Ameliorative Effects of Exogenous Proline on Photosynthetic Attributes, Nutrients Uptake, and Oxidative Stresses under Cadmium in Pigeon Pea (Cajanus cajan L.)
Abstract
1. Introduction
2. Results
2.1. Cadmium Accumulation
2.2. Nutrient Uptake
2.3. Chlorophyll Content
2.4. Gas Exchange Attributes
2.5. Growth Parameters
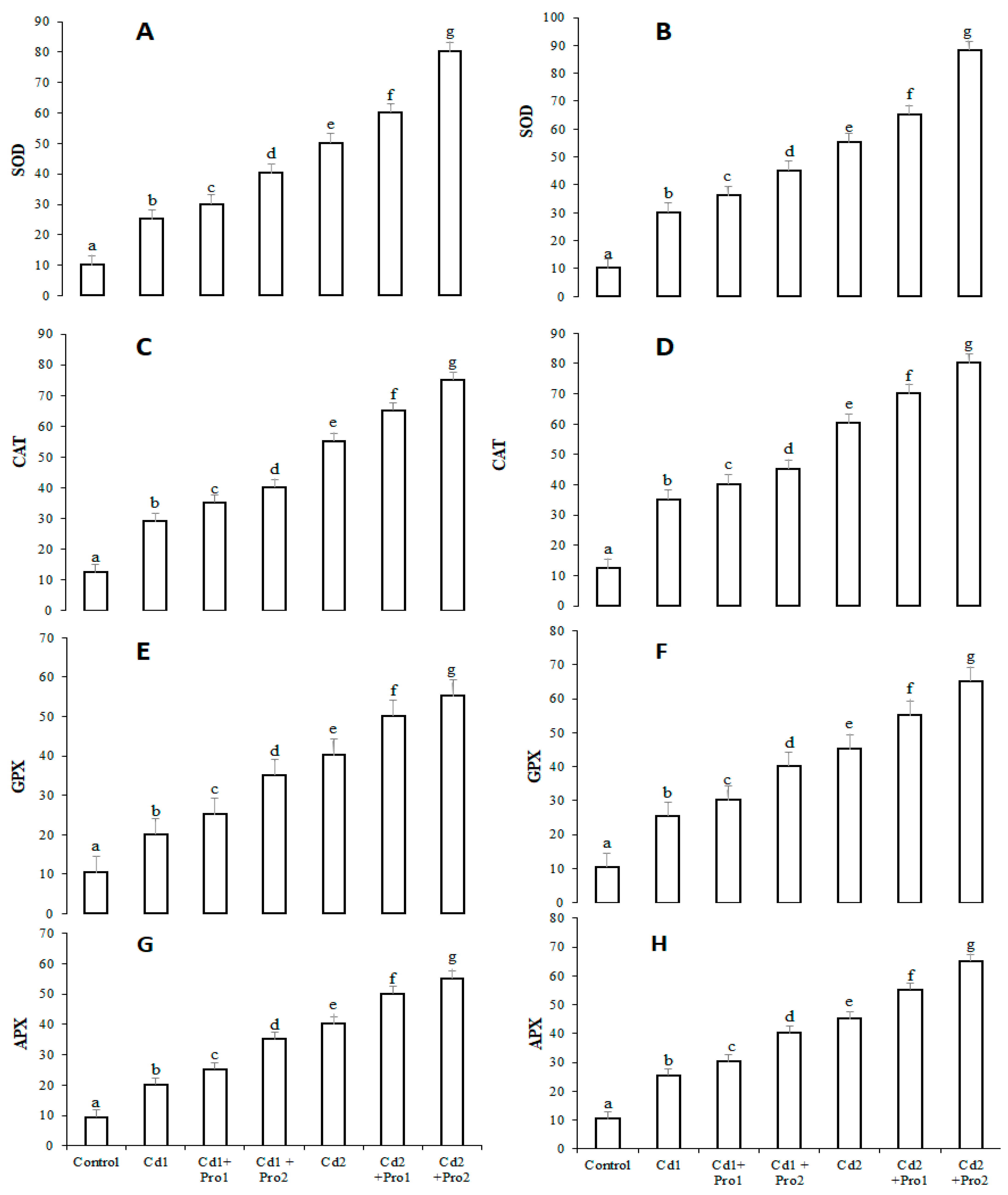
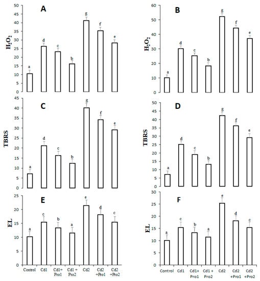
2.6. Oxidative Stress Indicators
2.7. Effect on Endogenous Proline
2.8. Antioxidant Enzyme Activities
3. Discussion
4. Materials and Methods
4.1. Chemicals and Reagents
4.2. Seed Collection, Sterilization, Germination, and Experimental Site
4.3. Soil Collection, Characterization, and Pot Preparation
4.4. Experimental Design, Treatment Procedure, and Seedling Shifting
- Group a: Plant was kept as control (without Cd and exogenous proline treatment) and irrigated with distilled water when required.
