Reintroducing Flax (Linum usitatissimum L.) to the Mediterranean Basin: The Importance of Nitrogen Fertilization
Abstract
:1. Introduction
2. Results
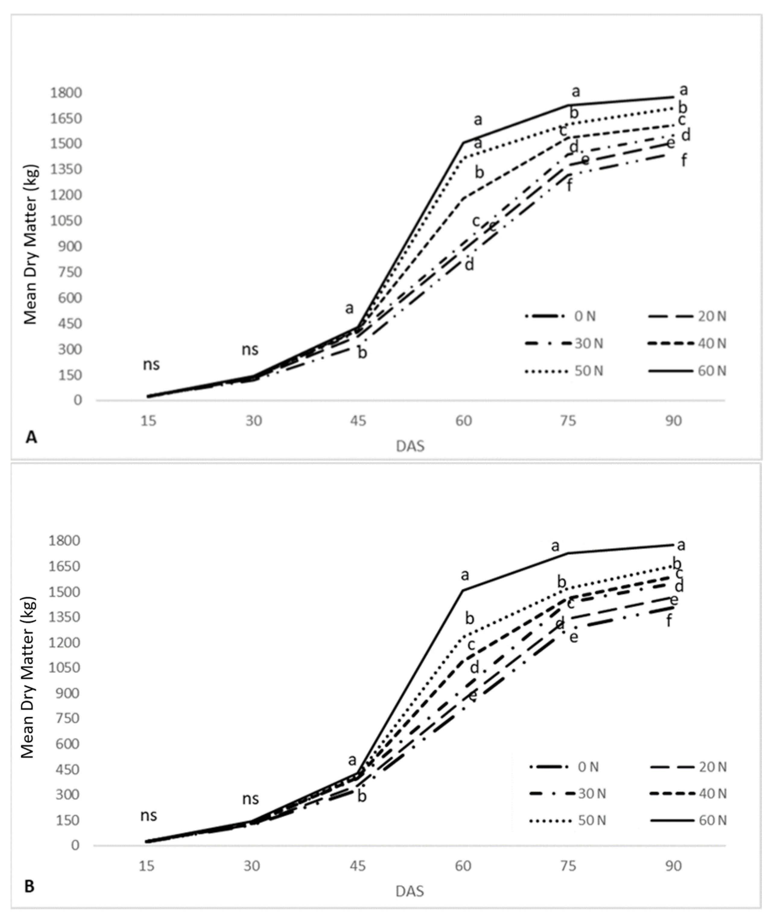
2.1. Plant Biomass (DM)
2.2. Leaf Area Index (LAI) and Accumulated Growth Degree Days (AGDDs)
2.3. Plant Height and Yield
2.4. 1000 Seed Weight and N Content of the Seeds
2.5. Above-Ground, Seed, and Total N Uptake
2.6. Nitrogen Harvest Index (NHI) and Nitrogen Utilization Efficiency (NUtE)
3. Discussion
4. Materials and Methods
4.1. Experimental Design
4.2. Measurements
4.3. Statistical Analysis
5. Conclusions
Author Contributions
Funding
Institutional Review Board Statement
Informed Consent Statement
Data Availability Statement
Conflicts of Interest
Abbreviations
References
- Jhala, A.J.; Hall, L.M. Flax (Linum usitatissimum L.): Current uses and future applications. AJBAS 2010, 4, 4304–4312. [Google Scholar]
- Kiryluk, A.; Kostecka, J. Pro-environmental and health-promoting grounds for restitution of flax (Linum usitatissimum L.) cultivation. J. Ecol. Eng. 2020, 21, 99–107. [Google Scholar] [CrossRef]
- Bilalis, D.; Roussis, I.; Cheimona, N.; Kakabouki, I.; Travlos, I. Organic agriculture and innovative feed crops. In Agricultural Research Updates; Gorawala, P., Mandhatri, S., Eds.; Nova Science Publishers Inc.: New York, NY, USA, 2018; Volume 23, pp. 70–72. [Google Scholar]
- Madhusudhan, B. Potential benefits of flaxseed in health and disease—A perspective. Agric. Conspec. Sci. 2009, 74, 67–72. [Google Scholar]
- Millam, S.; Obert, B.; Pret’ová, A. Plant cell and biotechnology studies in Linum usitatissimum—A review. PCTOC 2005, 82, 93–103. [Google Scholar] [CrossRef]
- Laza, A.; Pop, G. The influence of fertilization and seeding density on flax oil production quality. Res. J. Agric. Sci. 2012, 44, 96–102. [Google Scholar]
- Zhang, Z.S.; Wang, L.J.; Li, D.; Li, S.J.; Özkan, N. Characteristics of flaxseed oil from two different flax plants. Int. J. Food Prop. 2011, 14, 1286–1296. [Google Scholar] [CrossRef] [Green Version]
- Bilalis, D.; Karkanis, A.; Papastylianou, P.; Patsiali, S.; Athanasopoulou, M.; Barla, G.; Kakabouki, I. Response of organic linseed (Linum usitatissimum L.) to the combination of tillage systems, (minimum, conventional and no-tillage) and fertilization practices: Seed and oil yield production. Aust. J. Crop Sci. 2010, 4, 700–705. [Google Scholar]
- Saleem, M.H.; Ali, S.; Hussain, S.; Kamran, M.; Chattha, M.S.; Ahmad, S.; Aqeel, M.; Rizwan, M.; Aljarba, N.H.; Alkahtani, S.; et al. Flax (Linum usitatissimum L.): A potential candidate for phytoremediation? Biological and economical points of view. Plants 2020, 9, 496. [Google Scholar] [CrossRef] [PubMed] [Green Version]
