Carbon Storage Distribution Characteristics of Vineyard Ecosystems in Hongsibu, Ningxia
Abstract
1. Introduction
2. Results
2.1. Establishment of an Allometric Model of Grapevine Biomass
2.2. Biomass Distribution in Vines and Vineyards
2.3. Carbon Storage and Distribution Characteristics in Vineyard Ecosystems
2.3.1. Carbon Storage and Distribution Characteristics in Grapevine Biomass
2.3.2. Carbon Storage and Distribution Characteristics in Soil
2.3.3. Carbon Storage and Distribution Characteristics in Vineyard Ecosystems
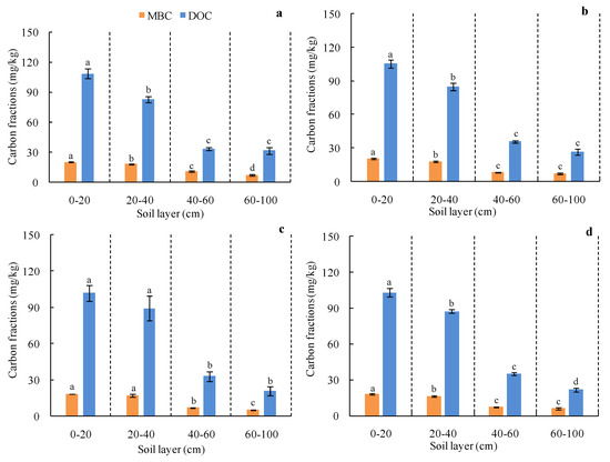
2.4. Changes in Rhizosphere Soil MBC and DOC
2.5. Correlation Analyses
3. Discussion
4. Materials and Methods
4.1. Study Site
4.2. Vine and Soil Sample Collection
4.3. Determination of Organic Carbon Content and Carbon Fractions
4.4. Biomass Model Selection
4.5. Carbon Storage Estimation
4.6. Data Analysis
5. Conclusions
Supplementary Materials
Author Contributions
Funding
Institutional Review Board Statement
Informed Consent Statement
Data Availability Statement
Acknowledgments
Conflicts of Interest
References
- Jiménez-de-la-Cuesta, D.; Mauritsen, T. Emergent constraints on Earth’s transient and equilibrium response to doubled CO2 from post-1970s global warming. Nat. Geosci. 2019, 12, 902–905. [Google Scholar] [CrossRef]
- Qi, W.; Liu, J.; Leung, F. A framework to quantify impacts of elevated CO2 concentration, global warming and leaf area changes on seasonal variations of water resources on a river basin scale. J. Hydrol. 2019, 570, 508–522. [Google Scholar] [CrossRef]
- Buermann, W.; Lintner, B.R.; Koven, C.D.; Angert, A.; Pinzon, J.E.; Tucker, C.J.; Fung, I.Y. The changing carbon cycle at Mauna Loa Observatory. Proc. Natl. Acad. Sci. USA 2007, 104, 4249–4254. [Google Scholar] [CrossRef]
- Goosse, H. Carbon cycle: Degrees of climate feedback. Nature 2010, 463, 438–439. [Google Scholar] [CrossRef]
- Vendrame, N.; Tezza, L.; Pitacco, A. Study of the carbon budget of a temperate-climate vineyard: Inter-annual variability of CO2 flux. Am. J. Enol. Vitic. 2019, 70, 34–41. [Google Scholar] [CrossRef]
- Wang, Y.; Deng, L.; Wu, G.; Wang, K.; Shangguan, Z. Estimates of carbon storage in grassland ecosystems on the Loess Plateau. Catena 2018, 164, 23–31. [Google Scholar] [CrossRef]
- Janssens, I.A.; Freibauer, A.; Ciais, P.; Smith, P.; Nabuurs, G.J.; Folberth, G.; Schlamadinger, B.; Hutjes, R.W.A.; Ceulemans, R.; Schulze, E.D.; et al. Europe’s terrestrial biosphere absorbs 7 to 12% of European anthropogenic CO2 emissions. Science 2003, 300, 1538–1542. [Google Scholar] [CrossRef] [PubMed]
- Kroodsma, D.A.; Field, C.B. Carbon sequestration in California Agriculture, 1980–2000. Ecol. Appl. 2006, 16, 1975–1985. [Google Scholar] [CrossRef]