- Group b: Plants were irrigated with 200 mL distilled water containing 4 mg CdCl2 (Cd1) once per week.
- Group c: Plants were irrigated with 200 mL distilled water containing 8 mg CdCl2 (Cd 2) once per week.
- Group d: Plants were irrigated with 200 mL distilled water containing 4 mg CdCl2 + 3 mM proline (Cd 1 + Pro 1) once per week.
- Group e: Plants were irrigated with 200 mL distilled water containing 4 mg CdCl2 + 6 mM proline (Cd 1 + Pro 2) once per week.
- Group f: Plants were irrigated with 200 mL distilled water containing 8 mg CdCl2 + 3 mM proline (Cd 2 + Pro 1) once per week.
- Group g: Plants were irrigated with 200 mL distilled water containing 8 mg CdCl2 + 6 mM proline (Cd 2 + Pro 2) once per week.
4.5. Determination of Gaseous Exchange
4.6. Chlorophylls Determination
4.7. Measurement of Oxidative Stress Indicators: Lipid Peroxidation (TBRS), Hydrogen Peroxide (H2O2), and Electrolyte Leakage (EL)
4.7.1. Lipid Peroxidation (TBRS)
4.7.2. Hydrogen Peroxide (H2O2)
4.7.3. Electrolyte Leakage (EL)
4.8. Proline Determination
4.9. Antioxidant Enzymes Extraction
4.10. Enzymes Quantifications
4.11. Measurement of Growth Parameters
4.12. Elemental Analysis
4.13. Statistical Analysis
5. Conclusions
Author Contributions
Funding
Institutional Review Board Statement
Informed Consent Statement
Acknowledgments
Conflicts of Interest
References
- Masindi, V.; Muedi, K.L. Environmental contamination by heavy metals. Heavy Met. 2018, 10, 115–132. [Google Scholar]
- Zwolak, A.; Sarzyńska, M.; Szpyrka, E.; Stawarczyk, K. Sources of soil pollution by heavy metals and their accumulation in vegetables: A review. Water Air Soil Pollut. 2019, 230, 164. [Google Scholar] [CrossRef]
- Jaishankar, M.; Tseten, T.; Anbalagan, N.; Mathew, B.B.; Beeregowda, K.N. Toxicity, mechanism and health effects of some heavy metals. Interdiscip. Toxicol. 2014, 7, 60–72. [Google Scholar] [CrossRef] [PubMed]
- Shahid, M.; Khalid, S.; Abbas, G.; Shahid, N.; Nadeem, M.; Sabir, M.; Aslam, M.; Dumat, C. Heavy Metal Stress and Crop Productivity. Crop. Prod. Global. Environ. Issues 2015, 1–25. [Google Scholar] [CrossRef]
- Ali, S.; Abbas, Z.; Seleiman, M.F.; Rizwan, M.; YavaŞ, İ.; Alhammad, B.A.; Kalderis, D. Glycine Betaine Accumulation, Significance and Interests for Heavy Metal Tolerance in Plants. Plants 2020, 9, 896. [Google Scholar] [CrossRef]
- Genchi, G.; Sinicropi, M.S.; Lauria, G.; Carocci, A.; Catalano, A. The Effects of Cadmium Toxicity. Int. J. Environ. Res. Public Health 2020, 17, 3782. [Google Scholar] [CrossRef] [PubMed]
- Mikhailenko, A.V.; Ruban, D.A.; Ermolaev, V.A.; van Loon, A.J. Cadmium Pollution in the Tourism Environment: A Literature Review. Geosciences 2020, 10, 242. [Google Scholar] [CrossRef]
- Sydow, M.; Chrzanowski, Ł.; Leclerc, A.; Laurent, A.; Owsianiak, M. Terrestrial ecotoxic impacts stemming from emissions of Cd, Cu, Ni, Pb and Zn from Manure: A spatially differentiated assessment in Europe. Sustainability 2018, 10, 4094. [Google Scholar] [CrossRef]
