Growth and Biosynthesis of Phenolic Compounds of Canola (Brassica napus L.) to Different Ultraviolet (UV)-B Wavelengths in a Plant Factory with Artificial Light
Abstract
1. Introduction
2. Results
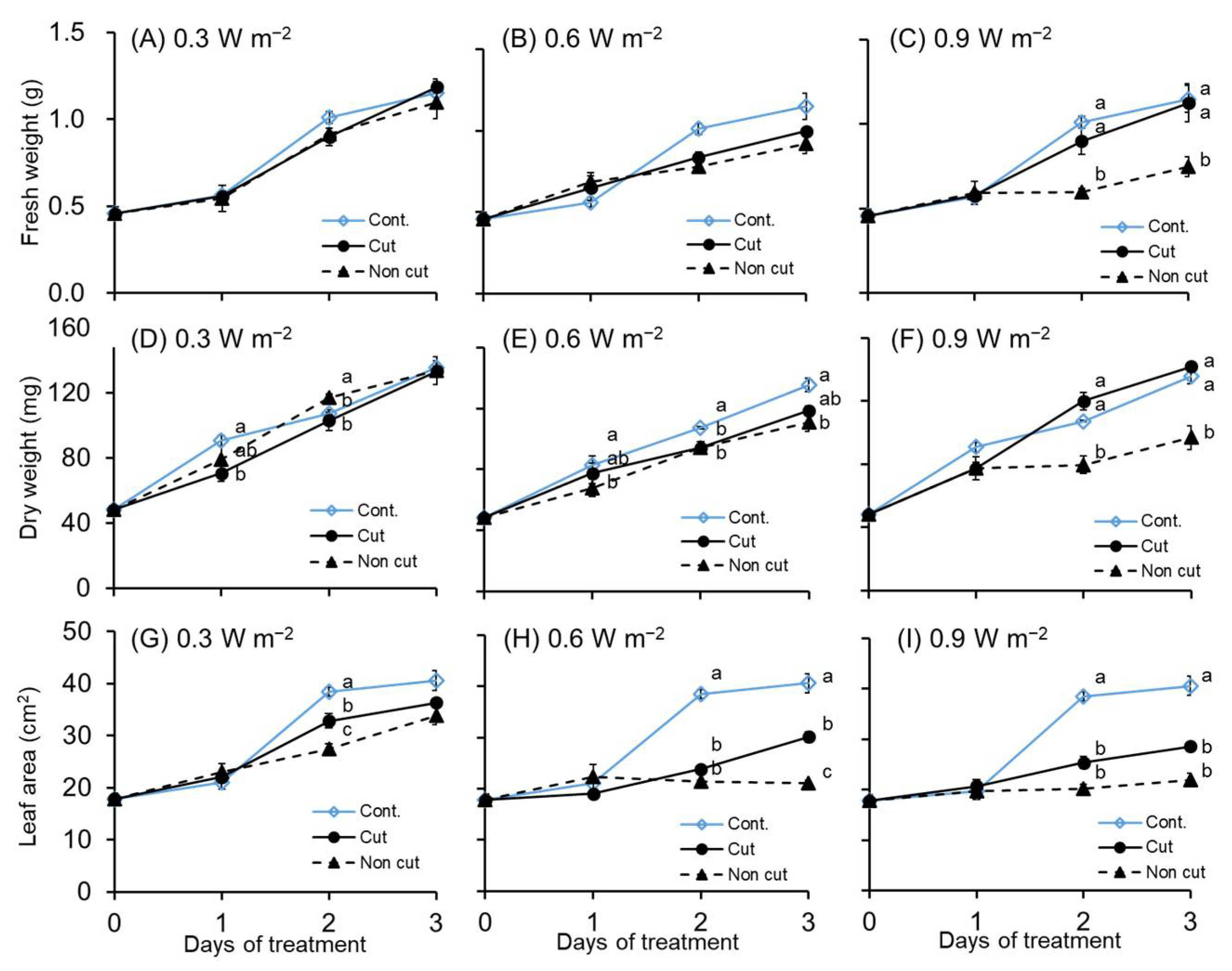
2.1. Growth Parameters
2.1.1. Fresh Weight and Dry Weight of the Aboveground Part of Canola Plants
2.1.2. Fresh Weight, Dry Weight, and Leaf Area of the 3rd Leaf of Canola Plants
2.2. Morphological Changes in the Canola Plants
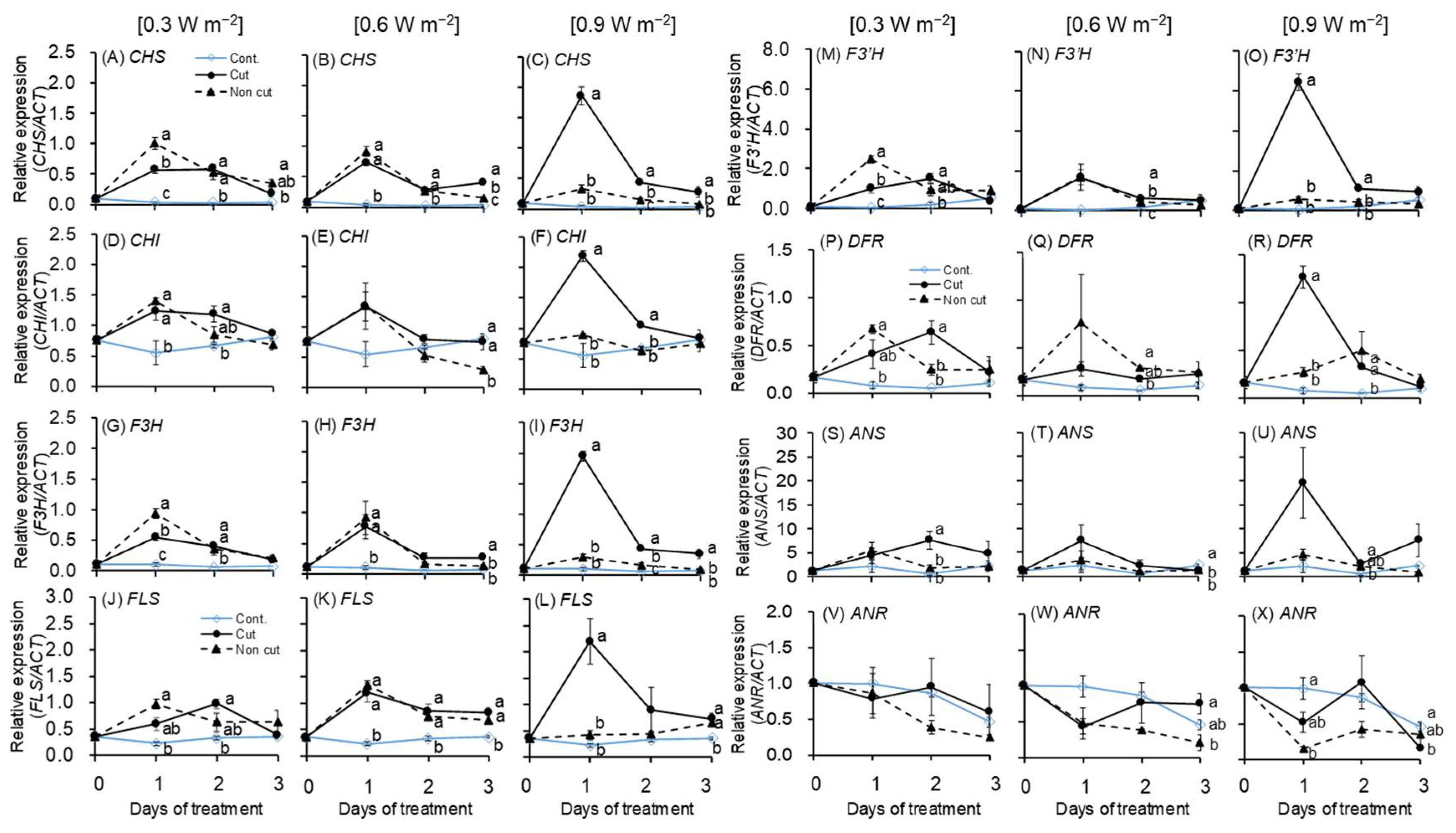
2.3. Gene Expression of Phenylpropanoid and Flavonoid Biosynthetic Pathway
2.3.1. Gene Expression Variation
2.3.2. Phenylpropanoid Biosynthetic Pathway
2.3.3. Flavonoid Biosynthetic Pathway
2.4. Bioactive Compounds (Flavonoid and Anthocyanin)
3. Discussion
3.1. Effects of Ultraviolet Irradiation Intensity and Wavelength below 300 nm on Growth Parameters
3.2. Gene Expression of Phenylpropanoid and Flavonoid Pathway
3.3. Bioactive Compounds (Flavonoid and Anthocyanin)
4. Materials and Methods
4.1. Plant Materials and Environmental Condition
4.2. Ultraviolet-B Irradiation Treatments
4.3. Growth
Parameter Measurement
4.4. Total Flavonoid and Anthocyanin Concentration Determination
4.5. Gene Expression Quantification
4.6. Microarray Analysis
4.7. Statistical Analysis
5. Conclusions
Supplementary Materials
Author Contributions
Funding
Institutional Review Board Statement
Informed Consent Statement
Data Availability Statement
Conflicts of Interest
References
- Dillard, C.J.; German, J.B. Phytochemicals: Nutraceuticals and human health. J. Sci. Food Agric. 2000, 80, 1744–1756. [Google Scholar] [CrossRef]
- Rouphael, Y.; Kyriacou, M.C.; Petropoulos, S.A.; De Pascale, S.; Colla, G. Improving vegetable quality in controlled environments. Sci. Hortic. 2018, 234, 275–289. [Google Scholar] [CrossRef]
- Schreiner, M.; Mewis, I.; Huyskens-Keil, S.; Jansen, M.A.K.; Zrenner, R.; Winkler, J.B.; O’Brien, N.; Krumbein, A. UV-B-induced secondary plant metabolites-potential benefits for plant and human health. Crit. Rev. Plant Sci. 2012, 31, 229–240. [Google Scholar] [CrossRef]
- Khaleghi, A.; Naderi, R.; Brunetti, C.; Maserti, B.E.; Salami, S.A.; Babalar, M. Morphological, physiochemical and antioxidant responses of Maclura pomifera to drought stress. Sci. Rep. 2019, 9, 19250. [Google Scholar] [CrossRef]
- Bhusal, N.; Lee, M.; Lee, H.; Adhikari, A.; Han, A.R.; Han, A.; Kim, H.S. Evaluation of morphological, physiological, and biochemical traits for assessing drought resistance in eleven tree species. Sci. Total Environ. 2021, 779, 146466. [Google Scholar] [CrossRef]
- Jiao, C.; Yang, R.; Zhou, Y.; Gu, Z. Nitric oxide mediates isoflavone accumulation and the antioxidant system enhancement in soybean sprouts. Food Chem. 2016, 204, 373–380. [Google Scholar] [CrossRef]
- Lee, J.-H.; Oh, M.-M.; Son, K.-H. Short-term ultraviolet (UV)-A light-emitting diode (LED) radiation improves biomass and bioactive compounds of kale. Front. Plant Sci. 2019, 10, 1042. [Google Scholar] [CrossRef]
