Cultivar and Postharvest Storage Duration Influence Fruit Quality, Nutritional and Phytochemical Profiles of Soilless-Grown Cantaloupe and Honeydew Melons
Abstract
:1. Introduction
2. Results and Discussion
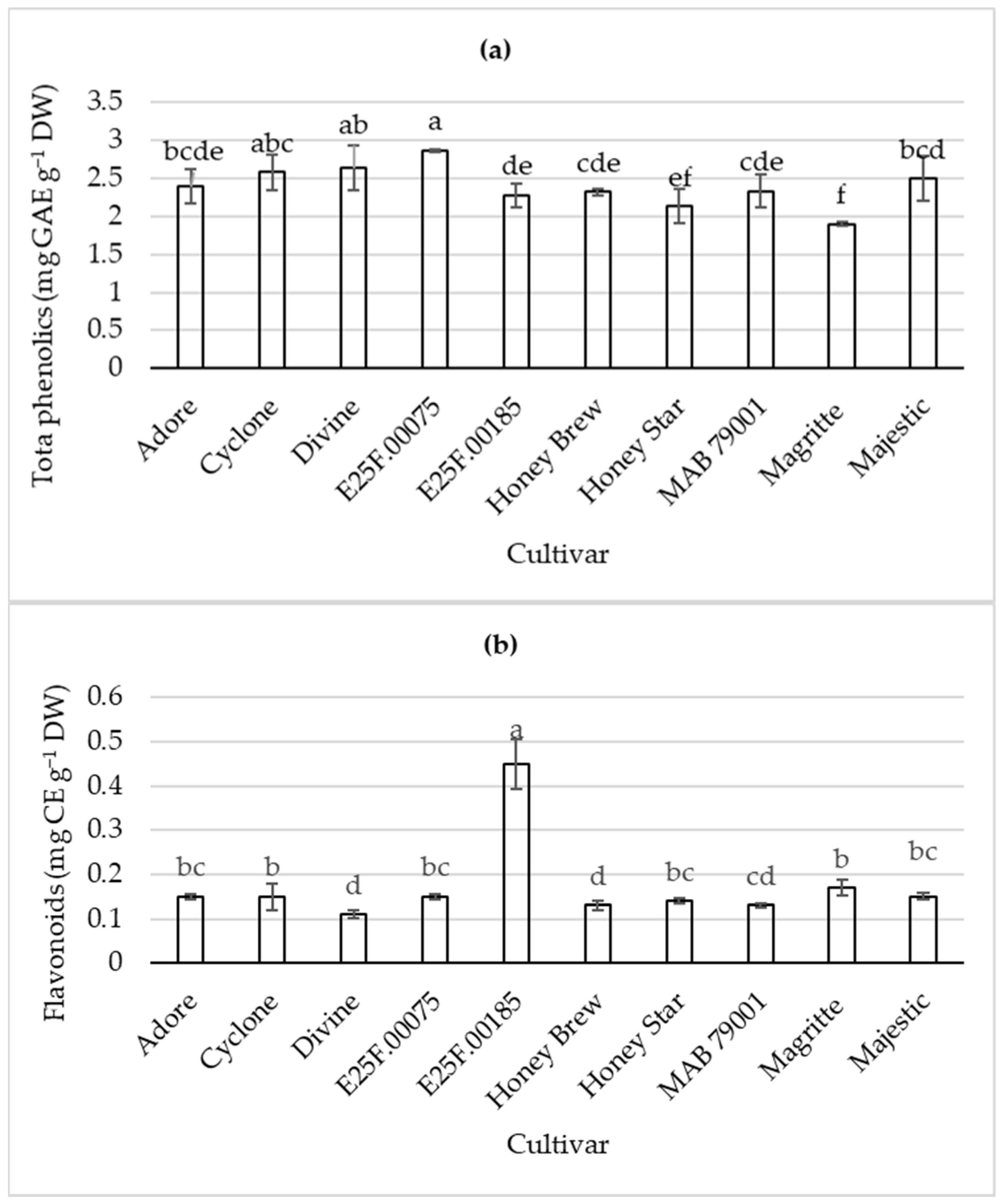
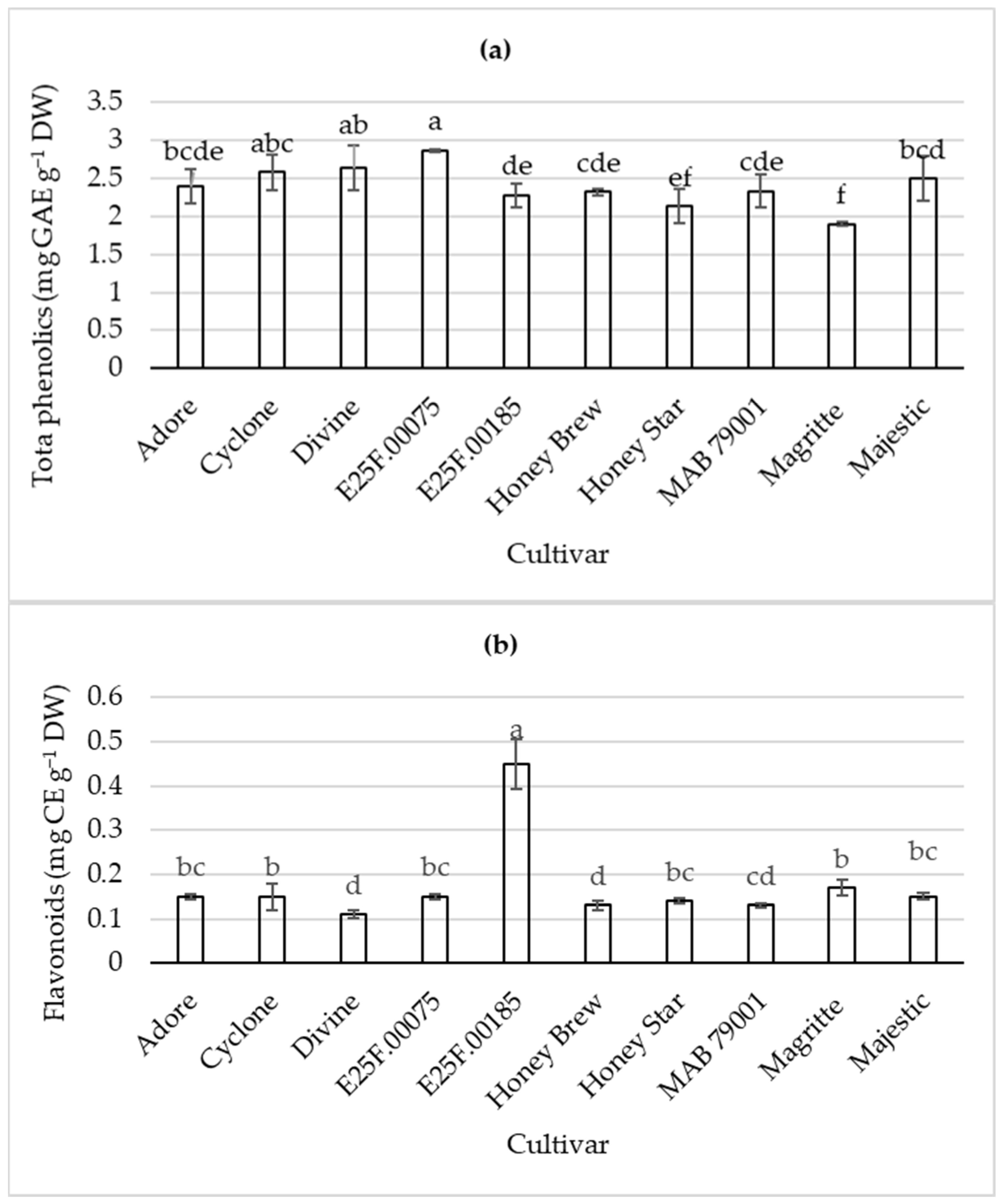
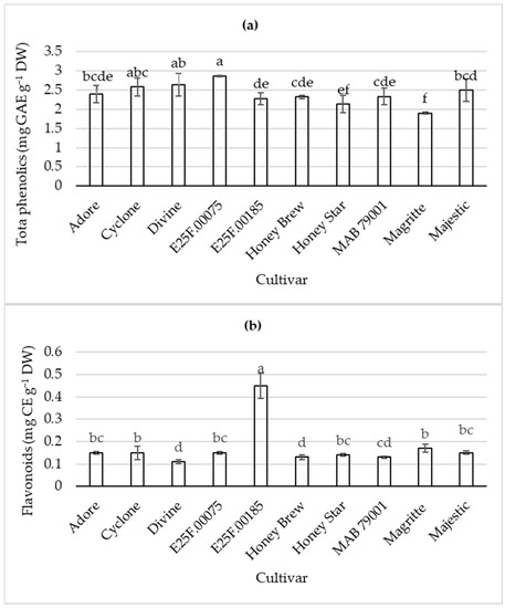
2.1. Effect of Cultivars on Fruit Nutritional and Phytochemical Quality at Harvest
2.2. Effect of Cultivar and Postharvest Storage on Fruit Nutritional and Phytochemical Quality
3. Materials and Methods
3.1. Effect of Cultivars on Fruit Nutritional and Phytochemical Quality at Harvest
3.1.1. Nutritional Analysis
3.1.2. Phytochemical Analysis
3.1.3. Free Radical Scavenging Activity
3.2. Effects of Cultivar and Postharvest Storage on Fruit Nutritional and Phytochemical Quality
3.3. Statistical Analysis
4. Conclusions
Supplementary Materials
Author Contributions
Funding
Institutional Review Board Statement
Informed Consent Statement
Data Availability Statement
Acknowledgments
Conflicts of Interest
References
- Louvet, J. The relationship between substrates and plant diseases. Acta Hortic. 1982, 126, 147–152. [Google Scholar] [CrossRef]
- Riviere, L.M.; Caron, J. Research on substrates: State of the art and need for the coming 10 years. Acta Hortic. 2001, 548, 29–41. [Google Scholar] [CrossRef]
- Rodriguez, J.C.; Cantliffe, D.J.; Shaw, N.L. Soilless media and container for greenhouse production of ‘Galia’ type muskmelon. HortScience 2006, 41, 1200–1205. [Google Scholar] [CrossRef]
- Maboko, M.M.; Du Plooy, C.P.; Bertling, I. Performance of tomato cultivars in temperature and non-temperature controlled plastic tunnels. Acta Hortic. 2012, 927, 405–411. [Google Scholar] [CrossRef]
- Cantliffe, G.J.; Vansickle, J.J. Competitiveness of the Spanish and Dutch greenhouse industries with the Florida fresh vegetable industry. Proc. Fla. State Hortic. Soc. 2001, 114, 283–287. [Google Scholar] [CrossRef]
- Rodriguez, J.C.; Shaw, N.L.; Cantliffe, D.J. Influence of plant density on yield and fruit quality of greenhouse-grown Galia muskmelons. HortTechnology 2007, 17, 580–585. [Google Scholar] [CrossRef]
- Massantini, F.; Favilli, R.; Magnani, G.; Oggiano, N. Soilless culture-biotechnology for high quality vegetables. Soilless Cult. 1988, 4, 27–40. [Google Scholar]
- Perdigones, A.; Pascual, V.; García, J.L.; Nolasco, J.; Pallares, D. Interactions of crop and cooling equipment on greenhouse climate. Acta Hortic. 2005, 691, 203–208. [Google Scholar] [CrossRef]
- Jensen, M.H.; Malter, A.J. Protected Agriculture: A Global Review; World Bank Technical Paper, No. 253; The World Bank: Washington, DC, USA, 1995. [Google Scholar]
- Pulela, B.L.; Maboko, M.M.; Soundy, P.; Amoo, S.O. Development, yield and quality of Cantaloupe and Honeydew melon in soilless culture in a non-temperature controlled high tunnel. Int. J. Veg. Sci. 2020, 26, 292–301. [Google Scholar] [CrossRef]
- Lester, G. Melon (Cucumis melo L.) fruit nutritional quality and health functionality. HortTechnology 1997, 7, 222–227. [Google Scholar] [CrossRef]
- Lester, G.E.; Crosby, K.M. Ascorbic acid, folic acid and potassium content in postharvest green-fleshed honeydew muskmelons: Influence of cultivar, fruit size, soil type, and year. J. Am. Soc. Hortic. Sci. 2002, 127, 843–847. [Google Scholar] [CrossRef]
- Lester, G.E.; Hodges, D.M. Antioxidants associated with fruit senescence and human health: Novel orange fleshed non-netted honeydew melon genotype comparisons following different seasonal productions and cold storage durations. Postharvest Biol. Technol. 2008, 48, 347–354. [Google Scholar] [CrossRef]
- Hodges, D.M.; Lester, G.E. Comparison between orange-and green-fleshed non-netted and orange-fleshed netted muskmelons: Antioxidant changes following different harvest and storage periods. J. Am. Soc. Hortic. Sci. 2006, 131, 110–117. [Google Scholar] [CrossRef]
- Lester, G.E.; Saftner, R.A.; Hodges, D.M. Market quality attributes of orange-fleshed, non-netted honeydew melon genotypes following different growing seasons and storage temperature durations. HortTechnology 2007, 17, 346–352. [Google Scholar] [CrossRef]
- Laur, L.M.; Tian, L. Provitamin A and vitamin C contents in selected California-grown cantaloupe and honeydew melons and imported melons. J. Food Compos. Anal. 2011, 21, 194–201. [Google Scholar] [CrossRef]
- Ritchie, H.; Roser, M. Micronutrient Deficiency. OurWorldInData.org. 2020. Available online: https://ourworldindata.org/micronutrient-deficiency (accessed on 10 January 2021).
- Portnoy, V.; Benyamini, Y.; Bar, E.; Harel-Beja, R.; Gepstein, S.; Giovannoni, J.J.; Schaffer, A.A.; Burger, J.; Tadmor, Y.; Lewinsohn, E.; et al. The molecular and biochemical basis for varietal variation in sesquiterpene content in melon (Cucumis melo L.) rinds. Plant Mol. Biol. 2008, 66, 647–661. [Google Scholar] [CrossRef]
- Lester, G.E.; Eischen, F. Beta-carotene content of postharvest orange-fleshed muskmelon fruit: Effect of cultivar, growing location and fruit size. Plant Foods Hum. Nutr. 1996, 49, 191–197. [Google Scholar] [CrossRef]
- Ionica, M.E.; Nour, V.; Trandafir, I. Evolution of some physical and chemical characteristics during growth and development of muskmelon (Cucumis melo L.). Pak. J. Agric. Sci. 2015, 52, 265–271. [Google Scholar]
- Zeb, A. Phenolic profile and antioxidant activity of melon (Cucumis melo L.) seeds from Pakistan. Foods 2016, 5, 67. [Google Scholar] [CrossRef]
- Singh, J.; Singh, V.; Shukla, S.; Rai, A.K. Phenolic content and antioxidant capacity of selected cucurbit fruits extracted with different solvents. J. Nutr. Food Sci. 2016, 6, 6. [Google Scholar] [CrossRef]
- Menon, S.V.; Rao, R.T.V. Nutritional quality of muskmelon fruit as revealed by its biochemical properties during different rates of ripening. Int. Food Res. J. 2012, 19, 1621–1628. [Google Scholar]
- Paris, H.S.; Amar, Z.; Lev, E. Medieval emergence of sweet melons, Cucumis melo (Cucurbitaceae). Ann. Bot. 2012, 110, 23–33. [Google Scholar] [CrossRef]
- Augustin, M.A.; Osman, A.; Azudin, M.N.; Mohamed, S. Physico-chemical changes in muskmelon (Cucumis melo L.) during storage. Pertanika 1988, 11, 203–209. [Google Scholar]
- Parveen, S.; Ali, M.A.; Asghar, M.; Khan, A.R.; Salam, A. Physico-chemical changes in muskmelon (Cucumis melo L.) as affected by harvest maturity stage. J. Agric. Res. 2012, 50, 249–260. [Google Scholar]
- Youn, A.R.; Kwon, K.H.; Kim, B.S.; Kim, S.H.; Noh, B.; Cha, H.S. Changes in quality of muskmelon (Cucumis melo L.) during storage at different temperatures. Korean J. Food Sci. Technol. 2009, 41, 251–257. [Google Scholar]
- Munira, A.Z.; Rosnah, S.; Zaulia, O.; Russly, A.R. Effect of postharvest storage of whole fruit on physico-chemical and microbial changes of fresh-cut cantaloupe (Cucumis melo L. reticulatus cv. Glamour). Int. Food Res. J. 2013, 20, 501–508. [Google Scholar]
- Supapvanich, S.; Tucker, G.A. Cell wall hydrolysis in netted melon fruit (Cucumis melo var. reticulatus L. Naud) during storage. Chiang Mai J. Sci. 2013, 40, 447–458. [Google Scholar]
- Singh, K.; Sharma, M. Review on biochemical changes associated with storage of fruit juice. Int. J. Curr. Microbiol. Appl. Sci. 2017, 6, 236–245. [Google Scholar] [CrossRef]
- Pénicaud, C.; Achir, N.; Dhuique-Mayer, C.; Dornier, M.; Bohuon, P. Degradation of β-carotene during fruit and vegetable processing or storage: Reaction mechanisms and kinetic aspects: A review. Fruits 2011, 66, 417–440. [Google Scholar] [CrossRef]
- Mahlangu, R.I.S.; Maboko, M.M.; Sivakumar, D.; Soundy, P.; Jifon, J. Lettuce (Lactuca sativa L.) growth, yield and quality response to nitrogen fertilization in a non-circulating hydroponic system. J. Plant Nutr. 2016, 39, 1766–1775. [Google Scholar] [CrossRef]
- Moyo, M.; Amoo, S.O.; Aremu, A.O.; Gruz, J.; Subrtova, M.; Jarosova, M.; Tarkowski, P.; Doležal, K. Determination of mineral constituents, phytochemicals and antioxidant qualities of Cleome gynandra, compared to Brassica oleracea and Beta vulgaris. Front. Chem. 2018, 5, 128. [Google Scholar] [CrossRef] [PubMed]
- Fawole, O.A.; Ndhlala, A.R.; Amoo, S.O.; Finnie, J.F.; Van Staden, J. Anti-inflammatory and phytochemical properties of twelve medicinal plants used for treating gastro-intestinal ailments in South Africa. J. Ethnopharmacol. 2009, 123, 237–243. [Google Scholar] [CrossRef] [PubMed]
- Zhishen, J.; Mengcheng, T.; Jianming, W. The determination of flavonoid contents in mulberry and their scavenging effects on superoxide radicals. Food Chem. 1999, 64, 555–559. [Google Scholar] [CrossRef]
- Amoo, S.O.; Aremu, A.O.; Moyo, M.; Van Staden, J. Antioxidant and acetylcholinesterase-inhibitory properties of long-term stored medicinal plants. BMC Complement. Altern. Med. 2012, 12, 87. [Google Scholar] [CrossRef]









| Cultivar | Fruit Flesh Color | Potassium | Phosphorus | Magnesium | Calcium | Zinc |
|---|---|---|---|---|---|---|
| Adore | Orange | 23,627 ± 262 b,c | 1502 ± 23 c,d | 1120 ± 20 b,c | 657 ± 20 b | 22 ± 1 a |
| Cyclone | Orange | 24,646 ± 398 a,b | 1674 ± 83 b,c | 1191 ± 139 b | 521 ± 39 c | 23 ± 1 a |
| Divine | Orange | 23,428 ± 778 b,c | 1636 ± 61 b,c | 1088 ± 20 b,c | 405 ± 34 d | 20 ± 1 a |
| E25F.00075 | Orange | 19,783 ± 594 e,f | 1428 ± 65 d | 998 ± 81 b,c,d | 305 ± 15 e,f | 22 ± 1 a |
| E25F.00185 | Orange | 23,651 ± 726 b,c | 1646 ± 101 b,c | 1050 ± 63 b,c | 556 ± 36 c | 21 ± 1 a |
| Honey Brew | Green | 20,882 ± 138 d,e,f | 1121 ± 13 e | 809 ± 42 d,e | 250 ± 28 f | 13 ± 0 c |
| Honey Star | Green | 19,488 ± 781 f | 1213 ± 23 e | 717 ± 32 e | 323 ± 23 e,f | 17 ± 2 b |
| MAB 79001 | Orange | 22,227 ± 383 c,d | 1703 ± 87 a,b | 921 ± 10 c,d,e | 352 ± 11 d,e | 22 ± 2 a |
| Magritte | Orange | 25,290 ± 182 a | 1873 ± 25 a | 1015 ± 60 b,c,d | 309 ± 13 e,f | 23 ± 1 a |
| Majestic | Orange | 21,266 ± 307 d,e | 1696 ± 50 a,b | 1495 ± 110 a | 733 ± 13 a | 22 ± 1 a |
| LSD0.05 | 1537 | 185 | 207 | 73 | 3 |
| Variable | TPC | Flav | Vit. C | β-Car | K | P | Mg | Ca | Zn | FSA (W) |
|---|---|---|---|---|---|---|---|---|---|---|
| Flavonoids | −0.162 | |||||||||
| Vitamin C | 0.236 | 0.439 a | ||||||||
| β-Carotene | 0.051 | 0.008 | 0.184 | |||||||
| K | −0.270 | 0.229 | 0.343 | 0.524 | ||||||
| P | −0.042 | 0.183 | 0.387 | 0.825 | 0.679 | |||||
| Mg | 0.249 | 0.055 | 0.260 | 0.538 | 0.238 | 0.572 | ||||
| Ca | 0.204 | 0.267 | 0.417 | 0.228 | 0.273 | 0.370 | 0.761 | |||
| Zn | 0.175 | 0.129 | 0.699 | 0.591 | 0.437 | 0.691 | 0.457 | 0.467 | ||
