Dominance of Fagus sylvatica in the Growing Stock and Its Relationship to Climate—An Analysis Using Modeled Stand-Level Climate Data
Abstract
1. Introduction
2. Results
2.1. Forest Stands and Local Climate Data
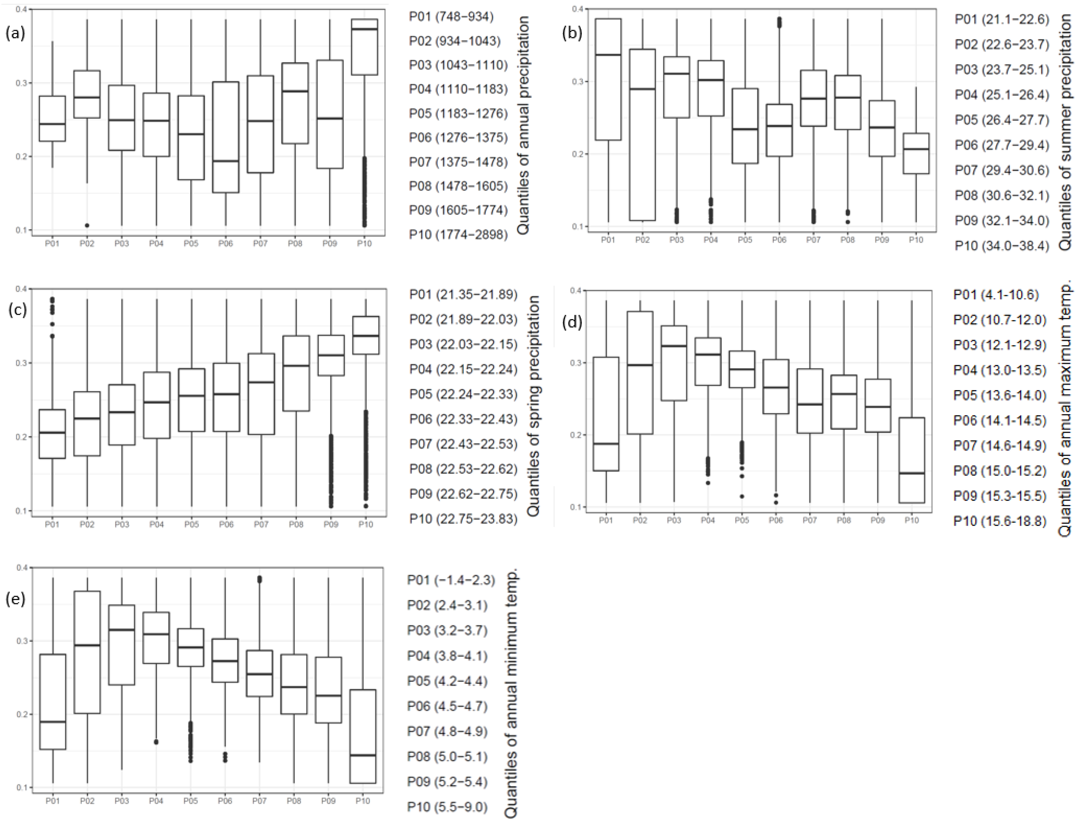
2.2. Climatic Influences on Beech Population Proportions in Forest Growing Stock
2.3. Distribution of Dominance of Fagus sylvatica over Forest Stands
3. Discussion
4. Materials and Methods
4.1. Fagus Sylvatica Cover Data
4.2. Climatic Data
4.3. Statistical Procedures
5. Conclusions
Author Contributions
Funding
Data Availability Statement
Acknowledgments
Conflicts of Interest
References
- Martinez del Castillo, E.; Zang, C.S.; Buras, A.; Hacket Pain, A.; Esper, J.; Serrano-Notivoli, R.; Hartl, C.; Weigel, R.; Klesse, S.; Resco de Dios, V. Climate-Change-Driven Growth Decline of European Beech Forests. Commun. Biol. 2022, 5, 163. [Google Scholar] [CrossRef]
- Machar, I.; Vlckova, V.; Bucek, A.; Vozenilek, V.; Salek, L.; Jerabkova, L. Modelling of Climate Conditions in Forest Vegetation Zones as a Support Tool for Forest Management Strategy in European Beech Dominated Forests. Forests 2017, 8, 82. [Google Scholar] [CrossRef]
- Jump, A.S.; Hunt, J.M.; Penuelas, J. Rapid Climate Change-Related Growth Decline at the Southern Range Edge of Fagus sylvatica. Glob. Chang. Biol. 2006, 12, 2163–2174. [Google Scholar] [CrossRef]
- Kolář, T.; Čermák, P.; Trnka, M.; Žid, T.; Rybníček, M. Temporal Changes in the Climate Sensitivity of Norway Spruce and European Beech along an Elevation Gradient in Central Europe. Agric. For. Meteorol. 2017, 239, 24–33. [Google Scholar] [CrossRef]
- Piovesan, G.; Biondi, F.; Di Filippo, A.; Alessandrini, A.; Maugeri, M. Drought-Driven Growth Reduction in Old Beech (Fagus sylvatica) Forests of the Central Apennines, Italy. Glob. Chang. Biol. 2008, 14, 1265–1281. [Google Scholar] [CrossRef]
- Dulamsuren, C.; Hauck, M.; Kopp, G.; Ruff, M.; Leuschner, C. European Beech Responds to Climate Change with Growth Decline at Lower, and Growth Increase at Higher Elevations in the Center of Its Distribution Range (SW Germany). Trees. 2017, 31, 673–686. [Google Scholar] [CrossRef]
- Leuschner, C. Drought Response of European Beech (Fagus sylvatica)—A Review. Perspect. Plant Ecol. Evol. Syst. 2020, 47, 125576. [Google Scholar] [CrossRef]
- Esri Imagery [Basemap]. Available online: https://www.arcgis.com/home/item.html?id=10df2279f9684e4a9f6a7f08febac2a9 (accessed on 28 March 2022).