- Pickering, K.L.; Efendy, M.G.A.; Le, T.M. A review of recent developments in natural fibre composites and their mechanical performance. Compos. Part A Appl. Sci. Manuf. 2016, 83, 98–112. [Google Scholar] [CrossRef] [Green Version]
- Sammour, R.H. Proteins of linseed (Linum usitatissimum L.), extraction and characterization by electrophoresis. Bot. Bull. Acad. Sin. 1999, 40, 121–126. [Google Scholar]
- Sultana, C. Growing and harvesting of flax. In The Biology and Processing of Flax; Sharma, H., Van sumere, C., Eds.; M Publications: Belfast, UK, 1992; pp. 83–109. [Google Scholar]
- Rossini, F.; Casa, R. Influence of sowing and harvest time on fibre flax (Linum usitatissimum L.) in the Mediterranean environment. J. Agron. Crop Sci. 2003, 189, 191–196. [Google Scholar] [CrossRef]
- Bilalis, D.; Roussis, I.; Fuentes, F.; Kakabouki, I.; Travlos, I. Organic agriculture and innovative crops under Mediterranean conditions. Not. Bot. Horti Agrobot. Cluj-Napoca 2017, 45, 323–331. [Google Scholar] [CrossRef] [Green Version]
- Lloveras, J.; Santiveri, F.; Gorchs, G. Hemp and flax biomass and fiber production and linseed yield in irrigated Mediterranean conditions. J. Ind. Hemp 2006, 11, 3–15. [Google Scholar] [CrossRef]
- Bilalis, D.; Karkanis, A.; Pantelia, A.; Patsiali, S.; Konstantas, A.; Efthimiadou, A. Weed populations are affected by tillage systems and fertilization practices in organic flax (Linum usitatissimum L.) crop. Aust. J. Crop Sci. 2012, 6, 157–163. [Google Scholar]
- Liu, F.; Li, F.; Du, G.; Xiao, F. Balanced fertilization improves fiber yield and quality of winter flax (Linum usitatissimum L.). Am. J. Plant Sci. 2013, 4, 291–296. [Google Scholar] [CrossRef] [Green Version]
- Jogić, V.; Džafić, S.; Nikitović, J. Effects of fertilization on the fatty acid content of oil flax. Int. J. Adv. Agric. Sci. Technol. 2018, 5, 21–27. [Google Scholar]
- Hocking, P.J.; Randall, P.J.; Pinkerton, A. Mineral nutrition of linseed and fiber flax. Adv. Agron. 1987, 41, 221–296. [Google Scholar] [CrossRef]
- Rahimi, M.M.; Zarei, M.A.; Arminian, A. Selection criteria of flax (Linum usitatissimum L.) for seed yield, yield components and biochemical compositions under various planting dates and nitrogen. Afr. J. Agric. Res. 2011, 6, 3167–3175. [Google Scholar]
- Franzen, D. Fertilizing Flax in North Dakota; Extension Service SF-717; North Dakota Agricultural Experimental Station: Fargo, ND, USA, 2017; Available online: https://www.ag.ndsu.edu/publications/crops/fertilizing-flax (accessed on 24 August 2021).
