Next Article in Journal
Phenolic Profile and Antioxidant, Anticholinergic, and Antibacterial Properties of Corn Tassel
Next Article in Special Issue
Abscisic Acid Synthesis and Signaling during the Ripening of Raspberry (Rubus idaeus ‘Heritage’) Fruit
Previous Article in Journal
Heterologous Expression of Three Transcription Factors Differently Regulated Astragalosides Metabolic Biosynthesis in Astragalus membranaceus Hairy Roots
Previous Article in Special Issue
Response Mechanisms of “Hass” Avocado to Sequential 1–methylcyclopropene Applications at Different Maturity Stages during Cold Storage
 
 
Font Type:
Arial Georgia Verdana
Font Size:
Aa Aa Aa
Line Spacing:
Column Width:
Background:
Article

Bioinformatics Study of Aux/IAA Family Genes and Their Expression in Response to Different Hormones Treatments during Japanese Apricot Fruit Development and Ripening

1
College of Horticulture, Nanjing Agricultural University, Nanjing 210095, China
2
College of Horticulture, Zhongkai University of Agriculture and Engineering, Guangzhou 510225, China
3
Department of Horticultural Sciences, The Islamia University of Bahawalpur, Bahawalpur 63100, Pakistan
4
College of Food Science and Technology, Nanjing Agricultural University, Nanjing 210095, China
5
Department of Animal Sciences, Ghazi University, Dera Ghazi Khan 32200, Pakistan
6
Ayub Agricultural Research Institute, Faisalabad 38850, Pakistan
*
Authors to whom correspondence should be addressed.
These authors contributed equally to this work.
Plants 2022, 11(15), 1898; https://doi.org/10.3390/plants11151898
Submission received: 1 July 2022 / Revised: 19 July 2022 / Accepted: 20 July 2022 / Published: 22 July 2022
(This article belongs to the Special Issue Plant Hormone Signaling Regulation and Metabolites in Fruits)

Abstract

Auxin/indole-3-acetic acid (Aux/IAA) is a transcriptional repressor in the auxin signaling pathway that plays a role in several plant growth and development as well as fruit and embryo development. However, it is unclear what role they play in Japanese apricot (Prunus mume) fruit development and maturity. To investigate the role of Aux/IAA genes in fruit texture, development, and maturity, we comprehensively identified and expressed 19 PmIAA genes, and demonstrated their conserved domains and homology across species. The majority of PmIAA genes are highly responsive and expressed in different hormone treatments. PmIAA2, PmIAA5, PmIAA7, PmIAA10, PmIAA13, PmIAA18, and PmIAA19 showed a substantial increase in expression, suggesting that these genes are involved in fruit growth and maturity. During fruit maturation, alteration in the expression of PmIAA genes in response to 1-Methylcyclopropene (1-MCP) treatment revealed an interaction between auxin and ethylene. The current study investigated the response of Aux/IAA development regulators to auxin during fruit ripening, with the goal of better understanding their potential application in functional genomics.

1. Introduction

Auxin has a role in several cellular and developmental processes [1,2]. Auxin is a plant hormone that regulates apical control, phototropism, organ growth, and fruit maturation, among other biological processes [3,4,5]. Auxin stimulates diverse growth responses primarily through regulating gene expression [6,7,8]. Auxin/indole-3-acetic acid (Aux/IAA) [9], Gretchen Hagen 3 (GH3) [10], and small auxin up RNA (SAUR) are the three primary groups of early auxin response genes [11]. Aux/IAA genes belong to a vast gene family that may be found in a variety of plants, including 18 in papaya [12], 26 in grapes [13], 22 in pecans [14], and 27 in cucumbers [15]. Auxin is thought to influence plant development primarily through transcriptional regulation of the members of the auxin/indole-3-acetic acid (Aux/IAA), small auxin up RNA (SAUR), auxin response factor (ARF), and Gretchen Hagen 3 (GH3) gene families. [16,17,18,19]. Furthermore, these genes activate hormone signaling pathways that include salicylic acid (SA) [20], jasmonic acid (JA) [21], brassinosteroid (BR) [22], and ethylene [23].
Aux/IAA proteins retain four characteristic motifs, which are classified as domains I, II, III, and IV respectively. In this gene family, it has also been reported that proteins lack one or two of these domains [11]. Domain I includes a leucine repeat motif [LxLxLx], which inhibits transcription by communicating with a TOPLESS (TPL) repressor [24]. Domain II is the primary component that promotes the instability of Aux/IAA protein; therefore, it is thought to be the ubiquitin-proteasome protein’s degradation process [25]. Domains III and IV serve as binding sites for Aux/IAA-ARF hetero-dimers to assemble [26]. Previous research on Aux/IAA family genes have shown that they are crucial in controlling several aspects of plant growth [4,27,28]. Several Aux/IAA genes have been implicated in fruit growth and maturity, and are confirmed through earlier studies. The auxin response genes Aux/IAA1 and Aux/IAA2 were strongly up-regulated at the early stages of fruit development in strawberries (Fragararia x ananassa), but dramatically reduced throughout ripening [29]. The ethylene and auxin response gene SlIAA3 was found to be expressed in several tissues of tomato (Solanum esculenta), however, it was shown to be more robustly expressed in orange, red, and mature fruits at the later stage of fruit maturity [30].
To better understand the Aux/IAA family in Rosaceae, we comprehensively investigated the entire Aux/IAA gene family of Japanese apricot (Prunus mume). The expression study revealed a distinct spatiotemporal expression pattern of the Aux/IAA genes, some of which had variable responses to maturation-related hormones, pointing to the functional characterization of auxin response genes involved in fruit maturation. The objective of this study was to see if and how PmIAA genes are differentially expressed during fruit ripening, and to determine if they may be used in future functional studies or as molecular breeding development targets. Our finding established the groundwork for further functional, molecular, and biochemical characterization of Aux/IAA activity in Japanese apricots, advancing our knowledge of auxin signal transduction during fruit development. Advances in auxin signal transduction will not only aid in the understanding of fruit tree genetics but will also give tools for designing and breeding novel features in Japanese apricot and other drupes.

2. Results

2.1. PmIAA Gene Characteristics and Phylogenetic Analysis

The Prunus mume genome (V 1.0) was used to identify the PmIAA genes in Japanese apricot. The gene sequences of PmIAA genes were retrieved from the Prunus mume genome. After removing repetitive sequences, 28 non-redundant putative genes were found and named PmIAA1–19. The details information on the genes including gene ID, length, exon number, chromosome, protein amino acid residues (aa), molecular weight (MW), pI, and subcellular localization are listed in Table 1.
A phylogenetic tree based on Arabidopsis and Prunus persica was constructed using the neighbor-joining method (NJ) to investigate the evolutionary relationship of PmIAA proteins from Prunus mume. Based on AtIAA and PpIAA sequences, these genes were categorized into seven different clades (Figure 1). The maximum number of genes were grouped in clade I, while the minimum number of genes were grouped in clade IV. All the clades have interaction with peach and Arabidopsis except clade IV. The interaction between these clades showed their shared biological function among each other. The constructed phylogenetic tree is congruent with Arabidopsis and Prunus persica, suggesting diverse functions of the PmIAA genes.

2.2. Gene Structural Analysis and Motif Prediction

A phylogenetic tree of PmIAA genes was constructed to further analyze their evolutionary relationships. To get deep insight and better understand the PmIAA gene structure, location of CDS, intron, and exon were identified using Gene Structure Display Server (GSDS; v2.0) (Figure 2). Therefore, based on coding sequence (CDS) and untranslated region (UTR) of IAA genes in Prunus mume, gene structure was determined and visualized in TBtools software. The finding revealed that the majority of the PmIAA gene members were mainly conserved, but have a lot of divergence from each other. Furthermore, most of the PmIAA genes showed fewer or more resemblances among the same clades.
To further investigate the diversity of IAA genes in Prunus mume, 10 conserved motifs were identified using the MEME online server. The majority of PmIAA genes have identical motif types and numbers, although there are variances in motif patterns among the same subfamily members. The results revealed that motifs 1, 2, 3, 4, and 7 exist in all PmIAA genes. The presence of identical gene architecture and conserved motifs in the same subfamily improves the phylogenetic tree’s accuracy. Furthermore, structural changes across subfamilies reveal the PmIAA gene family’s functional diversity.