- Wang, P.; Chen, H.; Kopittke, P.M.; Zhao, F.J. Cadmium contamination in agricultural soils of China and the impact on food safety. Environ. Pollut. 2019, 149, 1038–1048. [Google Scholar] [CrossRef]
- Jung, M.C. Heavy metal concentrations in soils and factors affecting metal uptake by plants in the vicinity of a Korean Cu-W mine. Sensors 2008, 8, 2413–2423. [Google Scholar] [CrossRef]
- Pająk, M.; Gąsiorek, M.; Jasik, M.; Halecki, W.; Otremba, K.; Pietrzykowski, M. Risk Assessment of Potential Food Chain Threats from Edible Wild Mushrooms Collected in Forest Ecosystems with Heavy Metal Pollution in Upper Silesia, Poland. Forests 2020, 11, 1240. [Google Scholar] [CrossRef]
- Mezynska, M.; Brzoska, M.M. Environmental exposure to cadmium—A risk for health of the general population in industrialized countries and preventive strategies. Environ. Sci. Pollut. Res. 2018, 25, 3211–3232. [Google Scholar] [CrossRef]
- Liu, Y.; Li, Y.; Xia, Y.; Liu, K.; Ren, L.; Ji, Y. The Dysbiosis of Gut Microbiota Caused by Low-Dose Cadmium Aggravate the Injury of Mice Liver through Increasing Intestinal Permeability. Microorganisms 2020, 8, 211. [Google Scholar] [CrossRef]
- Zafar-ul-Hye, M.; Naeem, M.; Danish, S.; Khan, M.J.; Fahad, S.; Datta, R.; El-Esawi, M.A. Effect of cadmium-tolerant rhizobacteria on growth attributes and chlorophyll contents of bitter gourd under cadmium toxicity. Plants 2020, 9, 1386. [Google Scholar] [CrossRef]
- Hassan, M.J.; Raza, M.A.; Rehman, S.U.; Ansar, M.; Gitari, H.; Khan, I.; Wajid, M.; Ahmed, M.; Shah, G.A.; Peng, Y.; et al. Effect of Cadmium Toxicity on Growth, Oxidative Damage, Antioxidant Defense System and Cadmium Accumulation in Two Sorghum Cultivars. Plants 2020, 9, 1575. [Google Scholar] [CrossRef] [PubMed]
- Guo, B.; Liu, C.; Liang, Y.; Li, N.; Fu, Q. Salicylic acid signals plant defence against cadmium toxicity. Int. J. Mol. Sci. 2019, 20, 2960. [Google Scholar] [CrossRef] [PubMed]
- Zafar-ul-Hye, M.; Naeem, M.; Danish, S.; Fahad, S.; Datta, R.; Abbas, M.; Nasir, M. Alleviation of Cadmium Adverse Effects by Improving Nutrients Uptake in Bitter Gourd through Cadmium Tolerant Rhizobacteria. Environments 2020, 7, 54. [Google Scholar] [CrossRef]
- Mwamba, T.M.; Ali, S.; Ali, B.; Lwalaba, J.L.; Liu, H.; Farooq, M.A.; Zhou, W. Interactive effects of cadmium and copper on metal accumulation, oxidative stress, and mineral composition in Brassica napus. Int. J. Environ. Sci. 2016, 13, 2163–2174. [Google Scholar] [CrossRef]
- Przedpełska-Wąsowicz, E.; Polatajko, A.; Wierzbicka, M. The influence of cadmium stress on the content of mineral nutrients and metal-binding proteins in Arabidopsis halleri. Water Air Soil Pollut. 2012, 223, 5445–5458. [Google Scholar] [CrossRef]
- Zhang, J.; Wang, P.; Xiao, Q. Cadmium (Cd) chloride affects the nutrient uptake and Cd-resistant bacterium reduces the adsorption of Cd in muskmelon plants. Open Chem. 2020, 18, 711–719. [Google Scholar] [CrossRef]
- Pietrini, F.; Iannelli, M.A.; Pasqualini, S.; Massacci, A. Interaction of cadmium with glutathione and photosynthesis in developing leaves and chloroplasts of Phragmites australis (Cav.) Trin. ex Steudel. Plant. Physiol. 2003, 133, 829–837. [Google Scholar] [CrossRef] [PubMed]