- Hocking, P.J.; Kirkegaard, J.A.; Angus, J.F.; Gibson, A.H.; Koetz, E.A. Comparison of canola, Indian mustard and Linola in two contrasting environments. I. Effects of nitrogen fertilizer on dry-matter production, seed yield and seed quality. Field Crop. Res. 1997, 49, 107–125. [Google Scholar] [CrossRef]
- Ye, Q.; Zhang, H.; Wei, H.; Zhang, Y.; Wang, B.; Xia, K.; Huo, Z.; Dai, Q.; Xu, K. Effects of nitrogen fertilizer on nitrogen use efficiency and yield of rice under different soil conditions. Front. Agric. China 2007, 1, 30–36. [Google Scholar] [CrossRef]
- Goulding, K.; Jarvis, S.; Whitmore, A. Optimizing nutrient management for farm systems. Philos. Trans. R. Soc. Lond. B Biol. Sci. 2008, 363, 667–680. [Google Scholar] [CrossRef] [PubMed] [Green Version]
- Folina, A.; Tataridas, A.; Mavroeidis, A.; Kousta, A.; Katsenios, N.; Efthimiadou, A.; Travlos, I.; Roussis, I.; Darawsheh, M.K.; Papastylianou, P.; et al. Evaluation of various nitrogen indices in N-fertilizers with inhibitors in field crops: A review. Agronomy 2021, 11, 418. [Google Scholar] [CrossRef]
- Hassan, Q.K.; Bourque, C.P.; Meng, F.R.; Richards, W. Spatial mapping of growing degree days: An application of MODIS-based surface temperatures and enhanced vegetation index. J. Appl. Remote Sens. 2007, 1, 013511. [Google Scholar] [CrossRef]
- Cleland, E.E.; Chuine, I.; Menzel, A.; Mooney, H.A.; Schwartz, M.D. Shifting plant phenology in response to global change. Trends Ecol. Evol. 2007, 22, 357–365. [Google Scholar] [CrossRef]
- Swan, J.B.; Schneider, E.C.; Moncrief, J.F.; Paulson, W.H.; Peterson, A.E. Estimating corn growth, yield, and grain moisture from air growing degree days and residue Cover. Agron. J. 1987, 79, 53–60. [Google Scholar] [CrossRef]
- Liu, Y.; Su, L.; Wang, Q.; Zhang, J.; Shan, Y.; Deng, M. Comprehensive and quantitative analysis of growth characteristics of winter wheat in China based on growing degree days. Adv. Agron. 2020, 159, 237–273. [Google Scholar]
- Goudenhooft, C.; Bourmaud, A.; Baley, C. Flax (Linum usitatissimum L.) fibers for composite reinforcement: Exploring the link between plant growth, cell walls development, and fiber properties. Front. Plant Sci. 2019, 10, 411. [Google Scholar] [CrossRef] [PubMed] [Green Version]
- Tiver, N.S.; Williams, R.P. Studies of the flax plant. The effect of artificial drought on growth and oil production in ani seed variety. Aust. J. Exp. Biol. Med. Sci. 1943, 21, 201–209. [Google Scholar] [CrossRef]
- Camoglu, G.; Kaya, U.; Akkuzu, E.; Genc, L.; Gurbuz, M.; Mengu, G.P.; Kizil, U. Prediction of leaf water status using spectral indices for young olive trees. Fresenius Environ. Bull. 2013, 22, 2713–2720. [Google Scholar]
