Willow Aboveground and Belowground Traits Can Predict Phytoremediation Services
Abstract
:1. Introduction
2. Results
2.1. Phytoremediation Services
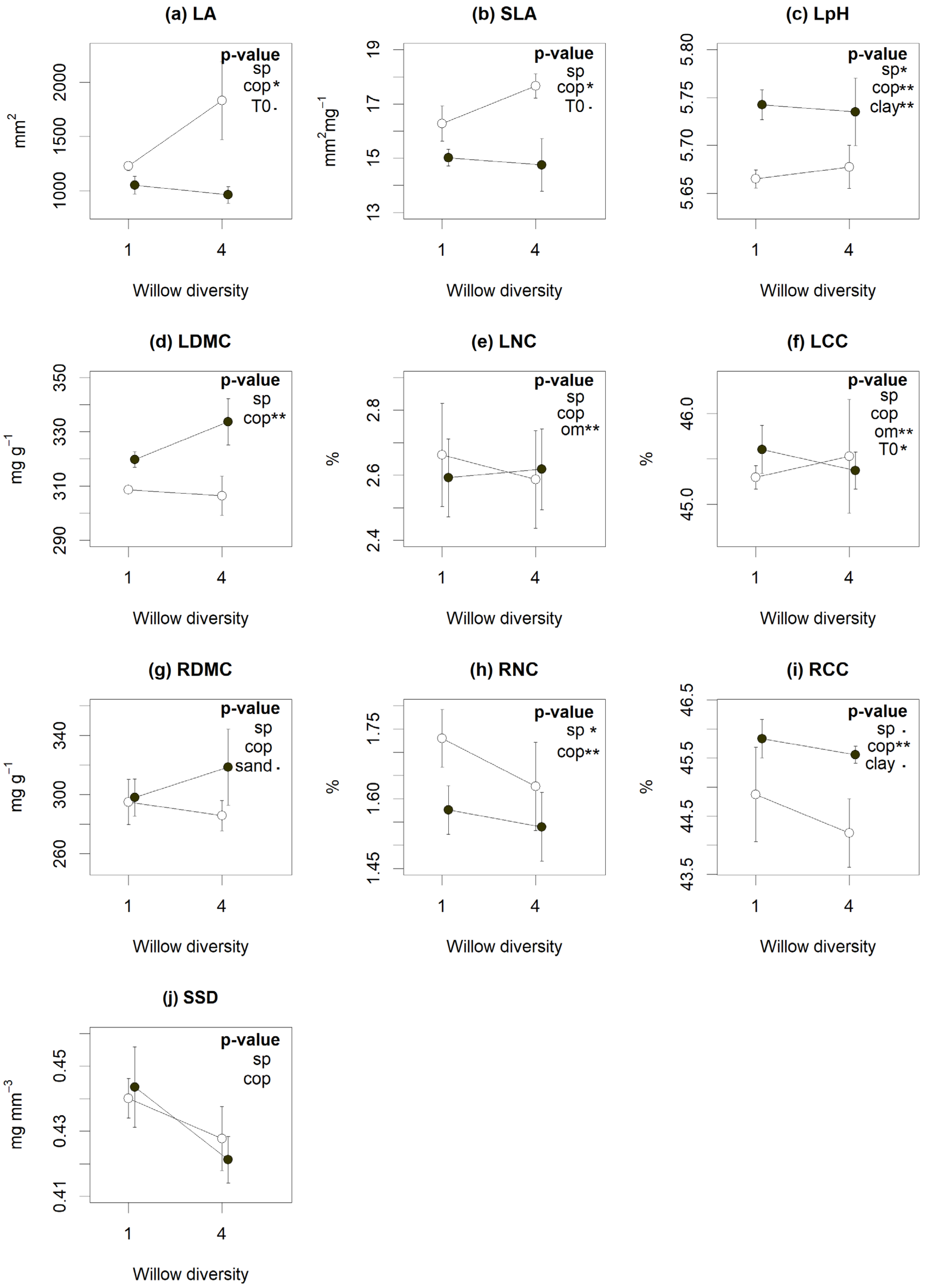
2.2. Functional Traits
2.3. Phytoremediation Services and Functional Traits
3. Discussion
3.1. Phytoremediation Services
3.2. Traits Predict Services
3.3. Limits
4. Materials and Methods
4.1. Sites Description
4.2. Experimental Design
4.3. Phytoremediation Services
4.4. Willow Trait Measurement
4.5. Statistical Analysis
5. Conclusions
Supplementary Materials
Author Contributions
Funding
Data Availability Statement
Acknowledgments
Conflicts of Interest
References
- Garbisu, C.; Alkorta, I. Phytoextraction: A Cost-Effective Plant-Based Technology for the Removal of Metals from the Environment. Bioresour. Technol. 2001, 77, 229–236. [Google Scholar] [CrossRef]
- Page, G.W.; Berger, R.S. Characteristics and Land Use of Contaminated Brownfield Properties in Voluntary Cleanup Agreement Programs. Land Use Policy 2006, 23, 551–559. [Google Scholar] [CrossRef]
- Mench, M.; Lepp, N.; Bert, V.; Schwitzguébel, J.-P.; Gawronski, S.W.; Schröder, P.; Vangronsveld, J. Successes and Limitations of Phytotechnologies at Field Scale: Outcomes, Assessment and Outlook from COST Action 859. J. Soils Sediments 2010, 10, 1039–1070. [Google Scholar] [CrossRef]
- Ernst, W.H.O. Evolution of Metal Tolerance in Higher Plants. For. Snow Landsc. Res. 2006, 80, 251–274. [Google Scholar]
- French, C.J.; Dickinson, N.M.; Putwain, P.D. Woody Biomass Phytoremediation of Contaminated Brownfield Land. Environ. Pollut. 2006, 141, 387–395. [Google Scholar] [CrossRef]
- Guidi Nissim, W.; Pitre, F.E.; Labrecque, M. Short-Rotation Coppice of Willows for the Production of Biomass in Eastern Canada. In Biomass Now—Sustainable Growth and Use; Matovic, M.D., Ed.; InTech Open: London, UK, 2013; ISBN 978-953-51-1105-4. [Google Scholar]
- Kuzovkina, Y.A.; Volk, T.A. The Characterization of Willow (Salix L.) Varieties for Use in Ecological Engineering Applications: Co-Ordination of Structure, Function and Autecology. Ecol. Eng. 2009, 35, 1178–1189. [Google Scholar] [CrossRef]
- Lauron-Moreau, A.; Pitre, F.E.; Argus, G.W.; Labrecque, M.; Brouillet, L. Phylogenetic Relationships of American Willows (Salix L., Salicaceae). PLoS ONE 2015, 10, e0121965. [Google Scholar] [CrossRef]
- Weih, M.; Glynn, C.; Baum, C. Willow Short-Rotation Coppice as Model System for Exploring Ecological Theory on Biodiversity–Ecosystem Function. Diversity 2019, 11, 125. [Google Scholar] [CrossRef] [Green Version]