- Hakmaoui, A.; Ater, M.; Boka, K.; Baron, M. Copper and cadmium tolerance, uptake and effect on chloroplast ultrastructure. Studies on Salix purpurea and Phragmites australis. Z. Für Nat. C 2007, 62, 417–426. [Google Scholar] [CrossRef] [PubMed]
- Pietrini, F.; Iannelli, R.M.; Bianconi, D.; Massacci, A. Cadmiumi interaction with thiols and photo-synthesis in higher plants. Adv. Plant Physiol. 2006, 8, 313–326. [Google Scholar]
- Aprile, A.; Sabella, E.; Francia, E.; Milc, J.; Ronga, D.; Pecchioni, N.; De Bellis, L. Combined effect of cadmium and lead on durum wheat. Int. J. Mol. Sci. 2019, 20, 5891. [Google Scholar] [CrossRef]
- Vögeli-Lange, R.; Wagner, G.J. Relationship between cadmium, glutathione and cadmium-binding peptides (phytochelatins) in leaves of intact tobacco seedlings. Plant. Sci. 1996, 114, 11–18. [Google Scholar] [CrossRef]
- Pandey, N.; Pathak, G.C.; Pandey, D.K.; Pandey, R. Heavy metals, Co, Ni, Cu, Zn and Cd, produce oxidative damage and evoke differential antioxidant responses in spinach. Braz. J. Plant Physiol. 2009, 21, 103–111. [Google Scholar] [CrossRef]
- Huybrechts, M.; Cuypers, A.; Deckers, J.; Iven, V.; Vandionant, S.; Jozefczak, M.; Hendrix, S. Cadmium and plant development: An agony from seed to seed. Int. J. Mol. Sci. 2019, 20, 3971. [Google Scholar] [CrossRef] [PubMed]
- Loix, C.; Huybrechts, M.; Vangronsveld, J.; Gielen, M.; Keunen, E.; Cuypers, A. Reciprocal interactions between cadmium-induced cell wall responses and oxidative stress in plants. Front. Plant Sci. 2017, 8, 1867. [Google Scholar] [CrossRef]
- Ali, S.; Hayat, K.; Iqbal, A.; Xie, L. Implications of Abscisic Acid in the Drought Stress Tolerance of Plants. Agronomy 2020, 10, 1323. [Google Scholar] [CrossRef]
- Tanee, T.; Sudmoon, R.; Thamsenanupap, P.; Chaveerach, A. Effect of cadmium on DNA changes in Ipomoea aquatica Forssk. Pol. J. Environ. Stud. 2016, 25, 311. [Google Scholar] [CrossRef]
- Panda, P.; Nath, S.; Chanu, T.T.; Sharma, G.D.; Panda, S.K. Cadmium stress-induced oxidative stress and role of nitric oxide in rice (Oryza sativa L.). Acta Physiol. Plant. 2011, 33, 1737–1747. [Google Scholar] [CrossRef]
- Ali, S.; Baloch, A.M. Overview of Sustainable Plant Growth and Differentiation and the Role of Hormones in Controlling Growth and Development of Plants under Various Stresses. Recent Pat. Food Nutr. Agric. 2020, 11, 105–114. [Google Scholar] [CrossRef]
- Shahid, M.A.; Sarkhosh, A.; Khan, N.; Balal, R.M.; Ali, S.; Rossi, L.; Gómez, C.; Mattson, N.; Nasim, W.; Garcia-Sanchez, F. Insights into the Physiological and Biochemical Impacts of Salt Stress on Plant Growth and Development. Agronomy 2020, 10, 938. [Google Scholar] [CrossRef]
- Sharma, P.; Jha, A.B.; Dubey, R.S.; Pessarakli, M. Reactive Oxygen Species, Oxidative Damage, and Antioxidative Defense Mechanism in Plants under Stressful Conditions. J. Bot. 2012, 2012, 217037. [Google Scholar] [CrossRef]