- Lefeuvre, A.; Bourmaud, A.; Morvan, C.; Baley, C. Tensile properties of elementary fibres of flax and glass: Analysis of reproducibility and scattering. Mater. Lett. 2014, 130, 289–291. [Google Scholar] [CrossRef]
- Du, G.H.; Liu, F.H.; Rowland, G. Fiber cell development and fiber yield of flax (Linum usitatissimum L.) affected by the seasonal temperature pattern. Can. J. Plant Sci. 2015, 95, 1215–1220. [Google Scholar] [CrossRef] [Green Version]
- Bourmaud, A.; Gibaud, M.; Baley, C. Impact of the seeding rate on flax stem stability and the mechanical properties of elementary fibres. Ind. Crop. Prod. 2016, 80, 17–25. [Google Scholar] [CrossRef]
- Mirshekari, M.; Amiri, R.; Nezhad, H.I.; Noori, S.S.; Zandvakili, O.R. Effects of planting date and water deficit on quantitative and qualitative traits of flax seed. AEJAES 2012, 12, 901–913. [Google Scholar] [CrossRef]
- Ali, S.; Cheema, M.A.; Wahid, M.A.; Sattar, A.; Saleem, M.F. Comparative production potential of linola and linseed under different nitrogen levels. Crop Environ. 2011, 2, 33–36. [Google Scholar]
- Kariuki, L.W.; Masinde, P.W.; Onyango, A.N.; Githiri, S.M.; Ogila, K. The growth and seed yield of five linseed (Linum usitatissimum L.) varieties as influenced by nitrogen application. J. Anim. Plant Sci. 2014, 22, 3493–3509. [Google Scholar]
- Soethe, G.; Feiden, A.; Bassegio, D.; Santos, R.F.; de Souza, S.N.M.; Secco, D. Sources and rates of nitrogen in the cultivation of flax. Afr. J. Agric. Res. 2013, 8, 2249–2253. [Google Scholar] [CrossRef] [Green Version]
- Leghari, S.J.; Wahocho, N.A.; Laghari, G.M.; HafeezLaghari, A.; MustafaBhabhan, G.; Hussain-Talpur, K.; Bhutto, T.A.; Wahocho, S.A.; Lashari, A.A. Role of nitrogen for plant growth and development: A review. Adv. Environ. Biol. 2016, 10, 209–219. [Google Scholar]
- Evans, J.R. Photosynthesis and nitrogen relationships in leaves of C3 plants. Oecologia 1989, 78, 9–19. [Google Scholar] [CrossRef]
- Warren, C.R.; Adams, M.A. Phosphorus affects growth and partitioning of nitrogen to Rubisco in Pinus pinaster. Tree Physiol. 2002, 22, 11–19. [Google Scholar] [CrossRef] [Green Version]
- Takashima, T.; Hikosaka, K.; Hirose, T. Photosynthesis or persistence: Nitrogen allocation in leaves of evergreen and deciduous Quercus species. Plant Cell Environ. 2004, 27, 1047–1054. [Google Scholar] [CrossRef]
- Yu, F.; Li, Y.; Li, F.; Zhou, Z.; Chen, C.; Liang, X.; Li, C.; Liu, K. Nitrogen fertilizers promote plant growth and assist in manganese (Mn) accumulation by Polygonum pubescens Blume cultured in Mn tailings soil. Int. J. Phytoremediat. 2019, 21, 1225–1233. [Google Scholar] [CrossRef] [PubMed]
- Wu, L.H.; Li, H.; Luo, Y.M.; Christie, P. Nutrients can enhance phytoremediation of copper-polluted soil by Indian mustard. Environ. Geochem. Health 2004, 26, 331–335. [Google Scholar] [CrossRef] [Green Version]
