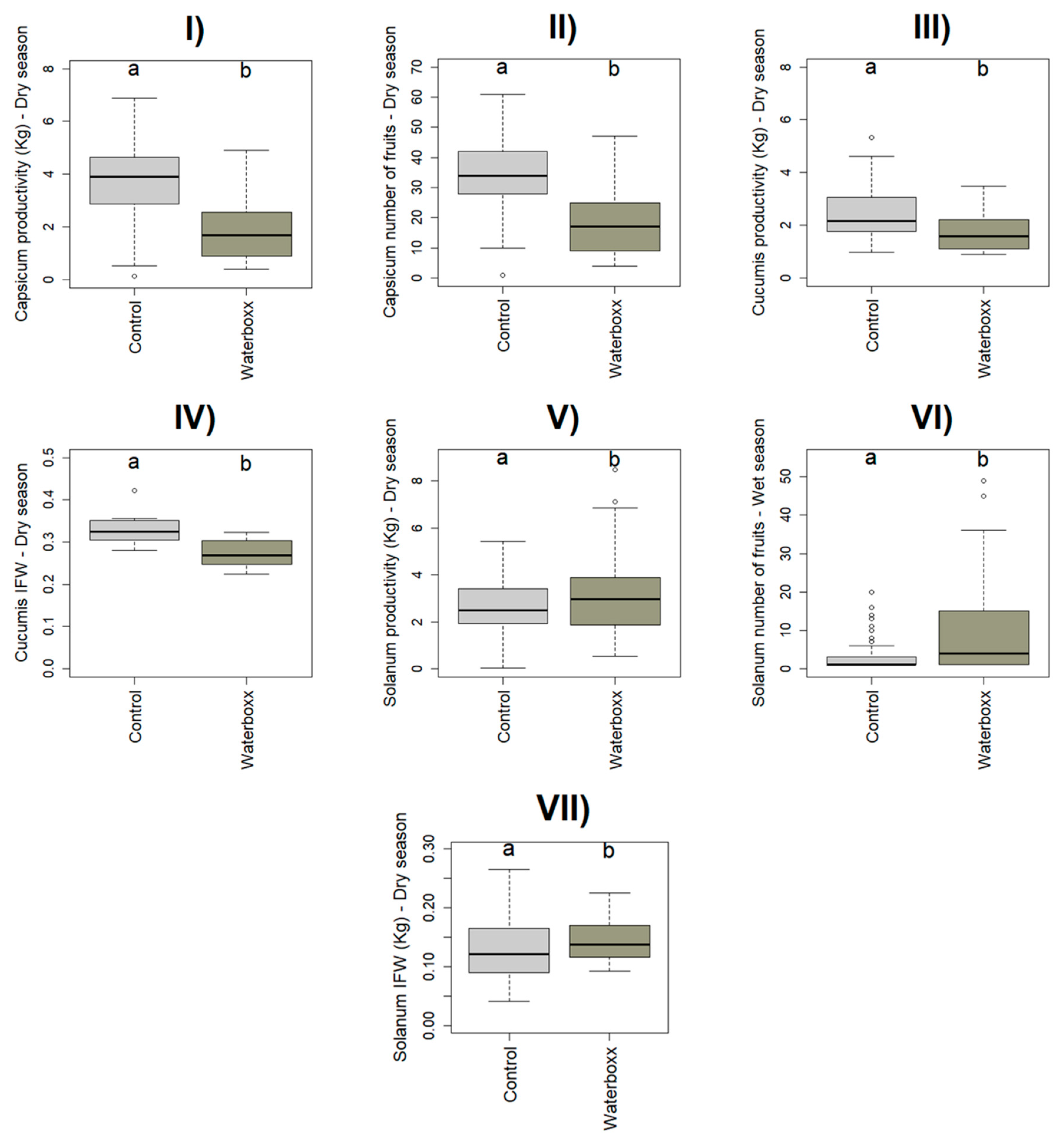
2.2.1. Plant Productivity
2.2.2. Number of Fruits
2.2.3. Mean Individual Fruit Weight (IFW)
2.2.4. Effect of the Research Year on Treatments
2.2.5. Effect of the Treatments on Maximum Plant Height
2.2.6. Correlation between Maximum Plant Height and Total Productivity
3. Discussion
4. Materials and Methods
4.1. Selection of Participants
4.2. Study Sites
4.3. Experimental Process
4.3.1. Crops Selection
4.3.2. Water-Saving Technology (WST)
4.3.3. Watering Schedule
4.3.4. Monitoring of Productivity
4.3.5. Data Analysis
5. Conclusions
Supplementary Materials
Author Contributions
Funding
Institutional Review Board Statement
Informed Consent Statement
Data Availability Statement
Acknowledgments
Conflicts of Interest
References
- Aare, A.K.; Lund, S.; Hauggaard-Nielsen, H. Exploring transitions towards sustainable farming practices through participatory research—The case of Danish farmers’ use of species mixtures. Agric. Syst. 2021, 189, 103053. [Google Scholar] [CrossRef]
- Markard, J.; Raven, R.; Truffer, B. Sustainability transitions: An emerging field of research and its prospects. Res. Policy 2012, 41, 955–967. [Google Scholar] [CrossRef]
- Loorbach, D.; Frantzeskaki, N.; Avelino, F. Sustainability Transitions Research: Transforming Science and Practice for Societal Change. Annu. Rev. Environ. Resour. 2017, 42, 599–626. [Google Scholar] [CrossRef]
- Jaramillo, P.; Lorenz, S.; Ortiz, G.; Cueva, P.; Jiménez, E.; Ortiz, J.; Rueda, D.; Freire, M.; Gibbs, J.P.; Tapia, W. Galapagos Verde 2050: An Opportunity to Restore Degraded Ecosystems and Promote Sustainable Agriculture in the Archipelago. In Galapagos Report 2013–2014; GNPD: Puerto Ayora, Ecuador, 2015; pp. 133–143. [Google Scholar]
- Hoff, P. Groasis Technology: Manual de Instrucciones de Plantación. Planting manual Groasis Waterboxx® Plant Cocoon—Groasis Has Been Designated as National Icon by the Dutch Government for being one of the 3 Most Innovative Projects of The Netherlands 2014. Available online: https://www.groasis.com/es/manuales/como-plantar-arboles-sin-agua-extra (accessed on 10 October 2022).
- Snell, H.M.; Stone, P.A.; Snell, H. A summary of geographical characteristics of the Galapagos Islands. J. Biogeogr. 1996, 23, 619–624. [Google Scholar] [CrossRef]