- Demidchik, V. Mechanisms of oxidative stress in plants: From classical chemistry to cell biology. Environ. Exp. Bot. 2015, 109, 212–228. [Google Scholar] [CrossRef]
- Arora, A.; Sairam, R.K.; Srivastava, G.C. Oxidative stress and antioxidative system in plants. Curr. Sci. 2002, 82, 1227–1238. [Google Scholar]
- Foyer, C.H.; Noctor, G. Oxidant and antioxidant signalling in plants: A re-evaluation of the concept of oxidative stress in a physiological context. Plant Cell Environ. 2005, 28, 1056–1071. [Google Scholar] [CrossRef]
- Dar, M.I.; Naikoo, M.I.; Rehman, F.; Naushin, F.; Khan, F.A. Proline Accumulation in Plants: Roles in Stress Tolerance and Plant Development. In Osmolytes and Plants Acclimation to Changing Environment: Emerging Omics Technologies; Iqbal, N., Nazar, R.A., Khan, N., Eds.; Springer: New Delhi, India, 2016; pp. 155–166. [Google Scholar]
- Verbruggen, N.; Hermans, C. Proline accumulation in plants: A review. Amino Acids 2008, 35, 753–759. [Google Scholar] [CrossRef]
- Liang, X.; Zhang, L.; Natarajan, S.K.; Becker, D.F. Proline Mechanisms of Stress Survival. Antioxid. Redox Signal. 2013, 19, 998–1011. [Google Scholar] [CrossRef]
- Hayat, S.; Hayat, Q.; Alyemeni, M.N.; Wani, A.S.; Pichtel, J.; Ahmad, A. Role of proline under changing environments: A review. Plant Signal. Behav. 2012, 7, 1456–1466. [Google Scholar] [CrossRef]
- Abdelaal, K.A.; Attia, K.A.; Alamery, S.F.; El-Afry, M.M.; Ghazy, A.I.; Tantawy, D.S.; Hafez, Y.M. Exogenous application of proline and salicylic acid can mitigate the injurious impacts of drought stress on barley plants associated with physiological and histological characters. Sustainability 2020, 12, 1736. [Google Scholar] [CrossRef]
- Hasanuzzaman, M.; Alam, M.; Rahman, A.; Hasanuzzaman, M.; Nahar, K.; Fujita, M. Exogenous proline and glycine betaine mediated upregulation of antioxidant defense and glyoxalase systems provides better protection against salt-induced oxidative stress in two rice (Oryza sativa L.) varieties. BioMed. Res. Int. 2014. [Google Scholar] [CrossRef] [PubMed]
- El-Beltagi, H.S.; Mohamed, H.I.; Sofy, M.R. Role of ascorbic acid, glutathione and proline applied as singly or in sequence combination in improving chickpea plant through physiological change and antioxidant defense under different levels of irrigation intervals. Molecules 2020, 25, 1702. [Google Scholar] [CrossRef] [PubMed]
- Arteaga, S.; Yabor, L.; Díez, M.J.; Prohens, J.; Boscaiu, M.; Vicente, O. The use of proline in screening for tolerance to drought and salinity in common bean (Phaseolus vulgaris L.) genotypes. Agronomy 2020, 10, 817. [Google Scholar] [CrossRef]
- El-Amier, Y.; Elhindi, K.; El-Hendawy, S.; Al-Rashed, S.; Abd-ElGawad, A. Antioxidant system and biomolecules alteration in Pisum sativum under heavy metal stress and possible alleviation by 5-aminolevulinic acid. Molecules 2019, 24, 4194. [Google Scholar] [CrossRef]