- Bell, T.H.; Joly, S.; Pitre, F.E.; Yergeau, E. Increasing Phytoremediation Efficiency and Reliability Using Novel Omics Approaches. Trends Biotechnol. 2014, 32, 271–280. [Google Scholar] [CrossRef]
- Baum, C.; Leinweber, P.; Weih, M.; Lamersdorf, N.; Dimitriou, I. Effects of Short Rotation Coppice with Willows and Poplar on Soil Ecology. Agric. For. Res. 2009, 3, 183–196. [Google Scholar]
- Kidd, P.; Mench, M.; Álvarez-López, V.; Bert, V.; Dimitriou, I.; Friesl-Hanl, W.; Herzig, R.; Olga Janssen, J.; Kolbas, A.; Müller, I.; et al. Agronomic Practices for Improving Gentle Remediation of Trace Element-Contaminated Soils. Int. J. Phytoremediat. 2015, 17, 1005–1037. [Google Scholar] [CrossRef] [PubMed] [Green Version]
- Ranalli, M.; Lundholm, J. Biodiversity and Ecosystem Function in Constructed Ecosystems. CAB Rev. 2008, 3, 034. [Google Scholar] [CrossRef]
- Guarino, C.; Sciarrillo, R. The Effectiveness and Efficiency of Phytoremediation of a Multicontaminated Industrial Site: Porto Marghera (Venice Lagoon, Italy). Chemosphere 2017, 183, 371–379. [Google Scholar] [CrossRef]
- de Bello, F.; Lavorel, S.; Díaz, S.; Harrington, R.; Cornelissen, J.H.C.; Bardgett, R.D.; Berg, M.P.; Cipriotti, P.; Feld, C.K.; Hering, D.; et al. Towards an Assessment of Multiple Ecosystem Processes and Services via Functional Traits. Biodivers. Conserv. 2010, 19, 2873–2893. [Google Scholar] [CrossRef]
- Keddy, P.A. A Pragmatic Approach to Functional Ecology. Funct. Ecol. 1992, 6, 621. [Google Scholar] [CrossRef]
- Lavorel, S. Plant Functional Effects on Ecosystem Services. J. Ecol. 2013, 101, 4–8. [Google Scholar] [CrossRef]
- Cadotte, M.W.; Carscadden, K.; Mirotchnick, N. Beyond Species: Functional Diversity and the Maintenance of Ecological Processes and Services. J. Appl. Ecol. 2011, 48, 1079–1087. [Google Scholar] [CrossRef]
- Tilman, D.; Knops, J.; Wedin, D.; Reich, P.; Ritchie, M.; Siemann, E. The Influence of Functional Diversity and Composition on Ecosystem Processes. Science 1997, 277, 1300–1302. [Google Scholar] [CrossRef] [Green Version]
- Laughlin, D.C. Applying Trait-Based Models to Achieve Functional Targets for Theory-Driven Ecological Restoration. Ecol. Lett. 2014, 17, 771–784. [Google Scholar] [CrossRef] [Green Version]
- Guarino, C.; Zuzolo, D.; Marziano, M.; Baiamonte, G.; Morra, L.; Benotti, D.; Gresia, D.; Stacul, E.R.; Cicchella, D.; Sciarrillo, R. Identification of Native-Metal Tolerant Plant Species in Situ: Environmental Implications and Functional Traits. Sci. Total. Env. 2019, 650, 3156–3167. [Google Scholar] [CrossRef] [PubMed]
