Effect of Temperature and Radiation on Indica Rice Yield and Quality in Middle Rice Cropping System
Abstract
1. Introduction
2. Results
2.1. Differences of Temperature and Solar Radiation Conditions across Four Areas and Two Years
2.2. The Variation in Rice Growth Duration across Four Areas and Two Years
2.3. The Difference of Grain Yield and Yield Components across Four Areas and Two Years
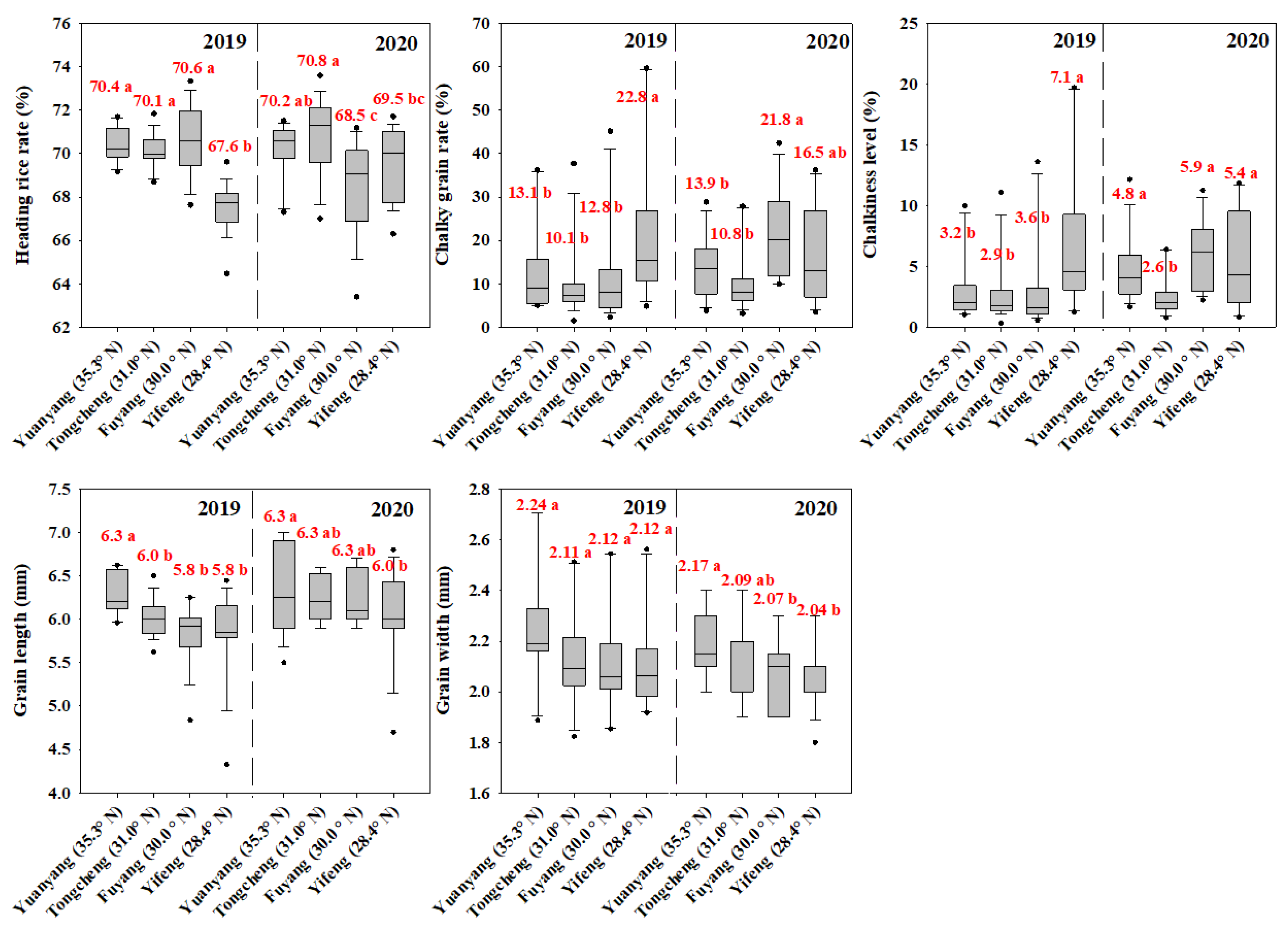
2.4. The Difference of Grain Quality across Four Areas and Two Years
2.5. Correlation Analysis of Rice Growth Duration, Grain Yield- and Quality-, with Temperature
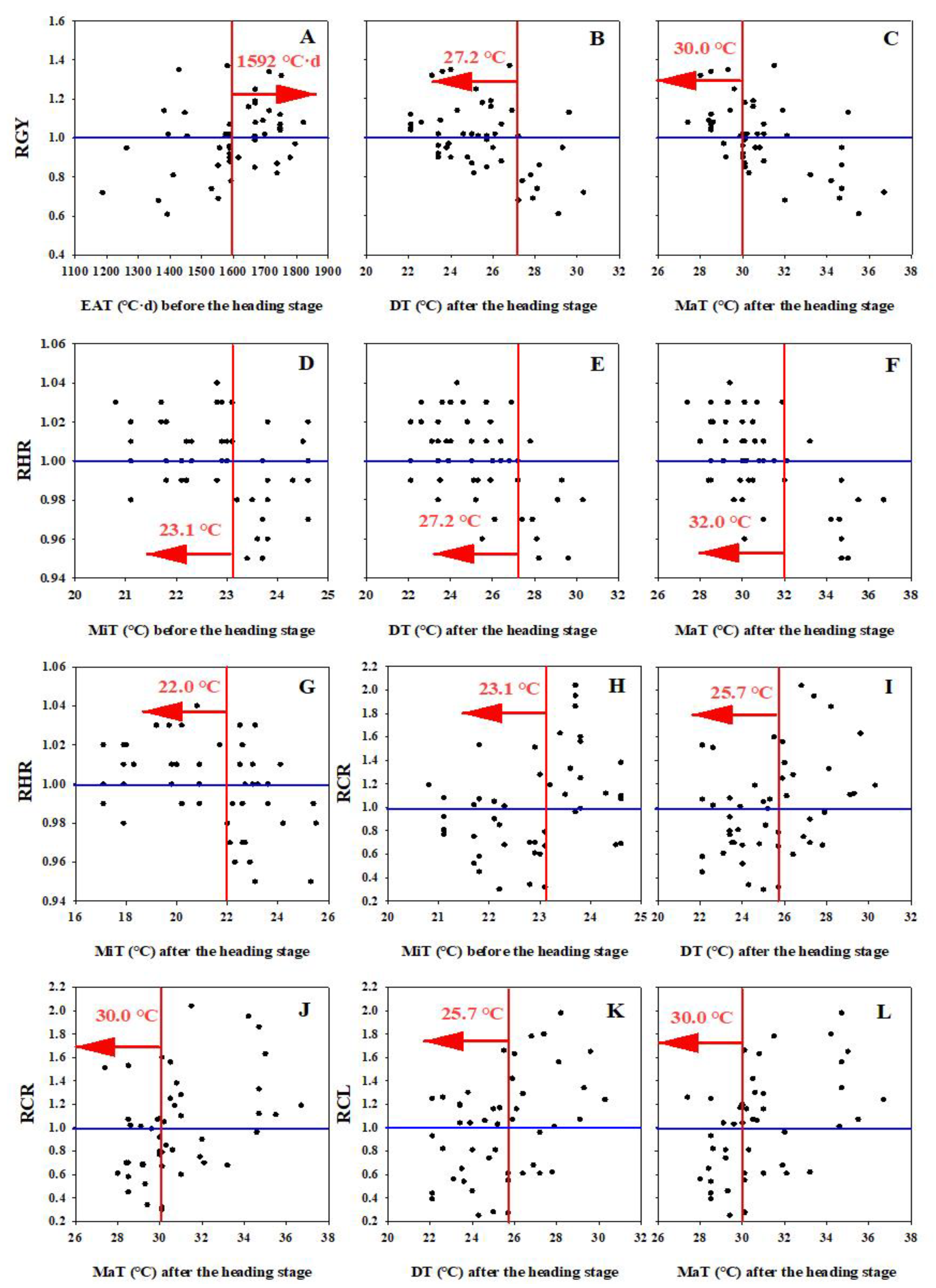
2.6. Optimal Temperature Range for High Yield and Quality
3. Discussion
3.1. Effect of Climate Conditions on Rice Growth, Yield and Quality under Different Cultivated Areas
3.2. Optimal Climate Conditions Range for Achieving High Grain Yield and Quality
4. Materials and Methods
4.1. Site Description and Experimental Design
4.2. Meteorological Data Collection
4.3. Grain Yield and Yield Components
4.4. Determination of Rice Quality
4.5. Calculation Methods and Statistical Analysis
5. Conclusions
Supplementary Materials
Author Contributions
Funding
Institutional Review Board Statement
Data Availability Statement
Conflicts of Interest
References
- Lin, G.; Yang, Y.; Chen, X.; Yu, X.; Wu, Y.; Xiong, F. Effects of high temperature during two growth stages on caryopsis development and physicochemical properties of starch in rice. Int. J. Biol. Macromol. 2020, 145, 301–310. [Google Scholar] [CrossRef]
- Alexandratos, N.; Bruinsma, J. World Agriculture towards 2030/2050: The 2012 Revision; ESA, Rome Working Paper; FAO: Rome, Italy, 2012. [Google Scholar]
- Li, X.; Wu, L.; Geng, X.; Xia, X.; Wang, X.; Xu, Z.; Xu, Q. Deciphering the environmental impacts on rice quality for different rice cultivated areas. Rice 2018, 11, 7. [Google Scholar] [CrossRef]
- Tu, D.; Jiang, Y.; Zhang, L.; Cai, M.; Li, C.; Cao, C. Effect of various combinations of temperature during different phenological periods on indica rice yield and quality in Yangtze River Basin in China. J. Integr. Agric. 2021, 21, 2900–2909. [Google Scholar] [CrossRef]