2.3. PmIAA Genes Transcriptional Activity Is Regulated by Cis-Element

To further investigate the possible function of the PmIAA genes, >1500 kb sequences upstream from the translation initiation site of each PmIAA gene were selected and subjected to the PlantCARE database to identify putative cis-elements. The promoter region of the PmIAA genes contained 16 different types of cis-elements, including hormone-responsive elements, and development-response associated elements (Figure 3). The light-response and hormone-responsive elements were the most prevalent elements among all PmIAA genes. Furthermore, several additional stress response elements such as low temperature, anaerobic induction, and defense and stress responsiveness elements, and so on were also discovered, suggesting that they play an imperative role in coping with a variety of stresses. Auxin, Abscisic acid (ABA) and gibberellin-response elements were the most abundant hormone response elements, demonstrating their importance in hormone regulation.

2.4. Chromosomal Location and Synteny Analysis of PmIAA Genes

The distribution of the chromosome was analyzed using MapInspect software. A total of 19 PmIAA genes were distributed randomly across the different chromosomal locations of the Prunus mume genome (Chr01–Chr08) (Figure 4A). Most of the chromosomes showed variation in terms of PmIAA genes. Chr02 showed the highest gene number (8 genes), while Chr08 had the lowest number of genes (1 gene). Chr01 represents two genes (PmIAA5 and PmIAA12), Chr02 showed eight genes (PmIAA2, PmIAA4, PmIAA6, PmIAA8, PmIAA15, PmIAA16, PmIAA18 and PmIAA19), Chr04 presented five genes (PmIAA3, PmIAA9, PmIAA13, PmIAA14 and PmIAA17) and Chr06 showed three genes (PmIAA1, PmIAA7 and PmIAA10), while Chr08 represent only one gene (PmIAA11). These genes were found on the upper and lower arms of the chromosome, suggesting that their uneven distribution might be attributable to chromosomal size and structural differences.
Subsequently, the tandem duplication of PmIAA genes was analyzed. As shown in Figure 4B, the PmIAA genes were differentially distributed in five out of eight J. apricot chromosomes. Among these genes, PmIAA5–PmIAA6, PmIAA11–PmIAA13, PmIAA14–PmIAA16, PmIAA15–PmIAA9, PmIAA7–PmIAA8, PmIAA4–PmIAA10 and PmIAA2–PmIAA1 exhibited gene duplication (Figure 4B).

2.5. Hormone Treatment Effect on the Expression of PmIAA Genes

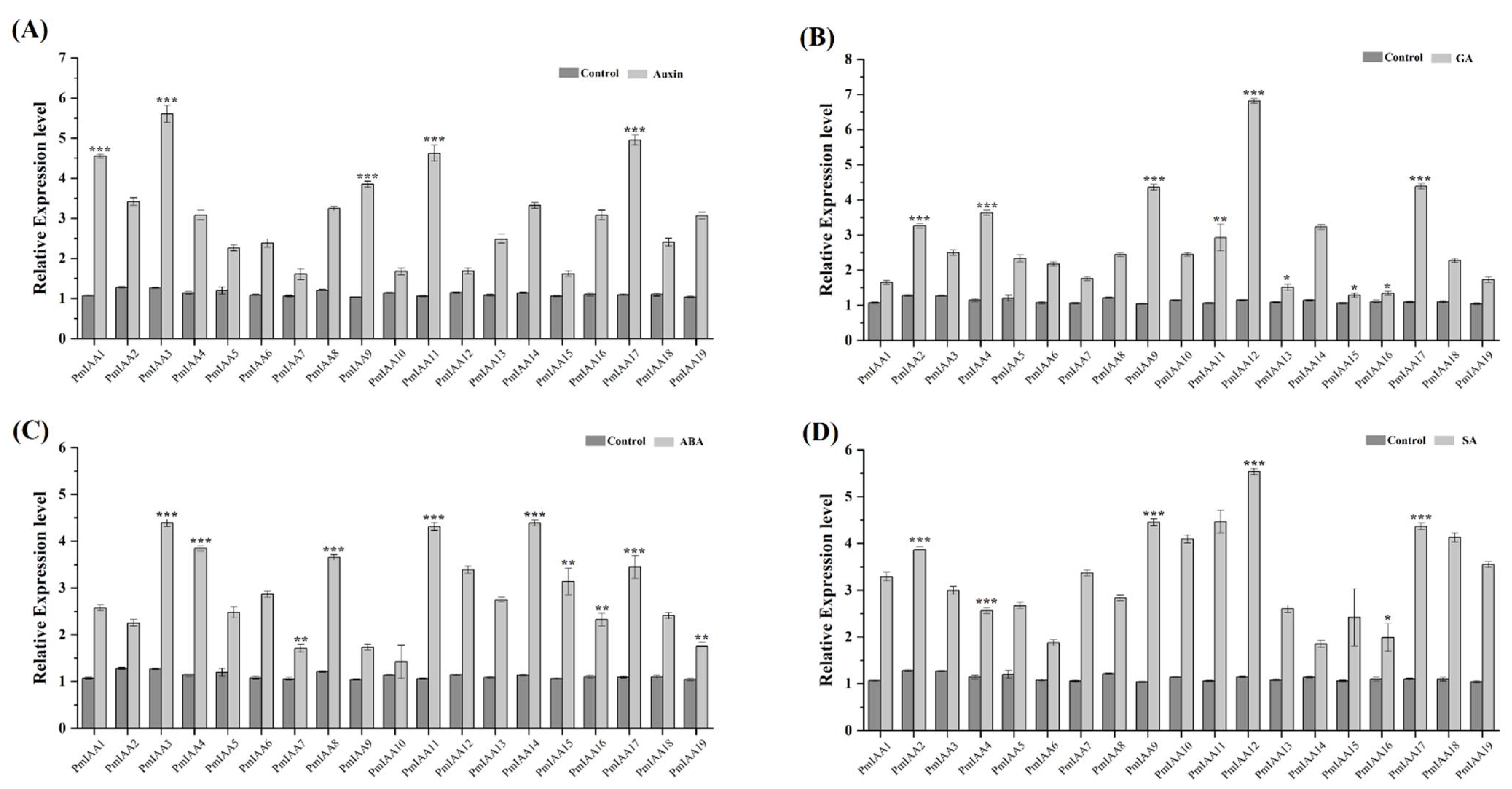
The primary hormones involved in fruit growth and ripening are auxin, ABA, GA, and SA. RT-qPCR was used to determine the expression pattern of PmIAA genes in response to these four hormones. Under the auxin treatment, the expression level of PmIAA3, PmIAA11, and PmIAA17 was higher, while PmIAA7 PmIAA10 and PmIAA15 were lower (Figure 5A). Under GA treatment, the PmIAA9, PmIAA12, and PmIAA17 showed higher expression, while PmIAA13, PmIAA15, and PmIAA16 showed lower expression (Figure 5B). Under ABA treatment, the expression level of PmIAA3, PmIAA11, and PmIAA14 were higher while PmIAA7, PmIAA9, and PmIAA10 were lower (Figure 5C). While in the case of SA treatment, PmIAA9, PmIAA11 and PmIAA12 exhibited higher expression, while PmIAA6, PmIAA14, and PmIAA16 exhibited lower expression (Figure 5D). The majority of PmIAA genes are phytohormones responsive and showed distinct expression patterns in response to various hormone treatments.