- Yu, F.; Liu, K.; Li, M.; Zhou, Z.; Deng, H.; Chen, B. Effects of cadmium on enzymatic and non-enzymatic antioxidative defenses of rice (Oryza sativa L.). Int. J. Phytoremediat. 2013, 15, 513–521. [Google Scholar] [CrossRef] [PubMed]
- Maleva, M.; Borisova, G.; Chukina, N.; Kumar, A. Urea increased nickel and copper accumulation in the leaves of Egeria densa (Planch.) Casp. and Ceratophyllum demersum L. during short-term exposure. Ecotoxicol. Environ. Saf. 2018, 148, 152–159. [Google Scholar] [CrossRef] [PubMed]
- Racz, G.J.; Webber, M.D.; Soper, R.J.; Hedlin, R.A. Phosphorus and nitrogen utilization by rape, flax, and wheat. Agron. J. 1965, 57, 335–337. [Google Scholar] [CrossRef]
- Diepenbrock, W.; Iwersen, D. Yield development in linseed (Linum usitatissimum L.). Plant Res. Dev. 1989, 30, 104–125. [Google Scholar]
- Vallduví, G.E.S.; Flores, C.C. Fertilización nitrogenada en el cultivo de lino oleaginoso (Linum usitatissimum L.). Efecto sobre el rendimiento y sus componentes. Investigación agraria. Prod. Protección Veg. 1999, 14, 475–482. [Google Scholar]
- Chaudhary, S. Response of promising linseed varieties to nitrogen. Asian J. Biol. Sci. 2010, 4, 210–211. [Google Scholar]
- Yang, J.; Zhang, J. Grain filling of cereals under soil drying. New Phytol. 2006, 169, 223–236. [Google Scholar] [CrossRef]
- Naqvi, P.A.; Rai, M.; Vasishtha, A.K. Association of different components of seed and oil in linseed. Indian J. Agric. Sci. 1987, 57, 231–236. [Google Scholar]
- Bajpai, M.; Pandey, S.; Vasishtha, A.K. Spectrum of variability of characteristics and composition of the oils from different genetic varieties of linseed. J. Am. Oil Chem. Soc. 1985, 62, 628. [Google Scholar]
- Dybing, C.D. Influence of nitrogen level on flax growth and oil production in varied environments. Crop Sci. 1964, 4, 491–494. [Google Scholar] [CrossRef] [Green Version]
- Hocking, P.J. Effect of nitrogen supply on the growth, yield components and distribution of nitrogen in linola. J. Plant Nutr. 1995, 18, 257–275. [Google Scholar] [CrossRef]
- Hocking, P.J.; Pinkerton, A. Response of growth and yield components of linseed to the onset or relief of nitrogen stress at several stages of crop development. Field Crop. Res. 1991, 27, 83–102. [Google Scholar] [CrossRef]
- Rodgers, G.A. Nitrification inhibitors in agriculture. J. Environ. Sci. Health Part A 1986, 21, 701–722. [Google Scholar] [CrossRef]
- Artola, E.; Cruchaga, S.; Ariz, I.; Moran, J.F.; Garnica, M.; Houdusse, F.; Garcia-Mina, J.M.; Irigoyen, I.; Lasa, B.; Aparicio-Tejo, P.M. Effect of N-(N-butyl) thiophosphoric triamide on urea metabolism and the assimilation of ammonium by Triticum aestivum L. Plant Growth Regul. 2011, 63, 73–79. [Google Scholar] [CrossRef]
- Savci, S. Investigation of effect of chemical fertilizers on environment. APCBEE Procedia 2012, 1, 287–292. [Google Scholar] [CrossRef] [Green Version]
- Khan, M.N.; Mohammad, F. Eutrophication: Challenges and solutions. In Eutrophication: Causes, Consequences and Control; Ansari, A.A., Gill, S.S., Eds.; Springer: Dordrecht, The Netherlands, 2014; pp. 1–15. [Google Scholar] [CrossRef]
- Lassaletta, L.; Billen, G.; Grizzetti, B.; Anglade, J.; Garnier, J. 50 year trends in nitrogen use efficiency of world cropping systems: The relationship between yield and nitrogen input to cropland. Environ. Res. Lett. 2014, 9, 9–18. [Google Scholar] [CrossRef]
- Kakabouki, I.; Karydogianni, S.; Zisi, C.; Folina, A. Effect of fertilization with N-inhibitors on root and crop development of flaxseed crop (Linum usitatissimum L.). AJAS 2020, 42, 411–424. [Google Scholar] [CrossRef]
- del Pozo, A.; Brunel-Saldias, N.; Engler, A.; Ortega-Farias, S.; Acevedo-Opazo, C.; Lobos, G.A.; Jara-Rojas, R.; Molina-Montenegro, M.A. Climate change impacts and adaptation strategies of agriculture in Mediterranean-Climate Regions (MCRs). Sustainability 2019, 11, 2769. [Google Scholar] [CrossRef] [Green Version]
- Raza, A.; Razzaq, A.; Mehmood, S.S.; Zou, X.; Zhang, X.; Lv, Y.; Xu, J. Impact of climate change on crops adaptation and strategies to tackle its outcome: A review. Plants 2019, 8, 34. [Google Scholar] [CrossRef] [Green Version]
- Kraft, J.M.; Kommedahl, T.; Linck, A.J. Histological study of malformation in flax seed after exposure to 31 °C. Bot. Gaz. 1963, 124, 367–371. [Google Scholar] [CrossRef]
- Gusta, L.V.; O’Connor, B.J.; Bhatty, R.S. Flax (Linum usitatissimum L.) responses to chilling and heat stress on flowering and seed yield. Can. J. Plant Sci. 1997, 77, 97–99. [Google Scholar] [CrossRef]
- Jensen, P.K.; Permin, O. Tolerance of flax to pre-and post-emergence herbicides. Tidsskr. Planteavl. 1992, 96, 57–62. [Google Scholar]
- Nalewaja, J.D.; Bothun, R.E. Response of flax to postemergence herbicides. Crop Sci. 1969, 9, 160–162. [Google Scholar] [CrossRef]
- Nalewaja, J.D. Reaction of flax to dicamba applied at several stages. Weed Sci. 1969, 17, 385–387. [Google Scholar] [CrossRef]
- Lafond, G.; Grant, C.; Johnston, A.; McAndrew, D.; May, W. Management of nitrogen and phosphorus fertilizer in no-till flax. Can. J. Plant Sci. 2003, 83, 681–688. [Google Scholar] [CrossRef]
- Bremner, J.M. Determination of nitrogen in soil by Kjedahl method. J. Agric. Sci. 1960, 55, 11–33. [Google Scholar] [CrossRef]


| Treatments | LAI | Plant Height (cm) | Yield (kg ha−1) | 1000 Seed Weight (g) | Seed N Content (%) | Seed N Uptake (kg ha−1) | AGDDs | 
|---|---|---|---|---|---|---|---|
