Genetic and Environmental Factors Jointly Impact Leaf Phenolic Profiles of Iris variegata L.
Abstract
:1. Introduction
2. Results
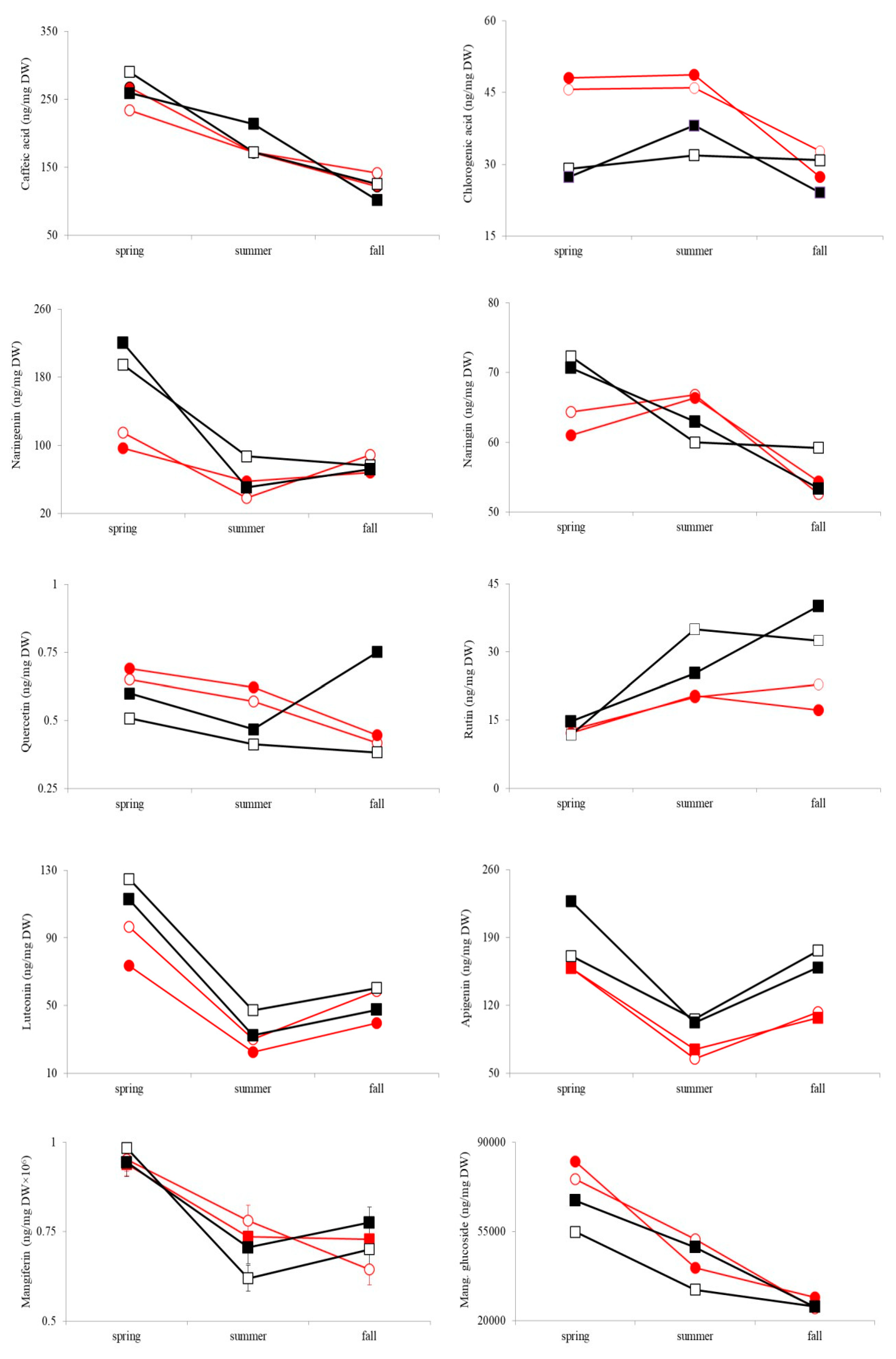
2.1. Phenolic Acids
2.2. Flavonoids
2.3. Xanthones
2.4. Correlations
3. Discussion
3.1. Variation in Phenolic Acids Content
3.2. Variation in Flavonoids Content
3.3. Variation in Xanthones Content
3.4. Secondary Metabolites Correlation Patterns
3.5. The Importance of a Proper Season and Genotype Sampling
4. Materials and Methods
4.1. Plant Material
4.2. Sample Preparation
4.3. UHPLC/(−)HESI-MS2 Metabolomic Profiling of Phenolics
4.4. Statistical Analyses
5. Conclusions
Supplementary Materials
Author Contributions
Funding
Acknowledgments
Conflicts of Interest
References
- Avramov, S.; Pemac, D.; Tucić, B. Phenotypic plasticity in response to an irradiance gradient in Iris pumila: Adaptive value and evolutionary constraints. Plant Ecol. 2007, 190, 275–290. [Google Scholar] [CrossRef]
- Tarasjev, A.; Barisić Klisarić, N.; Stojković, B.; Avramov, S. Phenotypic plasticity and between population differentiation in Iris pumila transplants between native open and anthropogenic shade habitats. Russ. J. Genet. 2009, 45, 944–952. [Google Scholar] [CrossRef]
- Živković, U.; Miljković, D.; Barisić Klisarić, N.; Tarasjev, A.; Avramov, S. Performance of Iris variegata genotypes in different light conditions: Flowering phenology and reproductive output. Genetika 2015, 47, 679–694. [Google Scholar] [CrossRef]
- Poorter, H.; Niinemets, Ü.; Ntagkas, N.; Siebenkäs, A.; Mäenpää, M.; Matsubara, S.; Pons, T.L. A meta-analysis of plant responses to light intensity for 70 traits ranging from molecules to whole plant performance. New Phytol. 2019, 223, 1073–1105. [Google Scholar] [CrossRef] [PubMed] [Green Version]
- Demidchik, V. Mechanisms of oxidative stress in plants: From classical chemistry to cell biology. Environ. Exp. Bot. 2015, 109, 212–228. [Google Scholar] [CrossRef]
- Mierziak, J.; Kostyn, K.; Kulma, A. Flavonoids as important molecules of plant interactions with the environment. Molecules 2014, 19, 16240–16265. [Google Scholar] [CrossRef]
- Williams, D.H.; Stone, M.J.; Hauck, P.R.; Rahman, S.K. Why are secondary metabolites (Natural Products) biosynthesized? J. Nat. Prod. 1989, 52, 1189–1208. [Google Scholar] [CrossRef] [PubMed]
- Theis, N.; Lerdau, M. The evolution of function in plant secondary metabolites. Int. J. Plant Sci. 2003, 164, 93–102. [Google Scholar] [CrossRef]