- Shahid, M.A.; Balal, R.M.; Pervez, M.A.; Abbas, T.; Aqeel, M.A.; Javaid, M.M.; Garcia-Sanchez, F. Exogenous proline and proline-enriched Lolium perenne leaf extract protects against phytotoxic effects of nickel and salinity in Pisum sativum by altering polyamine metabolism in leaves. Turk J. Bot. 2014, 38, 914–926. [Google Scholar] [CrossRef]
- Zouari, M.; Ahmed, C.B.; Elloumi, N.; Bellassoued, K.; Delmail, D.; Labrousse, P.; Rouina, B.B. Impact of proline application on cadmium accumulation, mineral nutrition and enzymatic antioxidant defense system of Olea europaea L. cv Chemlali exposed to cadmium stress. Ecotoxicol. Environ. Saf. 2016, 128, 195–205. [Google Scholar] [CrossRef]
- Zavinon, F.; Sagbadja, H.A. Pigeon pea [Cajanus cajan (L.) Millsp] cultivation, its major constraints and ethnobotanical status in Southern Benin. J. Agric. 2019, 7, 95–105. [Google Scholar] [CrossRef]
- Jha, S.S.; Ohri, D. Phylogenetic relationships of Cajanus cajan (L.) Millsp (pigeonpea) and its wild relatives based on seed protein profiles, Genet. Resour. Crop. Evol. 1966, 43, 275–281. [Google Scholar] [CrossRef]
- Saxena, K.B.; Kumar, R.V.; Sultana, R. Quality nutrition through pigeonpea—A review. Health 2010, 2, 1335–1344. [Google Scholar] [CrossRef]
- Swapna, B. Impact of cadmium on germination and early seedling growth of Cajanus cajan L. Int. J. Curr. 2016, 8, 27. [Google Scholar]
- Ullah, S.; Khan, J.; Hayat, K.; Abdelfattah Elateeq, A.; Salam, U.; Yu, B.; Tang, Z.H. Comparative study of growth, cadmium accumulation and tolerance of three chickpea (Cicer arietinum L.) cultivars. Plants 2020, 9, 310. [Google Scholar] [CrossRef]
- Zhang, X.; Gao, B.; Xia, H. Effect of cadmium on growth, photosynthesis, mineral nutrition and metal accumulation of bana grass and vetiver grass. Ecotoxicol. Environ. Saf. 2014, 106, 102–108. [Google Scholar] [CrossRef]
- Parmar, P.; Kumari, N.; Sharma, V. Structural and functional alterations in photosynthetic apparatus of plants under cadmium stress. Bot. Stud. 2013, 54, 45. [Google Scholar] [CrossRef] [PubMed]
- Song, X.; Yue, X.; Chen, W.; Jiang, H.; Han, Y.; Li, X. Detection of cadmium risk to the photosynthetic performance of Hybrid Pennisetum. Front. Plant Sci. 2019, 10, 798. [Google Scholar] [CrossRef]
- Jamers, A.N.; Lenjou, M.; Deraedt, P.; Bockstaele, D.V.; Blust, R.; Coen, W.D. Flow cytometric analysis of the cadmium-exposed green alga Chlamydomonas reinhardtii (Chlorophyceae). Eur. J. Phycol. 2009, 44, 541–550. [Google Scholar] [CrossRef]
- Willows, R.D. The Mg branch of chlorophyll synthesis: Biosynthesis of chlorophyll a from protoporphyrin IX. In Advances in Botanical Research; Elsevier BV: Amsterdam, The Netherlands, 2019; Volume 90, pp. 141–182. [Google Scholar]
- Khudsar, T.; Iqbal, M. Cadmium-induced changes in leaf epidermes, photosynthetic rate and pigment concentrations in Cajanus cajan. Biol. Plant. 2001, 44, 59–64. [Google Scholar] [CrossRef]
- Fodor, E.; Szabó-Nagy, A.; Erdei, L. The effects of cadmium on the fluidity and H+-ATPase activity of plasma membrane from sunflower and wheat roots. J. Plant Physiol. 1995, 147, 87–92. [Google Scholar] [CrossRef]