| FSA (W) | 0.229 | −0.919 | −0.309 | −0.009 | −0.240 | −0.059 | 0.192 | −0.090 | −0.045 | |
| FSA (AM) | 0.043 | 0.011 | 0.022 | −0.391 | 0.066 | −0.184 | −0.192 | 0.134 | −0.035 | −0.124 |
| Source | df | Mean Squares | ||||||||||
|---|---|---|---|---|---|---|---|---|---|---|---|---|
| TPC | Flav | Vit. C | β-Car | FSA | Color | TSS | pH | |||||
| W | AM | L* | a* | b* | ||||||||
| Rep | 2 | 0.061 | 0.001 | 3.345 | 0.028 | 1.70 | 4.43 | 5.54 | 0.70 | 62.14 | 0.05 | 0.50 |
| C | 4 | 0.542 ns | 0.466 ** | 6435.795 ** | 387.061 ** | 68.25 ** | 222.26 ** | 61.85 ** | 488.75 ** | 33.77 * | 3.64 ** | 0.85 ns |
| S | 2 | 2.927** | 0.807 ** | 5836.557 ** | 17.369 ** | 617.22 ** | 3.48 ns | 93.32 ** | 1.23 ns | 23.72 ns | 4.29 ** | 1.78 ** |
| C × S | 8 | 0.134 ns | 0.085 ** | 417.577 ** | 5.009 ** | 53.74 ** | 22.18 ** | 6.96 * | 1.47 ns | 2.95 ns | 0.44 ns | 0.41 * |
| Error | 20 | 0.171 | 0.000 | 1.168 | 0.025 | 1.68 | 3.01 | 2.57 | 2.24 | 24.03 | 0.22 | 0.11 |
| Total | 44 | |||||||||||
| Cultivar | Color | Total Soluble Solids (% Brix) | |
|---|---|---|---|
| a* | b* | ||
| Cyclone | 7.3 ± 0.7 b | 13.4 ± 2.8 a,b | 10.1 ± 0.3 c |
| Honey Brew | −5.4 ± 0.8 c | 11.1 ± 1.6 b | 11.4 ± 0.3 b |
| Honey Star | −5.8 ± 0.7 c | 12.1 ± 1.5 b | 11.2 ± 0.3 b |
| MAB79001 | 9.3 ± 0.7 a | 10.9 ± 1.8 b | 11.8 ± 0.5 a |
| Majestic | 6.7 ± 1.1 b | 15.6 ± 3.8 a | 11.2 ± 0.4 b |
| LSD0.05 | 1.6 | 2.8 | 0.3 |
Publisher’s Note: MDPI stays neutral with regard to jurisdictional claims in published maps and institutional affiliations. |
© 2022 by the authors. Licensee MDPI, Basel, Switzerland. This article is an open access article distributed under the terms and conditions of the Creative Commons Attribution (CC BY) license (https://creativecommons.org/licenses/by/4.0/).
Share and Cite
Pulela, B.L.; Maboko, M.M.; Soundy, P.; Amoo, S.O. Cultivar and Postharvest Storage Duration Influence Fruit Quality, Nutritional and Phytochemical Profiles of Soilless-Grown Cantaloupe and Honeydew Melons. Plants 2022, 11, 2136. https://doi.org/10.3390/plants11162136
Pulela BL, Maboko MM, Soundy P, Amoo SO. Cultivar and Postharvest Storage Duration Influence Fruit Quality, Nutritional and Phytochemical Profiles of Soilless-Grown Cantaloupe and Honeydew Melons. Plants. 2022; 11(16):2136. https://doi.org/10.3390/plants11162136
Chicago/Turabian StylePulela, Boitshepo L., Martin M. Maboko, Puffy Soundy, and Stephen O. Amoo. 2022. "Cultivar and Postharvest Storage Duration Influence Fruit Quality, Nutritional and Phytochemical Profiles of Soilless-Grown Cantaloupe and Honeydew Melons" Plants 11, no. 16: 2136. https://doi.org/10.3390/plants11162136
APA StylePulela, B. L., Maboko, M. M., Soundy, P., & Amoo, S. O. (2022). Cultivar and Postharvest Storage Duration Influence Fruit Quality, Nutritional and Phytochemical Profiles of Soilless-Grown Cantaloupe and Honeydew Melons. Plants, 11(16), 2136. https://doi.org/10.3390/plants11162136