- Tu, D.; Jiang, Y.; Liu, M.; Zhang, L.; Chen, L.; Cai, M.; Ling, X.; Zhan, M.; Li, C.; Wang, J.; et al. Improvement and stabilization of rice production by delaying sowing date in irrigated rice system in central China. J. Sci. Food Agric. 2020, 100, 595–605. [Google Scholar] [CrossRef]
- Deng, F.; Zhang, C.; He, L.; Liao, S.; Li, Q.; Li, B.; Zhu, S.; Gao, Y.; Tao, Y.; Zhou, W.; et al. Delayed sowing date improves the quality of mechanically transplanted rice by optimizing temperature conditions during growth season. Field Crops Res. 2022, 281, 108493. [Google Scholar] [CrossRef]
- Deng, N.; Ling, X.; Sun, Y.; Zhang, C.; Fahad, S.; Peng, S.; Cui, K.; Nie, L.; Huang, J. Influence of temperature and solar radiation on grain yield and quality in irrigated rice system. Eur. J. Agron. 2015, 64, 37–46. [Google Scholar] [CrossRef]
- Shi, W.J.; Yin, X.Y.; Struik, P.C.; Solis, C.; Xie, F.M.; Schmidt, R.C.; Huang, M.; Zou, Y.B.; Ye, C.R.; Jagadish, S. High day- and night-time temperatures affect grain growth dynamics in contrasting rice genotypes. J. Exp. Bot. 2017, 68, 5233–5245. [Google Scholar] [CrossRef]
- Cheng, C.; Ali, A.; Shi, Q.H.; Zeng, Y.H.; Tan, X.M.; Shang, Q.Y.; Huang, S.; Xie, X.B.; Zeng, Y.J. Response of chalkiness in high-quality rice (Oryza sativa L.) to temperature across different ecological regions. J. Cereal Sci. 2019, 87, 39–45. [Google Scholar] [CrossRef]
- Tu, D.; Jiang, Y.; Salah, A.; Cai, M.; Peng, W.; Zhang, L.; Li, C.; Cao, C. Response of Source-Sink Characteristics and Rice Quality to High Natural Field Temperature During Reproductive Stage in Irrigated Rice System. Front. Plant Sci. 2022, 13, 911181. [Google Scholar] [CrossRef] [PubMed]
- Ambardekar, A.A.; Siebenmorgen, T.J.; Counce, P.A.; Lanning, S.B.; Mauromoustakos, A. Impact of field-scale nighttime air temperatures during kernel development on rice milling quality. Field Crops Res. 2011, 122, 179–185. [Google Scholar] [CrossRef]