- Wolff, M.W.; Alsina, M.M.; Stockert, C.M.; Khalsa, S.D.S.; Smart, D.R. Minimum tillage of a cover crop lowers net GWP and sequesters soil carbon in a California vineyard. Soil Tillage Res. 2018, 175, 244–254. [Google Scholar] [CrossRef]
- Marras, S.; Masia, S.; Duce, P.; Spano, D.; Sirca, C. Carbon footprint assessment on a mature vineyard. Agric. For. Meteorol. 2015, 214, 350–356. [Google Scholar] [CrossRef]
- Marques, F.J.M.; Pedroso, V.; Trindade, H.; Pereira, J.L.S. Impact of vineyard cover cropping on carbon dioxide and nitrous oxide emissions in Portugal. Atmos. Pollut. Res. 2018, 9, 105–111. [Google Scholar] [CrossRef]
- Sinisterra-Solís, N.K.; Sanjuán, N.; Estruch, V.; Clemente, G. Assessing the environmental impact of Spanish vineyards in Utiel-Requena PDO: The influence of farm management and on-field emission modelling. J. Environ. Manag. 2020, 262, 110325. [Google Scholar] [CrossRef]
- Chiriacò, M.V.; Belli, C.; Chiti, T.; Trotta, C.; Sabbatini, S. The potential carbon neutrality of sustainable viticulture showed through a comprehensive assessment of the greenhouse gas (GHG) budget of wine production. J. Clean. Prod. 2019, 225, 435–450. [Google Scholar] [CrossRef]
- Forsyth, K.; Oemcke, D. International Wine Carbon Calculator Protocol; Version 1.2; Provisor Pty Ltd.: Glen Osmond, Australia; Yalumba Wines: Angaston, Australia; Hartley Grove: Urrbrae, Australia, 2008; p. 152.
- Schultz, H.R. Climate change and viticulture: Research needs for facing the future. J. Wine Res. 2010, 21, 113–116. [Google Scholar] [CrossRef]
- Williams, J.N.; Morandé, J.A.; Vaghti, M.G.; Medellín-Azuara, J.; Viers, J.H. Ecosystem services in vineyard landscapes: A focus on aboveground carbon storage and accumulation. Carbon Balance Manag. 2020, 15, 23. [Google Scholar] [CrossRef]
- Fleishman, S.M.; Bock, H.W.; Eissenstat, D.M.; Centinari, M. Undervine groundcover substantially increases shallow but not deep soil carbon in a temperate vineyard. Agric. Ecosyst. Environ. 2021, 313, 107362. [Google Scholar] [CrossRef]
- García-Díaz, A.; Marqués, M.J.; Sastre, B.; Bienes, R. Labile and stable soil organic carbon and physical improvements using groundcovers in vineyards from central Spain. Sci. Total Environ. 2018, 621, 387–397. [Google Scholar] [CrossRef]
- Morandé, J.A.; Stockert, C.M.; Liles, G.C.; Williams, J.N.; Smart, D.R.; Viers, J.H. From berries to blocks: Carbon stock quantification of a California vineyard. Carbon Balance Manag. 2017, 12, 5. [Google Scholar] [CrossRef]
- Brunori, E.; Farina, R.; Biasi, R. Sustainable viticulture: The carbon-sink function of the vineyard agro-ecosystem. Agric. Ecosyst. Environ. 2016, 223, 10–21. [Google Scholar] [CrossRef]