- Ali, S.; Mehmood, A.; Khan, N. Uptake, Translocation, and Consequences of Nanomaterials on Plant Growth and Stress Adaptation. J. Nanomater. 2021, 2021, 6677616. [Google Scholar] [CrossRef]
- Farago, M.E. Metal tolerant plants. Coord. Chem. Rev. 1981, 36, 155–182. [Google Scholar] [CrossRef]
- Hawrylak-Nowak, B.; Dresler, S.; Matraszek, R. Exogenous malic and acetic acids reduce cadmium phytotoxicity and enhance cadmium accumulation in roots of sunflower plants. Plant Physiol. Biochem. 2015, 94, 225–234. [Google Scholar] [CrossRef] [PubMed]
- Alves, L.R.; Monteiro, C.C.; Carvalho, R.F.; Ribeiro, P.C.; Tezotto, T.; Azevedo, R.A.; Gratão, P.L. Cadmium stress related to root-to-shoot communication depends on ethylene and auxin in tomato plants. Environ. Exp. Bot. 2017, 134, 102–115. [Google Scholar] [CrossRef]
- Mittler, R. Oxidative stress antioxidants and stress tolerance. Trends Plant Sci. 2002, 7, 405–410. [Google Scholar] [CrossRef]
- Siripornadulsil, S.; Traina, S.; Verma, D.P.S.; Sayre, R.T. Molecular mechanisms of proline-mediated tolerance to toxic heavy metals in transgenic microalgae. Plant Cell 2002, 14, 2837–2847. [Google Scholar] [CrossRef] [PubMed]
- Tripathi, B.N.; Gaur, J.P. Relationship between copper-and zinc-induced oxidative stress and proline accumulation in Scenedesmus sp. Planta 2004, 219, 397–404. [Google Scholar] [CrossRef]
- Singh, G.; Agnihotri, R.K.; Reshma, R.S.; Ahmad, M. Effect of lead and nickel toxicity on chlorophyll and proline content of Urd (Vigna mungo L.) seedlings. Int. J. Plant Physiol. Biochem. 2012, 4, 136–141. [Google Scholar]
- Alscher, R.G.; Erturk, N.; Heath, L. Role of superoxide dismutases (SODs) in controlling oxidative stress in plants. J. Exp. Bot. 2002, 53, 1331–1341. [Google Scholar] [CrossRef]
- Nakano, Y.; Asada, K. Hydrogen peroxide is scavenged by ascorbate-specific peroxidase in spinach chloroplasts. Plant Cell Physiol. 1981, 22, 867–880. [Google Scholar]
- Hayat, K.; Ali, S.; Ullah, S.; Fu, Y.; Hussain, M. Green synthesized silver and copper nanoparticles induced changes in biomass parameters, secondary metabolites production, and antioxidant activity in callus cultures of Artemisia absinthium L. Green Process. Synth. 2021, 10, 61–72. [Google Scholar] [CrossRef]
- Patel, K.P.; Kalpesh, M.P. Cadmium-Induced Changes in Antioxidative Enzyme Activities and Content of Leaf Pigments in Cajanus cajan (L.). Nat. Environ. Pollut. Technol. 2012, 11, 47–50. [Google Scholar]
- Sharma, S.S.; Schat, H.; Vooijs, R. In vitro alleviation of heavy metal-induced enzyme inhibition by proline. Photochemistry 1988, 49, 1531–1535. [Google Scholar] [CrossRef]
- Islam, M.M.; Hoque, M.A.; Okuma, E.; Banu, M.N.A.; Shimoishi, Y.; Nakamura, Y.; Murata, Y. Exogenous proline and glycinebetaine increase antioxidant enzyme activities and confer tolerance to cadmium stress in cultured tobacco cells. J. Plant Physiol. 2009, 166, 1587–1597. [Google Scholar] [CrossRef]
- Chen, C.T.; Chen, T.H.; Lo, K.F.; Chiu, C.Y. Effects of proline on copper transport in rice seedlings under excess copper stress. Plant Sci. 2004, 166, 103–111. [Google Scholar] [CrossRef]