- Shi, W.; Yin, X.; Struik, P.C.; Xie, F.; Schmidt, R.C.; Jagadish, K.S.V. Grain yield and quality responses of tropical hybrid rice to high night-time temperature. Field Crops Res. 2016, 190, 18–25. [Google Scholar] [CrossRef]
- Seung, D. Amylose in starch: Towards an understanding of biosynthesis, structure and function. New Phytol. 2020, 228, 1490–1504. [Google Scholar] [CrossRef]
- Pan, S.G.; Liu, H.; Mo, Z.; Patterson, B.; Duan, M.; Tang, X. Effects of nitrogen and shading on root morphologies, nutrient accumulation, and photosynthetic parameters in different rice genotypes. Sci. Rep. 2016, 6, 32148. [Google Scholar] [CrossRef]
- Zhang, F.; Li, J.; Wang, X.L.; Mao, W.; Zhang, H. Effect of shading on biomass and N mass partitioning in paddy rice seedlings through allometric analysis. Cereal Res. Commun. 2017, 45, 346–354. [Google Scholar] [CrossRef]
- Deng, F.; Wang, L.; Pu, S.; Mei, X.; Li, S.; Li, Q.; Ren, W. Shading stress increases chalkiness by postponing caryopsis development and disturbing starch characteristics of rice grains. Agric. Forest Meteorol. 2018, 263, 49–58. [Google Scholar] [CrossRef]
- Chen, C.; Grogenifen, K.J.; Yang, H.; Hungate, B.A.; Yang, B.; Tian, Y.; Chen, J.; Dong, W.; Huang, S.; Deng, A.; et al. Global warming and shifts in cropping systems together reduce china’s rice production. Glob. Food Secur. 2020, 24, 100359. [Google Scholar] [CrossRef]
- Chen, F.; Sushil, P.; Ding, S. Changing rice cropping patterns: Evidence from the Yangtze River Valley, China. Outlook Agric. 2013, 42, 109–115. [Google Scholar] [CrossRef]
- Yuan, S.; Cassman, K.G.; Huang, J.; Peng, S.; Grassini, P. Can ratoon cropping improve resource use efficiencies and profitability of rice in central China. Field Crops Res. 2019, 234, 66–72. [Google Scholar] [CrossRef]
- Yao, D.; Wu, J.; Luo, Q.; Li, J.; Bai, B. Influence of high natural field temperature during grain filling stage on the morphological structure and physicochemical properties of rice (Oryza sativa L.) starch. Food Chem. 2019, 310, 125817. [Google Scholar] [CrossRef]