- Tezza, L.; Vendrame, N.; Pitacco, A. Disentangling the carbon budget of a vineyard: The role of soil management. Agric. Ecosyst. Environ. 2019, 272, 52–62. [Google Scholar] [CrossRef]
- Wu, X.L.; Cheng, Y.Q.; Luo, Y.J.; Chen, X.; Xie, Y.H. Carbon sequestration and storage of citrus orchard system in three gorges reservoir region of Chongqing. Southwest China J. Agric. Sci. 2014, 27, 693–698. [Google Scholar]
- Agnelli, A.; Bol, R.; Trumbore, S.E.; Dixon, L.; Cocco, S.; Corti, G. Carbon and nitrogen in soil and vine roots in harrowed and grass-covered vineyards. Agric. Ecosyst. Environ. 2014, 193, 70–82. [Google Scholar] [CrossRef]
- Bosco, S.; Di Bene, C.; Galli, M.; Remorini, D.; Massai, R.; Bonari, E. Soil organic matter accounting in the carbon footprint analysis of the wine chain. Int. J. Life Cycle Assess. 2013, 18, 973–989. [Google Scholar] [CrossRef]
- Simansky, V. Soil organic matter in water-stable aggregates under different soil management practices in a productive vineyard. Arch. Agron. Soil Sci. 2013, 59, 1207–1214. [Google Scholar] [CrossRef]
- Steenwerth, K.; Belina, K.M. Cover crops enhance soil organic matter, carbon dynamics and microbiological function in a vineyard agroecosystem. Appl. Soil Ecol. 2008, 40, 359–369. [Google Scholar] [CrossRef]
- Ferreira, R.V.; Tavares, R.L.M.; de Medeiros, S.F.; da Silva, A.G.; da Silva, J.F. Carbon stock and organic fractions in soil under monoculture and Sorghum bicolor-Urochloa ruziziensis intercropping systems. Bragantia 2020, 79, 425–433. [Google Scholar] [CrossRef]
- Li, J.; Wen, Y.; Li, X.; Li, Y.; Yang, X.; Lin, Z.; Song, Z.; Cooper, J.M.; Zhao, B. Soil labile organic carbon fractions and soil organic carbon stocks as affected by long-term organic and mineral fertilization regimes in the North China Plain. Soil Tillage Res. 2018, 175, 281–290. [Google Scholar] [CrossRef]
- Poeplau, C.; Don, A. Sensitivity of soil organic carbon stocks and fractions to different land-use changes across Europe. Geoderma 2013, 192, 189–201. [Google Scholar] [CrossRef]
- Wu, Z.D.; Wang, Y.X.; Weng, B.Q.; Cai, Z.J.; Wen, S.X. Organic carbon and nitrogen storage in 7 years old citrus orchard ecosystem in Fuzhou, China. J. Fujian Agric. For. Univ. 2008, 37, 316–319. [Google Scholar]
- Naik, S.K.; Maurya, S.; Bhatt, B.P. Soil organic carbon stocks and fractions in different orchards of eastern plateau and hill region of India. Agrofor. Syst. 2017, 91, 541–552. [Google Scholar] [CrossRef]
- Christensen, L.P. Raisin Production Manual; UCANR Publications: Davis, CA, USA, 2000. [Google Scholar]
- Payen, F.T.; Sykes, A.; Aitkenhead, M.; Alexander, P.; Moran, D.; MacLeod, M. Soil organic carbon sequestration rates in vineyard agroecosystems under different soil management practices: A meta-analysis. J. Clean. Prod. 2020, 290, 1257396. [Google Scholar]