- Guyot-Téphany, J.; Grenier, C.; Orellana, D. Uses, Perceptions and Management of Water in Galapagos. In Galapagos Report 2011–2012; GNPD, GCREG, CDF, GC, Eds.; GNPD: Puerto Ayora, Ecuador, 2013; pp. 67–75. [Google Scholar]
- Ozouville, N. Fresh Water: The Reality of a Critical Resource. In Galapagos Report 2006–2007; GNPD: Puerto Ayora, Ecuador, 2007; pp. 146–150. [Google Scholar]
- Watson, J.; Trueman, M.; Tufet, M.; Henderson, S.; Atkinson, R. Mapping terrestrial anthropogenic degradation on the inhabited islands of the Galapagos Archipelago. Oryx 2009, 44, 79–82. [Google Scholar] [CrossRef]
- Reyes, M.F.; Trifunović, N.; Sharma, S.; Behzadian, K.; Kapelan, Z.; Kennedy, M.D. Mitigation Options for Future Water Scarcity: A Case Study in Santa Cruz Island (Galapagos Archipelago). Water 2017, 9, 597. [Google Scholar] [CrossRef]
- Collins, A.; Bush, M. An analysis of modern pollen representation and climatic conditions on the Galápagos Islands. Holocene 2010, 21, 237–250. [Google Scholar] [CrossRef]
- Mena, C.F.; Paltán, H.A.; Benitez, F.L.; Sampedro, C.; Valverde, M. Threats of Climate Change in Small Oceanic Islands: The Case of Climate and Agriculture in the Galapagos Islands, Ecuador. In Land Cover and Land Use Change on Islands: Social & Ecological Threats to Sustainability; Walsh, S.J., Riveros-Iregui, D., Arce-Nazario, J., Page, P.H., Eds.; Springer International Publishing: Cham, Switzerland, 2020; pp. 119–135. [Google Scholar] [CrossRef]
- Gerzabek, M.H.; Bajraktarevic, A.; Keiblinger, K.; Mentler, A.; Rechberger, M.; Tintner, J.; Wriessnig, K.; Gartner, M.; Valenzuela, X.S.; Troya, A.; et al. Agriculture changes soil properties on the Galápagos Islands—Two case studies. Soil Res. 2019, 57, 201. [Google Scholar] [CrossRef]
- Pimbert, M. Towards Food Sovereignty; International Institute of Environment and Development: London, UK, 2009. [Google Scholar]
- Mourad, K.; Hosseini, S.; Avery, H. The Role of Citizen Science in Sustainable Agriculture. Sustainability 2020, 12, 10375. [Google Scholar] [CrossRef]
- Pagliarino, E.; Orlando, F.; Vaglia, V.; Rolfo, S.; Bocchi, S. Participatory research for sustainable agriculture: The case of the Italian agroecological rice network. Eur. J. Futur. Res. 2020, 8, 7. [Google Scholar] [CrossRef]