- Moore, B.D.; Andrew, R.L.; Külheim, C.; Foley, W.J. Explaining intraspecific diversity in plant secondary metabolites in an ecological context. New Phytol. 2013, 201, 733–750. [Google Scholar] [CrossRef]
- Verma, N.; Shukla, S. Impact of various factors responsible for fluctuation in plant secondary metabolites. J. Appl. Res. Med. Aromat. Plants. 2015, 2, 105–113. [Google Scholar] [CrossRef]
- Gouvea, D.R.; Gobbo-Neto, L.; Sakamoto, H.T.; Lopes, N.P.; Lopes, J.L.C.; Meloni, F.; Amaral, J.G. Seasonal variation of the major secondary metabolites present in the extract of Eremanthus mattogrossensis Less (Asteraceae: Vernonieae) leaves. Quim. Nova 2012, 35, 2139–2145. [Google Scholar] [CrossRef] [Green Version]
- Harborne, J.B. Introduction to Ecological Biochemistry, 4th ed.; Academic Press: London, UK, 1993. [Google Scholar]
- Wade, H.K.; Bibikova, T.N.; Valentine, W.J.; Jenkins, G.I. Interactions within a network of phytochrome, cryptochrome and UV-B phototransduction pathways regulate chalcone synthase gene expression in Arabidopsis leaf tissue. Plant J. 2001, 25, 675–685. [Google Scholar] [CrossRef] [PubMed]
- Tegelberg, R.; Julkunen-Tiitto, R.; Aphalo, P.J. Red: Far-red light ratio and UV-B radiation: Their effects on leaf phenolics and growth of silver birch seedlings. Plant Cell Environ. 2004, 27, 1005–1013. [Google Scholar] [CrossRef]
- Bidart-Bouzat, M.G.; Imeh-Nathaniel, A. Global change effects on plant chemical defenses against insect herbivores. J. Integr. Plant Biol. 2008, 50, 1339–1354. [Google Scholar] [CrossRef] [PubMed]
- Esteban, R.; Barrutia, O.; Artetxe, U.; Fernández-Marín, B.; Hernández, A.; García-Plazaola, J.I. Internal and external factors affecting photosynthetic pigment composition in plants: A meta-analytical approach. New Phytol. 2015, 206, 268–280. [Google Scholar] [CrossRef]
- Poorter, H.; Niinemets, Ü.; Walter, A.; Fiorani, F.; Schurr, U. A method to construct dose-response curves for a wide range of environmental factors and plant traits by means of a meta-analysis of phenotypic data. J. Exp. Bot. 2010, 61, 2043–2055. [Google Scholar] [CrossRef] [Green Version]
- Başer, K.H.C.; Demirci, B.; Orhan, I.E.; Kartal, M.; Sekeroglu, N.; Sener, B. Composition of Volatiles from Three Iris Species of Turkey. J. Essent. Oil Res. 2011, 23, 66–71. [Google Scholar] [CrossRef]
- Kaššák, P. Secondary metabolites of the choosen Genus Iris species. Acta Univ. Agric. Silvic. Mendel. Brun. 2013, 60, 269–280. [Google Scholar] [CrossRef] [Green Version]