- Chiarawipa, R.; Wang, Y.; Zhang, X.Z.; Han, Z.H. Growing season carbon dynamics and stocks in relation to vine ages under a vineyard agroecosystem in Northern China. Am. J. Plant Physiol. 2013, 8, 1–16. [Google Scholar] [CrossRef][Green Version]
- Williams, J.N.; Hollander, A.D.; O’Geen, A.T.; Thrupp, L.A.; Hanifin, R.; Steenwerth, K.; McGourty, G.; Jackson, L.E. Assessment of carbon in woody plants and soil across a vineyard-woodland landscape. Carbon Balance Manag. 2011, 6, 11. [Google Scholar] [CrossRef]
- Keightley, K.E.; Bawden, G.W. 3D volumetric modeling of grapevine biomass using Tripod LiDAR. Comput. Electron. Agric. 2010, 74, 305–312. [Google Scholar] [CrossRef]
- Kumari, R.; Kundu, M.; Das, A.; Rakshit, R.; Sahay, S.; Sengupta, S.; Ahmad, M.F. Long-term integrated nutrient management improves carbon stock and fruit yield in a subtropical mango (Mangifera indica L.) orchard. J. Soil Sci. Plant Nutr. 2019, 20, 725–737. [Google Scholar] [CrossRef]
- Shi, Z.; Li, X.; Zhang, L.; Wang, Y. Impacts of farmland conversion to apple (Malus domestica) orchard on soil organic carbon stocks and enzyme activities in a semiarid loess region. J. Plant Nutr. Soil Sci. 2015, 178, 440–451. [Google Scholar] [CrossRef]
- Wang, Y.X.; Weng, B.Q.; Tian, N.; Zhong, Z.M.; Wang, M.K. Soil organic carbon stocks of citrus orchards in Yongchun county, Fujian Province, China. Pedosphere 2017, 27, 985–990. [Google Scholar] [CrossRef]
- Novara, A.; Minacapilli, M.; Santoro, A.; Rodrigo-Comino, J.; Carrubba, A.; Sarno, M.; Venezia, G.; Gristina, L. Real cover crops contribution to soil organic carbon sequestration in sloping vineyard. Sci. Total Environ. 2019, 652, 300–306. [Google Scholar] [CrossRef]
- Eldon, J.; Gershenson, A. Effects of cultivation and alternative vineyard management practices on soil carbon storage in diverse Mediterranean landscapes: A review of the literature. Agroecol. Sustain. Food Syst. 2015, 39, 516–550. [Google Scholar] [CrossRef]
- Lal, R. Soil carbon sequestration impacts on global climate change and food security. Science 2004, 304, 1623–1627. [Google Scholar] [CrossRef] [PubMed]
- Paradelo, R.; Moldes, A.B.; Barral, M.T. Carbon and nitrogen mineralization in a vineyard soil amended with grape marcvermicompost. Waste Manag. Res. 2011, 29, 1177–1184. [Google Scholar] [CrossRef]
- Deurer, M.; Müller, K.; Kim, I.; Huh, K.Y.; Young, I.; Jun, G.I.; Clothier, B.E. Can minor compaction increase soil carbon sequestration? A case study in a soil under a wheel-track in an orchard. Geoderma 2012, 183–184, 74–79. [Google Scholar] [CrossRef]