- Farrington, J.; Martin, A.M. Farmer participatory research: A review of concepts and recent fieldwork. Agric. Adm. Ext. 1988, 29, 247–264. [Google Scholar] [CrossRef]
- Snapp, S.S.; DeDecker, J.; Davis, A.S. Farmer Participatory Research Advances Sustainable Agriculture: Lessons from Michigan and Malawi. Agron. J. 2019, 111, 2681–2691. [Google Scholar] [CrossRef]
- Ruzzante, S.; Labarta, R.; Bilton, A. Adoption of agricultural technology in the developing world: A meta-analysis of the empirical literature. World Dev. 2021, 146, 105599. [Google Scholar] [CrossRef]
- Beza, E.; Steinke, J.; Van Etten, J.; Reidsma, P.; Fadda, C.; Mittra, S.; Mathur, P.; Kooistra, L. What are the prospects for citizen science in agriculture? Evidence from three continents on motivation and mobile telephone use of resource-poor farmers. PLoS ONE 2017, 12, e0175700. [Google Scholar] [CrossRef] [PubMed]
- Kerr, R.B.; Snapp, S.; Chirwa, M.; Shumba, L.; Msachi, R. Participatory Research on Legume Diversification with Malawian Smallholder Farmers for Improved Human Nutrition and Soil Fertility. Exp. Agric. 2007, 43, 437–453. [Google Scholar] [CrossRef]
- Toledo, A. Rentabilidad de la producción agrícola en Santa Cruz, Galápagos. In Ensayos Económicos del Sector Agrícola de Galápagos, 1st ed.; Viteri, C., Darwin, F.C., Eds.; Conservación Internacional Ecuador y Ministerio de Agricultura Ganadería Acuacultura y Pesca: Santa Cruz Galápagos, Ecuador, 2019; pp. 8–48. [Google Scholar]
- Adams, C.R. Principles of Horticulture; Routledge: London, UK, 2011. [Google Scholar] [CrossRef]
- Bose, T.K.; Kabir, J.; Das, P.; Joy, P.P. Tropical Horticulture. Volume 2; Naya Prokash: Calcutta, India, 2001. [Google Scholar]
- Bakker, J.C. Analysis of Humidity Effects on Growth and Production of Glasshouse Fruit Vegetables. Ph.D. Thesis, Wageningen University and Research, Wageningen, The Netherlands, 1991. [Google Scholar]
- Nunes, M.C.D.N. Impact of environmental conditions on fruit and vegetable quality. Stewart Postharvest Rev. 2008, 4, 4. [Google Scholar] [CrossRef]
- Galapagos Conservancy. Galapagos Vital Signs: A Satellite-Based Environmental Monitoring System for the Galapagos Archi-pelago. Available online: www.galapagosvitalsigns.org (accessed on 10 September 2022).