2.6. PmIAA Genes Expression after Exposure to 1-MCP

Ethylene is the key hormone involved in fruit ripening. The expression of PmIAA genes involved in fruit ripening was examined using 1-MCP. The expression of PmIAA2, PmIAA9, PmIAA11, PmIAA14, and PmIAA18 was significantly higher, while PmIAA3 and PmIAA19 showed lower expression (Figure 6). Overall, the expression of 1-MCP treated samples was higher than untreated samples.

2.7. Ethylene Production and Fruit Firmness

In the process of fruit ripening, ethylene production gradually increases from S4 to onward stages (Figure 7A). In the case of fruit firmness, the flesh firmness of the fruit gradually decreased during fruit development and ripening (Figure 7B). Overall, we can see that ethylene production becomes more with fruit ripening and the flesh of the fruit become softened gradually.

2.8. PmIAA Genes Expression throughout Different Stages of Fruit Development and Ripening

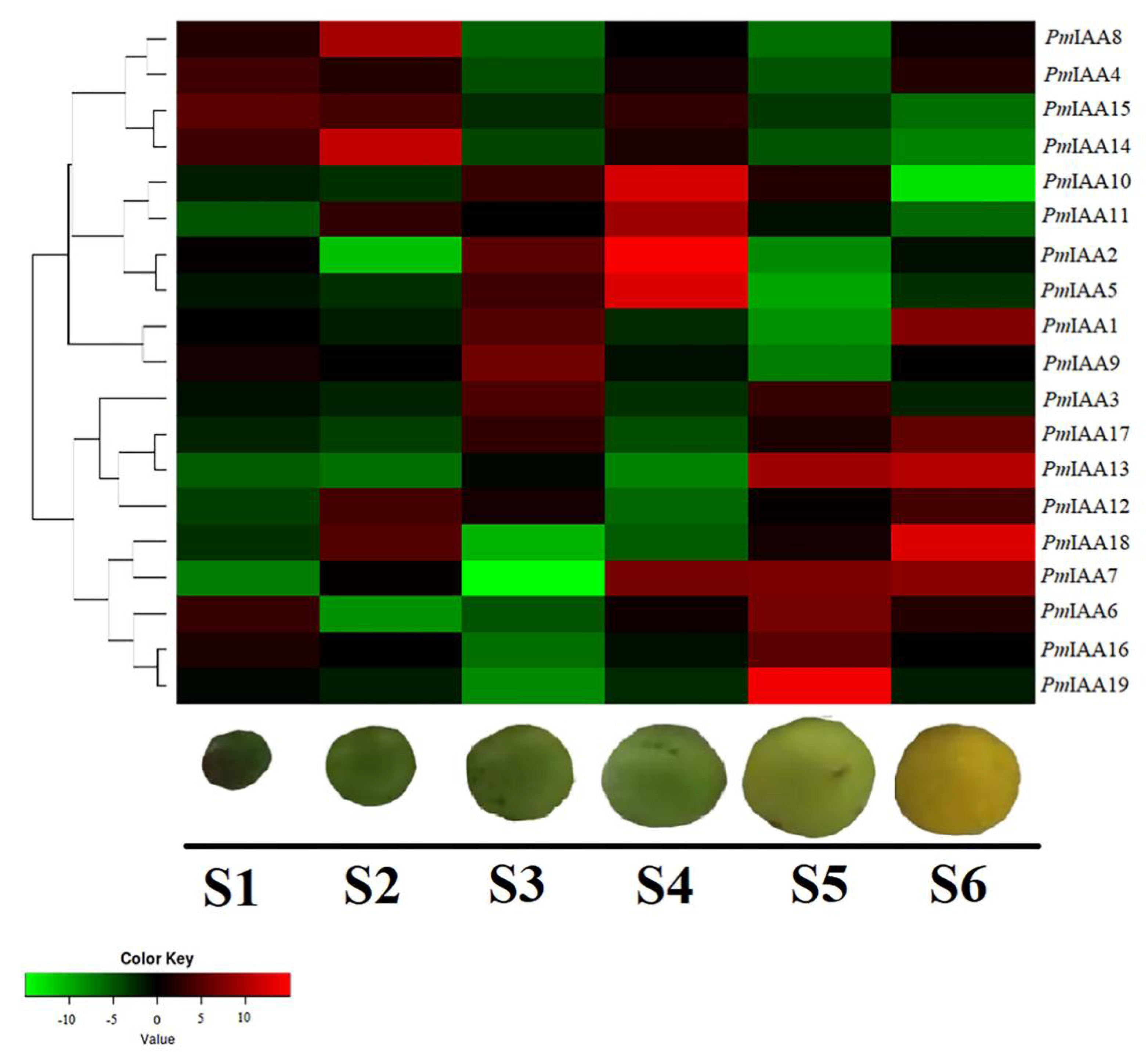
The expression level of all genes was analyzed during all stages from development to ripening. The expression of the genes is shown in cluster form (Figure 8). The expression of most genes was significantly changed from fruit development to ripening stages. The expression of PmIAA2, PmIAA5, PmIAA10, and PmIAA11 was significantly higher at S4, while lower at S5 and S6 stages. At the S5 stage, the expression of PmIAA19 was higher, while at the S6 stage, the expression of PmIAA18 was higher. So, in light of these consequences, we can suggest that up-regulation of these PmIAA genes may contribute to fruit softening.

3. Discussion

Auxin is the main signaling molecule involved in different processes of plant growth and development [31,32,33]. Aux/IAA are the major proteins of auxin-mediated development that bind to ARF proteins to suppress or express the target genes [34,35]. Aux/IAA isolated genes mostly act to understand the plant metabolic functions and developmental process and have their role in early signaling [36,37,38]. In diverse plant species, the Aux/IAA gene families were identified and analyzed such as Arabidopsis thaliana [39], tomato [40], rice [10], and B. rapa [19]. However, in Japanese apricot, this information is quite little. To identify the mechanism of auxin involved in the development and ripening of Japanese apricot, a comprehensive collection of 19 Aux/IAA genes were identified and characterized, and their expression was analyzed.
For evolutionary analysis, a set of Aux/IAA genes with A. thaliana and peach species were taken and their phylogenetic tree was constructed and showed the distribution of genes in seven different clades/groups, suggesting that Aux/IAA in Japanese apricot were highly homologous to Arabidopsis and peach. The maximum number of the genes were presented in clades I and VII followed by clades II and VI. Relative phylogenetic research on Japanese apricot might give useful information regarding various biological functions and with earlier studies reported in Arabidopsis and rice [41,42]. In silico mapping showed that all 19 PmIAA genes were mapped on chromosomes 1, 2, 4, 6, and 8 of the genome. Syntenic analysis among PmIAA genes represents seven different segmental duplication genes, which have copies of 2 and 3 on different chromosomes. Further, motif analysis of PmIAA genes reveals changes in the conserved domain and motif structure, and most of the proteins were conserved in all domains, though someone was lacking. Their corresponding proteins from Arabidopsis also lack some domains, indicating that they are evolutionarily conservative in both species. While mutations or deletions of these domains can lengthen the life of these proteins when compared with other standards Aux/IAA proteins [43].
Fruit development is a complex process that involves the interaction of cell division, differentiation, and expansion in reproductive organs, and occurs in a spatially and temporarily organized manner [44]. In fruit plants, several reports suggested that auxin may be related to fruit development and maturation [45,46]. Auxin promotes cell division and elongation of un-pollinated resting ovaries, and is therefore considered to play a major role in fruit setting and development [47]. In plants, different hormones influence the degree of expression of IAA family genes [19]. According to our findings, several PmIAA gene transcript levels were influenced by various treatments. Promoter analysis revealed multiple recognized hormone response elements in the promoter region of most PmIAA genes, indicating that there is a crosstalk between several hormones in Japanese apricot, which is consistent with the change in PmIAA gene expression. In tomato, the member of the Aux/IAA gene family is involved in the formation of fruit. SlIAA9 is continuously expressed in several tissues of the organ, and is rapidly stimulated by auxin [48]. In our study, auxin treatment dramatically increased the expression of PmIAA9, a homolog of SlIAA9. According to the previous study, ethylene production increased at the later stage of fruit development, and IAA concentration in mesocarp increased, indicating that auxin plays a regulatory role in controlling ethylene biosynthesis [49]. In our study, during the late ripening stage, the ethylene production was at its peak while the fruit firmness was lower at this peak stage. The considerable alterations in the expression of certain PmIAA family genes after treatment with 1-MCP suggested that auxin and ethylene had a strong interaction during fruit ripening. Our findings show how auxin affects fruit ripening and softening in a useful model.
The expression pattern of the PmIAA genes at different stages of fruit development revealed that the encoded proteins might have some similar specialized and redundant roles. Almost, all PmIAA genes were expressed, however at different stages of development, their level of expression varied substantially. PmIAA2, PmIAA5, PmIAA7, PmIAA10, PmIAA13, PmIAA18, and PmIAA19 had considerably greater expression levels, suggesting that these genes are important for fruit growth and ripening. Many variables can contribute to differences in Aux/IAA gene expression, including tissue-specific auxin reception, cell type dependency, differential regulation of free auxin concentration, distinct patterns of auxin-dependent transcription, and post-transcriptional regulation [50]. Overall, the Aux/IAA gene expression data gathered in this work added to our understanding of auxin activity function during fruit ripening, and identified several prospective target genes for further investigation of putative regulatory mechanisms.