- Williams, L.E.; Biscay, P.J. Partitioning of dry weight, nitrogen, and potassium in Cabernet Sauvignon grapevines from anthesis until harvest. Am. J. Enol. Viticult. 1991, 42, 113–117. [Google Scholar]
- Wang, Y.; Chen, W.K.; Gao, X.T.; He, L.; Yang, X.H.; He, F.; Duan, C.Q.; Wang, J. Root stock-mediated effects on Cabernet Sauvignon performance: Vine growth, berry ripening, flavonoids, and aromatic profiles. Int. J. Mol. Sci. 2019, 20, 401. [Google Scholar] [CrossRef]
- Litskas, V.D.; Tzortzakis, N.; Stavrinides, M.C. Determining the carbon footprint and emission hotspots for the wine produced in Cyprus. Atmosphere 2020, 11, 463. [Google Scholar] [CrossRef]
- Ahmed, I.U.; Smith, A.R.; Jones, D.L.; Godbold, D.L. Tree species identity influences the vertical distribution of labile and recalcitrant carbon in a temperate deciduous forest soil. For. Ecol. Manag. 2016, 359, 352–360. [Google Scholar] [CrossRef]
- Chen, D.; Saleem, M.; Cheng, J.; Mi, J.; Chu, P.; Tuvshintogtokh, I.; Hu, S.; Bai, Y. Effects of aridity on soil microbial communities and functions across soil depths on the Mongolian Plateau. Funct. Ecol. 2019, 33, 1561–1571. [Google Scholar] [CrossRef]
- Guo, Z.; Wang, Y.; Wan, Z.; Zuo, Y.; He, L.; Li, D.; Yuan, F.; Wang, N.; Liu, J.; Song, Y.; et al. Soil dissolved organic carbon in terrestrial ecosystems: Global budget, spatial distribution and controls. Glob. Ecol. Biogeogr. 2020, 29, 2159–2175. [Google Scholar] [CrossRef]
- Sun, T.; Wang, Y.; Hui, D.; Jing, X.; Feng, W. Soil properties rather than climate and ecosystem type control the vertical variations of soil organic carbon, microbial carbon, and microbial quotient. Soil Biol. Biochem. 2020, 148, 107905. [Google Scholar] [CrossRef]
- Jradi, S.; Chameeva, T.B.; Delhomme, B.; Jaegler, A. Tracking carbon footprint in French vineyards: A DEA performance assessment. J. Clean. Prod. 2018, 192, 43–54. [Google Scholar] [CrossRef]
- Navarro, A.; Puig, R.; Kılıç, E.; Penavayre, S.; Fullana-i-Palmer, P. Eco-innovation and benchmarking of carbon footprint data for vineyards and wineries in Spain and France. J. Clean. Prod. 2017, 142, 1661–1671. [Google Scholar] [CrossRef]
- Wu, H.; Wang, S.X.; Bu, H.Y.; Zhang, S.T.; Ge, W.J.; Wang, X.J.; Qi, W.; Liu, K. Effect of seed size and altitude on the C, N, P contents of 53 compositae plant seeds on the northeastern Qinghai-Tibet Plateau. Acta Bot. Boreali Occident. Sin. 2014, 34, 1635–1641. [Google Scholar]
- Lin, Q.M.; Wu, Y.G.; Liu, H.L. Modification of fumigation extraction method for measuring soil microbial biomass carbon. Chin. J. Ecol. 1999, 18, 63–66. [Google Scholar]