- Ayoub, I.M.; El-Shazly, M.; Lu, M.C.; Singab, A.N.B. Antimicrobial and cytotoxic activities of the crude extracts of Dietes bicolor leaves, flowers and rhizomes. S. Afr. J. Bot. 2014, 95, 97–101. [Google Scholar] [CrossRef] [Green Version]
- Kukula-Koch, W.; Sieniawska, E.; Widelski, J.; Urjin, O.; Głowniak, P.; Skalicka-Woźniak, K. Major secondary metabolites of Iris spp. Phytochem. Rev. 2015, 14, 51–80. [Google Scholar] [CrossRef]
- Singab, A.N.B.; Ayoub, I.M.; El-Shazly, M.; Korinek, M.; Wu, T.Y.; Cheng, Y.B.; Chang, F.R.; Wu, Y.C. Shedding the light on Iridaceae: Ethnobotany, phytochemistry and biological activity. Ind. Crops Prod. 2016, 92, 308–335. [Google Scholar] [CrossRef]
- Kostić, A.Ž.; Gašić, U.M.; Pešić, M.B.; Stanojević, S.P.; Barać, M.B.; Mačukanović-Jocić, M.P.; Avramov, S.; Tešić, Ž.L. Phytochemical analysis and total antioxidant capacity of rhizome, above-ground vegetative parts and flower of three Iris species. Chem. Biodivers. 2019, 16, e1800565. [Google Scholar] [CrossRef] [PubMed] [Green Version]
- Tarasjev, A.; Avramov, S.; Miljković, D. Evolutionary biology studies on the Iris pumila clonal plant: Advantages of a good model system, main findings and directions for further research. Arch. Biol. Sci. 2012, 64, 159–174. [Google Scholar] [CrossRef]
- Živković, U.; Miljković, D.; Klisarić, N.B.; Tarasjev, A.; Avramov, S. Seasonal variation of leaf ecophysiological traits of Iris variegata observed in two consecutive years in natural habitats with contrasting light conditions. Arch. Biol. Sci. 2015, 67, 1227–1236. [Google Scholar] [CrossRef]
- Roberts, M.R.; Paul, N.D. Seduced by the dark side: Integrating molecular and ecological perspectives on the influence of light on plant defence against pests and pathogens. New Phytol. 2006, 170, 677–699. [Google Scholar] [CrossRef] [Green Version]
- Sharififar, F.; Dehghn-Nudeh, G.; Mirtajaldini, M. Major flavonoids with antioxidant activity from Teucrium polium L. Food Chem. 2009, 112, 885–888. [Google Scholar] [CrossRef]
- Cheynier, V.; Comte, G.; Davies, K.M.; Lattanzio, V.; Martens, S. Plant phenolics: Recent advances on their biosynthesis, genetics, and ecophysiology. Plant Physiol. Biochem. 2013, 72, 1–20. [Google Scholar] [CrossRef]
- Mølgaard, P.; Ravn, H. Evolutionary aspects of caffeoyl ester distribution In Dicotyledons. Phytochemistry 1988, 27, 2411–2421. [Google Scholar] [CrossRef]
- del Moral, R. On the variability of chlorogenic acid concentration. Oecologia 1972, 9, 289–300. [Google Scholar] [CrossRef] [PubMed]