4. Materials and Method

4.1. Plant Material and Treatments

The Japanese apricot cv. Longyan plants are grown at the National Field Genbank of Prunus mume, Nanjing, Jiangsu, China were used as research material. At six various stages of growth and ripening, the maximum number of fruits were harvested, as S1 (first phase of fruit growth), S2 (light greenish color of the fruit), S3 (fruit ripening starts), S4 (no ethylene release during ripening), S5 (ethylene released at ripening) and S6 (fruit softening with more ethylene released). The fruits were then transferred to the laboratory and washed with deionized water to remove dust and microbes. For hormones (Auxin, ABA, SA, and GA), and 1-MCP treatment, fruit of the S3 stage was used. For hormone treatments, fruits were soaked in MS medium with various hormones such as Auxin, ABA, SA, and GA:10 uM each for 3 h. Further, the fruits were incubated for 16 h with 300 uL/L of the active component for 1-MCP treatment. For each treatment, three biological replications were performed with five fruits per replication. The fruits that were not treated served as a control. The samples were then frozen in liquid nitrogen and stored at −80 for subsequent testing.

4.2. In Silico Identification of PmIAA Genes in Japanese Apricot

The proteome sequences were retrieved from the Prunus mume genome [51] to identify IAA genes. The AUX/IAA conserved domain (PF02309) Hidden Markov model (HMM) was retrieved from Pfam [52], and used as a query to scan the P. mume proteome sequence. Multiple sequence alignment of full-length amino acid residues sequence was performed by Clustal W and removed the redundant sequences with the same gene. SMART [53] and Pfam [52] tool was used to predict the domains of PmIAA genes. Corresponding gene ids, their length, exon, and chromosome were analyzed from NCBI. Amino acid residues (aa), molecular weight (Mw), and pI were determined using the ExPASy tool [54], and the subcellular localization of the protein was performed using WoLF PSORT [55].

4.3. Phylogenetic Analysis Using Multiple Sequence Alignment

Clustal W was used to achieve multiple sequence alignment of PmIAA genes with default parameters. MEGA 7.0 was used to create a phylogenetic tree using Neighbour-joining algorithm methods with a 1000 bootstrap test as a replicate. The genes were classified into separate clades based on their ability to aggregate with Arabidopsis (AtIAA) and Prunus persica (PpIAA).

4.4. Gene Structure and Motif Prediction

Gene Structure Display Server (GSDS 2.0) [56] was used to analyze the CDS, intron, and exon organization of the individual PmIAA gene by comparing the cDNA sequence with their genomic sequence. For motif prediction, MEME (Multiple Em for Motif Elicitation) [57] was used to analyze the conserved and sheared motif of the full-length protein sequence of PmIAA genes using the following parameters: minimum motif width- 6; maximum motif width- 50; and a number of motifs- 10. The combined result of GSDS and motif prediction was visualized using TBtools software (v 0.667) [58].

4.5. Cis-Element Analysis of PmIAA Genes

To analyze the putative cis-element and their activity in the promoter region of PmIAA genes, >1500 kb genomic sequence of transcriptional start site (ATG) were obtained from the Prunus mume genome. The sequences were consequently subjected to the PlantCARE database [59] to determine various cis-acting elements. The result of cis-elements was visualized using TBtools.

4.6. Chromosomal Location and Syntenic Analysis

The location of PmIAA genes on the chromosome was determined using the MapInspect software (v 1.0). The information on each chromosome length and position was obtained from the Prunus mume genome. The gene duplication of each IAA gene was analyzed, and the BLAST search was imported to MCScanX software. The synteny block within J. apricot was visualized in Circos, and the pair of the genes were considered segmental duplication gene pair.

4.7. Expression Analysis

RT-qPCR was used to evaluate PmIAA gene expression in response to hormones and 1-MCP treatment at six different stages of fruit development and ripening. Total RNA extraction and purification were performed by the method explained by Iqbal and others [60,61]. Primer Premier 5 was used to design the primers of the PmIAA genes and is listed in File S1. RP-II [62,63] was used as internal reference genes to standardize the reaction. RT-qPCR was accomplished by the method described previously [64,65]. The experiment was carried out with three biological replications (each replicate contains 5 fruits), and data were analyzed using the 2−ΔΔCT method.

4.8. Ethylene Production and Flesh Firmness

To quantify the ethylene level of the fruit, 5 fruits per stage of each cultivar were taken and kept in a 1000 mL jar for 2 h. Gas chromatograph (Agilent Technologies, Santa Clara, CA, USA) was used to determine the ethylene content. The ethylene production rate was expressed as µL/gh. Fruit firmness (N) of each fruit was determined using a hand-held penetrometer (GY-4).

4.9. Statistical Analysis

Microsoft Excel (2016) was used for values calculation and Student’s t-test method was used for calculating differences among values. The significance levels are shown as; * represent p ≤ 0.05, ** represent p ≤ 0.01 and *** represent p ≤ 0.001. All experiments were repeated three times with three independent biological replicates.

5. Conclusions

The purpose of this study was to expand our understanding of Aux/IAA gene expression and hormone response during climacteric fruit maturation, and to identify several candidate target genes for further exploration of potential regulatory mechanisms. All the genes were conserved among Arabidopsis and peach; however, a little variation in the conservation and divergence of PmIAA genes was observed. Expression analysis revealed the involvement of PmIAA genes during fruit ripening and development affected by various hormone treatments. Our research opens up new avenues for research into the functional genomics of Aux/IAA genes, as well as new possibilities for plant genomics and breeding.

Supplementary Materials

The following supporting information can be downloaded at: https://www.mdpi.com/article/10.3390/plants11151898/s1, File S1. List of primers used in this study.

Author Contributions

Conceptualization, S.I. and Z.G.; Formal analysis, S.I., F.H., N.M., M.K.-u.-R., U.K. and T.B.Y.; Funding acquisition, Z.G.; Investigation, S.I.; Methodology, S.I. and Z.N.; Resources, Z.N.; Software, S.I., F.H. and U.K.; Supervision, Z.G.; Writing original draft, S.I. and F.H.; Writing review & editing, M.K.-u.-R., M.N.K., S.T. and Z.G. All authors have read and agreed to the published version of the manuscript.