- Hamilton, E.W.; Heckathorn, S.A. Mitochondrial adaptations to NaCl. Complex I is protected by anti-oxidants and small heat shock proteins, whereas complex II is protected by proline and betaine. Plant Physiol. 2001, 126, 1266–1274. [Google Scholar] [CrossRef] [PubMed]
- Kaushal, N.; Gupta, K.; Bhandhari, K.; Kumar, S.; Thakur, P.; Nayyar, H. Proline induces heat tolerance in chickpea (Cicer arietinum L.) plants by protecting vital enzymes of carbon and antioxidative metabolism. Physiol. Mol. Biol. Plants 2011, 17, 203–213. [Google Scholar] [CrossRef]
- Ashraf, M.F.M.R.; Majid, R.F. Roles of glycine betaine and proline in improving plant abiotic stress resistance. Environ. Exp. Bot. 2007, 59, 206–216. [Google Scholar] [CrossRef]
- Silva, R.; Filgueiras, L.; Santos, B.; Coelho, M.; Silva, M.; Estrada-Bonilla, G.; Vidal, M.; Baldani, J.I.; Meneses, C. Gluconacetobacter diazotrophicus Changes The Molecular Mechanisms of Root Development in Oryza sativa L. Growing Under Water Stress. Int. J. Mol. Sci. 2020, 21, 333. [Google Scholar] [CrossRef]
- Hunter, A.J.R.; Wainner, R.T.; Piper, L.G.; Davis, S.J. Rapid field screening of soils for heavy metals with spark-induced breakdown spectroscopy. Appl. Opt. 2003, 42, 2102–2109. [Google Scholar] [CrossRef]
- Lichtenthaler, H.K. In Vivo Chlorophyll Fluorescence as a Tool for Stress Detection in Plants. In Applications of Chlorophyll Fluorescence in Photosynthesis Research, Stress Physiology, Hydrobiology and Remote Sensing; J.B. Metzler: Stuttgart, Germany, 1988; pp. 129–142. [Google Scholar]
- Delmail, D.; Labrousse, P.; Hourdin, P.; Larcher, L.; Moesch, C.; Botineau, M. Physiological, anatomical and phenotypical effects of a cadmium stress in different-aged chlorophyllian organs of Myriophyllum alterniflorum DC (Haloragaceae). Environ. Exp. Bot. 2011, 72, 174–181. [Google Scholar] [CrossRef]
- Junglee, S.; Urban, L.; Sallanon, H.; Lopez-Lauri, F. Optimized Assay for Hydrogen Peroxide Determination in Plant Tissue Using Potassium Iodide. Am. J. Anal. Chem. 2014, 5, 730–736. [Google Scholar] [CrossRef]
- Khan, N.; Ali, S.; Tariq, H.; Latif, S.; Yasmin, H.; Mehmood, A.; Shahid, M.A. Water Conservation and Plant Survival Strategies of Rhizobacteria under Drought Stress. Agronomy 2020, 10, 1683. [Google Scholar] [CrossRef]
- Bates, L.S.; Waldren, R.P.; Teare, I.D. Rapid determination of free proline for water-stress studies. Plant Soil 1973, 39, 205–207. [Google Scholar] [CrossRef]
- Giannopolitis, C.N.; Ries, S.K. Superoxide dismutases: I. Occurrence in higher plants. Plant Physiol. 1977, 59, 309–314. [Google Scholar] [CrossRef] [PubMed]
- Aebi, H. Catalase in vitro. In Methods in Enzymology; Elsevier: Amsterdam, The Netherlands, 1984; pp. 121–126. [Google Scholar]
- Hossain, M.A.; Hasanuzzaman, M.; Fujita, M. Up-regulation of antioxidant and glyoxalase systems by exogenous glycinebetaine and proline in mung bean confer tolerance to cadmium stress. Physiol. Mol. Biol. Plants 2010, 16, 259–272. [Google Scholar] [CrossRef] [PubMed]
- