Separate Effects of Foliar Applied Selenate and Zinc Oxide on the Accumulation of Macrominerals, Macronutrients and Bioactive Compounds in Two Pea (Pisum sativum L.) Seed Varieties
Abstract
:1. Introduction
2. Materials and Methods
2.1. Chemicals
2.2. Design of Experiment and Sample Preparation
2.3. Concentration of Ca, Mg, K and Na
2.4. Soluble Solids and Protein Concentration
2.5. Extraction and Determination of Chlorophylls and Carotenoids
2.6. Extraction and Determination of Total Condensed Tannins
2.7. Statistical Analysis
3. Results
3.1. Overall Effects
3.2. Ca, Mg, K and Na Concentrations in Seeds
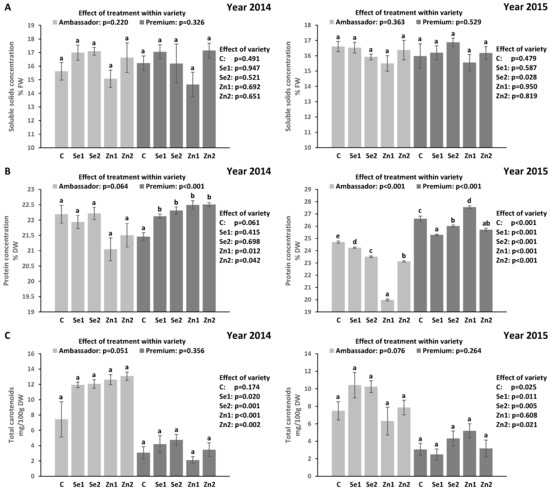
3.3. Soluble Solids Concentration (SSC) in Seeds
3.4. Protein Concentration in Seeds
3.5. Total Carotenoid Concentration in Seeds
3.6. Chlorophyll a, Chlorophyll b and Total Chlorophyll Concentration in Seeds
3.7. Total Condensed Tannin Concentration in Seeds
3.8. Correlations
4. Discussion
5. Conclusions
Supplementary Materials
Author Contributions
Funding
Institutional Review Board Statement
Informed Consent Statement
Data Availability Statement
Acknowledgments
Conflicts of Interest
References
- Loi, M.; Paciolla, C.; Logrieco, A.F.; Mulè, G. Plant Bioactive Compounds in Pre- and Postharvest Management for Aflatoxins Reduction. Front. Microbiol. 2020, 11, 243. [Google Scholar] [CrossRef]
- Ferruzzi, M.G.; Blakeslee, J. Digestion, Absorption, and Cancer Preventative Activity of Dietary Chlorophyll Derivatives. Nutr. Res. 2007, 27, 1–12. [Google Scholar] [CrossRef]
- Vaňková, K.; Marková, I.; Jašprová, J.; Dvořák, A.; Subhanová, I.; Zelenka, J.; Novosádová, I.; Rasl, J.; Vomastek, T.; Sobotka, R.; et al. Chlorophyll-Mediated Changes in the Redox Status of Pancreatic Cancer Cells Are Associated with Its Anticancer Effects. Oxidative Med. Cell. Longev. 2018, 2018, 4069167. [Google Scholar] [CrossRef] [PubMed] [Green Version]
- Bohn, T. Carotenoids and Markers of Oxidative Stress in Human Observational Studies and Intervention Trials: Implications for Chronic Diseases. Antioxidants 2019, 8, 179. [Google Scholar] [CrossRef] [PubMed] [Green Version]
- Eggersdorfer, M.; Wyss, A. Carotenoids in Human Nutrition and Health. Arch. Biochem. Biophys. 2018, 652, 18–26. [Google Scholar] [CrossRef] [PubMed]
- Serrano, J.; Puupponen-Pimiä, R.; Dauer, A.; Aura, A.M.; Saura-Calixto, F. Tannins: Current Knowledge of Food Sources, Intake, Bioavailability and Biological Effects. Mol. Nutr. Food Res. 2009, 53, S310–S329. [Google Scholar] [CrossRef] [Green Version]
- Sharma, K.; Kumar, V.; Kaur, J.; Tanwar, B.; Goyal, A.; Sharma, R.; Gat, Y.; Kumar, A. Health Effects, Sources, Utilization and Safety of Tannins: A Critical Review. Toxin Rev. 2019, 40, 432–444. [Google Scholar] [CrossRef]
- Fraga-Corral, M.; Otero, P.; Echave, J.; Garcia-Oliveira, P.; Carpena, M.; Jarboui, A.; Nuñez-Estevez, B.; Simal-Gandara, J.; Prieto, M.A. By-Products of Agri-Food Industry as Tannin-Rich Sources: A Review of Tannins’ Biological Activities and Their Potential for Valorization. Foods 2021, 10, 137. [Google Scholar] [CrossRef]