- Huang, M.; Jiang, L.; Zou, Y.; Zhang, W. On-farm assessment of effect of low temperature at seedling stage on early-season rice quality. Field Crops Res. 2013, 141, 63–68. [Google Scholar] [CrossRef]
- Katsura, K.; Maeda, S.; Lubis, I.; Horie, T.; Cao, W.; Shiraiwa, T. The high yield of irrigated rice in Yunnan, China: ‘A cross-location analysis’. Field Crops Res. 2008, 107, 1–11. [Google Scholar] [CrossRef]
- Xu, L.; Zhan, X.; Yu, T.; Nie, L.; Huang, J.; Cui, K.; Wang, F.; Li, Y.; Peng, S. Yield performance of direct-seeded, double-season rice using varieties with short growth durations in central china. Field Crops Res. 2018, 227, 49–55. [Google Scholar] [CrossRef]
- Zhao, Q.; Du, X.X.; Han, Z.Y.; Ye, Y.; Pan, G.; Asad, M.; Zhou, Q.F.; Cheng, F.M. Suppression of starch synthase I (SSI) by RNA interference alters starch biosynthesis and amylopectin chain distribution in rice plants subjected to high temperature. Crop J. 2019, 7, 573–586. [Google Scholar] [CrossRef]
- Oh-e, I.; Saitoh, K.; Kuroda, T. Effects of high temperature on growth, yield and dry-matter production of rice grown in the paddy field. Plant Prod. Sci. 2007, 10, 412–422. [Google Scholar] [CrossRef]
- Kim, J.; Shon, J.; Lee, C.K.; Yang, W.; Yoon, Y.; Yang, W.H.; Kim, Y.G.; Lee, B.W. Relationship between grain filling duration and leaf senescence of temperate rice under high temperature. Field Crops Res. 2011, 122, 207–213. [Google Scholar] [CrossRef]
- Arshad, M.S.; Farooq, M.; Asch, F.; Krishna, J.S.V.; Prasad, P.V.V.; Siddique, K.H.M. Thermal stress impacts reproductive development and grain yield in rice. Plant Physiol. Biochem. 2017, 115, 57–72. [Google Scholar] [CrossRef] [PubMed]
- Goswami, B.; Mahi, G.S.; Saikia, U.S. Effect of few important climatic factors on phenology, growth and yield of rice and wheat—A review. Agric. Rev. 2006, 27, 223–228. [Google Scholar]
- Wu, L.; Zhang, W.; Ding, Y.; Zhang, J.; Cambula, E.D.; Weng, F.; Liu, Z.; Ding, C.; Tang, S.; Chen, L.; et al. Shading contributes to the reduction of stem mechanical strength by decreasing cell wall synthesis in japonica rice (Oryza sativa L.). Front. Plant Sci. 2017, 8, 881. [Google Scholar] [CrossRef] [PubMed]