- García Morote, F.A.; López Serrano, F.R.; Andrés, M.; Rubio, E.; González Jiménez, J.L.; De Las Heras, J. Allometries biomass stocks and biomass allocation in the thermophilic Spanish juniper woodlands of Southern Spain. For. Ecol. Manag. 2012, 270, 85–93. [Google Scholar] [CrossRef]
- Gargaglione, V.; Peri, P.L.; Rubio, G. Allometric relations for biomass partitioning of Nothofagusantarctica trees of different crown classes over a site quality gradient. For. Ecol. Manag. 2010, 259, 1118–1126. [Google Scholar] [CrossRef]
- Pilli, R.; Anfodillo, T.; Carrer, M. Towards a functional and simplified allometry for estimating forest biomass. For. Ecol. Manag. 2006, 237, 583–593. [Google Scholar] [CrossRef]
- Xu, H. A comparison between CAR and VAR biomass models. J. Southwest For. Coll. 2003, 23, 37–40. [Google Scholar]
- Singnar, P.; Das, M.C.; Sileshi, G.W.; Brahma, B.; Nath, A.J.; Das, A.K. Allometric scaling, biomass accumulation and carbon stocks in different aged stands of thin-walled bamboos Schizostachyumdullooa, Pseudostachyumpolymorphum and Melocannabaccifera. For. Ecol. Manag. 2017, 395, 81–91. [Google Scholar] [CrossRef]
- Zianis, D.; Mencuccini, M. On simplifying allometric analyses of forest biomass. For. Ecol. Manag. 2004, 187, 311–332. [Google Scholar] [CrossRef]
Vines | Allometrics | Leaves | Fruit | Canes | Perennial Branches | Roots |
---|---|---|---|---|---|---|
Cabernet Sauvignon | Model | Y = 0.3489 X0.5591 | Y = 0.3623 X0.5502 | Y = 0.3116 X0.6328 | Y = 0.3297 X0.8481 | Y = 0.4302 X0.9489 |
Correlation coefficient | 0.8544 ** | 0.8439 ** | 0.8609 ** | 0.8910 ** | 0.9162 ** | |
Merlot | Model | Y = 0.0924 X1.2318 | Y = 0.1001 X1.2208 | Y = 0.0873 X1.3182 | Y = 0.1105 X1.5151 | Y = 0.1847 X1.4888 |
Correlation coefficient | 0.9225 ** | 0.8989 ** | 0.8977 ** | 0.9177 ** | 0.9448 ** | |
Chardonnay | Model | Y = 0.0442 X1.5683 | Y = 0.0550 X1.4929 | Y = 0.0515 X1.4353 | Y = 0.0671 X1.6698 | Y = 0.1029 X1.6209 |
Correlation coefficient | 0.9398 ** | 0.8992 ** | 0.8980 ** | 0.9031 ** | 0.9019 ** | |
Italian Riesling | Model | Y = 0.2342 X0.7906 | Y = 0.2432 X0.8090 | Y = 0.2466 X0.7526 | Y = 0.2504 X0.9841 | Y = 0.3585 X0.8659 |
Correlation coefficient | 0.9400 ** | 0.9157 ** | 0.9295 ** | 0.9075 ** | 0.8314 ** |
Vines | Trunk Base Diameter (cm) | Leaves (g/kg) | Fruit (g/kg) | Canes (g/kg) | Perennial Branches (g/kg) | Roots (g/kg) | F Value | p Value |
---|---|---|---|---|---|---|---|---|
Cabernet Sauvignon | 1.0 | 410.45 ± 0.92 e | 475.21 ± 1.43 a | 429.46 ± 0.80 d | 459.34 ± 0.72 b | 451.89 ± 3.82 c | 523.45 | <0.01 |
1.5 | 423.17 ± 3.07 d | 478.50 ± 1.56 a | 432.55 ± 2.28 c | 460.85 ± 1.66 b | 457.55 ± 6.26 b | 127.75 | <0.01 | |
2.0 | 426.87 ± 1.74 e | 481.27 ± 0.70 a | 435.10 ± 1.40 d | 461.78 ± 1.05 b | 459.23 ± 0.91 c | 970.51 | <0.01 | |