- Powers, S.E.; Thavarajah, D. Checking Agriculture’s Pulse: Field Pea (Pisum sativum L.), Sustainability, and Phosphorus Use Efficiency. Front. Plant Sci. 2019, 10, 1489. [Google Scholar] [CrossRef]
- Ge, J.; Sun, C.X.; Corke, H.; Gul, K.; Gan, R.Y.; Fang, Y. The Health Benefits, Functional Properties, Modifications, and Applications of Pea (Pisum sativum L.) Protein: Current Status, Challenges, and Perspectives. Compr. Rev. Food Sci. Food Saf. 2020, 19, 1835–1876. [Google Scholar] [CrossRef]
- Dahl, W.J.; Foster, L.M.; Tyler, R.T. Review of the Health Benefits of Peas (Pisum sativum L.). Br. J. Nutr. 2012, 108, S3–S10. [Google Scholar] [CrossRef] [PubMed] [Green Version]
- Singh, B.; Singh, J.P.; Kaur, A.; Singh, N. Phenolic Composition and Antioxidant Potential of Grain Legume Seeds: A Review. Food Res. Int. 2017, 101, 1–16. [Google Scholar] [CrossRef] [PubMed]
- Kumari, T.; Deka, S.C. Potential Health Benefits of Garden Pea Seeds and Pods: A Review. Legum. Sci. 2021, 3, e82. [Google Scholar] [CrossRef]
- Tóth, G.; Hermann, T.; Szatmári, G.; Pásztor, L. Maps of Heavy Metals in the Soils of the European Union and Proposed Priority Areas for Detailed Assessment. Sci. Total Environ. 2016, 565, 1054–1062. [Google Scholar] [CrossRef] [PubMed]
- Kaur, K.; Gupta, R.; Saraf, S.A.; Saraf, S.K. Zinc: The Metal of Life. Compr. Rev. Food Sci. Food Saf. 2014, 13, 358–376. [Google Scholar] [CrossRef]
- Rayman, M.P. Selenium and Human Health. Lancet 2012, 379, 1256–1268. [Google Scholar] [CrossRef]
- Alexander, J.; Tinkov, A.; Strand, T.A.; Alehagen, U.; Skalny, A.; Aaseth, J. Early Nutritional Interventions with Zinc, Selenium and Vitamin D for Raising Anti-Viral Resistance Against Progressive COVID-19. Nutrients 2020, 12, 2358. [Google Scholar] [CrossRef]
- Du Laing, G.; Petrovic, M.; Lachat, C.; De Boevre, M.; Klingenberg, G.J.; Sun, Q.; De Saeger, S.; De Clercq, J.; Ide, L.; Vandekerckhove, L.; et al. Course and Survival of COVID-19 Patients with Comorbidities in Relation to the Trace Element Status at Hospital Admission. Nutrients 2021, 13, 3304. [Google Scholar] [CrossRef]
- Delaqua, D.; Carnier, R.; Berton, R.S.; Corbi, F.C.A.; Coscione, A.R. Increase of Selenium Concentration in Wheat Grains through Foliar Application of Sodium Selenate. J. Food Compos. Anal. 2021, 99, 103886. [Google Scholar] [CrossRef]
- Sattar, A.; Wang, X.; Ul-Allah, S.; Sher, A.; Ijaz, M.; Irfan, M.; Abbas, T.; Hussain, S.; Nawaz, F.; Al-Hashimi, A.; et al. Foliar Application of Zinc Improves Morpho-Physiological and Antioxidant Defense Mechanisms, and Agronomic Grain Biofortification of Wheat (Triticum aestivum L.) under Water Stress. Saudi J. Biol. Sci. 2021, 29, 1699–1706. [Google Scholar] [CrossRef]
- Mariotti, F.; Tomé, D.; Mirand, P.P. Converting Nitrogen into Protein—Beyond 6.25 and Jones’ Factors. Crit. Rev. Food Sci. Nutr. 2008, 48, 177–184. [Google Scholar] [CrossRef] [PubMed]
- Kaulmann, A.; Jonville, M.C.; Schneider, Y.J.; Hoffmann, L.; Bohn, T. Carotenoids, Polyphenols and Micronutrient Profiles of Brassica Oleraceae and Plum Varieties and Their Contribution to Measures of Total Antioxidant Capacity. Food Chem. 2014, 155, 240–250. [Google Scholar] [CrossRef] [PubMed]
- Lichtenthaler, H.K.; Buschmann, C. Chlorophylls and Carotenoids: Measurement and Characterization by UV-VIS Spectroscopy. Curr. Protoc. Food Anal. Chem. 2001, 1, F4.3.1–F4.3.8. [Google Scholar] [CrossRef]
- Bouayed, J.; Hoffmann, L.; Bohn, T. Total Phenolics, Flavonoids, Anthocyanins and Antioxidant Activity Following Simulated Gastro-Intestinal Digestion and Dialysis of Apple Varieties: Bioaccessibility and Potential Uptake. Food Chem. 2011, 128, 14–21. [Google Scholar] [CrossRef]
- Sun, B.; Ricardo-da-Silva, J.M.; Spranger, I. Critical Factors of Vanillin Assay for Catechins and Proanthocyanidins. J. Agric. Food Chem. 1998, 46, 4267–4274. [Google Scholar] [CrossRef]
- Troszyńska, A.; Ciska, E. Phenolic Compounds of Seed Coats of White and Coloured Varieties of Pea (Pisum sativum L.) and Their Total Antioxidant Activity. Czech J. Food Sci. 2002, 20, 15–22. [Google Scholar] [CrossRef] [Green Version]
- Dueñas, M.; Estrella, I.; Hernández, T. Occurrence of Phenolic Compounds in the Seed Coat and the Cotyledon of Peas (Pisum sativum L.). Eur. Food Res. Technol. 2004, 219, 116–123. [Google Scholar] [CrossRef]
- Xu, B.J.; Yuan, S.H.; Chang, S.K.C. Comparative Analyses of Phenolic Composition, Antioxidant Capacity, and Color of Cool Season Legumes and Other Selected Food Legumes. J. Food Sci. 2007, 72, S167–S177. [Google Scholar] [CrossRef]
- Campos-Vega, R.; Loarca-Piña, G.; Oomah, B.D. Minor Components of Pulses and Their Potential Impact on Human Health. Food Res. Int. 2010, 43, 461–482. [Google Scholar] [CrossRef]
- Ros, G.H.; van Rotterdam, A.M.D.; Bussink, D.W.; Bindraban, P.S. Selenium Fertilization Strategies for Bio-Fortification of Food: An Agro-Ecosystem Approach. Plant Soil 2016, 404, 99–112. [Google Scholar] [CrossRef]
- Hasanuzzaman, M.; Bhuyan, M.B.; Raza, A.; Hawrylak-Nowak, B.; Matraszek-Gawron, R.; Al Mahmud, J.; Nahar, K.; Fujita, M. Selenium in Plants: Boon or Bane? Environ. Exp. Bot. 2020, 178, 104170. [Google Scholar] [CrossRef]
- Hacisalihoglu, G. Zinc (Zn): The Last Nutrient in the Alphabet and Shedding Light on Zn Efficiency for the Future of Crop Production under Suboptimal Zn. Plants 2020, 9, 1471. [Google Scholar] [CrossRef] [PubMed]
- Poblaciones, M.J.; Rengel, Z. Combined Foliar Selenium and Zinc Biofortification in Field Pea (Pisum sativum): Accumulation and Bioavailability in Raw and Cooked Grains. Crop Pasture Sci. 2017, 68, 265–271. [Google Scholar] [CrossRef]
- Poblaciones, M.J.; Rengel, Z. The Effect of Processing on Pisum sativum L. Biofortified with Sodium Selenate. J. Plant Nutr. Soil Sci. 2018, 181, 932–937. [Google Scholar] [CrossRef]
- Poblaciones, M.J.; Rengel, Z. Soil and Foliar Zinc Biofortification in Field Pea (Pisum sativum L.): Grain Accumulation and Bioavailability in Raw and Cooked Grains. Food Chem. 2016, 212, 427–433. [Google Scholar] [CrossRef] [PubMed]
- Száková, J.; Praus, L.; Tremlová, J.; Kulhánek, M.; Tlustoš, P. Efficiency of Foliar Selenium Application on Oilseed Rape (Brassica napus L.) as Influenced by Rainfall and Soil Characteristics. Arch. Agron. Soil Sci. 2017, 63, 1240–1254. [Google Scholar] [CrossRef]
- Ning, N.; Yuan, X.Y.; Dong, S.Q.; Wen, Y.Y.; Gao, Z.P.; Guo, M.J.; Guo, P.Y. Increasing Selenium and Yellow Pigment Concentrations in Foxtail Millet (Setaria italica L.) Grain with Foliar Application of Selenite. Biol. Trace Elem. Res. 2016, 170, 245–252. [Google Scholar] [CrossRef]
- Pii, Y.; Cesco, S.; Mimmo, T. Shoot Ionome to Predict the Synergism and Antagonism between Nutrients as Affected by Substrate and Physiological Status. Plant Physiol. Biochem. 2015, 94, 48–56. [Google Scholar] [CrossRef]
- Boldrin, P.F.; Faquin, V.; Ramos, S.J.; Boldrin, K.V.F.; Ávila, F.W.; Guilherme, L.R.G. Soil and Foliar Application of Selenium in Rice Biofortification. J. Food Compos. Anal. 2013, 31, 238–244. [Google Scholar] [CrossRef]
- Zanin, L.; Tomasi, N.; Rizzardo, C.; Gottardi, S.; Terzano, R.; Alfeld, M.; Janssens, K.; De Nobili, M.; Mimmo, T.; Cesco, S. Iron Allocation in Leaves of Fe-Deficient Cucumber Plants Fed with Natural Fe Complexes. Physiol. Plant. 2015, 154, 82–94. [Google Scholar] [CrossRef]
- Rietra, R.P.; Heinen, M.; Dimkpa, C.O.; Bindraban, P.S. Effects of Nutrient Antagonism and Synergism on Yield and Fertilizer Use Efficiency. Commun. Soil Sci. Plant Anal. 2017, 48, 1895–1920. [Google Scholar] [CrossRef] [Green Version]
- Lara, T.S.; de Lima Lessa, J.H.; de Souza, K.R.D.; Corguinha, A.P.B.; Martins, F.A.D.; Lopes, G.; Guilherme, L.R.G. Selenium Biofortification of Wheat Grain via Foliar Application and Its Effect on Plant Metabolism. J. Food Compos. Anal. 2019, 81, 10–18. [Google Scholar] [CrossRef]
- Pandey, N.; Gupta, B.; Pathak, G.C. Enhanced Yield and Nutritional Enrichment of Seeds of Pisum sativum L. through Foliar Application of Zinc. Sci. Hortic. 2013, 164, 474–483. [Google Scholar] [CrossRef]
- Pandey, N.; Gupta, B.; Pathak, G.C. Foliar Application of Zn at Flowering Stage Improves Plant’s Performance, Yield and Yield Attributes of Black Gram. Indian J. Exp. Biol. 2013, 51, 548–555. [Google Scholar] [PubMed]
- Kachinski, W.D.; Ávila, F.W.; dos Reis, A.R.; Muller, M.M.L.; Mendes, M.C.; Petranski, P.H. Agronomic Biofortification Increases Concentrations of Zinc and Storage Proteins in Common Bean (Phaseolus vulgaris L.) Grains. Food Res. Int. 2022, 155, 111105. [Google Scholar] [CrossRef] [PubMed]
- Poblaciones, M.J.; Rodrigo, S.; Santamaría, O. Evaluation of the Potential of Peas (Pisum sativum L.) to Be Used in Selenium Biofortification Programs under Mediterranean Conditions. Biol. Trace Elem. Res. 2013, 151, 132–137. [Google Scholar] [CrossRef] [PubMed]
- Moreira, A.; Moraes, L.A.C.; Reis, A.R. The Molecular Genetics of Zinc Uptake and Utilization Efficiency in Crop Plants. In Plant Micronutrient Use Efficiency; Academic Press: Cambridge, MA, USA, 2018; pp. 87–108. ISBN 9780128122433. [Google Scholar]
- Smrkolj, P.; Germ, M.; Kreft, I.; Stibilj, V. Respiratory Potential and Se Compounds in Pea (Pisum sativum L.) Plants Grown from Se-Enriched Seeds. J. Exp. Bot. 2006, 57, 3595–3600. [Google Scholar] [CrossRef] [PubMed] [Green Version]
- DiMario, R.J.; Clayton, H.; Mukherjee, A.; Ludwig, M.; Moroney, J.V. Plant Carbonic Anhydrases: Structures, Locations, Evolution, and Physiological Roles. Mol. Plant 2017, 10, 30–46. [Google Scholar] [CrossRef] [Green Version]
- Qiao, X.; He, Y.; Wang, Z.; Li, X.; Zhang, K.; Zeng, H. Effect of Foliar Spray of Zinc on Chloroplast β-Carbonic Anhydrase Expression and Enzyme Activity in Rice (Oryza sativa L.) Leaves. Acta Physiol. Plant. 2014, 36, 263–272. [Google Scholar] [CrossRef]
- Römheld, V.; Marschner, H. Function of Micronutrients in Plants. In Micronutrients in Agriculture; Soil Science Society of America: Madison, WI, USA, 1991; pp. 297–328. [Google Scholar]
- Aravind, P.; Prasad, M.N.V. Zinc Alleviates Cadmium-Induced Oxidative Stress in Ceratophyllum demersum L.: A Free Floating Freshwater Macrophyte. Plant Physiol. Biochem. 2003, 41, 391–397. [Google Scholar] [CrossRef]
- Roach, T.; Krieger-Liszkay, A. Regulation of Photosynthetic Electron Transport and Photoinhibition. Curr. Protein Pept. Sci. 2014, 15, 351–362. [Google Scholar] [CrossRef] [PubMed] [Green Version]
- Sams, C.E.; Panthee, D.R.; Charron, C.S.; Kopsell, D.A.; Yuan, J.S. Selenium Regulates Gene Expression for Glucosinolate and Carotenoid Biosynthesis in Arabidopsis. J. Am. Soc. Hortic. Sci. 2011, 136, 23–34. [Google Scholar] [CrossRef] [Green Version]
- Song, C.Z.; Liu, M.Y.; Meng, J.F.; Chi, M.; Xi, Z.M.; Zhang, Z.W. Promoting Effect of Foliage Sprayed Zinc Sulfate on Accumulation of Sugar and Phenolics in Berries of Vitis vinifera Cv. Merlot Growing on Zinc Deficient Soil. Molecules 2015, 20, 2536–2554. [Google Scholar] [CrossRef] [PubMed] [Green Version]
- He, F.; Mu, L.; Yan, G.L.; Liang, N.N.; Pan, Q.H.; Wang, J.; Reeves, M.J.; Duan, C.Q. Biosynthesis of Anthocyanins and Their Regulation in Colored Grapes. Molecules 2010, 15, 9057–9091. [Google Scholar] [CrossRef] [PubMed] [Green Version]
- Wang, H.; Fan, W.; Li, H.; Yang, J.; Huang, J.; Zhang, P. Functional Characterization of Dihydroflavonol-4-Reductase in Anthocyanin Biosynthesis of Purple Sweet Potato Underlies the Direct Evidence of Anthocyanins Function against Abiotic Stresses. PLoS ONE 2013, 8, e78484. [Google Scholar] [CrossRef] [PubMed]
- Solfanelli, C.; Poggi, A.; Loreti, E.; Alpi, A.; Perata, P. Sucrose-Specific Induction of the Anthocyanin Biosynthetic Pathway in Arabidopsis. Plant Physiol. 2006, 140, 637–646. [Google Scholar] [CrossRef] [Green Version]
- Grela, E.R.; Samolińska, W.; Kiczorowska, B.; Klebaniuk, R.; Kiczorowski, P. Content of Minerals and Fatty Acids and Their Correlation with Phytochemical Compounds and Antioxidant Activity of Leguminous Seeds. Biol. Trace Elem. Res. 2017, 180, 338–348. [Google Scholar] [CrossRef] [Green Version]
- Fabbri, A.D.T.; Crosby, G.A. A Review of the Impact of Preparation and Cooking on the Nutritional Quality of Vegetables and Legumes. Int. J. Gastron. Food Sci. 2016, 3, 2–11. [Google Scholar] [CrossRef] [Green Version]
- Sun, B.; Tian, Y.X.; Jiang, M.; Yuan, Q.; Chen, Q.; Zhang, Y.; Luo, Y.; Zhang, F.; Tang, H.R. Variation in the Main Health-Promoting Compounds and Antioxidant Activity of Whole and Individual Edible Parts of Baby Mustard (Brassica juncea Var. Gemmifera). RSC Adv. 2018, 8, 33845–33854. [Google Scholar] [CrossRef] [Green Version]

| Year (Y) | Variety (V) | Treatment (T) | Y × V | Y × T | V × T | Y × V × T | |
|---|---|---|---|---|---|---|---|
| DF | 1 | 1 | 4 | 1 | 4 | 4 | 4 |
| Ca (mg/kg DW) | <0.001 | <0.001 | NS | 0.053 | NS | NS | NS |
| Mg (mg/kg DW) | <0.001 | <0.001 | NS | 0.020 | NS | NS | NS |
| K (mg/kg DW) | 0.027 | <0.001 | NS | NS | NS | NS | NS |
| Na (mg/kg DW) | <0.001 | 0.051 | NS | <0.001 | NS | NS | NS |
| Soluble solids (% FW) | NS | NS | 0.014 | NS | NS | NS | NS |
| Protein (% DW) | <0.001 | <0.001 | <0.001 | <0.001 | <0.001 | <0.001 | <0.001 |
| Chlorophyll a (mg/100 g DW) | <0.001 | <0.001 | NS | <0.001 | NS | 0.023 | 0.003 |
| Chlorophyll b (mg/100 g DW) | NS | NS | NS | NS | NS | NS | NS |
| Total chlorophyll (mg/100 g DW) | 0.005 | 0.006 | NS | NS | NS | 0.054 | NS |
| Total carotenoids (mg/100 g DW) | NS | <0.001 | NS | NS | NS | NS | 0.025 |
| TCT (mg/100 g DW) | NS | NS | NS | NS | NS | NS | NS |
| Ca (mg/kg DW) | Mg (mg/kg DW) | K (mg/kg DW) | Na (mg/kg DW) | ||||||||||
|---|---|---|---|---|---|---|---|---|---|---|---|---|---|
| Year | Treatment | Ambassador | Premium | p-Value | Ambassador | Premium | p-Value | Ambassador | Premium | p-Value | Ambassador | Premium | p-Value |
| 2014 | Control | 903 ± 45.8 | 1574 ± 320 | 0.004 | 1247 ± 39.4 | 1152 ± 37.3 | 0.012 | 13,539 ± 426 | 11,254 ± 1128 | 0.010 | 92.2 ± 86.5 | 45.2 ± 11.3 | 0.283 |
| Se1 | 953 ± 80.9 | 1515 ± 155 | <0.001 | 1249 ± 72.4 | 1135 ± 72.6 | 0.068 | 13,530 ± 489 | 11,695 ± 1222 | 0.033 | 48.7 ± 10.1 | 54.4 ± 13.2 | 0.571 | |
| Se2 | 954 ± 40.3 | 1577 ± 205 | <0.001 | 1247 ± 52.7 | 1149 ± 108 | 0.142 | 13,839 ± 973 | 11,505 ± 1236 | 0.023 | 59.3 ± 26.0 | 44.8 ± 14.8 | 0.359 | |
| Zn1 | 896 ± 89.4 | 1545 ± 187 | <0.001 | 1257 ± 14.3 | 1151 ± 152 | 0.196 | 14,175 ± 597 | 11,865 ± 1259 | 0.017 | 41.2 ± 6.69 | 47.2 ± 13.2 | 0.494 | |
| Zn2 | 965 ± 97.9 | 1484 ± 146 | 0.001 | 1234 ± 20.0 | 1143 ± 97.1 | 0.109 | 13,208 ± 973 | 11,314 ± 880 | 0.028 | 55.2 ± 8.98 | 49.8 ± 4.43 | 0.359 | |
| p-value | 0.582 | 0.983 | 0.970 | 0.999 | 0.448 | 0.932 | 0.446 | 0.756 | |||||
| 2015 | Control | 910 ± 52.2 AB | 1308 ± 13.3 | <0.001 | 1382 ± 32.8 A | 1441 ± 25.5 C | 0.029 | 13,999 ± 612 | 12,393 ± 485 B | 0.006 | 31.2 ± 3.43 | 48.8 ± 7.27 | 0.003 |
| Se1 | 808 ± 76.2 A | 1379 ± 56.5 | <0.001 | 1455 ± 7.02 B | 1341 ± 10.0 AB | <0.001 | 14,426 ± 529 | 11,802 ± 223 AB | <0.001 | 36.1 ± 8.67 | 50.8 ± 11.7 | 0.084 | |
| Se2 | 844 ± 36.1 A | 1316 ± 41.1 | <0.001 | 1418 ± 24.2 AB | 1380 ± 29.2 B | 0.095 | 14,405 ± 609 | 11,751 ± 217 AB | <0.001 | 31.9 ± 3.48 | 43.2 ± 11.0 | 0.088 | |
| Zn1 | 988 ± 89.9 B | 1334 ± 57.6 | 0.001 | 1411 ± 45.8 AB | 1333 ± 19.6 A | 0.017 | 13,424 ± 1140 | 12,187 ± 174 AB | 0.068 | 37.4 ± 14.4 | 48.5 ± 3.26 | 0.130 | |
| Zn2 | 917 ± 22.0 AB | 1392 ± 30.6 | <0.001 | 1386 ± 11.2 A | 1314 ± 16.7 A | <0.001 | 13,745 ± 533 | 11,578 ± 412 A | 0.001 | 28.8 ± 4.26 | 46.0 ± 4.23 | 0.001 | |
| p-value | 0.006 | 0.050 | 0.015 | <0.001 | 0.259 | 0.016 | 0.566 | 0.683 | |||||
| * p-value across | 0.059 | 0.001 | <0.001 | <0.001 | 0.153 | 0.094 | <0.001 | 0.966 | |||||
| Chlorophyll a (mg/100 g DW) | Chlorophyll b (mg/100 g DW) | TCH (mg/100 g DW) | TCT (mg/100 g DW) | ||||||||||
|---|---|---|---|---|---|---|---|---|---|---|---|---|---|
| Year | Treatment | Ambassador | Premium | p-Value | Ambassador | Premium | p-Value | Ambassador | Premium | p-Value | Ambassador | Premium | p-Value |
| 2014 | Control | 32.7 ± 6.28 | 26.4 ± 4.31 | 0.149 | 20.8 ± 13.6 | 7.55 ± 7.20 | 0.137 | 53.5 ± 19.8 | 33.9 ± 11.4 | 0.138 | 667 ± 84.5 | 1174 ± 59.8 | 0.843 |
| Se1 | 29.2 ± 2.15 | 34.5 ± 3.81 | 0.051 | 10.6 ± 0.81 | 17.7 ± 5.60 | 0.045 | 39.7 ± 2.92 | 52.2 ± 8.99 | 0.039 | 652 ± 99.6 | 1233 ± 63.0 | 0.385 | |
| Se2 | 30.4 ± 3.72 | 30.6 ± 5.90 | 0.974 | 11.0 ± 1.53 | 11.7 ± 7.44 | 0.866 | 41.5 ± 5.19 | 42.3 ± 13.3 | 0.915 | 760 ± 109 | 1160 ± 73.4 | 0.473 | |
| Zn1 | 31.3 ± 2.22 | 26.6 ± 4.13 | 0.095 | 11.5 ± 0.80 | 10.5 ± 6.44 | 0.770 | 42.7 ± 3.01 | 37.1 ± 10.4 | 0.338 | 787 ± 187 | 1213 ± 81.4 | 0.994 | |
| Zn2 | 33.0 ± 2.24 | 27.9 ± 1.65 | 0.010 | 12.4 ± 0.79 | 10.2 ± 3.44 | 0.255 | 45.5 ± 2.97 | 38.1 ± 4.61 | 0.037 | 788 ± 91.9 | 1333 ± 173 | 0.449 | |
| p-value | 0.574 | 0.076 | 0.160 | 0.256 | 0.313 | 0.156 | 0.797 | 0.495 | |||||
| 2015 | Control | 30.2 ± 1.76 | 10.7 ± 4.04 A | <0.001 | 14.7 ± 5.73 | 8.52 ± 6.84 | 0.213 | 44.9 ± 7.34 | 19.3 ± 10.9 | 0.008 | 956 ± 212 | 793 ± 151 | 0.468 |
| Se1 | 27.2 ± 6.60 | 12.5 ± 4.37 AB | 0.010 | 13.2 ± 11.9 | 11.5 ± 7.38 | 0.814 | 40.5 ± 18.4 | 24.0 ± 11.7 | 0.182 | 945 ± 272 | 862 ± 73.9 | 0.902 | |
| Se2 | 27.7 ± 9.17 | 14.2 ± 3.61 AB | 0.034 | 16.1 ± 16.1 | 11.9 ± 5.96 | 0.642 | 43.8 ± 25.2 | 26.1 ± 9.57 | 0.238 | 993 ± 39.3 | 823 ± 210 | 0.747 | |
| Zn1 | 21.3 ± 3.80 | 21.5 ± 6.13 B | 0.957 | 12.4 ± 7.13 | 22.8 ± 11.5 | 0.173 | 33.7 ± 10.9 | 44.3 ± 17.6 | 0.343 | 923 ± 70.1 | 933 ± 39.7 | 0.250 | |
| Zn2 | 27.3 ± 4.34 | 16.9 ± 2.33 AB | 0.006 | 12.7 ± 5.12 | 14.8 ± 4.84 | 0.560 | 40.0 ± 9.32 | 31.8 ± 7.13 | 0.213 | 1047 ± 266 | 891 ± 66.2 | 0.419 | |
| p-value | 0.308 | 0.023 | 0.983 | 0.141 | 0.864 | 0.077 | 0.949 | 0.719 | |||||
| * p-value across | 0.005 | <0.001 | 0.832 | 0.286 | 0.334 | 0.002 | 0.365 | 0.291 | |||||