- Audet, P.; Charest, C. Heavy Metal Phytoremediation from a Meta-Analytical Perspective. Environ. Pollut. 2007, 147, 231–237. [Google Scholar] [CrossRef] [Green Version]
- Delhaye, G.; Violle, C.; Séleck, M.; Ilunga wa Ilunga, E.; Daubie, I.; Mahy, G.; Meerts, P.; Goslee, S. Community Variation in Plant Traits along Copper and Cobalt Gradients. J. Veg. Sci. 2016, 27, 854–864. [Google Scholar] [CrossRef]
- Reich, P.B. The World-Wide ‘Fast-Slow’ Plant Economics Spectrum: A Traits Manifesto. J. Ecol. 2014, 102, 275–301. [Google Scholar] [CrossRef]
- Wright, I.J.; Reich, P.B.; Westoby, M.; Ackerly, D.D.; Baruch, Z.; Bongers, F.; Cavender-Bares, J.; Chapin, T.; Cornelissen, J.H.C.; Diemer, M.; et al. The Worldwide Leaf Economics Spectrum. Nature 2004, 428, 821–827. [Google Scholar] [CrossRef] [PubMed]
- Kattge, J.; Bönisch, G.; Díaz, S.; Lavorel, S.; Prentice, I.C.; Leadley, P.; Tautenhahn, S.; Werner, G.D.A.; Aakala, T.; Abedi, M.; et al. TRY Plant Trait Database—Enhanced Coverage and Open Access. Glob. Chang. Biol. 2019, 26, 119–188. [Google Scholar] [CrossRef] [Green Version]
- Kumordzi, B.B.; Aubin, I.; Cardou, F.; Shipley, B.; Violle, C.; Johnstone, J.; Anand, M.; Arsenault, A.; Bell, F.W.; Bergeron, Y.; et al. Geographic Scale and Disturbance Influence Intraspecific Trait Variability in Leaves and Roots of North American Understorey Plants. Funct. Ecol. 2019, 33, 1771–1784. [Google Scholar] [CrossRef]
- Kroon, H.; de Hendriks, M.; van Ruijven, J.; Ravenek, J.; Padilla, F.M.; Jongejans, E.; Visser, E.J.W.; Mommer, L. Root Responses to Nutrients and Soil Biota: Drivers of Species Coexistence and Ecosystem Productivity. J. Ecol. 2012, 100, 6–15. [Google Scholar] [CrossRef]
- Hoeber, S. Biodiversity-Ecosystem Function in a Willow Biomass Production System. Ph.D. Thesis, Swedish University of Agricultural Sciences, Uppsala, Sweden, 2019. [Google Scholar]
- Desjardins, D.; Brereton, N.J.B.; Marchand, L.; Brisson, J.; Pitre, F.E.; Labrecque, M. Complementarity of Three Distinctive Phytoremediation Crops for Multiple-Trace Element Contaminated Soil. Sci. Total Environ. 2018, 610, 1428–1438. [Google Scholar] [CrossRef]
- Rytter, L. Growth, Decay, and Turnover Rates of Fine Roots of Basket Willows. Can. J. For. Res. 1998, 28, 893–902. [Google Scholar] [CrossRef]
- Cornelissen, J.H.C.; Cerabolini, B.; Castro Díez, P.; Villar Salvador, P.; Montserrat Martí, G.; Puyravaud, J.P.; Maestro, M.; Werger, M.J.A.; Aerts, R. Functional Traits of Woody Plants: Correspondence of Species Rankings between Field Adults and Laboratory grown Seedlings? J. Veg. Sci. 2003, 14, 311–322. [Google Scholar] [CrossRef]