- Grace, S.C.; Logan, B.A.; Adams, W.W. Seasonal differences in foliar content of chlorogenic acid, a phenylpropanoid antioxidant, in Mahonia repens. Plant Cell Environ. 1998, 21, 513–521. [Google Scholar] [CrossRef]
- Grace, S.G.; Logan, B.A. Energy dissipation and radical scavenging by the plant phenylpropanoid pathway. Philos. Trans. R. Soc. B Biol. Sci. 2000, 355, 1499–1510. [Google Scholar] [CrossRef] [Green Version]
- Schoch, G.; Goepfert, S.; Morant, M.; Hehn, A.; Meyer, D.; Ullmann, P.; Werck-Reichhart, D. CYP98A3 from Arabidopsis thaliana is a 3′-Hydroxylase of phenolic esters, a missing link in the phenylpropanoid pathway. J. Biol. Chem. 2001, 276, 36566–36574. [Google Scholar] [CrossRef] [PubMed] [Green Version]
- Tohge, T.; de Souza, L.P.; Fernie, A.R. Current understanding of the pathways of flavonoid biosynthesis in model and crop 956 plants. J. Exp. Bot. 2017, 69, 4497. [Google Scholar] [CrossRef]
- Martens, S.; Mithöfer, A. Flavones and flavone synthases. Phytochemistry 2005, 66, 2399–2407. [Google Scholar] [CrossRef] [PubMed]
- Ghasemzadeh, A.; Jaafar, H.Z.; Rahmat, A. Synthesis of phenolics and flavonoids in ginger (Zingiber officinale Roscoe) and their effects on photosynthesis rate. Int. J. Mol. Sci. 2010, 11, 4539–4555. [Google Scholar] [CrossRef] [PubMed] [Green Version]
- Taylor, L.P.; Grotewold, E. Flavonoids as developmental regulators. Curr. Opin. Plant Biol. 2005, 8, 317–323. [Google Scholar] [CrossRef] [PubMed]
- Brunetti, C.; Di Ferdinando, M.; Fini, A.; Pollastri, S.; Tattini, M. Flavonoids as antioxidants and developmental regulators: Relative significance in plants and humans. Int. J. Mol. Sci. 2013, 14, 3540–3555. [Google Scholar] [CrossRef] [Green Version]
- Rice-Evans, C.A.; Miller, N.J.; Paganga, G. Antioxidant properties of phenolic compounds. Trends Plant Sci. 1997, 2, 152–159. [Google Scholar] [CrossRef]
- Agati, G.; Stefano, G.; Biricolti, S.; Tattini, M. Mesophyll distribution of “antioxidant” flavonoid glycosides in Ligustrum vulgare leaves under contrasting sunlight irradiance. Ann. Bot. 2009, 104, 853–861. [Google Scholar] [CrossRef] [Green Version]
- Tattini, M.; Guidi, L.; Morassi-Bonzi, L.; Pinelli, P.; Remorini, D.; Degl’Innocenti, E.; Giordano, C.; Massai, R.; Agati, G. On the role of flavonoids in the integrated mechanisms of response of Ligustrum vulgare and Phillyrea latifolia to high solar radiation. New Phytol. 2005, 167, 457–470. [Google Scholar] [CrossRef] [PubMed]
- Oh, M.M.; Carey, E.E.; Rajashekar, C.B. Environmental stresses induce health-promoting phytochemicals in lettuce. Plant Physiol. Biochem. 2009, 47, 578–583. [Google Scholar] [CrossRef]