- Deng, F.; Li, Q.P.; Chen, H.; Zeng, Y.L.; Li, B.; Zhong, X.Y.; Wang, L.; Ren, W.J. Relationship between chalkiness and the structural and thermal properties of rice starch after shading during grain-filling stage. Carbohydr. Polym. 2021, 252, 117212. [Google Scholar] [CrossRef] [PubMed]
- He, Q.; Xie, Y. Research on the climatological calculation method of solar radiation in China. J. Nat. Resour. 2010, 25, 308–319. [Google Scholar]





| Year | Duration | Area | EAT a (°C·d) | DTmean (°C) | MaTmean (°C) | MiTmean (°C) | TDmean (°C) | CSR (MJ m−2) | Rmean(MJ m−2 d−1) |
|---|---|---|---|---|---|---|---|---|---|
| 2019 | Before heading stage | Yuanyang | 1682 ± 128.1 a b | 27.2 ± 0.09 b | 33.1 ± 0.18 a | 21.7 ± 0.03 f | 11.4 ± 0.21 a | 1838 ± 124.3 a | 18.7 ± 0.21 a |
| Tongcheng | 1689 ± 154.4 a | 26.0 ± 0.25 e | 30.8 ± 0.29 e | 22.1 ± 0.24 e | 8.6 ± 0.05 c | 1896 ± 163.3 a | 18.0 ± 0.20 b | ||
| Fuyang | 1606 ± 83.7 ab | 26.6 ± 0.13 d | 31.0 ± 0.16 de | 23.1 ± 0.09 c | 8.0 ± 0.08 d | 1501 ± 86.2 bc | 15.6 ± 0.22 d | ||
| Yifeng | 1468 ± 154.2 b | 27.1 ± 0.32 bc | 32.2 ± 0.45 b | 23.6 ± 0.18 b | 8.6 ± 0.28 c | 1535 ± 193.7 b | 17.8 ± 0.75 b | ||
| 2020 | Yuanyang | 1557 ± 79.4 ab | 26.0 ± 0.01 e | 31.4 ± 0.07 c | 21.0 ± 0.11 g | 10.3 ± 0.18 b | 1592 ± 53.5 b | 16.4 ± 0.30 c | |
| Tongcheng | 1676 ± 159.9 a | 26.1 ± 0.29 e | 30.3 ± 0.28 f | 22.7 ± 0.30 d | 7.5 ± 0.04 e | 1353 ± 131.5 cd | 13.0 ± 0.25 e | ||
| Fuyang | 1613 ± 88.7 ab | 26.9 ± 0.24 c | 31.1 ± 0.28 cd | 23.7 ± 0.16 b | 7.4 ± 0.12 e | 1172 ± 108.2 e | 12.3 ± 0.66 f | ||
| Yifeng | 1499 ± 136.1 b | 27.6 ± 0.17 a | 32.4 ± 0.20 b | 24.5 ± 0.13 a | 7.8 ± 0.07 d | 1299 ± 136.2 de | 15.3 ± 0.41 d | ||
| 2019 | After the heading stage | Yuanyang | 457 ± 81.9 c | 22.5 ± 0.74 e | 28.6 ± 0.31 c | 17.7 ± 1.03 c | 10.9 ± 0.74 b | 586 ± 67.2 c | 16.1 ± 0.44 bc |
| Tongcheng | 633 ± 78.9 a | 25.0 ± 1.08 cd | 30.1 ± 1.01 bc | 20.9 ± 1.17 b | 9.2 ± 0.22 c | 667 ± 74.9 b | 15.8 ± 0.97 bcd | ||