- Euforgen Distribution Map of Beech (Fagus sylvatica). Available online: http://www.euforgen.org/ (accessed on 29 March 2022).
- ZGS Pregledovalnik Podatkov o Gozdovih. Available online: http://prostor.zgs.gov.si/pregledovalnik/ (accessed on 30 March 2021).
- Di Filippo, A.; Biondi, F.; Čufar, K.; De Luis, M.; Grabner, M.; Maugeri, M.; Presutti Saba, E.; Schirone, B.; Piovesan, G. Bioclimatology of Beech (Fagus sylvatica) in the Eastern Alps: Spatial and Altitudinal Climatic Signals Identified through a Tree-Ring Network. J. Biogeogr. 2007, 34, 1873–1892. [Google Scholar] [CrossRef]
- Čufar, K.; Prislan, P.; De Luis, M.; Gričar, J. Tree-Ring Variation, Wood Formation and Phenology of Beech (Fagus sylvatica) from a Representative Site in Slovenia, SE Central Europe. Trees 2008, 22, 749–758. [Google Scholar] [CrossRef]
- Prislan, P.; Gričar, J.; de Luis, M.; Smith, K.T.; Čufar, K. Phenological Variation in Xylem and Phloem Formation in Fagus sylvatica from Two Contrasting Sites. Agric. For. Meteorol. 2013, 180, 142–151. [Google Scholar] [CrossRef]
- Knutzen, F.; Dulamsuren, C.; Meier, I.C.; Leuschner, C. Recent Climate Warming-Related Growth Decline Impairs European Beech in the Center of Its Distribution Range. Ecosystems 2017, 20, 1494–1511. [Google Scholar] [CrossRef]
- Cavin, L.; Jump, A.S. Highest Drought Sensitivity and Lowest Resistance to Growth Suppression Are Found in the Range Core of the Tree Fagus sylvatica. Not the Equatorial Range Edge. Glob. Chang. Biol. 2017, 23, 362–379. [Google Scholar] [CrossRef]
- Brus, R. Drevesne Vrste Na Slovenskem, 2nd ed.; Samozaložba: Ljubljana, Slovenia, 2012; ISBN 978-961-276-395-4. [Google Scholar]
- Köcher, P.; Gebauer, T.; Horna, V.; Leuschner, C. Leaf Water Status and Stem Xylem Flux in Relation to Soil Drought in Five Temperate Broad-Leaved Tree Species with Contrasting Water Use Strategies. Ann. For. Sci. 2009, 66, 1–11. [Google Scholar] [CrossRef]
- Geßler, A.; Keitel, C.; Kreuzwieser, J.; Matyssek, R.; Seiler, W.; Rennenberg, H. Potential Risks for European Beech (Fagus sylvatica) in a Changing Climate. Trees 2007, 21, 1–11. [Google Scholar] [CrossRef]
- Ogris, N. Kratkoročna Prognoza Pojava Pooglenitve Bukve (Biscogniauxia Nummularia) v Sloveniji. Zb. Pred. Ref. 2013, 11, 62–68. [Google Scholar]
- Martinez del Castillo, E.; Prislan, P.; Gričar, J.; Gryc, V.; Merela, M.; Giagli, K.; de Luis, M.; Vavrčík, H.; Čufar, K. Challenges for Growth of Beech and Co-Occurring Conifers in a Changing Climate Context. Dendrochronologia 2018, 52, 1–10. [Google Scholar] [CrossRef]