2.5 | 430.21 ± 1.52 e | 486.19 ± 0.46 a | 437.78 ± 1.52 d | 468.19 ± 2.63 b | 461.13 ± 1.02 c | 609.86 | <0.01 | |
3.0 | 432.01 ± 3.25 e | 489.06 ± 2.17 a | 440.31 ± 0.89 d | 469.98 ± 1.34 b | 461.13 ± 1.03 c | 394.80 | <0.01 | |
3.5 | 435.13 ± 2.26 e | 496.28 ± 2.88 a | 447.79 ± 2.00 d | 475.32 ± 3.28 b | 461.13 ± 1.04 c | 268.95 | <0.01 | |
Merlot | 1.0 | 399.19 ± 10.91 c | 454.15 ± 20.32 a | 409.56 ± 9.36 bc | 438.61 ± 19.28 a | 430.57 ± 12.33 ab | 6.43 | <0.01 |
1.5 | 403.61 ± 13.03 c | 459.02 ± 21.18 a | 412.71 ± 10.85 bc | 440.93 ± 21.37 ab | 431.84 ± 18.22 abc | 4.82 | <0.05 | |
2.0 | 407.05 ± 11.22 c | 459.43 ± 20.24 a | 414.45 ± 10.34 bc | 442.84 ± 22.22 ab | 434.39 ± 18.15 abc | 4.62 | <0.05 | |
2.5 | 409.41 ± 7.80 c | 462.73 ± 21.78 a | 417.79 ± 9.44 bc | 445.41 ± 20.96 ab | 438.07 ± 21.38 abc | 4.53 | <0.05 | |
3.0 | 410.96 ± 14.06 c | 466.45 ± 20.69 a | 420.81 ± 11.70 bc | 446.67 ± 20.20 ab | 439.56 ± 20.98 abc | 4.44 | <0.05 | |
3.5 | 415.23 ± 1042 c | 470.50 ± 20.82 a | 423.61 ± 17.14 bc | 449.54 ± 18.52 ab | 447.07 ± 18.34 abc | 4.82 | <0.05 | |
Chardonnay | 1.0 | 399.01 ± 10.83 c | 454.32 ± 19.85 a | 408.38 ± 8.28 bc | 439.66 ± 19.29 ab | 431.80 ± 22.84 ab | 5.24 | <0.05 |
1.5 | 403.41 ± 11.02 c | 459.82 ± 24.02 a | 411.88 ± 7.91 bc | 441.62 ± 20.97 ab | 433.61 ± 15.99 abc | 5.34 | <0.05 | |
2.0 | 406.39 ± 12.56 c | 461.70 ± 21.92 a | 415.78 ± 9.57 bc | 443.33 ± 20.18 ab | 436.59 ± 19.22 abc | 4.85 | <0.05 | |
2.5 | 410.60 ± 9.10 c | 463.95 ± 20.05 a | 417.22 ± 9.61 c | 445.24 ± 21.99 ab | 438.03 ± 22.81 ab | 4.42 | <0.05 | |
3.0 | 411.84 ± 13.17 c | 469.15 ± 20.96 a | 420.55 ± 8.21 bc | 446.80 ± 21.35 ab | 440.87 ± 20.54 abc | 4.92 | <0.05 | |
3.5 | 415.11 ± 13.38 c | 471.21 ± 20.41 a | 424.00 ± 7.64 bc | 448.67 ± 17.71 ab | 448.78 ± 17.98 ab | 5.78 | <0.05 | |
Italian Riesling | 1.0 | 395.69 ± 6.06 e | 453.27 ± 4.69 a | 407.45 ± 1.20 d | 437.99 ± 1.80 b | 430.60 ± 3.31 c | 109.33 | <0.01 |
1.5 | 401.74 ± 0.58 e | 458.99 ± 0.41 a | 408.50 ± 2.74 d | 442.48 ± 2.83 b | 434.28 ± 2.77 c | 359.73 | <0.01 | |
2.0 | 407.36 ± 2.35 e | 464.77 ± 3.41 a | 413.83 ± 1.81 d | 444.52 ± 4.58 b | 437.26 ± 4.49 c | 133.15 | <0.01 | |
2.5 | 408.13 ± 2.34 d | 464.52 ± 3.99 a | 420.20 ± 2.77 c | 446.31 ± 6.22 b | 440.76 ± 5.58 b | 74.67 | <0.01 | |
3.0 | 411.84 ± 3.30 e | 469.50 ± 3.04 a | 418.65 ± 3.05 d | 448.11 ± 2.50 b | 441.33 ± 3.91 c | 159.05 | <0.01 | |
3.5 | 413.35 ± 3.28 d | 476.42 ± 4.07 a | 425.29 ± 4.33 c | 452.45 ± 2.95 b | 455.14 ± 4.44 b | 127.68 | <0.01 |
Vineyards | Soil Layer (cm) | Bulk Density (g/cm3) | Carbon Content (g/kg) | Carbon Storage (t·hm−2) | Carbon Storage as a Percentage (%) |
---|---|---|---|---|---|
Cabernet Sauvignon | 0–20 | 1.10 ± 0.04 d | 6.81 ± 0.69 a | 15.03 ± 1.47 a | 34.87 |