- Becker, C.; Kläring, H.P.; Kroh, L.W.; Krumbein, A. Temporary reduction of radiation does not permanently reduce flavonoid glycosides and phenolic acids in red lettuce. Plant Physiol. Biochem. 2013, 72, 154–160. [Google Scholar] [CrossRef] [Green Version]
- Chauhan, N.P.; Fatma, T.; Mishra, R.K. Protection of wheat chloroplasts from lipid peroxidation and loss of photosynthetic pigments by quercetin under strong illumination. J. Plant Physiol. 1992, 140, 409–413. [Google Scholar] [CrossRef]
- Ruberti, I.; Sessa, G.; Ciolfi, A.; Possenti, M.; Carabelli, M.; Morelli, G. Plant adaptation to dynamically changing environment: The shade avoidance response. Biotechnol. Adv. 2012, 30, 1047–1058. [Google Scholar] [CrossRef] [PubMed]
- Živković, U. Phenotypic Plasticity of Ecophysiological, Morfological and Phenological Traits of Iris variegata L. (Iridaceae) and Differentiation of Genotypes Originating from Contrasting Light Habitats. Ph.D. Thesis, University of Belgrade, Belgrade, Serbia, 2017. [Google Scholar]
- Chen, M.; Chory, J. Phytochrome signaling mechanisms and the control of plant development. Trends Cell Biol. 2011, 21, 664–671. [Google Scholar] [CrossRef] [PubMed] [Green Version]
- Bate-Smith, E.C.; Harborne, J.B. Mangiferin and other glycophenolics in Iris species. Nature 1963, 198, 1307–1308. [Google Scholar] [CrossRef]
- Williams, C.A.; Harborne, J.B.; Colasante, M. Flavonoid and xanthone patterns in bearded Iris species and the pathway of chemical evolution in the genus. Biochem. Syst. Ecol. 1997, 25, 309–325. [Google Scholar] [CrossRef]
- Luo, F.; Lv, Q.; Zhao, Y.; Hu, G.; Huang, G.; Zhang, J.; Sun, C.; Li, X.; Chen, K. Quantification and purification of mangiferin from Chinese mango (Mangifera indica L.) cultivars and its protective effect on human umbilical vein endothelial cells under H2O2-induced stress. Int. J. Mol. Sci. 2012, 13, 11260–11274. [Google Scholar] [CrossRef] [PubMed]
- Joubert, E.; de Beer, D.; Hernández, I.; Munné-Bosch, S. Accummulation of mangiferin, isomangiferin, iriflophenone-3-C-β-glucoside and hesperidin in honeybush leaves (Cyclopia genistoides Vent.) in response to harvest time, harvest interval and seed source. Ind. Crops Prod. 2014, 56, 74–82. [Google Scholar]
- Messier, J.; Violle, C.; Enquist, B.J.; Lechowicz, M.J.; McGill, B.J. Similarities and differences in intrapopulation trait correlations of co-occurring tree species: Consistent water-use relationships amid widely different correlation patterns. Am. J. Bot. 2018, 105, 1477–1490. [Google Scholar] [CrossRef] [PubMed]
- Armbruster, W.S.; Pélabon, C.; Bolstad, G.H.; Hansen, T.F. Integrated phenotypes: Understanding trait covariation in plants and animals. Philos. Trans. R. Soc. Lond. B Biol. Sci. 2014, 369, 20130245. [Google Scholar] [CrossRef] [PubMed] [Green Version]
- Chaves, N.; Escudero, J.C.; Gutierrez-Merino, C. Role of ecological variables in the seasonal variation of flavonoid content of Cistus ladanifer Exudate. J. Chem. Ecol. 1997, 23, 579–603. [Google Scholar] [CrossRef]
- Alqahtani, A.; Tongkao-On, W.; Li, K.M.; Razmovski-Naumovski, V.; Chan, K.; Li, G.Q. Seasonal variation of triterpenes and phenolic compounds in australian Centella asiatica (L.). Urb. Phytochem. Anal. 2015, 26, 436–443. [Google Scholar] [CrossRef] [PubMed]
- Yang, L.; Zheng, Z.S.; Cheng, F.; Ruan, X.; Jiang, D.A.; Pan, C.D.; Wang, Q. Seasonal dynamics of metabolites in needles of Taxus wallichiana var. mairei. Molecules 2016, 21, 1403–1416. [Google Scholar] [CrossRef] [Green Version]
- Avramov, S.; Miljković, D.; Krstić-Milošević, D. Mangiferin and total phenol content in two Iris species during the vegetative season in genotypes originating from contrasting habitats. In Proceedings of the 2st International Conference on Plant Biology and 21th Symposium of the Serbian Plant Physiology Society, Petnica Science Center, Valjevo, Serbia, 17–20 June 2015; Uzelac, B., Ed.; Serbian Plant Physiology Society, Institute for Biological Research “Siniša Stankovi”, University of Belgrade: Belgrade, Serbia, 2015; pp. 8–3156. [Google Scholar]
- Mišić, D.; Šiler, B.; Gašić, U.; Avramov, S.; Živković, S.; Živković, J.N.; Milutinović, M.; Tešić, Ž. Simultaneous UHPLC/DAD/(+/−)HESI-MS/MS analysis of phenolic acids and nepetalactones in methanol extracts of Nepeta species: A possible application in chemotaxonomic studies. Phytochem. Anal. 2015, 26, 72–85. [Google Scholar] [CrossRef] [PubMed]
- SAS/STAT User’s Guide, version 9.1.3; SAS Institute Inc.: Cary, NC, USA, 2011.




| Source of Variation | Flavonoids | Xanthones | |||||||||
| Rutin | Luteolin | Apigenin | Mangiferin | Mangiferin gl. | |||||||
| Between-Subject | df | MS | F | MS | F | MS | F | MS(×105) | F | MS(×105) | F |
| Treatment (T) | 1 | 0.03 × 10−3 | 0.00 | 10.58 | 6.47 * | 1.22 | 2.54 | 24.79 | 0.03 | 90.09 | 11.95 *** |
| Block (B) | 1 | 0.12 | 2.41 | 3.25 | 1.99 | 5.32 | 11.06 ** | 63.80 | 7.07 | 12.66 | 16.80 **** |
| Habitat (H) | 1 | 0.03 | 0.68 | 10.08 | 6.17 * | 0.02 | 0.05 | 70.68 | 0.08 | 82.83 | 1.10 |