| 2018 | |||||||
| 0N | 1.86 a | 50.75 a | 1090 a | 3.61 a | 2.96 a | 32.22 a | 1406.4 a | 
| 20N | 1.97 ab | 56.00 b | 1180 b | 3.75 b | 3.04 b | 35.85 b | 1435.3 b | 
| 30N | 2.10 c | 60.25 c | 1297 c | 3.79 c | 3.12 b | 40.48 c | 1451.8 bc | 
| 40N | 2.15 bc | 63.50 d | 1405 d | 3.90 d | 3.22 c | 45.17 d | 1464.7 cd | 
| 50N | 2.27 d | 66.75 e | 1450 de | 3.96 de | 3.27 cd | 47.45 de | 1473.4 de | 
| 60N | 2.37 d | 72.75 f | 1476 e | 4.05 e | 3.34 d | 49.24 e | 1480.4 e | 
| 2019 | |||||||
| 0N | 2.01 a | 52.50 a | 1175 a | 3.68 a | 2.99 a | 35.18 a | 1349.5 a | 
| 20N | 2.04 ab | 55.50 b | 1231 b | 3.75 b | 3.09 b | 38.05 b | 1378.1 b | 
| 30N | 2.15 c | 60.00 c | 1298 c | 3.89 c | 3.12 b | 40.52 bc | 1402.1 bc | 
| 40N | 2.24 bc | 63.00 d | 1348 cd | 3.97 d | 3.18 c | 42.89 c | 1425.6 cd | 
| 50N | 2.3 d | 66.50 e | 1395 de | 4.05 de | 3.24 cd | 45.24 cd | 1437.5 de | 
| 60N | 2.37 d | 69.25 f | 1447 e | 4.10 e | 3.28 d | 47.52 d | 1462.9 e | 
| FFert | 56.27 *** | 169.26 *** | 132.3 *** | 57.12 *** | 70.93 *** | 162.58 *** | 40.57 *** | 
| FYear | 12.357 *** | ns | ns | 13.79 *** | ns | ns | ns | 
| FFert × Year | ns | ns | 6.8 *** | ns | ns | 6.75 *** | ns | 
| Treatments | N Content of the Above-Ground Tissues (%) | Above-Ground N Uptake (kg ha−1) | Total N Uptake (kg ha−1) | NHI | NUtE | 
|---|---|---|---|---|---|
| 2018 | |||||
| 0 N | 0.40 a | 5.70 a | 37.92 a | 0.849 ns | 28.752 a | 
| 20N | 0.42 b | 6.29 b | 42.13 b | 0.851 ns | 28.015 b | 
| 30N | 0.44 b | 6.82 c | 47.30 c | 0.856 ns | 27.434 b | 
| 40N | 0.47 c | 7.57 d | 52.73 d | 0.857 ns | 26.643 c | 
| 50N | 0.49 cd | 8.37 e | 55.82 e | 0.850 ns | 25.979 d | 
| 60N | 0.51 d | 9.01 f | 58.25 e | 0.845 ns | 25.352 e | 
| 2019 | |||||
| 0 N | 0.40 a | 5.67 a | 40.85 a | 0.863 ns | 28.845 a | 
| 20N | 0.43 b | 6.28 b | 44.33 b | 0.861 ns | 27.869 b | 
| 30N | 0.45 b | 6.88 c | 47.39 c | 0.856 ns | 27.422 b | 
| 40N | 0.48 c | 7.59 d | 50.48 d | 0.852 ns | 26.780 c | 
| 50N | 0.49 cd | 8.14 e | 53.38 e | 0.848 ns | 26.156 d | 
| 60N | 0.52 d | 8.81 f | 56.33 f | 0.845 ns | 25.756 e | 
| FFert | 38.496 *** | 96.627 *** | 218.425 *** | 2.62 * | 125.632 *** | 
| FYear | ns | ns | ns | ns | ns | 
| FFert × Year | ns | ns | 6.361 *** | ns | ns | 
| AGDDs | N% Seed | N% Upper | N Seed | N Upper | N Total | NHI | NUtE | |
|---|---|---|---|---|---|---|---|---|
| AGDDs | - | 0.668 *** | 0.656 *** | 0.702 *** | 0.723 *** | 0.714 *** | −0.410 ** | −0.701 *** | 
| Plant Height | 0.745 *** | 0.946 *** | 0.914 *** | 0.962 *** | 0.961 *** | 0.971 *** | −0.427 ** | −0.964 *** | 
| DM | 0.769 *** | 0.904 *** | 0.873 *** | 0.918 *** | 0.961 *** | 0.934 *** | −0.535 ** | −0.946 *** | 
| Yield | 0.695 *** | 0.942 *** | 0.895 *** | 0.994 *** | 0.924 *** | 0.992 *** | −0.270 ns | −0.929 *** | 