- Roumet, C.; Birouste, M.; Picon Cochard, C.; Ghestem, M.; Osman, N.; Vrignon Brenas, S.; Cao, K.; Stokes, A. Root Structure–Function Relationships in 74 Species: Evidence of a Root Economics Spectrum Related to Carbon Economy. New Phytol. 2016, 210, 815–826. [Google Scholar] [CrossRef]
- Fontana, M.; Lafleur, B.; Labrecque, M.; Courchesne, F.; Bélanger, N. Maximum Annual Potential Yields of Salix Miyabeana SX67 in Southern Quebec and Effects of Coppicing and Stool Age. BioEnergy Res. 2016, 9, 1109–1125. [Google Scholar] [CrossRef] [Green Version]
- Ceulemans, R.; McDonald, A.J.S.; Pereira, J.S. A Comparison among Eucalypt, Poplar and Willow Characteristics with Particular Reference to a Coppice, Growth-Modelling Approach. Biomass Bioenergy 1996, 11, 215–231. [Google Scholar] [CrossRef]
- Gerhardt, K.E.; Huang, X.-D.; Glick, B.R.; Greenberg, B.M. Phytoremediation and Rhizoremediation of Organic Soil Contaminants: Potential and Challenges. Plant. Sci. 2009, 176, 20–30. [Google Scholar] [CrossRef]
- Albert, C.H.; Thuiller, W.; Yoccoz, N.G.; Douzet, R.; Aubert, S.; Lavorel, S. A Multi-Trait Approach Reveals the Structure and the Relative Importance of Intra- vs. Interspecific Variability in Plant Traits: Intra- vs. Interspecific Variability in Plant Traits. Funct. Ecol. 2010, 24, 1192–1201. [Google Scholar] [CrossRef]
- Lavorel, S.; Garnier, E. Predicting Changes in Community Composition and Ecosystem Functioning from Plant Traits: Revisiting the Holy Grail. Funct Ecol. 2002, 16, 545–556. [Google Scholar] [CrossRef]
- Suding, K.N.; Lavorel, S.; Chapin, F.S.; Cornelissen, J.H.C.; Díaz, S.; Garnier, E.; Goldberg, D.; Hooper, D.U.; Jackson, S.T.; Navas, M.-L. Scaling Environmental Change through the Community-Level: A Trait-Based Response-and-Effect Framework for Plants. Glob. Chang. Biol. 2008, 14, 1125–1140. [Google Scholar] [CrossRef] [Green Version]
- Powlson, D.; Smith, P.; Nobili, M.D. Soil organic matter. In Soil Conditions and Plant Growth; John Wiley & Sons, Ltd.: Hoboken, NJ, USA, 2013; pp. 86–131. ISBN 978-1-118-33729-5. [Google Scholar]
- Alloway, B.J. Heavy Metals in Soils: Trace Metals and Metalloids in Soils and Their Bioavailability; Springer: Dordrecht, The Netherlands, 2012; ISBN 978-94-007-4470-7. [Google Scholar]
- Freschet, G.T.; Roumet, C. Sampling Roots to Capture Plant and Soil Functions. Funct. Ecol. 2017, 31, 1506–1518. [Google Scholar] [CrossRef] [Green Version]