- Argyris, J.; Truco, M.J.; Ochoa, O.; Knapp, S.J.; Still, D.W.; Lenssen, G.M.; Schut, J.W.; Michelmore, R.W.; Bradford, K.J. Quantitative trait loci associated with seed and seedling traits in Lactuca. Theor. Appl. Genet. 2005, 111, 1365–1376. [Google Scholar] [CrossRef]
- Pereira, M.; Lee, M. Identification of genomic regions affecting plant height in sorghum and maize. Theor. Appl. Genet. 1995, 90, 380–388. [Google Scholar] [CrossRef]
- Bannayan, M.; Lotfabadi, S.S.; Sanjani, S.; Mohamadian, A.; Aghaalikhani, M. Effects of precipitation and temperature on crop production variability in northeast Iran. Int. J. Biometeorol. 2010, 55, 387–401. [Google Scholar] [CrossRef]
- Shams, G.; Ranjbar, M.; Amiri, A. Effect of silver nanoparticles on concentration of silver heavy element and growth indexes in cucumber (Cucumis sativus L. negeen). J. Nanopart. Res. 2013, 15, 1630. [Google Scholar] [CrossRef]
- Méndez, V.E.; Caswell, M.; Gliessman, S.R.; Cohen, R. Integrating Agroecology and Participatory Action Research (PAR): Lessons from Central America. Sustainability 2017, 9, 705. [Google Scholar] [CrossRef]
- Salembier, C.; Segrestin, B.; Berthet, E.; Weil, B.; Meynard, J.-M. Genealogy of design reasoning in agronomy: Lessons for supporting the design of agricultural systems. Agric. Syst. 2018, 164, 277–290. [Google Scholar] [CrossRef]
- Geladi, I.; Henry, P.-Y.; Mauchamp, A.; Couenberg, P.; Fessl, B. Conserving Galapagos landbirds in agricultural landscapes: Forest patches of native trees needed to increase landbird diversity and abundance. Biodivers. Conserv. 2021, 30, 2181–2206. [Google Scholar] [CrossRef]
- Percy, M.S.; Schmitt, S.R.; Riveros-Iregui, D.A.; Mirus, B.B. The Galápagos archipelago: A natural laboratory to examine sharp hydroclimatic, geologic and anthropogenic gradients. WIREs Water 2016, 3, 587–600. [Google Scholar] [CrossRef]
- Itow, S. Phytogeography and Ecology of Scalesia (Compositae) Endemic to the Galapagos Islands. Pac. Sci. 1995, 49, 17–30. [Google Scholar]
- Stoops, G. Soils and Paleosoils of the Galápagos Islands: What We Know and What We Don’t Know, A Meta-Analysis. Pac. Sci. 2014, 68, 1–17. [Google Scholar] [CrossRef]
- Kitayama, K.; Itow, S. Aboveground biomass and soil nutrient pools of a Scalesia pedunculata montane forest on Santa Cruz, Galápagos. Ecol. Res. 1999, 14, 405–408. [Google Scholar] [CrossRef]
- Ruiz-Ballesteros, E.; del Campo Tejedor, A. Eradicate to Construct Nature. Goats, Rats, and Humans in Floreana (Galapagos Islands). Ethnos 2022, 1–20. [Google Scholar] [CrossRef]
- DPNG. Plan de Acción para la Gestión del Agua Potable y las Extensiones de Agua en la Isla Floreana durante la erradicación de los Roedores Invasores y Gatos Ferales; Ministerio del Ambiente y Agua: Quijos, Ecuador, 2021. [Google Scholar]
- Ebitu, L.; Avery, H.; Mourad, K.A.; Enyetu, J. Citizen science for sustainable agriculture—A systematic literature review. Land Use Policy 2021, 103, 105326. [Google Scholar] [CrossRef]
- Jaramillo, P.; Tapia, W.; Negoita, L.; Plunkett, E.; Guerrero, M.; Mayorga, P.; Gibbs, J.P. The Galapagos Verde 2050 Project; Jaramillo, P., Ed.; Charles Darwin Foundation: Puerto Ayora, Ecuador, 2020. [Google Scholar]
- Wei, J.; Liu, G.; Liu, D.; Chen, Y. Influence of irrigation during the growth stage on yield and quality in mango (Mangifera indica L). PLoS ONE 2017, 12, e0174498. [Google Scholar] [CrossRef]
- Inonu, I.; Hambali, R.; Pratama, D.; Lestari, A.W. Effect of wick application of growick irrigation system on the cultivation of pakcoy in sand tailing media from post-tin mining land. J. Degraded Min. Lands Manag. 2020, 8, 2595–2600. [Google Scholar] [CrossRef]
- Hothorn, T.; Bretz, F.; Westfall, F.; Heiberger, R.; Schuetzenmeister, A.; Scheibe, S. The Multcomp Package. 2020. Available online: https://www.rdocumentation.org/pack-ages/multcomp (accessed on 8 August 2020).