- Son, K.-H.; Ide, M.; Goto, E. Growth characteristics and phytochemicals of canola (Brassica napus) grown under UV radiation and low root zone temperature in a controlled environment. Hortic. Environ. Biotechnol. 2020, 61, 267–277. [Google Scholar] [CrossRef]
- Goto, E. Effect of UV light on phytochemical accumulation and expression of anthocyanin biosynthesis genes in red leaf lettuce. Acta Hortic. 2016, 1134, 179–186. [Google Scholar] [CrossRef]
- Inostroza-Blancheteau, C.; Acevedo, P.; Loyola, R.; Arce-Johnson, P.; Alberdi, M.; Reyes-Díaz, M. Short-term UV-B radiation affects photosynthetic performance and antioxidant gene expression in highbush blueberry leaves. Plant Physiol. Biochem. 2016, 107, 301–309. [Google Scholar] [CrossRef]
- Dou, H.; Niu, G.; Gu, M. Pre-harvest UV-B radiation and photosynthetic photon flux density interactively affect plant photosynthesis, growth, and secondary metabolites accumulation in basil (Ocimum basilicum) plants. Agronomy 2019, 9, 434. [Google Scholar] [CrossRef]
- Diago, M.P.; Ayestarán, B.; Guadalupe, Z.; Garrido, Á.; Tardaguila, J. Phenolic composition of Tempranillo wines following early defoliation of the vines. J. Sci. Food Agric. 2012, 92, 925–934. [Google Scholar] [CrossRef] [PubMed]
- Pastore, C.; Zenoni, S.; Fasoli, M.; Pezzotti, M.; Tornielli, G.B.; Filippetti, I. Selective defoliation affects plant growth, fruit transcriptional ripening program and flavonoid metabolism in grapevine. BMC Plant Biol. 2013, 13, 30. [Google Scholar] [CrossRef] [PubMed]
- Jiao, J.; Gai, Q.Y.; Wang, W.; Luo, M.; Gu, C.B.; Fu, Y.J.; Ma, W. Ultraviolet radiation-elicited enhancement of isoflavonoid accumulation, biosynthetic gene expression, and antioxidant activity in Astragalus membranaceus hairy root cultures. J. Agric. Food Chem. 2015, 63, 8216–8224. [Google Scholar] [CrossRef] [PubMed]
- Kataria, S.; Jajoo, A.; Guruprasad, K.N. Impact of increasing Ultraviolet-B (UV-B) radiation on photosynthetic processes. J. Photochem. Photobiol. B Biol. 2014, 137, 55–66. [Google Scholar] [CrossRef]
- Agrawal, S.B.; Rathore, D.; Singh, A. Combined effects of enhanced ultraviolet-B radiation and mineral nutrients on growth, biomass accumulation and yield characteristics of two cultivars of Vigna radiata L. J. Environ. Biol. 2006, 27, 55. [Google Scholar]
- Frohnmeyer, H.; Staiger, D. Ultraviolet-B radiation-mediated responses in plants. Balancing damage and protection. Plant Physiol. 2003, 133, 1420–1428. [Google Scholar] [CrossRef]
- Jenkins, G.I.; Brown, B.A. UV-B perception and signal transduction. Light Plant Dev. 2007, 30, 155–182. [Google Scholar] [CrossRef]
- Ulm, R.; Nagy, F. Signalling and gene regulation in response to ultraviolet light. Curr. Opin. Plant Biol. 2005, 8, 477–482. [Google Scholar] [CrossRef]