- Adamidis, G.C.; Kazakou, E.; Fyllas, N.M.; Dimitrakopoulos, P.G. Species Adaptive Strategies and Leaf Economic Relationships across Serpentine and Non-Serpentine Habitats on Lesbos, Eastern Mediterranean. PLoS ONE 2014, 9, e96034. [Google Scholar] [CrossRef] [Green Version]
- Pulford, I. Phytoremediation of Heavy Metal-Contaminated Land by Trees—A Review. Environ. Int. 2003, 29, 529–540. [Google Scholar] [CrossRef]
- Cornelissen, J.H.C.; Quested, H.M.; Van Logtestijn, R.S.P.; Pérez-Harguindeguy, N.; Gwynn-Jones, D.; Díaz, S.; Callaghan, T.V.; Press, M.C.; Aerts, R. Foliar PH as a New Plant Trait: Can It Explain Variation in Foliar Chemistry and Carbon Cycling Processes among Subarctic Plant Species and Types? Oecologia 2006, 147, 315–326. [Google Scholar] [CrossRef] [PubMed]
- Marschner, H.; Marschner, H. Marschner’s Mineral. Nutrition of Higher Plants; Elsevier Science & Technology: San Diego, UK, 2011; ISBN 978-0-12-384906-9. [Google Scholar]
- Clemens, S. Toxic Metal Accumulation, Responses to Exposure and Mechanisms of Tolerance in Plants. Biochimie 2006, 88, 1707–1719. [Google Scholar] [CrossRef]
- Fortin Faubert, M.; Desjardins, D.; Hijri, M.; Labrecque, M. Willows Used for Phytoremediation Increased Organic Contaminant Concentrations in Soil Surface. Appl. Sci. 2021, 11, 2979. [Google Scholar] [CrossRef]
- Chapman, N.; Miller, A.J.; Lindsey, K.; Whalley, W.R. Roots, Water, and Nutrient Acquisition: Let’s Get Physical. Trends Plant. Sci. 2012, 17, 701–710. [Google Scholar] [CrossRef]
- Liste, H.-H.; Alexander, M. Accumulation of Phenanthrene and Pyrene in Rhizosphere Soil. Chemosphere 2000, 40, 11–14. [Google Scholar] [CrossRef]
- Frenette-Dussault, C.; Benoist, P.; Kadri, H.; Pitre, F.E.; Labrecque, M. Rapid Production of Willow Biomass Using a Novel Microcutting-Based Field Planting Technology. Ecol. Eng. 2019, 126, 37–42. [Google Scholar] [CrossRef]
- AOAC International. Official Methods of Analysis of AOAC International, 16th ed.; Association of Official Analytical Chemists: Washington, DC, USA, 1995; ISBN 978-0-935584-54-7. [Google Scholar]
- Prairie Climate Center. Climate Atlas Report, Municipality: Montréal; Climate Atlas of Canada; University of Winnipeg: Winnipeg, MB, Canada, 2019; Version 2. [Google Scholar]
- Guidi Nissim, W.; Labrecque, M. Planting Microcuttings: An Innovative Method for Establishing a Willow Vegetation Cover. Ecol. Eng. 2016, 91, 472–476. [Google Scholar] [CrossRef]
- Méthode D’analyse des sols, des Fumiers et Des Tissus Végétaux, AGDEX, 1st ed.; Conseil des productions végétales du Québec: Quebec, QC, Canada, 1988; ISBN 2-551-12019-5.
- Wilson, B.; Braithwaite, A.; Brian Pyatt, F. An Evaluation of Procedures for the Digestion of Soils and Vegetation from Areas with Metalliferous Pollution. Toxicol. Environ. Chem. 2005, 87, 335–344. [Google Scholar] [CrossRef]
- Pérez-Harguindeguy, N.; Díaz, S.; Garnier, E.; Lavorel, S.; Poorter, H.; Jaureguiberry, P.; Bret-Harte, M.S.; Cornwell, W.K.; Craine, J.M.; Gurvich, D.E.; et al. Corrigendum to: New Handbook for Standardised Measurement of Plant Functional Traits Worldwide. Aust. J. Bot. 2016, 64, 715. [Google Scholar] [CrossRef] [Green Version]
- Ayotte, J.; Guilbeault, X.; Lalibert, E. Measuring CN Content in Leaf Samples Using Elementar Vario MICRO Cube. Protocols. Io 2019. [Google Scholar] [CrossRef]
- Birouste, M.; Zamora-Ledezma, E.; Bossard, C.; Pérez-Ramos, I.M.; Roumet, C. Measurement of Fine Root Tissue Density: A Comparison of Three Methods Reveals the Potential of Root Dry Matter Content. Plant. Soil 2014, 374, 299–313. [Google Scholar] [CrossRef] [Green Version]
- Walters, M.B.; Ellsworth, D.S. From Tropics to Tundra: Global Convergence in Plant Functioning. PNAS 1997, 94, 13730–13734. [Google Scholar] [CrossRef] [Green Version]
- Tharakan, P.J.; Volk, T.A.; Nowak, C.A.; Abrahamson, L.P. Morphological Traits of 30 Willow Clones and Their Relationship to Biomass Production. Can. J. For. Res. 2011, 35, 421–431. [Google Scholar] [CrossRef]
- Garnier, N. Diversité Fonctionnelle Des. Plantes: Traits Des. Organismes, Structure Des. Communautés, Propriétés Des. Écosystèmes; De Boeck: Brussels, Belgique, 2013; ISBN 2-8041-7562-6. [Google Scholar]
- Díaz, S.; Kattge, J.; Cornelissen, J.H.C.; Wright, I.J.; Lavorel, S.; Dray, S.; Reu, B.; Kleyer, M.; Wirth, C.; Colin Prentice, I.; et al. The Global Spectrum of Plant Form and Function. Nature 2016, 529, 167–171. [Google Scholar] [CrossRef] [PubMed]
- Weiher, E.; van der Werf, A.; Thompson, K.; Roderick, M.; Garnier, E.; Eriksson, O. Challenging Theophrastus: A Common Core List of Plant Traits for Functional Ecology. J. Veg. Sci. 1999, 10, 609–620. [Google Scholar] [CrossRef]
- Pierce, S.; Brusa, G.; Vagge, I.; Cerabolini, B.E.L. Allocating CSR Plant Functional Types: The Use of Leaf Economics and Size Traits to Classify Woody and Herbaceous Vascular Plants. Funct Ecol. 2013, 27, 1002–1010. [Google Scholar] [CrossRef] [Green Version]
- Ordoñez, J.C.; Bodegom, P.M.V.; Witte, J.-P.M.; Wright, I.J.; Reich, P.B.; Aerts, R. A Global Study of Relationships between Leaf Traits, Climate and Soil Measures of Nutrient Fertility. Glob. Ecol. Biogeogr. 2009, 18, 137–149. [Google Scholar] [CrossRef]
- Garnier, E.; Cortez, J.; Billès, G.; Navas, M.-L.; Roumet, C.; Debussche, M.; Laurent, G.; Blanchard, A.; Aubry, D.; Bellmann, A.; et al. Plant Functional Markers Capture Ecosystem Properties during Secondary Succession. Ecology 2004, 85, 2630–2637. [Google Scholar] [CrossRef]
- Pakeman, R.J.; Lepš, J.; Kleyer, M.; Lavorel, S.; Garnier, E. Relative Climatic, Edaphic and Management Controls of Plant Functional Trait Signatures. J. Veg. Sci. 2009, 20, 148–159. [Google Scholar] [CrossRef]
- Cornelissen, J.H.C.; Sibma, F.; Logtestijn, R.S.P.V.; Broekman, R.A.; Thompson, K. Leaf PH as a Plant Trait: Species-Driven Rather than Soil-Driven Variation. Funct. Ecol. 2011, 25, 449–455. [Google Scholar] [CrossRef]
- Golodets, C.; Sternberg, M.; Kigel, J. A Community-Level Test of the Leaf-Height-Seed Ecology Strategy Scheme in Relation to Grazing Conditions. J. Veg. Sci. 2009, 20, 392–402. [Google Scholar] [CrossRef]
- Ma, S.; He, F.; Tian, D.; Zou, D.; Yan, Z.; Yang, Y.; Zhou, T.; Huang, K.; Shen, H.; Fang, J. Variations and Determinants of Carbon Content in Plants: A Global Synthesis. Biogeosciences 2018, 15, 693–702. [Google Scholar] [CrossRef] [Green Version]
- Bates, D.; Maechler, M.; Bolker, B.; Walker, S.; Christensen, R.H.B.; Singmann, H.; Dai, B.; Scheipl, F. Package ‘Lme4.’ CRAN. R; Found. Stat. Comput.: Vienna, Austria, 2012. [Google Scholar]
- RStudio Team. RStudio: Integrated Development Environment for R.; RStudio, PBC.: Boston, MA, USA, 2020. [Google Scholar]
- Borcard, D.; Gillet, F.; Legendre, P. Numerical Ecology with R.; Springer: New York, NY, USA, 2018; ISBN 978-3-319-71404-2. [Google Scholar]
- Legendre, P.; Legendre, L. Numerical Ecology; Elsevier: Amsterdam, The Netherlands, 2012; ISBN 978-0-444-53869-7. [Google Scholar]
- Oksanen, J.; Blanchet, F.G.; Kindt, R.; Legendre, P.; Minchin, P.R.; O’hara, R.B.; Simpson, G.L.; Solymos, P.; Stevens, M.H.H.; Wagner, H. Package ‘Vegan’. Community Ecol. Package Version 2013, 2, 1–295. [Google Scholar]



| TE | Soil TE Mean (mg/kg) | SD | Compost TE Mean (mg/kg) | SD | Soil Characteristics | Mean | SD | Compost Characteristics | Mean | SD |
|---|---|---|---|---|---|---|---|---|---|---|
| As | 5.12 | (2.09) | - | - | pH | 7.6 | (0.1) | pH | 5.9 | (0.1) |
| Ba | 149.19 | (34.21) | - | - | CEC (meq/100 g) | 37.8 | (7.9) | CEC (meq/100 g) | 33.0 | (0.3) |
| Cd | 0.78 | (0.38) | - | - | OM (%) | 8.7 | (2.8) | OM (%) | 27.6 | (1.2) |
| Cu | 92.76 | (52.69) | 2.13 * | (0.09) | Total N (g/kg) | 4.1 | (1.5) | Total N (g/kg) | 9.1 | (0.8) |
| Mn | 573.53 | (187.53) | 18.6 * | (2.3) | Clay (%) | 42.5 | (9.9) | P (kg/ha) | 171 * | (0.1) |
| Pb | 80.72 | (46.09) | - | - | Silt (%) | 38.3 | (15.3) | K (kg/ha) | 99 * | (0.1) |
| Se | 1.88 | (1.26) | - | - | Sand (%) | 19.2 | (13.3) | C: N ratio | 19.9 | (0.8) |
| Zn | 73.69 | (36.11) | 11.0 * | (0.90) |
| Functional Traits | Units | Functions and Strategies | |
|---|---|---|---|
| SLA | Specific leaf area | mm2/mg | Growth rate, photosynthetic capacities [57,60,61], carbon investment, stress tolerance, nutrient acquisition strategy [57,62,63], leaf longevity [63,64], ruderal strategies [65] and soil fertility [66] |
| LA | Leaf area | mm2 | Photosynthetic capacities [61], environmental responses and tolerance [57], light interception, leaf and plant size [63] and competitiveness [65] |
| LDMC | Leaf dry matter content | mg/g | Slow growth rate [57], litter decomposition, nutrient retention and acquisition strategy [62,67], stress tolerance strategies [65] and tolerance to disturbances [57,68] |
| LpH | Leaf pH | Nutrient content (cations) and tissues chemistry [57], leaf digestibility, litter decomposition and pH, leaf C:N ratio and leaf lignin and cellulose content [45,69] | |
| LNC | Leaf nitrogen content | mg/g | Growth rate and litter decomposition [62], nutrient acquisition strategies, photosynthetic capacities, herbivory potential [63], soil fertility [66] and tolerance to disturbance [68] |
| LCC | Leaf carbon content | mg/g | Soil C [68], leaf structure investment, tolerance to disturbance [70], life form, lignin content and chemical composition [71] and leaf digestibility [45] |
| RDMC | Root dry matter content | mg/g | Tolerance to herbivory and stress, root decomposition rate [62], root growth rate and resource acquisition strategies [59] |
| RNC | Root nitrogen content | mg/g | Root respiration, root growth rate, root decomposition rate, root metabolic activity [62] |
| RCC | Root carbon content | mg/g | Life form, lignin content and chemical composition [71] |
| SSD | Specific stem density | mg/mm3 | Hydraulic capacity [57], decomposition, defence capacities, resistance to stresses [62], growth rate, mortality risk [62,63], longevity [64] and carbon storage [62,64] |
Publisher’s Note: MDPI stays neutral with regard to jurisdictional claims in published maps and institutional affiliations. |
© 2021 by the authors. Licensee MDPI, Basel, Switzerland. This article is an open access article distributed under the terms and conditions of the Creative Commons Attribution (CC BY) license (https://creativecommons.org/licenses/by/4.0/).
Share and Cite
Gervais-Bergeron, B.; Chagnon, P.-L.; Labrecque, M. Willow Aboveground and Belowground Traits Can Predict Phytoremediation Services. Plants 2021, 10, 1824. https://doi.org/10.3390/plants10091824
Gervais-Bergeron B, Chagnon P-L, Labrecque M. Willow Aboveground and Belowground Traits Can Predict Phytoremediation Services. Plants. 2021; 10(9):1824. https://doi.org/10.3390/plants10091824
Chicago/Turabian StyleGervais-Bergeron, Béatrice, Pierre-Luc Chagnon, and Michel Labrecque. 2021. "Willow Aboveground and Belowground Traits Can Predict Phytoremediation Services" Plants 10, no. 9: 1824. https://doi.org/10.3390/plants10091824
APA StyleGervais-Bergeron, B., Chagnon, P.-L., & Labrecque, M. (2021). Willow Aboveground and Belowground Traits Can Predict Phytoremediation Services. Plants, 10(9), 1824. https://doi.org/10.3390/plants10091824