Funding

This work was supported by Jiangsu Seed Industry Key Research Program (JBGS [2021]019), the Fundamental Research Funds for the Central Universities(KYZZ2022004), the National Natural Science Foundation of China (31971703), and the Priority Academic Program Development of Jiangsu Higher Education Institutions (PAPD) for funding this research in materials collection, data analysis, and experiment.

Institutional Review Board Statement

Not applicable.

Informed Consent Statement

Not applicable.

Data Availability Statement

Not applicable.

Acknowledgments

Thanks to all the researchers for their contribution in this study.

Conflicts of Interest

The authors declared that they have no conflict of interest.

References

  1. Shi, H.; Wang, Y.; Li, Z.; Zhang, D.; Zhang, Y.; Xiang, D.; Li, Y.; Zhang, Y. Pear IAA1 gene encoding an auxin-responsive Aux/IAA protein is involved in fruit development and response to salicylic acid. Can. J. Plant Sci. 2014, 94, 263–271. [Google Scholar] [CrossRef]
  2. Luo, J.; Zhou, J.-J.; Zhang, J.-Z. Aux/IAA Gene Family in Plants: Molecular Structure, Regulation, and Function. Int. J. Mol. Sci. 2018, 19, 259. [Google Scholar] [CrossRef] [PubMed]
  3. Benková, E.; Michniewicz, M.; Sauer, M.; Teichmann, T.; Seifertová, D.; Jürgens, G.; Friml, J. Local, Efflux-Dependent Auxin Gradients as a Common Module for Plant Organ Formation. Cell 2003, 115, 591–602. [Google Scholar] [CrossRef]
  4. Ljung, K. Auxin metabolism and homeostasis during plant development. Development 2013, 140, 943–950. [Google Scholar] [CrossRef]
  5. Shi, T.; Iqbal, S.; Ayaz, A.; Bai, Y.; Pan, Z.; Ni, X.; Hayat, F.; Bilal, M.S.; Razzaq, M.K.; Gao, Z. Analyzing Differentially Expressed Genes and Pathways Associated with Pistil Abortion in Japanese Apricot via RNA-Seq. Genes 2020, 11, 1079. [Google Scholar] [CrossRef]
  6. Mockaitis, K.; Estelle, M. Auxin Receptors and Plant Development: A New Signaling Paradigm. Annu. Rev. Cell Dev. Biol. 2008, 24, 55–80. [Google Scholar] [CrossRef]
  7. Peer, W.A. From perception to attenuation: Auxin signalling and responses. Curr. Opin. Plant Biol. 2013, 16, 561–568. [Google Scholar] [CrossRef]
  8. Hayat, F.; Ma, C.; Iqbal, S.; Huang, X.; Omondi, O.K.; Ni, Z.; Shi, T.; Tariq, R.; Khan, U.; Gao, Z. Rootstock-Mediated Transcriptional Changes Associated with Cold Tolerance in Prunus mume Leaves. Horticulturae 2021, 7, 572. [Google Scholar] [CrossRef]
  9. Liscum, E.; Reed, J. Genetics of Aux/IAA and ARF action in plant growth and development. Plant Mol. Biol. 2002, 49, 387–400. [Google Scholar] [CrossRef]
  10. Jain, M.; Kaur, N.; Garg, R.; Thakur, J.K.; Tyagi, A.K.; Khurana, J.P. Structure and expression analysis of early auxin-responsive Aux/IAA gene family in rice (Oryza sativa). Funct. Integr. Genom. 2005, 6, 47–59. [Google Scholar] [CrossRef]
  11. Hagen, G.; Guilfoyle, T. Auxin-responsive gene expression: Genes, promoters and regulatory factors. Plant Mol. Biol. 2002, 49, 373–385. [Google Scholar] [CrossRef] [PubMed]
  12. Liu, K.; Yuan, C.; Feng, S.; Zhong, S.; Li, H.; Zhong, J.; Shen, C.; Liu, J. Genome-wide analysis and characterization of Aux/IAA family genes related to fruit ripening in papaya (Carica papaya L.). BMC Genom. 2017, 18, 351. [Google Scholar] [CrossRef] [PubMed]
  13. Wan, S.; Li, W.; Zhu, Y.; Liu, Z.; Huang, W.; Zhan, J. Genome-wide identification, characterization and expression analysis of the auxin response factor gene family in Vitis vinifera. Plant Cell Rep. 2014, 33, 1365–1375. [Google Scholar] [CrossRef] [PubMed]
  14. Yuan, H.; Zhao, L.; Chen, J.; Yang, Y.; Xu, D.; Tao, S.; Zheng, S.; Shen, Y.; He, Y.; Shen, C.; et al. Identification and expression profiling of the Aux/IAA gene family in Chinese hickory (Carya cathayensis Sarg.) during the grafting process. Plant Physiol. Biochem. 2018, 127, 55–63. [Google Scholar] [CrossRef]
  15. Wu, J.; Liu, S.; Guan, X.; Chen, L.; He, Y.; Wang, J.; Lu, G. Genome-wide identification and transcriptional profiling analysis of auxin response-related gene families in cucumber. BMC Res. Notes 2014, 7, 218. [Google Scholar] [CrossRef]
  16. Park, J.-E.; Seo, P.J.; Lee, A.-K.; Jung, J.-H.; Kim, Y.-S.; Park, C.-M. An Arabidopsis GH3 Gene, Encoding an Auxin-Conjugating Enzyme, Mediates Phytochrome B-Regulated Light Signals in Hypocotyl Growth. Plant Cell Physiol. 2007, 48, 1236–1241. [Google Scholar] [CrossRef]
  17. El-Sharkawy, I.; Sherif, S.; Jones, B.; Mila, I.; Kumar, P.; Bouzayen, M.; Jayasankar, S. TIR1-like auxin-receptors are involved in the regulation of plum fruit development. J. Exp. Bot. 2014, 65, 5205–5215. [Google Scholar] [CrossRef]
  18. Singh, V.K.; Jain, M. Genome-wide survey and comprehensive expression profiling of Aux/IAA gene family in chickpea and soybean. Front. Plant Sci. 2015, 6, 918. [Google Scholar] [CrossRef]
  19. Paul, P.; Dhandapani, V.; Rameneni, J.J.; Li, X.; Sivanandhan, G.; Choi, S.R.; Pang, W.; Im, S.; Lim, Y.P. Genome-Wide Analysis and Characterization of Aux/IAA Family Genes in Brassica rapa. PLoS ONE 2016, 11, e0151522. [Google Scholar] [CrossRef]
  20. Wang, D.; Pajerowska-Mukhtar, K.; Culler, A.H.; Dong, X. Salicylic Acid Inhibits Pathogen Growth in Plants through Repression of the Auxin Signaling Pathway. Curr. Biol. 2007, 17, 1784–1790. [Google Scholar] [CrossRef]
  21. Kazan, K.; Manners, J.M. Jasmonate Signaling: Toward an Integrated View. Plant Physiol. 2008, 146, 1459–1468. [Google Scholar] [CrossRef] [PubMed]
  22. Song, Y.; Wang, L.; Xiong, L. Comprehensive expression profiling analysis of OsIAA gene family in developmental processes and in response to phytohormone and stress treatments. Planta 2008, 229, 577–591. [Google Scholar] [CrossRef] [PubMed]
  23. Strader, L.C.; Chen, G.L.; Bartel, B. Ethylene directs auxin to control root cell expansion. Plant J. 2010, 64, 874–884. [Google Scholar] [CrossRef] [PubMed]
  24. Szemenyei, H.; Hannon, M.; Long, J.A. TOPLESS Mediates Auxin-Dependent Transcriptional Repression During Arabidopsis Embryogenesis. Science 2008, 319, 1384–1386. [Google Scholar] [CrossRef] [PubMed]
  25. Tiwari, S.B.; Hagen, G.; Guilfoyle, T.J. Aux/IAA Proteins Contain a Potent Transcriptional Repression Domain. Plant Cell 2004, 16, 533–543. [Google Scholar] [CrossRef]
  26. Shen, C.; Yue, R.; Sun, T.; Zhang, L.; Xu, L.; Tie, S.; Wang, H.; Yang, Y. Genome-wide identification and expression analysis of auxin response factor gene family in Medicago truncatula. Front. Plant Sci. 2015, 6, 73. [Google Scholar] [CrossRef]
  27. De Smet, I.; Jürgens, G. Patterning the axis in plants–auxin in control. Curr. Opin. Genet. Dev. 2007, 17, 337–343. [Google Scholar] [CrossRef]
  28. Woodward, A.W.; Bartel, B. Auxin: Regulation, action, and interaction. Ann. Bot. 2005, 95, 707–735. [Google Scholar] [CrossRef]
  29. Liu, D.-J.; Chen, J.-Y.; Lu, W.-J. Expression and regulation of the early auxin-responsive Aux/IAA genes during strawberry fruit development. Mol. Biol. Rep. 2010, 38, 1187–1193. [Google Scholar] [CrossRef]
  30. Chaabouni, S.; Jones, B.; Delalande, C.; Wang, H.; Li, Z.; Mila, I.; Frasse, P.; Latché, A.; Pech, J.-C.; Bouzayen, M. Sl-IAA3, a tomato Aux/IAA at the crossroads of auxin and ethylene signalling involved in differential growth. J. Exp. Bot. 2009, 60, 1349–1362. [Google Scholar] [CrossRef]
  31. Farcot, E.; Lavedrine, C.; Vernoux, T. A modular analysis of the auxin signalling network. PLoS ONE 2015, 10, e0122231. [Google Scholar]
  32. Yu, C.; Sun, C.; Shen, C.; Wang, S.; Liu, F.; Liu, Y.; Chen, Y.; Li, C.; Qian, Q.; Aryal, B. The auxin transporter, Os AUX 1, is involved in primary root and root hair elongation and in Cd stress responses in rice (Oryza sativa L.). Plant J. 2015, 83, 818–830. [Google Scholar] [CrossRef] [PubMed]
  33. Iqbal, S.; Pan, Z.; Hayat, F.; Bai, Y.; Coulibaly, D.; Ali, S.; Ni, X.; Shi, T.; Gao, Z. Comprehensive transcriptome profiling to identify genes involved in pistil abortion of Japanese apricot. Physiol. Mol. Biol. Plants 2021, 27, 1191–1204. [Google Scholar] [CrossRef] [PubMed]