- Decuyper, M.; Chávez, R.O.; Čufar, K.; Estay, S.A.; Clevers, J.G.P.W.; Prislan, P.; Gričar, J.; Črepinšek, Z.; Merela, M.; de Luis, M.; et al. Spatio-Temporal Assessment of Beech Growth in Relation to Climate Extremes in Slovenia—An Integrated Approach Using Remote Sensing and Tree-Ring Data. Agric. For. Meteorol. 2020, 287, 107925. [Google Scholar] [CrossRef]
- Dakskobler, I. Pregled Bukovih Rastišč v Sloveniji. Zb. Gozdarstva Lesar. 2008, 87, 3–14. [Google Scholar]
- Ficko, A.; Klopčič, M.; Matijašič, D.; Poljanec, A.; Bončina, A. Razširjenost Bukve in Strukturne Značilnosti Bukovih Sestojev v Sloveniji. Zb. Gozdarstva Lesar. 2008, 87, 45–60. [Google Scholar]
- Bolte, A.; Czajkowski, T.; Kompa, T. The North-Eastern Distribution Range of European Beech—A Review. Forestry 2007, 80, 413–429. [Google Scholar] [CrossRef]
- Poljanec, A.; Ficko, A.; Boncina, A. Spatiotemporal Dynamic of European Beech (Fagus sylvatica) in Slovenia, 1970–2005. For. Ecol. Manage. 2010, 259, 2183–2190. [Google Scholar] [CrossRef]
- ZGS. Poročilo Zavoda Za Gozdove Slovenije o Gozdovih Za Leto 2019; Zavod za Gozdove: Ljubljana, Slovenia, 2020; pp. 1–121. [Google Scholar]
- Bončina, A. Bukovi Gozdovi v Sloveniji: Ekologija in Gospodarjenje; Oddelek za Gozdarstvo in Obnovljive Gozdne Vire, Biotehniška Fakulteta: Ljubljana, Slovenia, 2012; ISBN 961602065X. [Google Scholar]
- Škrk, N.; Serrano-Notivoli, R.; Čufar, K.; Merela, M.; Črepinšek, Z.; Kajfež Bogataj, L.; de Luis, M. SLOCLIM: A High-Resolution Daily Gridded Precipitation and Temperature Dataset for Slovenia. Earth Syst. Sci. Data 2021, 13, 3577–3592. [Google Scholar] [CrossRef]
- Perko, D.; Ciglič, R.; Zorn, M. Slovenia: A European Landscape Hotspot. In The Geography of Slovenia: Small but Diverse; Springer: Cham, Switzerland, 2020; pp. 1–20. [Google Scholar]
- Perko, D.; Ciglic, R.; Zorn, M. Slovenia’s regions. In The Geography of Slovenia: Small but Diverse; Springer: Cham, Switzerland, 2020; pp. 227–243. ISBN 9783030140656. [Google Scholar]
- Perko, D.; Ciglič, R. Slovenia’s Landscapes. In The Geography of Slovenia; Springer: Cham, Switzerland, 2020; pp. 211–225. [Google Scholar]
- Sotošek, S. Razmišljanja o Pogozdovanju. Gozdarski Vestn. 1938, 1, 55–60. [Google Scholar]
- Mlinšek, D. Sproščena Tehnika Gojenja Gozdov Na Osnovi Nege; Poslovno Združenje Gozdnogospodarskih Organizacij: Ljubljana, Slovenia, 1968. [Google Scholar]