| Variety | Correlations | Regression Equation | r2 |
|---|---|---|---|
| Ambassador | |||
| Chla vs. Chlb | y = 1.0861x − 18.013 | 0.544 | |
| Chla vs. TCH | y = 2.0861x − 18.013 | 0.815 | |
| Chlb vs. TCH | y = 1.5011x + 22.261 | 0.915 | |
| Mg vs. Zn | y = 0.0834x − 65.672 | 0.735 | |
| Zn vs. protein | y = 4.036x − 45.495 | 0.437 | |
| Premium | |||
| Ca vs. Mg | y = −0.5834x + 2095.3 | 0.573 | |
| Ca vs. K | y = −3.5624x + 16873 | 0.545 | |
| Ca vs. protein | y = −0.0078x + 35.448 | 0.375 | |
| Mg vs. K | y = 3.9935x + 6727.3 | 0.407 | |
| Mg vs. Chla | y = −0.0478x + 82.169 | 0.513 | |
| Mg vs. protein | y = 0.0136x + 7.1227 | 0.682 | |
| K vs. Na | y = 0.0068x − 32.48 | 0.344 | |
| Chla vs. TCH | y = 1.3569x + 4.8012 | 0.749 | |
| Chlb vs. TCH | y = 1.479x + 16.094 | 0.663 | |
| Chla vs. protein | y = −0.1763x + 28.118 | 0.509 | |
| Zn vs. Ca | y = −0.0357x + 87.093 | 0.483 | |
| Zn vs. Mg | y = 0.0599x − 39.455 | 0.807 | |
| Zn vs. Chla | y = −0.7707x + 52.691 | 0.597 | |
| Zn vs. protein | y = 3.7961x − 56.303 | 0.884 |
| Constituent | Ambassador | Premium |
|---|---|---|
| Se | −0.007 | −0.036 |
| Zn | 0.167 | 0.004 |
| Ca | 0.172 | 0.056 |
| Mg | 0.163 | −0.174 |
| K | 0.284 | −0.203 |
| Na | −0.037 | −0.006 |
| SSC | 0.362 * | −0.138 |
| Protein | −0.015 | 0.041 |
| Chla | 0.236 | −0.008 |
| Chlb | 0.358 * | 0.113 |
| TCH | 0.330 * | 0.057 |
| TCC | −0.228 | 0.210 |
Publisher’s Note: MDPI stays neutral with regard to jurisdictional claims in published maps and institutional affiliations. |
© 2022 by the authors. Licensee MDPI, Basel, Switzerland. This article is an open access article distributed under the terms and conditions of the Creative Commons Attribution (CC BY) license (https://creativecommons.org/licenses/by/4.0/).
Share and Cite
Malka, M.; Du Laing, G.; Bohn, T. Separate Effects of Foliar Applied Selenate and Zinc Oxide on the Accumulation of Macrominerals, Macronutrients and Bioactive Compounds in Two Pea (Pisum sativum L.) Seed Varieties. Plants 2022, 11, 2009. https://doi.org/10.3390/plants11152009
Malka M, Du Laing G, Bohn T. Separate Effects of Foliar Applied Selenate and Zinc Oxide on the Accumulation of Macrominerals, Macronutrients and Bioactive Compounds in Two Pea (Pisum sativum L.) Seed Varieties. Plants. 2022; 11(15):2009. https://doi.org/10.3390/plants11152009
Chicago/Turabian StyleMalka, Maksymilian, Gijs Du Laing, and Torsten Bohn. 2022. "Separate Effects of Foliar Applied Selenate and Zinc Oxide on the Accumulation of Macrominerals, Macronutrients and Bioactive Compounds in Two Pea (Pisum sativum L.) Seed Varieties" Plants 11, no. 15: 2009. https://doi.org/10.3390/plants11152009
APA StyleMalka, M., Du Laing, G., & Bohn, T. (2022). Separate Effects of Foliar Applied Selenate and Zinc Oxide on the Accumulation of Macrominerals, Macronutrients and Bioactive Compounds in Two Pea (Pisum sativum L.) Seed Varieties. Plants, 11(15), 2009. https://doi.org/10.3390/plants11152009