  34. Kim, J.; Harter, K.; Theologis, A. Protein–protein interactions among the Aux/IAA proteins. Proc. Natl. Acad. Sci. USA 1997, 94, 11786–11791. [Google Scholar] [CrossRef] [PubMed]
  35. Shen, C.J.; Wang, S.K.; Bai, Y.H.; Wu, Y.R.; Zhang, S.N.; Chen, M.; Guilfoyle, T.J.; Wu, P.; Qi, Y.H. Functional analysis of the structural domain of ARF proteins in rice (Oryza sativa L.). J. Exp. Bot. 2010, 61, 3971–3981. [Google Scholar] [CrossRef] [PubMed]
  36. Muto, H.; Watahiki, M.K.; Yamamoto, K.T. What makes each aux/IAA gene unique in its gene family, expression pattern or properties of the gene product? Plant Signal. Behav. 2007, 2, 390–392. [Google Scholar] [CrossRef][Green Version]
  37. Audran-Delalande, C.; Bassa, C.; Mila, I.; Regad, F.; Zouine, M.; Bouzayen, M. Genome-Wide Identification, Functional Analysis and Expression Profiling of the Aux/IAA Gene Family in Tomato. Plant Cell Physiol. 2012, 53, 659–672. [Google Scholar] [CrossRef]
  38. Hayat, F.; Li, J.; Liu, W.; Li, C.; Song, W.; Iqbal, S.; Khan, U.; Umer Javed, H.; Ahsan Altaf, M.; Tu, P. Influence of Citrus Rootstocks on Scion Growth, Hormone Levels, and Metabolites Profile of ‘Shatangu’Mandarin (Citrus reticulata Blanco). Horticulturae 2022, 8, 608. [Google Scholar] [CrossRef]
  39. Overvoorde, P.J.; Okushima, Y.; Alonso, J.M.; Chan, A.; Chang, C.; Ecker, J.R.; Hughes, B.; Liu, A.; Onodera, C.; Quach, H. Functional genomic analysis of the AUXIN/INDOLE-3-ACETIC ACID gene family members in Arabidopsis thaliana. Plant Cell 2005, 17, 3282–3300. [Google Scholar] [CrossRef]
  40. Wu, J.; Peng, Z.; Liu, S.; He, Y.; Cheng, L.; Kong, F.; Wang, J.; Lu, G. Genome-wide analysis of Aux/IAA gene family in Solanaceae species using tomato as a model. Mol. Genet. Genom. 2012, 287, 295–311. [Google Scholar] [CrossRef]
  41. Tatematsu, K.; Kumagai, S.; Muto, H.; Sato, A.; Watahiki, M.K.; Harper, R.M.; Liscum, E.; Yamamoto, K.T. MASSUGU2 encodes Aux/IAA19, an auxin-regulated protein that functions together with the transcriptional activator NPH4/ARF7 to regulate differential growth responses of hypocotyl and formation of lateral roots in Arabidopsis thaliana. Plant Cell 2004, 16, 379–393. [Google Scholar] [CrossRef] [PubMed]
  42. Uehara, T.; Okushima, Y.; Mimura, T.; Tasaka, M.; Fukaki, H. Domain II Mutations in CRANE/IAA18 Suppress Lateral Root Formation and Affect Shoot Development in Arabidopsis thaliana. Plant Cell Physiol. 2008, 49, 1025–1038. [Google Scholar] [CrossRef]
  43. Ainley, W.M.; Walker, J.C.; Nagao, R.T.; Key, J.L. Sequence and characterization of two auxin-regulated genes from soybean. J. Biol. Chem. 1988, 263, 10658–10666. [Google Scholar] [CrossRef]
  44. Uchiumi, T.; Okamoto, T. Rice fruit development is associated with an increased IAA content in pollinated ovaries. Planta 2010, 232, 579–592. [Google Scholar] [CrossRef] [PubMed]
  45. Agustí, M.; Almela, V.; Andreu, I.; Juan, M.; Zacarías, L. Synthetic auxin 3,5,6-TPA promotes fruit development and climacteric in Prunus persica L. Batsch. J. Hortic. Sci. Biotechnol. 1999, 74, 556–560. [Google Scholar] [CrossRef]
  46. Ohmiya, A.; Haji, T. Promotion of ethylene biosynthesis in peach mesocarp discs by auxin. Plant Growth Regul. 2002, 36, 209–214. [Google Scholar] [CrossRef]
  47. Wang, H.; Schauer, N.; Usadel, B.; Frasse, P.; Zouine, M.; Hernould, M.; Latché, A.; Pech, J.-C.; Fernie, A.R.; Bouzayen, M. Regulatory Features Underlying Pollination-Dependent and -Independent Tomato Fruit Set Revealed by Transcript and Primary Metabolite Profiling. Plant Cell 2009, 21, 1428–1452. [Google Scholar] [CrossRef]
  48. Wang, H.; Jones, B.; Li, Z.; Frasse, P.; Delalande, C.; Regad, F.; Chaabouni, S.; Latche, A.; Pech, J.-C.; Bouzayen, M. The tomato Aux/IAA transcription factor IAA9 is involved in fruit development and leaf morphogenesis. Plant Cell 2005, 17, 2676–2692. [Google Scholar] [CrossRef] [PubMed]
  49. Tonutti, P.; Casson, P.; Ramina, A. Ethylene biosynthesis during peach fruit development. J. Am. Soc. Hortic. Sci. 1991, 116, 274–279. [Google Scholar] [CrossRef]
  50. Kang, L.; Li, J.; Zhao, T.; Xiao, F.; Tang, X.; Thilmony, R.; He, S.; Zhou, J.-M. Interplay of the Arabidopsis nonhost resistance gene NHO1 with bacterial virulence. Proc. Natl. Acad. Sci. USA 2003, 100, 3519–3524. [Google Scholar] [CrossRef]
  51. Zhang, Q.; Chen, W.; Sun, L.; Zhao, F.; Huang, B.; Yang, W.; Tao, Y.; Wang, J.; Yuan, Z.; Fan, G. The genome of Prunus mume. Nat. Commun. 2012, 3, 1–8. [Google Scholar] [CrossRef] [PubMed]
  52. Mistry, J.; Chuguransky, S.; Williams, L.; Qureshi, M.; Salazar, G.A.; Sonnhammer, E.L.L.; Tosatto, S.C.; Paladin, L.; Raj, S.; Richardson, L.J.; et al. Pfam: The protein families database in 2021. Nucleic Acids Res. 2021, 49, D412–D419. [Google Scholar] [CrossRef] [PubMed]
  53. Letunic, I.; Khedkar, S.; Bork, P. SMART: Recent updates, new developments and status in 2020. Nucleic Acids Res. 2020, 49, D458–D460. [Google Scholar] [CrossRef]
  54. Duvaud, S.; Gabella, C.; Lisacek, F.; Stockinger, H.; Ioannidis, V.; Durinx, C. Expasy, the Swiss Bioinformatics Resource Portal, as designed by its users. Nucleic Acids Res. 2021, 49, W216–W227. [Google Scholar] [CrossRef] [PubMed]
  55. Horton, P.; Park, K.-J.; Obayashi, T.; Fujita, N.; Harada, H.; Adams-Collier, C.J.; Nakai, K. WoLF PSORT: Protein localization predictor. Nucleic Acids Res. 2007, 35, W585–W587. [Google Scholar] [CrossRef] [PubMed]
  56. Hu, B.; Jin, J.; Guo, A.-Y.; Zhang, H.; Luo, J.; Gao, G. GSDS 2.0: An upgraded gene feature visualization server. Bioinformatics 2015, 31, 1296–1297. [Google Scholar] [CrossRef]
  57. Bailey, T.L.; Williams, N.; Misleh, C.; Li, W.W. MEME: Discovering and analyzing DNA and protein sequence motifs. Nucleic Acids Res. 2006, 34 (Suppl. S2), W369–W373. [Google Scholar] [CrossRef]
  58. Chen, C.J.; Chen, H.; Zhang, Y.; Thomas, H.R.; Frank, M.H.; He, Y.H.; Xia, R. TBtools: An Integrative Toolkit Developed for Interactive Analyses of Big Biological Data. Mol. Plant 2020, 13, 1194–1202. [Google Scholar] [CrossRef]
  59. Lescot, M.; Déhais, P.; Thijs, G.; Marchal, K.; Moreau, Y.; Van de Peer, Y.; Rouzé, P.; Rombauts, S. PlantCARE, a database of plant cis-acting regulatory elements and a portal to tools for in silico analysis of promoter sequences. Nucleic Acids Res. 2002, 30, 325–327. [Google Scholar] [CrossRef]
  60. Iqbal, S.; Pan, Z.; Wu, X.; Shi, T.; Ni, X.; Bai, Y.; Gao, J.; Khalilur-Rehman, M.; Gao, Z. Genome-wide analysis of PmTCP4 transcription factor binding sites by ChIP-Seq during pistil abortion in Japanese apricot. Plant Genome 2020, 13, e20052. [Google Scholar] [CrossRef]
  61. Ni, X.; Xue, S.; Iqbal, S.; Wang, W.; Ni, Z.; Khalil-Ur-Rehman, M.; Gao, Z. Candidate genes associated with red colour formation revealed by comparative genomic variant analysis of red- and green-skinned fruits of Japanese apricot (Prunus mume). PeerJ 2018, 6, e4625. [Google Scholar] [CrossRef] [PubMed]
  62. Tong, Z.; Gao, Z.; Wang, F.; Zhou, J.; Zhang, Z. Selection of reliable reference genes for gene expression studies in peach using real-time PCR. BMC Mol. Biol. 2009, 10, 71. [Google Scholar] [CrossRef]
  63. Wu, X.; Shi, T.; Iqbal, S.; Zhang, Y.; Liu, L.; Gao, Z. Genome-wide discovery and characterization of flower development related long non-coding RNAs in Prunus mume. BMC Plant Biol. 2019, 19, 64. [Google Scholar] [CrossRef] [PubMed]
  64. Iqbal, S.; Ni, X.; Bilal, M.S.; Shi, T.; Khalil-Ur-Rehman, M.; Zhenpeng, P.; Jie, G.; Usman, M.; Gao, Z. Identification and expression profiling of sugar transporter genes during sugar accumulation at different stages of fruit development in apricot. Gene 2020, 742, 144584. [Google Scholar] [CrossRef] [PubMed]