- Holm, S. A Simple Sequentially Rejective Multiple Test Procedure. Scand. J. Stat. 1979, 6, 65–70. [Google Scholar]
- Team, R.C. R: A Language and Environment for Statistical Computing; R Foundation for Statistical Computing: Vienna, Austria, 2013; Available online: http://www.R-project.org/ (accessed on 30 August 2022).






| Santa Cruz Island | ||||||||||||
| Plant Productivity | Fruit Number | IFW | ||||||||||
| Season | Wet | Dry | Wet | Dry | Wet | Dry | ||||||
| Crop | χ2 | p value | χ2 | p value | χ2 | p value | χ2 | p value | χ2 | p value | χ2 | p value |
| Capsicum annuum | 0.0952 | 0.7577 | 42.460 | <0.001 | 5 × 10−4 | 0.981 | 41.863 | <0.001 | 5 × 10−5 | 0.999 | 0.0661 | 0.797 |
| Cucumis sativus | 0.196 | 0.657 | 4.006 | 0.045 | 0.017 | 0.895 | 1.109 | 0.292 | 1.136 | 0.286 | 22.567 | <0.001 |
| Solanum lycopersicum | 0.479 | 0.488 | 6.336 | 0.012 | 19.183 | <0.001 | 0.0087 | 0.9257 | 0.616 | 0.432 | 8.2463 | 0.004 |
| Floreana Island | ||||||||||||
| Plant Productivity | Fruit Number | IFW | ||||||||||
| Season | Wet | Dry | Wet | Dry | Wet | Dry | ||||||
| Crop | χ2 | p value | χ2 | p value | χ2 | p value | χ2 | p value | χ2 | p value | χ2 | p value |
| Cucumis sativus | - | - | 1.664 | 0.197 | - | - | 9.344 | 0.022 | - | - | 41.143 | <0.001 |
| Solanum lycopersicum | - | - | 0.240 | 0.623 | - | - | 1.401 | 0.236 | - | - | 9.8319 | 0.001 |
| Farmers | Farms and Familiar orchards | Island | Latitude | Longitude | Altitude m.a.s.l. | Total Plants | Species | Groasis Waterboxx | Control |
|---|---|---|---|---|---|---|---|---|---|
| F1 | Agriculture Association | Santa Cruz | −0.661284 | −90.293393 | 407 | 20 | Cucumis sativus | 10 | 10 |
| F2 | Farm Wilson Cabrera | Santa Cruz | −0.675676 | −90.278887 | 250 | 172 | Capsicum annuum | 43 | 43 |
| Solanum lycopersicum | 43 | 43 | |||||||
| F3 | Farm Nixon López (Cascajo) | Santa Cruz | −0.685565 | −90.281964 | 225 | 76 | Solanum lycopersicum | 38 | 38 |
| F4 | Farm Nixon López (Occidente) | Santa Cruz | −0.695952 | −90.359384 | 200 | 120 | Capsicum annuum | 30 | 30 |
| Cucumis sativus | 30 | 30 | |||||||
| F5 | Farm Santa María | Santa Cruz | −0.676825 | −90.284441 | 400 | 26 | Solanum lycopersicum | 6 | 6 |
| Cucumis sativus | 7 | 7 | |||||||
| F6 | Farm Teodoro Gaona | Santa Cruz | −0.685192 | −90.327934 | 252 | 16 | Solanum lycopersicum | 8 | 8 |
| F7 | Familiar orchards Glenda Peña | Santa Cruz | −0.668071 | −90.263588 | 450 | 16 | Solanum lycopersicum | 4 | 4 |
| Cucumis sativus | 4 | 4 | |||||||
| F8 | Familiar orchards Cecilia Salgado | Floreana | −1.274631 | −90.486448 | 20 | 2 | Solanum lycopersicum | 1 | 1 |
| F9 | Farm Claudio Cruz | Floreana | −1.30399 | −90.449874 | 350 | 10 | Capsicum annuum | 5 | 5 |
| F10 | Farm Francisco Moreno | Floreana | −1.301857 | −90.443452 | 363 | 78 | Capsicum annuum | 13 | 13 |
| Solanum lycopersicum | 13 | 13 | |||||||
| Cucumis sativus | 13 | 13 | |||||||