20–40 | 1.20 ± 0.05 c | 4.72 ± 0.82 b | 11.35 ± 2.14 b | 26.32 | |
40–60 | 1.27 ± 0.05 b | 3.03 ± 0.51 c | 7.74 ± 1.50 c | 17.96 | |
60–100 | 1.33 ± 0.05 a | 1.68 ± 0.55 d | 8.99 ± 3.20 c | 20.86 | |
Merlot | 0–20 | 1.08 ± 0.04 d | 5.82 ± 0.55 a | 12.56 ± 1.28 a | 30.95 |
20–40 | 1.18 ± 0.03 c | 4.59 ± 0.62 b | 10.83 ± 1.41 b | 26.68 | |
40–60 | 1.24 ± 0.04 b | 3.55 ± 0.50 c | 8.78 ± 1.26 c | 21.63 | |
60–100 | 1.34 ± 0.04 a | 1.56 ± 0.43 d | 8.41 ± 2.47 c | 20.72 | |
Chardonnay | 0–20 | 1.04 ± 0.03 d | 5.70 ± 0.49 a | 11.86 ± 1.13 a | 32.31 |
20–40 | 1.16 ± 0.06 c | 4.39 ± 0.97 b | 10.16 ± 2.27 b | 27.67 | |
40–60 | 1.24 ± 0.06 b | 3.01 ± 0.96 c | 7.47 ± 1.76 c | 20.35 | |
60–100 | 1.32 ± 0.08 a | 1.38 ± 0.38 d | 7.22 ± 1.84 c | 19.67 | |
Italian Riesling | 0–20 | 1.06 ± 0.04 a | 5.83 ± 0.64 a | 12.38 ± 1.36 a | 35.69 |
20–40 | 1.15 ± 0.06 a | 3.62 ± 0.52 b | 8.37 ± 1.42 b | 24.13 | |
40–60 | 1.34 ± 0.23 b | 2.64 ± 0.53 c | 7.20 ± 2.62 b | 20.75 | |
60–100 | 1.34 ± 0.04 b | 1.26 ± 0.29 d | 6.74 ± 1.50 b | 19.43 |
Vineyards | Vines | Soil | Total Carbon Storage (t·hm−2) | ||
---|---|---|---|---|---|
Carbon Storage (t·hm−2) | Percentage (%) | Carbon Storage (t·hm−2) | Percentage (%) | ||
Cabernet Sauvignon | 12.23 | 22.10% | 43.12 | 77.90% | 55.35 |
Merlot | 4.41 | 9.80% | 40.58 | 90.20% | 45.00 |
Chardonnay | 2.77 | 7.02% | 36.71 | 92.98% | 39.49 |
Italian Riesling | 9.89 | 22.19% | 34.69 | 77.81% | 44.59 |
Publisher’s Note: MDPI stays neutral with regard to jurisdictional claims in published maps and institutional affiliations. |
© 2021 by the authors. Licensee MDPI, Basel, Switzerland. This article is an open access article distributed under the terms and conditions of the Creative Commons Attribution (CC BY) license (https://creativecommons.org/licenses/by/4.0/).
Share and Cite
Zhang, L.; Xue, T.; Gao, F.; Wei, R.; Wang, Z.; Li, H.; Wang, H. Carbon Storage Distribution Characteristics of Vineyard Ecosystems in Hongsibu, Ningxia. Plants 2021, 10, 1199. https://doi.org/10.3390/plants10061199
Zhang L, Xue T, Gao F, Wei R, Wang Z, Li H, Wang H. Carbon Storage Distribution Characteristics of Vineyard Ecosystems in Hongsibu, Ningxia. Plants. 2021; 10(6):1199. https://doi.org/10.3390/plants10061199
Chicago/Turabian StyleZhang, Liang, Tingting Xue, Feifei Gao, Ruteng Wei, Zhilei Wang, Hua Li, and Hua Wang. 2021. "Carbon Storage Distribution Characteristics of Vineyard Ecosystems in Hongsibu, Ningxia" Plants 10, no. 6: 1199. https://doi.org/10.3390/plants10061199
APA StyleZhang, L., Xue, T., Gao, F., Wei, R., Wang, Z., Li, H., & Wang, H. (2021). Carbon Storage Distribution Characteristics of Vineyard Ecosystems in Hongsibu, Ningxia. Plants, 10(6), 1199. https://doi.org/10.3390/plants10061199