  65. Guo, S.; Iqbal, S.; Ma, R.; Song, J.; Yu, M.; Gao, Z. High-density genetic map construction and quantitative trait loci analysis of the stony hard phenotype in peach based on restriction-site associated DNA sequencing. BMC Genom. 2018, 19, 612. [Google Scholar] [CrossRef] [PubMed]
Figure 1. Phylogenetic analysis of PmIAA genes among different family members of Japanese apricot, peach, and Arabidopsis shown in green, red, and blue color dots, respectively. The number on the branches are the bootstrap values and are presented on each node. The outside circle of the phylogenetic tree shows different clades of the tree.
Figure 1. Phylogenetic analysis of PmIAA genes among different family members of Japanese apricot, peach, and Arabidopsis shown in green, red, and blue color dots, respectively. The number on the branches are the bootstrap values and are presented on each node. The outside circle of the phylogenetic tree shows different clades of the tree.
Plants 11 01898 g001
Figure 2. Analysis of phylogeny, gene structure and conserved motif of PmIAAs (A) The phylogenetic relationship of PmIAAs was constructed using MEGA 7.0 (B) conserved motif distribution of PmIAAs. Ten conserved motifs were labeled with different colors using MEME program (C) gene structural organization (CDS, UTR) of PmIAAs. The relative position is uniformly shown based on the Kilobase scale at the bottom of the figures.
Figure 2. Analysis of phylogeny, gene structure and conserved motif of PmIAAs (A) The phylogenetic relationship of PmIAAs was constructed using MEGA 7.0 (B) conserved motif distribution of PmIAAs. Ten conserved motifs were labeled with different colors using MEME program (C) gene structural organization (CDS, UTR) of PmIAAs. The relative position is uniformly shown based on the Kilobase scale at the bottom of the figures.
Plants 11 01898 g002
Figure 3. Various cis-elements were identified using the PlantCARE database. The different cis-elements biological terms are shown in different colors.
Figure 3. Various cis-elements were identified using the PlantCARE database. The different cis-elements biological terms are shown in different colors.
Plants 11 01898 g003
Figure 4. Chromosomal position and gene duplication analysis (A) The chromosomal position of each PmIAA gene was mapped according to the Japanese apricot genome (B) syntenic analysis for gene duplication showed pairs among different chromosomes The gene IDs on the chromosomes indicate the positions of centromeres and the scale on the circle is in Megabases.
Figure 4. Chromosomal position and gene duplication analysis (A) The chromosomal position of each PmIAA gene was mapped according to the Japanese apricot genome (B) syntenic analysis for gene duplication showed pairs among different chromosomes The gene IDs on the chromosomes indicate the positions of centromeres and the scale on the circle is in Megabases.
Plants 11 01898 g004
Figure 5. Expression of PmIAA genes in response to (A) auxin (B) GA (C) ABA (D) SA treatments was analyzed through qRT-PCR. The expression levels of PmIAA genes in control seedlings were set to a value of 1. The error bar represents the standard error of their biological repeats. Significant differences between control and treated samples are indicated in an asterisk (*). The sign * represents p ≤ 0.05, ** represents p ≤ 0.01 and *** represent p ≤ 0.001.
Figure 5. Expression of PmIAA genes in response to (A) auxin (B) GA (C) ABA (D) SA treatments was analyzed through qRT-PCR. The expression levels of PmIAA genes in control seedlings were set to a value of 1. The error bar represents the standard error of their biological repeats. Significant differences between control and treated samples are indicated in an asterisk (*). The sign * represents p ≤ 0.05, ** represents p ≤ 0.01 and *** represent p ≤ 0.001.
Plants 11 01898 g005
Figure 6. The expression of PmIAA genes in response to 1-MCP treatment was analyzed through qRT-PCR. The expression levels of PmIAA genes in control seedlings were set to a value of 1. The error bar represents the standard error of their biological repeats. Significant differences between control and treated samples are indicated in asterisk (*). The sign * represents p ≤ 0.05, ** represents p ≤ 0.01 and *** represents p ≤0.001.
Figure 6. The expression of PmIAA genes in response to 1-MCP treatment was analyzed through qRT-PCR. The expression levels of PmIAA genes in control seedlings were set to a value of 1. The error bar represents the standard error of their biological repeats. Significant differences between control and treated samples are indicated in asterisk (*). The sign * represents p ≤ 0.05, ** represents p ≤ 0.01 and *** represents p ≤0.001.
Plants 11 01898 g006
Figure 7. Changes in ethylene production (A) and fruit firmness (B). The horizontal axis represents the stages of fruit development. The error bar on data represents the standard error (±) of three individual repeats.
Figure 7. Changes in ethylene production (A) and fruit firmness (B). The horizontal axis represents the stages of fruit development. The error bar on data represents the standard error (±) of three individual repeats.
Plants 11 01898 g007
Figure 8. Expression profiles (hierarchical clustering) of PmIAA genes during different stages of fruit development and ripening. Color key shows the expression as red (up-regulated) and green (down-regulated) of the genes. Stages (S1–S6) and the fruit sample are shown under the Heatmap.
Figure 8. Expression profiles (hierarchical clustering) of PmIAA genes during different stages of fruit development and ripening. Color key shows the expression as red (up-regulated) and green (down-regulated) of the genes. Stages (S1–S6) and the fruit sample are shown under the Heatmap.
Plants 11 01898 g008
Table 1. Physiological and biochemical properties of PmIAA genes.
Table 1. Physiological and biochemical properties of PmIAA genes.
Gene NameIDLength (bp)ExonChromosomal LocationAmino Acid Residues (aa)MW (kDa)pISubcellular Localization
PmIAA1LOC10333416811403LG6: 1870867..187223619321.716.02nucl: 9, mito: 3, chlo: 1, extr: 1
PmIAA2LOC10332394013123LG2: 39181948..3918351019621.987.4nucl: 9, plas: 2, chlo: 1, mito: 1, extr: 1
PmIAA3LOC1033279999853LG4: 5253934..525747519021.27.29nucl: 6, chlo: 5, cyto: 2, extr: 1
PmIAA4LOC10332393912435LG2: 39166357..3916861324827.598.93chlo: 11, nucl: 3
PmIAA5LOC10333547317717LG1: 18408957..1841431237840.777.42nucl: 11, cyto: 2, chlo: 1
PmIAA6LOC10331941918748LG2: 4074649..408039436639.727.53nucl: 9, cyto: 2, chlo: 1, extr: 1, cysk: 1
PmIAA7LOC10333440817205LG6: 3334525..333751231432.777.34nucl: 12, cyto: 1, cysk: 1
PmIAA8LOC10332379816815LG2: 38082465..3808525141344.059.75chlo: 8.5, chlo_mito: 7, mito: 4.5, nucl: 1
PmIAA9LOC1033273126394LG4: 174190..17542121223.35.92nucl: 8.5, cyto_nucl: 5, chlo: 2, mito: 2, extr: 1
PmIAA10LOC10333416715485LG6: 1861495..186403925327.866.54nucl: 11, chlo: 2, mito: 1
PmIAA11LOC10334098811395LG8: 15328027..1532976925728.718.68nucl: 13, cyto: 1
PmIAA12LOC10331864412195LG1: 25493503..2549548325628.17.34nucl: 6, chlo: 4, mito: 4
PmIAA13LOC10332800010014LG4: 5264635..526628420522.567.81chlo: 6, nucl: 6, cyto: 1, extr: 1
PmIAA14LOC10332783020066LG4: 3933212..393678736339.98.58nucl: 10, chlo: 2, cyto: 1, extr: 1
PmIAA15LOC1033222079234LG2: 21921723..2192303619621.257.37chlo: 7, mito: 3, cyto: 2, nucl: 1, extr: 1
PmIAA16LOC10332025115635LG2: 9688372..969048031534.848.65nucl: 9, cyto: 3, plas: 1.5, golg_plas: 1.5
PmIAA17LOC10332788516125LG4: 4404671..440773434337.367.8nucl: 11, chlo: 1, cyto: 1, cysk: 1
PmIAA18LOC10331970810954LG2: 6160523..616207123726.89.77cyto: 6.5, cyto_E.R.: 4, nucl: 3, extr: 2, chlo: 1, cysk: 1
PmIAA19LOC1033234778972LG2: 35394324..3539547316518.259.6nucl: 6, cyto: 3, mito: 2, chlo: 1, plas: 1, vacu: 1
Publisher’s Note: MDPI stays neutral with regard to jurisdictional claims in published maps and institutional affiliations.