- Prislan, P.; Schmitt, U.; Koch, G.; Gričar, J.; Čufar, K. Seasonal Ultrastructural Changes in the Cambial Zone of Beech (Fagus sylvatica) Grown at Two Different Altitudes. IAWA J. 2011, 32, 443–459. [Google Scholar] [CrossRef]
- de Luis, M.; Čufar, K.; Saz, M.A.; Longares, L.A.; Ceglar, A.; Kajfež-Bogataj, L. Trends in Seasonal Precipitation and Temperature in Slovenia during 1951–2007. Reg. Environ. Chang. 2014, 14, 1801–1810. [Google Scholar] [CrossRef]
- Hladnik, D. Spatial Structure of Disturbed Landscapes in Slovenia. Ecol. Eng. 2005, 24, 17–27. [Google Scholar] [CrossRef]
- ZGS. Gozdnogospodarski Načrt Gozdnogospodarskega Območja Murska Sobota (2011–2020); Zavod za Gozdove: Ljubljana, Slovenia, 2012. [Google Scholar]
- Komac, B.; Pavšek, M.; Topole, M. Climate and Weather of Slovenia. In The Geography of Slovenia: Small but Diverse; Perko, D., Ciglič, R., Zorn, M., Eds.; Springer International Publishing: Cham, Switzerland, 2020; pp. 71–89. ISBN 978-3-030-14066-3. [Google Scholar]
- Martínez del Castillo, E.; Longares, L.A.; Serrano-Notivoli, R.; de Luis, M. Modeling Tree-Growth: Assessing Climate Suitability of Temperate Forests Growing in Moncayo Natural Park (Spain). For. Ecol. Manag. 2019, 435, 128–137. [Google Scholar] [CrossRef]
- Royo-Navascues, M.; Del Castillo, E.M.; Serrano-Notivoli, R.; Tejedor, E.; Novak, K.; Longares, L.A.; Saz, M.A.; de Luis, M. When Density Matters: The Spatial Balance between Early and Latewood. Forests 2021, 12, 818. [Google Scholar] [CrossRef]
- Bates, D.; Mächler, M.; Bolker, B.M.; Walker, S.C. Fitting Linear Mixed-Effects Models Using Lme4. arXiv 2014, arXiv:1406.5823. [Google Scholar]






| Model | AIC | logLik | Deviance | df.resid |
|---|---|---|---|---|
| M1 | 359,170 | −179,576.2 | 169,654 | 341,332 |
| M2 | 356,600 | −178,287.9 | 167,402 | 341,329 |
| M3 | 352,383 | −176,174.6 | 164,714 | 341,324 |
| Selected model | 351,077 | −175,518.3 | 164,026 | 341,321 |
| Coefficients: | Estimate | Std. Error | z Value | Pr (>|z|) | |
|---|---|---|---|---|---|
| (Intercept) | −1.31 × 103 | 1.03 × 10 | −127.392 | <2 × 10−16 | *** |
| pcp_ann | −2.33 × 104 | 6.04 × 102 | −38.563 | <2 × 10−16 | *** |
| tmax_ann | 1.07 × 107 | 7.68 × 105 | 13.911 | <2 × 10−16 | *** |
| tmin_ann | 1.00 × 107 | 1.70 × 106 | 5.901 | 3.62 × 10−09 | *** |
| pcp_sum_prop | −2.08 × 102 | 1.17 × 10 | −17.852 | <2 × 10−16 | *** |
| pcp_spr_prop | 1.37 × 102 | 5.56 | 24.573 | <2 × 10−16 | *** |