- Artés, F.; Gómez, P.; Aguayo, E.; Escalona, V.; Artés-Hernández, F. Sustainable sanitation techniques for keeping quality and safety of fresh-cut plant commodities. Postharvest Biol. Technol. 2009, 51, 287–296. [Google Scholar] [CrossRef]
- Tohge, T.; Fernie, A.R. Leveraging natural variance towards enhanced understanding of phytochemical sunscreens. Trends Plant Sci. 2017, 22, 308–315. [Google Scholar] [CrossRef] [PubMed]
- Neugart, S.; Schreiner, M. UVB and UVA as eustressors in horticultural and agricultural crops. Sci. Hortic. 2018, 234, 370–381. [Google Scholar] [CrossRef]
- Lee, J.-H.; Shibata, S.; Goto, E. Time-course of changes in photosynthesis and secondary metabolites in canola (Brassica napus) under different UV-B irradiation levels in a plant factory with artificial light. Front. Plant Sci. 2021, 12, 786555. [Google Scholar] [CrossRef] [PubMed]
- Kalbina, I.; Li, S.; Kalbin, G.; Björn, L.O.; Strid, Å. Two separate UV-B radiation wavelength regions control expression of different molecular markers in Arabidopsis thaliana. Funct. Plant Biol. 2008, 35, 222–227. [Google Scholar] [CrossRef]
- Shinkle, J.R.; Atkins, A.K.; Humphrey, E.E.; Rodgers, C.W.; Wheeler, S.L.; Barnes, P.W. Growth and morphological responses to different UV wavebands in cucumber (Cucumis sativum) and other dicotyledonous seedlings. Physiol. Plant. 2004, 120, 240–248. [Google Scholar] [CrossRef]
- Kim, B.C.; Tennessen, D.J.; Last, R.L. UV-B-induced photomorphogenesis in Arabidopsis thaliana. Plant J. 1998, 15, 667–674. [Google Scholar] [CrossRef]
- Boccalandro, H.E.; Mazza, C.A.; Mazzella, M.A.; Casal, J.J.; Ballaré, C.L. Ultraviolet B radiation enhances a phytochrome-B-mediated photomorphogenic response in Arabidopsis. Plant Physiol. 2001, 126, 780–788. [Google Scholar] [CrossRef]
- Barnes, P.W.; Ballaré, C.L.; Caldwell, M.M. Photomorphogenic effects of UV-B radiation on plants: Consequences for light competition. J. Plant Physiol. 1996, 148, 15–20. [Google Scholar] [CrossRef]
- Takeuchi, Y.; Ikeda, S.; Kasahara, H. Dependence on wavelength and temperature of growth inhibition induced by UV-B irradiation. Plant Cell Physiol. 1993, 34, 913–917. [Google Scholar] [CrossRef]
- Brown, B.A.; Cloix, C.; Jiang, G.H.; Kaiserli, E.; Herzyk, P.; Kliebenstein, D.J.; Jenkins, G.I. A UV-B-specific signaling component orchestrates plant UV protection. Proc. Natl. Acad. Sci. USA 2005, 102, 18225–18230. [Google Scholar] [CrossRef]
- Eisinger, W.; Swartz, T.E.; Bogomolni, R.A.; Taiz, L. The ultraviolet action spectrum for stomatal opening in broad bean. Plant Physiol. 2000, 122, 99–106. [Google Scholar] [CrossRef] [PubMed]
- Gerhardt, K.E.; Wilson, M.I.; Greenberg, B.M. Ultraviolet wavelength dependence of photomorphological and photosynthetic responses in Brassica napus and Arabidopsis thaliana. Photochem. Photobiol. 2005, 81, 1061–1068. [Google Scholar] [CrossRef] [PubMed]