Share and Cite

MDPI and ACS Style

Iqbal, S.; Hayat, F.; Mushtaq, N.; Khalil-ur-Rehman, M.; Khan, U.; Yasoob, T.B.; Khan, M.N.; Ni, Z.; Ting, S.; Gao, Z. Bioinformatics Study of Aux/IAA Family Genes and Their Expression in Response to Different Hormones Treatments during Japanese Apricot Fruit Development and Ripening. Plants 2022, 11, 1898. https://doi.org/10.3390/plants11151898

AMA Style

Iqbal S, Hayat F, Mushtaq N, Khalil-ur-Rehman M, Khan U, Yasoob TB, Khan MN, Ni Z, Ting S, Gao Z. Bioinformatics Study of Aux/IAA Family Genes and Their Expression in Response to Different Hormones Treatments during Japanese Apricot Fruit Development and Ripening. Plants. 2022; 11(15):1898. https://doi.org/10.3390/plants11151898

Chicago/Turabian Style

Iqbal, Shahid, Faisal Hayat, Naveed Mushtaq, Muhammad Khalil-ur-Rehman, Ummara Khan, Talat Bilal Yasoob, Muhammad Nawaz Khan, Zhaojun Ni, Shi Ting, and Zhihong Gao. 2022. "Bioinformatics Study of Aux/IAA Family Genes and Their Expression in Response to Different Hormones Treatments during Japanese Apricot Fruit Development and Ripening" Plants 11, no. 15: 1898. https://doi.org/10.3390/plants11151898

APA Style

Iqbal, S., Hayat, F., Mushtaq, N., Khalil-ur-Rehman, M., Khan, U., Yasoob, T. B., Khan, M. N., Ni, Z., Ting, S., & Gao, Z. (2022). Bioinformatics Study of Aux/IAA Family Genes and Their Expression in Response to Different Hormones Treatments during Japanese Apricot Fruit Development and Ripening. Plants, 11(15), 1898. https://doi.org/10.3390/plants11151898

Note that from the first issue of 2016, this journal uses article numbers instead of page numbers. See further details here.

Article Metrics

Back to TopTop