| pcp_ann2 | 1.28 × 104 | 3.13 × 102 | 40.943 | <2 × 10−16 | *** |
| tmax_ann2 | −5.32 × 106 | 3.84 × 105 | −13.847 | <2 × 10−16 | *** |
| tmin_ann2 | −5.15 × 106 | 8.52 × 105 | −6.049 | 1.46 × 10−09 | *** |
| pcp_annl | 1.10 × 104 | 3.12 × 102 | 35.126 | <2 × 10−16 | *** |
| tmax_annl | −5.37 × 106 | 3.84 × 105 | −13.976 | <2 × 10−16 | *** |
| tmin_annl | −4.89 × 106 | 8.50 × 105 | −5.752 | 8.82 × 10−09 | *** |
| pcp_ann:tmax_ann | 1.89 × 103 | 1.22 × 103 | 1.544 | 0.122528 | |
| pcp_sumprop:tmax_ann2 | 1.44 × 102 | 1.06 × 10 | 13.637 | <2 × 10−16 | *** |
| pcp_sprprop:tmax_ann2 | 6.93 × 10 | 4.63 | 14.962 | <2 × 10−16 | *** |
| pcp_ann:tmin_ann | −5.40 × 103 | 1.29 × 103 | −4.190 | 2.78 × 10−05 | *** |
| pcp_ann2:tmax_ann2 | 1.15 × 103 | 6.10 × 102 | 1.884 | 0.059558 | |
| pcp_ann2:tmin_ann2 | 1.47 × 103 | 6.39 × 102 | 2.298 | 0.021535 | * |
| pcp_annl:tmax_annl | −2.40 × 103 | 6.42 × 102 | −3.742 | 0.000182 | *** |
| pcp_annl:tmin_annl | 3.06 × 103 | 6.75 × 102 | 4.533 | 5.81 × 10−06 | *** |
Publisher’s Note: MDPI stays neutral with regard to jurisdictional claims in published maps and institutional affiliations. |
© 2022 by the authors. Licensee MDPI, Basel, Switzerland. This article is an open access article distributed under the terms and conditions of the Creative Commons Attribution (CC BY) license (https://creativecommons.org/licenses/by/4.0/).
Share and Cite
Škrk, N.; Serrano-Notivoli, R.; de Luis, M.; Čufar, K. Dominance of Fagus sylvatica in the Growing Stock and Its Relationship to Climate—An Analysis Using Modeled Stand-Level Climate Data. Plants 2022, 11, 2541. https://doi.org/10.3390/plants11192541
Škrk N, Serrano-Notivoli R, de Luis M, Čufar K. Dominance of Fagus sylvatica in the Growing Stock and Its Relationship to Climate—An Analysis Using Modeled Stand-Level Climate Data. Plants. 2022; 11(19):2541. https://doi.org/10.3390/plants11192541
Chicago/Turabian StyleŠkrk, Nina, Roberto Serrano-Notivoli, Martín de Luis, and Katarina Čufar. 2022. "Dominance of Fagus sylvatica in the Growing Stock and Its Relationship to Climate—An Analysis Using Modeled Stand-Level Climate Data" Plants 11, no. 19: 2541. https://doi.org/10.3390/plants11192541
APA StyleŠkrk, N., Serrano-Notivoli, R., de Luis, M., & Čufar, K. (2022). Dominance of Fagus sylvatica in the Growing Stock and Its Relationship to Climate—An Analysis Using Modeled Stand-Level Climate Data. Plants, 11(19), 2541. https://doi.org/10.3390/plants11192541