| Fuyang | 485 ± 19.2 bc | 26.2 ± 0.63 bc | 30.7 ± 0.81 b | 22.8 ± 0.46 a | 7.9 ± 0.35 d | 436 ± 30.9 d | 14.5 ± 1.18 cd | ||
| Yifeng | 623 ± 28.9 a | 28.5 ± 1.04 a | 35.1 ± 0.91 a | 23.4 ± 1.25 a | 11.7 ± 0.37 a | 742 ± 42.6 a | 22.0 ± 0.99 a | ||
| 2020 | Yuanyang | 512 ± 59.9 bc | 23.7 ± 0.50 de | 30.2 ± 0.33 bc | 18.3 ± 0.70 c | 11.9 ± 0.48 a | 648 ± 37.5 bc | 17.4 ± 0.60 b | |
| Tongcheng | 606 ± 98.6 a | 24.1 ± 1.60 d | 29.0 ± 1.60 c | 20.6 ± 1.56 b | 8.3 ± 0.15 d | 590 ± 71.9 c | 13.7 ± 1.09 d | ||
| Fuyang | 499 ± 29.3 bc | 26.5 ± 1.64 b | 31.2 ± 1.97 b | 23.0 ± 1.18 a | 8.2 ± 0.79 d | 446 ± 76.4 d | 14.8 ± 3.51 cd | ||
| Yifeng | 561 ± 22.1 ab | 26.6 ± 1.71 b | 31.5 ± 2.09 b | 23.1 ± 1.35 a | 8.4 ± 0.76 d | 601 ± 38.3 bc | 17.8 ± 2.71 b |
| Before Heading Stage | After Heading Stage | ||||||||||||||
|---|---|---|---|---|---|---|---|---|---|---|---|---|---|---|---|
| DT a | EAT | MaT | MiT | TD | CSR | R | DT | EAT | MaT | MiT | TD | CSR | R | ||
| RSD-HD b | −0.717 ** | 0.585 ** | −0.559 ** | −0.591 ** | 0.082 | 0.389 ** | −0.067 | −0.582 ** | −0.031 | −0.635 ** | −0.481 ** | −0.157 | −0.168 | −0.595 ** | |
| RHD-MD | −0.440 ** | 0.197 | −0.240 | −0.415 ** | 0.171 | 0.333 * | 0.190 | −0.424 ** | 0.623 ** | −0.403 ** | −0.391 ** | 0.021 | 0.537 ** | −0.249 | |
| RHR | −0.267 | 0.229 | −0.170 | −0.373 ** | 0.173 | 0.185 | 0.028 | −0.504 ** | −0.118 | −0.586 ** | −0.366 * | −0.259 | −0.205 | −0.520 ** | |
| RL | −0.130 | 0.167 | 0.011 | −0.309 * | 0.249 | −0.005 | −0.149 | −0.363 * | −0.196 | −0.299 * | −0.372 ** | 0.137 | −0.060 | −0.166 | |
| RW | −0.128 | 0.092 | 0.165 | −0.417 ** | 0.454 ** | 0.323 * | 0.315 * | −0.272 | −0.150 | −0.126 | −0.373 ** | 0.364 * | 0.122 | 0.062 | |
| RCR | 0.261 | −0.148 | 0.140 | 0.323 * | −0.154 | −0.272 | −0.167 | 0.345 * | 0.030 | 0.385 ** | 0.265 | 0.140 | 0.043 | 0.277 | |
| RCL | 0.220 | −0.240 | 0.132 | 0.284 | −0.126 | −0.271 | −0.130 | 0.386 ** | 0.077 | 0.465 ** | 0.261 | 0.250 | 0.161 | 0.405 ** | |
| RGY | −0.031 | 0.394 ** | −0.129 | −0.078 | −0.025 | −0.138 | −0.403 ** | −0.457 ** | −0.333 * | −0.590 ** | −0.275 | −0.387 ** | −0.503 ** | −0.636 ** | |
| RP | 0.026 | 0.342 * | −0.037 | −0.026 | −0.007 | 0.051 | −0.129 | −0.432 ** | −0.063 | −0.570 ** | −0.230 | −0.474 ** | −0.287 | −0.559 ** | |
| RS | −0.353 * | 0.051 | −0.354 * | −0.213 | −0.070 | −0.163 | −0.298 | −0.030 | −0.130 | 0.000 | −0.078 | 0.125 | −0.162 | −0.099 | |
| RGP | 0.147 | 0.044 | 0.037 | 0.087 | −0.042 | −0.226 | −0.254 | −0.199 | −0.163 | −0.305 * | −0.067 | −0.342 * | −0.353 * | −0.367 * | |
| RGW | −0.013 | −0.042 | 0.108 | −0.120 | 0.173 | 0.091 | 0.122 | 0.048 | −0.137 | 0.135 | −0.046 | 0.260 | 0.031 | 0.190 | |
Publisher’s Note: MDPI stays neutral with regard to jurisdictional claims in published maps and institutional affiliations. |
© 2022 by the authors. Licensee MDPI, Basel, Switzerland. This article is an open access article distributed under the terms and conditions of the Creative Commons Attribution (CC BY) license (https://creativecommons.org/licenses/by/4.0/).
Share and Cite
Tu, D.; Wu, W.; Xi, M.; Zhou, Y.; Xu, Y.; Chen, J.; Shao, C.; Zhang, Y.; Zhao, Q. Effect of Temperature and Radiation on Indica Rice Yield and Quality in Middle Rice Cropping System. Plants 2022, 11, 2697. https://doi.org/10.3390/plants11202697
Tu D, Wu W, Xi M, Zhou Y, Xu Y, Chen J, Shao C, Zhang Y, Zhao Q. Effect of Temperature and Radiation on Indica Rice Yield and Quality in Middle Rice Cropping System. Plants. 2022; 11(20):2697. https://doi.org/10.3390/plants11202697
Chicago/Turabian StyleTu, Debao, Wenge Wu, Min Xi, Yongjin Zhou, Youzun Xu, Jinhua Chen, Caihong Shao, Yuping Zhang, and Quanzhi Zhao. 2022. "Effect of Temperature and Radiation on Indica Rice Yield and Quality in Middle Rice Cropping System" Plants 11, no. 20: 2697. https://doi.org/10.3390/plants11202697
APA StyleTu, D., Wu, W., Xi, M., Zhou, Y., Xu, Y., Chen, J., Shao, C., Zhang, Y., & Zhao, Q. (2022). Effect of Temperature and Radiation on Indica Rice Yield and Quality in Middle Rice Cropping System. Plants, 11(20), 2697. https://doi.org/10.3390/plants11202697