- Gardner, G.; Lin, C.; Tobin, E.M.; Loehrer, H.; Brinkman, D. Photobiological properties of the inhibition of etiolated Arabidopsis seedling growth by ultraviolet-B irradiation. Plant Cell Environ. 2009, 32, 1573–1583. [Google Scholar] [CrossRef]
- Takeda, J.; Abe, S. Light-induced synthesis of anthocyanin in carrot cells in suspension—IV. The action spectrum. Photochem. Photobiol. 1992, 56, 69–74. [Google Scholar] [CrossRef]
- Yatsuhashi, H.; Hashimoto, T.; Shimizu, S. Ultraviolet action spectrum for anthocyanin formation in broom sorghum first internodes. Plant Physiol. 1982, 70, 735–741. [Google Scholar] [CrossRef] [PubMed]
- Beggs, C.J.; Wellmann, E. Analysis of light-controlled anthocyanin formation in coleoptiles of Zea mays L.: The role of UV-B, blue, red and far-red light. Photochem. Photobiol. 1985, 41, 481–486. [Google Scholar] [CrossRef]
- Takeda, J.; Obi, I.; Yoshida, K. Action spectra of phenylalanine ammonia-lyase and chalcone synthase expression in carrot cells in suspension. Physiol. Plant 1994, 91, 517–521. [Google Scholar] [CrossRef]
- Ulm, R.; Baumann, A.; Oravecz, A.; Máté, Z.; Ádám, É.; Oakeley, E.J.; Nagy, F. Genome-wide analysis of gene expression reveals function of the bZIP transcription factor HY5 in the UV-B response of Arabidopsis. Proc. Natl. Acad. Sci. USA 2004, 101, 1397–1402. [Google Scholar] [CrossRef]
- O’Hara, A.; Headland, L.R.; Díaz-Ramos, L.A.; Morales, L.O.; Strid, Å.; Jenkins, G.I. Regulation of Arabidopsis gene expression by low fluence rate UV-B independently of UVR8 and stress signalling. Photochem. Photobiol. Sci. 2019, 18, 1675–1684. [Google Scholar] [CrossRef]
- Rácz, A.; Hideg, É. Narrow-band 311 nm ultraviolet-B radiation evokes different antioxidant responses from broad-band ultraviolet. Plants 2021, 10, 1570. [Google Scholar] [CrossRef]
- Hunt, J.E.; McNeil, D.L. Nitrogen status affects UV-B sensitivity of cucumber. Funct. Plant Biol. 1998, 25, 79–86. [Google Scholar] [CrossRef]
- Teramura, A.H. Interaction between UV-B radiation and other stresses in plants. In Stratospheric Ozone Reduction, Solar Ultraviolet Radiation and Plant Life; Springer: Berlin/Heidelberg, Germany, 1986; pp. 327–343. [Google Scholar] [CrossRef]
- Jordan, B.R.; James, P.E.; Mackerness, S.A.H. Factors affecting UV-B-induced changes in Arabidopsis thaliana L. gene expression: The role of development, protective pigments and the chloroplast signal. Plant Cell Physiol. 1998, 39, 769–778. [Google Scholar] [CrossRef] [PubMed][Green Version]
- Adamse, P.; Britz, S.J.; Caldwell, C.R. Amelioration of UV-B damage under high irradiance. II: Role of blue light photoreceptors. Photochem. Photobiol. 1994, 60, 110–115. [Google Scholar] [CrossRef]
- Cen, Y.P.; Bornman, J.F. The response of bean plants to UV-B radiation under different irradiances of background visible light. J. Exp. Bot. 1990, 41, 1489–1495. [Google Scholar] [CrossRef]