| Genotype (G(H)) | 45 | 0.11 | 2.30 * | 7.74 | 4.73 **** | 2.04 | 4.25 **** | 20.42 | 2.26 | 17.09 | 2.27 *** |
| T × H | 1 | 0.03 × 10−4 | 0.00 | 0.53 | 0.33 | 0.27 | 0.57 | 48.29 | 0.54 | 15.88 | 2.11 |
| T × G(H) | 15 | 0.06 | 1.23 | 1.84 | 1.13 | 0.44 | 0.93 | 93.01 | 1.03 | 67.17 | 0.89 |
| Error | 15 | 0.05 | 0.00 | 1.63 | 0.48 | 90.24 | 75.37 | ||||
| Within-subject | |||||||||||
| Season(S) | 2 | 0.57 | 13.52 **** | 233.88 | 156.61 **** | 399.67 | 797.77 **** | 40.90 | 66.67 **** | 89.22 | 169.69 **** |
| S × T | 2 | 1.15 | 27.21 **** | 9.29 | 6.23 | 38.18 | 76.22 **** | 31.93 | 5.20 ** | 27.27 | 5.19 ** |
| S × B | 2 | 0.11 | 2.69 **** | 0.91 | 0.62 | 0.29 | 0.60 | 58.30 | 9.50 *** | 47.34 | 9.00 *** |
| S × H | 2 | 0.04 | 1.01 **** | 0.27 | 0.19 | 0.21 | 0.42 | 20.78 | 3.39 * | 51.24 | 0.97 |
| S × G(H) | 90 | 0.06 | 1.62 **** | 2.71 | 1.82 | 1.07 | 2.15 **** | 79.92 | 1.30 | 72.74 | 1.38 * |
| S × T × H | 2 | 0.00 | 0.10 **** | 2.45 | 1.65 | 0.19 | 0.40 | 78.38 | 1.28 | 17.24 | 3.28 * |
| S × T × G(H) | 30 | 0.07 | 1.80 **** | 1.36 | 0.91 | 0.51 | 1.01 | 77.87 | 1.27 | 57.99 | 1.10 |
| Error | 30 | 0.04 | 1.49 | 0.51 | 61.35 | 52.58 | |||||
| Profile analysis | |||||||||||
| spring–summer | 1 | 1.61 | 65.44 **** | 932.11 | 268.72 **** | 1597.19 | 1646.24 **** | 12.53 | 116.01 **** | 13.30 | 116.20 **** |
| summer–fall | 1 | 1.81 | 16.18 ** | 284.51 | 139.31 **** | 358.20 | 548.22 **** | 55.69 | 0.05 | 51.73 | 73.65 **** |
| spring–fall | 1 | 0.01 | 0.05 | 186.66 | 54.12 **** | 442.62 | 320.21 **** | 12.01 | 87.87 **** | 35.06 | 268.09 **** |
| Source of Variation | Phenolic Acids | Flavonoids | |||||||||
| Caffeic Acid | Chlorogenic Acid | Naringenin | Naringin | Quercetin | |||||||
| Between-Subject | df | MS | F | MS | F | MS | F | MS | F | MS | F |
| Treatment (T) | 1 | 20.60 | 1235.80 **** | 8.47 | 29.90 **** | 1.14 | 37.97 **** | 0.99 | 0.00 | 0.01 | 0.99 |
| Block (B) | 1 | 0.00 | 0.04 | 0.07 | 0.28 | 0.06 | 2.09 | 22.62 | 0.06 | 0.01 | 3.03 |
| Habitat (H) | 1 | 0.00 | 0.12 | 0.21 | 0.76 | 0.01 | 0.56 | 18.48 | 0.05 | 0.01 | 3.47 |
| Genotype (G(H)) | 36 | 0.04 | 2.77 | 0.48 | 1.71 | 0.07 | 2.57 * | 96.28 | 0.26 | 0.01 | 2.34 ** |
| T × H | 1 | 0.00 | 0.25 | 0.17 | 0.61 | 0.00 | 0.07 | 13.85 | 0.04 | 0.01 | 3.77 |
| T × G(H) | 1 | 0.14 | 8.75 * | 0.11 | 0.40 | 0.02 | 0.68 | 22.48 | 0.06 * | 0.00 | 0.92 |
| Error | 7 | 0.01 | 0.28 | 0.03 | 375.01 | 0.01 | |||||
| Within-subject | |||||||||||
| Season (S) | 2 | 70.12 | 5448.54 **** | 2.09 | 8.84 ** | 57.72 | 2268.62 **** | 99.94 | 8.70 * | 0.04 | 8.10 *** |
| S × T | 2 | 4.88 | 379.81 **** | 22.53 | 94.89 **** | 0.96 | 37.81 **** | 54.48 | 4.74 * | 0.11 | 20.97 **** |
| S × B | 2 | 0.09 | 7.40 ** | 0.17 | 0.75 | 0.14 | 5.71 ** | 571.67 | 49.77 * | 0.05 | 9.57 *** |
| S × H | 2 | 0.01 | 1.17 | 0.39 | 1.66 | 0.00 | 0.05 | 26.57 | 2.31 | 0.01 | 1.19 |
| S × G(H) | 72 | 0.05 | 4.62 ** | 0.15 | 0.64 | 0.06 | 2.66 ** | 129.86 | 11.31 | 0.01 | 1.04 |
| S × T × H | 2 | 0.00 | 0.32 | 0.02 | 0.11 | 0.00 | 0.07 | 297.75 | 25.92 * | 0.01 | 1.07 |
| S × T × G(H) | 2 | 0.10 | 7.79 * | 0.21 | 0.91 | 0.02 | 1.07 | 36.69 | 3.19 * | 0.00 | 0.78 |
| Error | 14 | 0.01 | 0.23 | 0.02 | 11.48 | 0.01 | |||||
| Profile analysis | |||||||||||
| spring–summer | 1 | 278.71 | 16,911.90 **** | 2.69 | 5.40 * | 220.40 | 3023.81 **** | 199.89 | 8.70 | 0.09 | 9.22 ** |
| summer–fall | 1 | 90.46 | 3449.47 **** | 1.55 | 3.45 | 21.32 | 4126.55 **** | 0.15 | 12.22 **** | ||
| spring–fall | 1 | 51.59 | 1494.70 **** | 8.34 | 17.59 **** | 104.60 | 1402.12 **** | 0.01 | 0.65 | ||
Publisher’s Note: MDPI stays neutral with regard to jurisdictional claims in published maps and institutional affiliations. |
© 2021 by the authors. Licensee MDPI, Basel, Switzerland. This article is an open access article distributed under the terms and conditions of the Creative Commons Attribution (CC BY) license (https://creativecommons.org/licenses/by/4.0/).
Share and Cite
Živković, U.; Avramov, S.; Miljković, D.; Barišić Klisarić, N.; Tubić, L.; Mišić, D.; Šiler, B.; Tarasjev, A. Genetic and Environmental Factors Jointly Impact Leaf Phenolic Profiles of Iris variegata L. Plants 2021, 10, 1599. https://doi.org/10.3390/plants10081599
Živković U, Avramov S, Miljković D, Barišić Klisarić N, Tubić L, Mišić D, Šiler B, Tarasjev A. Genetic and Environmental Factors Jointly Impact Leaf Phenolic Profiles of Iris variegata L. Plants. 2021; 10(8):1599. https://doi.org/10.3390/plants10081599
Chicago/Turabian StyleŽivković, Uroš, Stevan Avramov, Danijela Miljković, Nataša Barišić Klisarić, Ljiljana Tubić, Danijela Mišić, Branislav Šiler, and Aleksej Tarasjev. 2021. "Genetic and Environmental Factors Jointly Impact Leaf Phenolic Profiles of Iris variegata L." Plants 10, no. 8: 1599. https://doi.org/10.3390/plants10081599
APA StyleŽivković, U., Avramov, S., Miljković, D., Barišić Klisarić, N., Tubić, L., Mišić, D., Šiler, B., & Tarasjev, A. (2021). Genetic and Environmental Factors Jointly Impact Leaf Phenolic Profiles of Iris variegata L. Plants, 10(8), 1599. https://doi.org/10.3390/plants10081599