| F11 | Familiar orchards Aníbal Altamirano | Floreana | −1.273122 | −90.487181 | 21 | 2 | Solanum lycopersicum | 1 | 1 |
| F12 | Familiar orchards Iván Altamirano | Floreana | −1.302265 | −90.443386 | 19 | 2 | Capsicum annuum | 2 | 2 |
| F13 | Familiar orchards Jose Mora | Floreana | −1.275648 | −90.485828 | 28 | 4 | Capsicum annuum | 1 | 1 |
| Solanum lycopersicum | 1 | 1 | |||||||
| F14 | Familiar orchards José Naula | Floreana | −1.275052 | −9.048609 | 16 | 4 | Capsicum annuum | 2 | 2 |
| F15 | Familiar orchards Aura Cruz | Floreana | −1.274319 | −90.487262 | 15 | 2 | Solanum lycopersicum | 1 | 1 |
| F16 | Familiar orchards Carmen Mora | Floreana | −1.274631 | −90.485865 | 27 | 6 | Solanum lycopersicum | 3 | 3 |
| F17 | Familiar orchards Flor Naula | Floreana | −1.27481 | −90.485674 | 20 | 2 | Solanum lycopersicum | 1 | 1 |
| F18 | Familiar orchards Lelia Cruz | Floreana | −1.275849 | −90.487346 | 18 | 2 | Capsicum annuum | 1 | 1 |
| F19 | Familiar orchards Luz María Mora | Floreana | −1.277249 | −90.486655 | 18 | 2 | Capsicum annuum | 1 | 1 |
| F20 | Familiar orchards Mayra Gómez | Floreana | −1.274764 | −90.484622 | 15 | 4 | Capsicum annuum | 1 | 1 |
| Solanum lycopersicum | 1 | 1 | |||||||
| F21 | Familiar orchards Vilma Pérez | Floreana | −1.277152 | −90.485468 | 24 | 20 | Capsicum annuum | 5 | 5 |
| Solanum lycopersicum | 5 | 5 | |||||||
| 294 | 294 |
Publisher’s Note: MDPI stays neutral with regard to jurisdictional claims in published maps and institutional affiliations. |
© 2022 by the authors. Licensee MDPI, Basel, Switzerland. This article is an open access article distributed under the terms and conditions of the Creative Commons Attribution (CC BY) license (https://creativecommons.org/licenses/by/4.0/).
Share and Cite
Jaramillo Díaz, P.; Calle-Loor, A.; Gualoto, E.; Bolaños, C.; Cevallos, D. Adoption of Sustainable Agriculture Practices through Participatory Research: A Case Study on Galapagos Islands Farmers Using Water-Saving Technologies. Plants 2022, 11, 2848. https://doi.org/10.3390/plants11212848
Jaramillo Díaz P, Calle-Loor A, Gualoto E, Bolaños C, Cevallos D. Adoption of Sustainable Agriculture Practices through Participatory Research: A Case Study on Galapagos Islands Farmers Using Water-Saving Technologies. Plants. 2022; 11(21):2848. https://doi.org/10.3390/plants11212848
Chicago/Turabian StyleJaramillo Díaz, Patricia, Anna Calle-Loor, Ekaterina Gualoto, Carlos Bolaños, and David Cevallos. 2022. "Adoption of Sustainable Agriculture Practices through Participatory Research: A Case Study on Galapagos Islands Farmers Using Water-Saving Technologies" Plants 11, no. 21: 2848. https://doi.org/10.3390/plants11212848
APA StyleJaramillo Díaz, P., Calle-Loor, A., Gualoto, E., Bolaños, C., & Cevallos, D. (2022). Adoption of Sustainable Agriculture Practices through Participatory Research: A Case Study on Galapagos Islands Farmers Using Water-Saving Technologies. Plants, 11(21), 2848. https://doi.org/10.3390/plants11212848