| 1000 seed weight | 0.622 ** | 0.807 *** | 0.895 *** | 0.860 *** | 0.903 *** | 0.876 *** | −0.513 ** | −0.856 *** | 
| Soil Type | Clay Loam | 
|---|---|
| Clay | 29.8% | 
| Silt | 34.3% | 
| Sand | 35.9% | 
| pH | 7.22 | 
| Organic matter | 2.25% | 
| CaCO3 | 14% | 
| Total Mineral Nitrogen | 0.149% | 
| Phosphorus—P Olsen | 170 mg kg−1 soil | 
| Potassium | 625 mg kg−1 soil | 
| Treatment | Applied Fertilizer (kg ha−1) | Fertilization Rate (kg N ha−1) | 
|---|---|---|
| 0N (Control) | - | - | 
| 20N | 43.5 | 20 | 
| 30N | 65 | 30 | 
| 40N | 87 | 40 | 
| 50N | 109 | 50 | 
| 60N | 130.5 | 60 | 
| Equation | Equation Number | Reference | 
|---|---|---|
| (1) | [25] | |
| Seed N uptake = | (2) | [25] | 
| Total N uptake = Above-ground N uptake + Seed N uptake (kg ha−1) | (3) | [25] | 
| (4) | [25] | |
| (5) | [25] | |
| 1 | (6) | [30] | 
| Publisher’s Note: MDPI stays neutral with regard to jurisdictional claims in published maps and institutional affiliations. | 
© 2021 by the authors. Licensee MDPI, Basel, Switzerland. This article is an open access article distributed under the terms and conditions of the Creative Commons Attribution (CC BY) license (https://creativecommons.org/licenses/by/4.0/).
Share and Cite
Kakabouki, I.; Mavroeidis, A.; Tataridas, A.; Roussis, I.; Katsenios, N.; Efthimiadou, A.; Tigka, E.L.; Karydogianni, S.; Zisi, C.; Folina, A.; et al. Reintroducing Flax (Linum usitatissimum L.) to the Mediterranean Basin: The Importance of Nitrogen Fertilization. Plants 2021, 10, 1758. https://doi.org/10.3390/plants10091758
Kakabouki I, Mavroeidis A, Tataridas A, Roussis I, Katsenios N, Efthimiadou A, Tigka EL, Karydogianni S, Zisi C, Folina A, et al. Reintroducing Flax (Linum usitatissimum L.) to the Mediterranean Basin: The Importance of Nitrogen Fertilization. Plants. 2021; 10(9):1758. https://doi.org/10.3390/plants10091758
Chicago/Turabian StyleKakabouki, Ioanna, Antonios Mavroeidis, Alexandros Tataridas, Ioannis Roussis, Nikolaos Katsenios, Aspasia Efthimiadou, Evangelia L. Tigka, Stella Karydogianni, Charikleia Zisi, Antigolena Folina, and et al. 2021. "Reintroducing Flax (Linum usitatissimum L.) to the Mediterranean Basin: The Importance of Nitrogen Fertilization" Plants 10, no. 9: 1758. https://doi.org/10.3390/plants10091758
APA StyleKakabouki, I., Mavroeidis, A., Tataridas, A., Roussis, I., Katsenios, N., Efthimiadou, A., Tigka, E. L., Karydogianni, S., Zisi, C., Folina, A., & Bilalis, D. (2021). Reintroducing Flax (Linum usitatissimum L.) to the Mediterranean Basin: The Importance of Nitrogen Fertilization. Plants, 10(9), 1758. https://doi.org/10.3390/plants10091758
 
         
                                                







 
       