- Caldwell, M.M.; Flint, S.D.; Searles, P.S. Spectral balance and UV-B sensitivity of soybean: A field experiment. Plant Cell Environ. 1994, 17, 267–276. [Google Scholar] [CrossRef]
- Sangtarash, M.H.; Qaderi, M.M.; Chinnappa, C.C.; Reid, D.M. Differential sensitivity of canola (Brassica napus) seedlings to ultraviolet-B radiation, water stress and abscisic acid. Environ. Exp. Bot. 2009, 66, 212–219. [Google Scholar] [CrossRef]
- Dunning, C.A.; Chalker-Scott, L.; Scott, J.D. Exposure to ultraviolet-B radiation increases cold hardiness in Rhododendron. Physiol. Plant. 1994, 92, 516–520. [Google Scholar] [CrossRef]
- Boyko, A.; Greer, M.; Kovalchuk, I. Acute exposure to UVB has a more profound effect on plant genome stability than chronic exposure. Mutat. Res.-Fundam. Mol. Mech. Mutagen. 2006, 602, 100–109. [Google Scholar] [CrossRef]
- Jenkins, M.E.; Suzuki, T.C.; Mount, D.W. Evidence that heat and ultraviolet radiation activate a common stress-response program in plants that is altered in the uvh6 mutant of Arabidopsis thaliana. Plant Physiol. 1997, 115, 1351–1358. [Google Scholar] [CrossRef]
- Bhusal, N.; Han, S.G.; Yoon, T.M. Summer pruning and reflective film enhance fruit quality in excessively tall spindle apple trees. Hortic. Environ. Biotechnol. 2017, 58, 560–567. [Google Scholar] [CrossRef]
- Rozema, J.; Chardonnens, A.; Tosserams, M.; Hafkenscheid, R.; Bruijnzeel, S. Leaf thickness and UV-B absorbing pigments of plants in relation to an elevational gradient along the Blue Mountains, Jamaica. In UV-B and Biosphere; Springer: Dordrecht, Germany, 1997; pp. 150–159. [Google Scholar] [CrossRef]
- Gonzalez, R.; Paul, N.D.; Percy, K.; Ambrose, M.; McLaughlin, C.K.; Barnes, J.D.; Wellburn, A.R. Responses to ultraviolet-B radiation (280–315 nm) of pea (Pisum sativum) lines differing in leaf surface wax. Physiol. Plant. 1996, 98, 852–860. [Google Scholar] [CrossRef]
- Wang, D.; Sun, Y.; Tu, M.; Zhang, P.; Wang, X.; Wang, T.; Li, J. Response of Zebrina pendula leaves to enhanced UV-B radiation. Funct. Plant Biol. 2021, 48, 851. [Google Scholar] [CrossRef] [PubMed]
- Dixon, R.A.; Paiva, N.L. Stress-induced phenylpropanoid metabolism. Plant Cell 1995, 7, 1085. [Google Scholar] [CrossRef] [PubMed]
- Dai, Q.; Peng, S.; Chavez, A.Q.; Vergara, B.S. Effects of UVB radiation on stomatal density and opening in rice (Oryza sativa L.). Ann. Bot. 1995, 76, 65–70. [Google Scholar] [CrossRef]
- Feng, H.; An, L.; Chen, T.; Qiang, W.; Xu, S.; Zhang, M.; Cheng, G. The effect of enhanced ultraviolet-B radiation on growth, photosynthesis and stable carbon isotope composition (δ13C) of two soybean cultivars (Glycine max) under field conditions. Environ. Exp. Bot. 2003, 49, 1–8. [Google Scholar] [CrossRef]
- Bhusal, N.; Bhusal, S.J.; Yoon, T.M. Comparisons of physiological and anatomical characteristics between two cultivars in bi-leader apple trees (Malus × domestica Borkh.). Sci. Hortic. 2018, 231, 73–81. [Google Scholar] [CrossRef]
- Greenberg, B.M.; Gaba, V.; Canaani, O.; Malkin, S.; Mattoo, A.K.; Edelman, M. Separate photosensitizers mediate degradation of the 32-kDa photosystem II reaction center protein in the visible and UV spectral regions. Proc. Natl. Acad. Sci. USA 1989, 86, 6617–6620. [Google Scholar] [CrossRef]
- Smith, J.L.; Burritt, D.J.; Bannister, P. Shoot dry weight, chlorophyll and UV-B-absorbing compounds as indicators of a plant’s sensitivity to UV-B radiation. Ann. Bot. 2000, 86, 1057–1063. [Google Scholar] [CrossRef]
- Sztatelman, O.; Grzyb, J.; Gabryś, H.; Banaś, A.K. The effect of UV-B on Arabidopsis leaves depends on light conditions after treatment. BMC Plant Biol. 2015, 15, 281. [Google Scholar] [CrossRef]
- Lütz, C.; Seidlitz, H.K.; Meindl, U. Physiological and structural changes in the chloroplast of the green alga Micrasterias denticulata induced by UV-B simulation. Plant Ecol. 1997, 128, 55–64. [Google Scholar] [CrossRef]
- Tohge, T.; Watanabe, M.; Hoefgen, R.; Fernie, A.R. The evolution of phenylpropanoid metabolism in the green lineage. Crit. Rev. Biochem. Mol. Biol. 2013, 48, 123–152. [Google Scholar] [CrossRef] [PubMed]
- Kleinkauf, H. Regulation of secondary metabolite formation. In Workshop Conference Hoechst 1985: Gracht Castle; VCH Publishers: Hoboken, NJ, USA, 1986. [Google Scholar] [CrossRef]
- Liu, F.; Chen, J.R.; Tang, Y.H.; Chang, H.T.; Yuan, Y.M.; Guo, Q. Isolation and characterization of cinnamate 4-hydroxylase gene from cultivated ramie (Boehmeria nivea). Biotechnol. Biotechnol. Equip. 2018, 32, 324–331. [Google Scholar] [CrossRef]
- Su, N.; Lu, Y.; Wu, Q.; Liu, Y.; Xia, Y.; Xia, K.; Cui, J. UV-B-induced anthocyanin accumulation in hypocotyls of radish sprouts continues in the dark after irradiation. J. Sci. Food Agric. 2016, 96, 886–892. [Google Scholar] [CrossRef] [PubMed]
- Yang, Y.; Yang, X.; Jang, Z.; Chen, Z.; Ruo, X.; Jin, W.; Xu, M. UV RESISTANCE LOCUS 8 from Chrysanthemum morifolium Ramat (CmUVR8) plays important roles in UV-B signal transduction and UV-B-induced accumulation of flavonoids. Front. Plant Sci. 2018, 9, 955. [Google Scholar] [CrossRef]
- Xie, D.Y.; Sharma, S.B.; Paiva, N.L.; Ferreira, D.; Dixon, R.A. Role of anthocyanidin reductase, encoded by BANYULS in plant flavonoid biosynthesis. Science 2003, 299, 396–399. [Google Scholar] [CrossRef]
- Shi, M.Z.; Xie, D.Y. Biosynthesis and metabolic engineering of anthocyanins in Arabidopsis thaliana. Recent Pat. Biotechnol. 2014, 8, 47–60. [Google Scholar] [CrossRef]
- Bruce, T.J.; Matthes, M.C.; Napier, J.A.; Pickett, J.A. Stressful “memories” of plants: Evidence and possible mechanisms. Plant Sci. 2007, 17, 603–608. [Google Scholar] [CrossRef]
- Ma, D.; Sun, D.; Wang, C.; Li, Y.; Guo, T. Expression of flavonoid biosynthesis genes and accumulation of flavonoid in wheat leaves in response to drought stress. Plant Physiol. Biochem. 2014, 80, 60–66. [Google Scholar] [CrossRef]
- Hideg, É.; Strid, Å. The effects of UV-B on the biochemistry and metabolism in plants. In UV-B Radiation and Plant Life. Molecular Biology to Ecology; CAB International: Wallingford, UK, 2017; pp. 90–110. [Google Scholar] [CrossRef]
- Day, T.A.; Martin, G.; Vogelmann, T.C. Penetration of UV-B radiation in foliage: Evidence that the epidermis behaves as a non-uniform filter. Plant Cell Environ. 1993, 16, 735–741. [Google Scholar] [CrossRef]
- Agati, G.; Tattini, M. Multiple functional roles of flavonoids in photoprotection. New Phytol. 2010, 186, 786–793. [Google Scholar] [CrossRef]
- Lattanzio, V.; Lattanzio, V.M.; Cardinali, A. Role of phenolics in the resistance mechanisms of plants against fungal pathogens and insects. Phytochem. Adv. Res. 2006, 661, 23–67. [Google Scholar] [CrossRef]
- Havaux, M.; Niyogi, K.K. The violaxanthin cycle protects plants from photooxidative damage by more than one mechanism. Proc. Natl. Acad. Sci. USA 1999, 96, 8762–8767. [Google Scholar] [CrossRef] [PubMed]
- Britt, A.B. DNA damage and repair in plants. Annu. Rev. Plant Biol. 1996, 47, 75–100. [Google Scholar] [CrossRef]
- Landry, L.G.; Stapleton, A.E.; Lim, J.; Hoffman, P.; Hays, J.B.; Walbot, V.; Last, R.L. An Arabidopsis photolyase mutant is hypersensitive to ultraviolet-B radiation. Proc. Natl. Acad. Sci. USA 1997, 94, 328–332. [Google Scholar] [CrossRef]
- Wade, H.K.; Sohal, A.K.; Jenkins, G.I. Arabidopsis ICX1 is a negative regulator of several pathways regulating flavonoid biosynthesis genes. Plant Physiol. 2003, 131, 707–715. [Google Scholar] [CrossRef] [PubMed]
- Jenkins, G.I.; Long, J.C.; Wade, H.K.; Shenton, M.R.; Bibikova, T.N. UV and blue light signalling: Pathways regulating chalcone synthase gene expression in Arabidopsis. New Phytol. 2001, 151, 121–131. [Google Scholar] [CrossRef]
- Fuglevand, G.; Jackson, J.A.; Jenkins, G.I. UV-B, UV-A, and blue light signal transduction pathways interact synergistically to regulate chalcone synthase gene expression in Arabidopsis. Plant Cell 1996, 8, 2347–2357. [Google Scholar] [CrossRef]
- Mancinelli, A.L.; Schwartz, O.M. The Photoregulation of anthocyanin synthesis IX. The photosensitivity of the response in dark and light-grown tomato seedlings. Plant Cell Physiol. 1984, 25, 93–105. [Google Scholar] [CrossRef]








| Gene Name (EC No.) | Description | Treatment | |
|---|---|---|---|
| Cut | Non-Cut | ||
| PAL (EC:4.3.1.24) | phenylalanine ammonia-lyase | −0.25 | −0.52 |
| C4H (EC:1.14.1491) | cinnamate 4-hydroxylase isoform | −0.06 | −0.56 |
| 4CL (EC:6.2.1.12) | 4-coumarate-CoA ligase | −0.65 | −0.45 |
| C3’H (EC:1.14.14.96) | p-coumaroyl ester 3’-hydroxylase | −0.22 | 0.13 |
| CCoAOMT (EC:2.1.1.104) | caffeoyl-coenzyme A 3-O-methyltransferase | −0.47 | 0.11 |
| CCR (EC:1.2.1.44) | cinnamoyl-CoA reductase | −1.41 | −1.69 |
| F5H (EC:1.14.-.-) | ferulate 5-hydroxylase | 2.06 | 1.45 |
| POX (EC:1.11.1.7) | peroxidase | 0.35 | 0.52 |
| SGT (EC:2.4.1.120) | sinapate glucosyltransferase | 2.91 | 1.10 |
| SCT (EC:3.4.16.- 2.3.1.91) | 1-O-sinapoylglucose:choline sinapoyltransferase | −0.01 | 0.18 |
| CHS (EC:2.3.1.74) | phenylalanine ammonia-lyase | 2.71 | 0.33 |
| CHI (EC:5.5.1.6) | cinnamate 4-hydroxylase isoform | 3.29 | 1.02 |
| F3H (EC:1.14.11.9) | 4-coumarate-CoA ligase | 1.23 | 0.15 |
| F3’H (EC:1.14.13.21) | p-coumaroyl ester 3’-hydroxylase | 7.82 | 3.65 |
| FLS (EC:1.14.11.23 1.14.20.6) | caffeoyl-coenzyme A 3-O-methyltransferase | 1.00 | 0.05 |
| DFR (EC:1.1.1.219 1.1.1.234) | cinnamoyl-CoA reductase | 3.25 | −0.17 |
| ANS (EC:1.14.11.19 1.14.20.4) | ferulate 5-hydroxylase | 0.51 | 0.05 |
| Wavelength (nm) | Irradiation Intensity (W m−2) | |||||||||||
|---|---|---|---|---|---|---|---|---|---|---|---|---|
| Treatment | ||||||||||||
| Non-Cut | Cut | Non-Cut | Cut | Non-Cut | Cut | |||||||
| 220–380 (UV) | 0.30 (100) | 0.60 (100) | 0.90 (100) | |||||||||
| 220–280 (UV-C) | 0.01 | (4) | 0.01 | (3) | 0.01 | (1) | 0.01 | (1) | 0.01 | (2) | 0.01 | (1) |
| 280–300 (UV-B) | 0.05 | (16) | 0.03 | (9) | 0.10 | (17) | 0.05 | (8) | 0.16 | (18) | 0.06 | (7) |
| 300–315 (UV-B) | 0.10 | (31) | 0.10 | (33) | 0.20 | (33) | 0.20 | (34) | 0.29 | (32) | 0.31 | (35) |
| 315–380 (UV-A) | 0.14 | (49) | 0.17 | (56) | 0.29 | (49) | 0.33 | (56) | 0.43 | (48) | 0.52 | (57) |
Publisher’s Note: MDPI stays neutral with regard to jurisdictional claims in published maps and institutional affiliations. |
© 2022 by the authors. Licensee MDPI, Basel, Switzerland. This article is an open access article distributed under the terms and conditions of the Creative Commons Attribution (CC BY) license (https://creativecommons.org/licenses/by/4.0/).
Share and Cite
Lee, J.-H.; Tanaka, S.; Goto, E. Growth and Biosynthesis of Phenolic Compounds of Canola (Brassica napus L.) to Different Ultraviolet (UV)-B Wavelengths in a Plant Factory with Artificial Light. Plants 2022, 11, 1732. https://doi.org/10.3390/plants11131732
Lee J-H, Tanaka S, Goto E. Growth and Biosynthesis of Phenolic Compounds of Canola (Brassica napus L.) to Different Ultraviolet (UV)-B Wavelengths in a Plant Factory with Artificial Light. Plants. 2022; 11(13):1732. https://doi.org/10.3390/plants11131732
Chicago/Turabian StyleLee, Jin-Hui, Saki Tanaka, and Eiji Goto. 2022. "Growth and Biosynthesis of Phenolic Compounds of Canola (Brassica napus L.) to Different Ultraviolet (UV)-B Wavelengths in a Plant Factory with Artificial Light" Plants 11, no. 13: 1732. https://doi.org/10.3390/plants11131732
APA StyleLee, J.-H., Tanaka, S., & Goto, E. (2022). Growth and Biosynthesis of Phenolic Compounds of Canola (Brassica napus L.) to Different Ultraviolet (UV)-B Wavelengths in a Plant Factory with Artificial Light. Plants, 11(13), 1732. https://doi.org/10.3390/plants11131732

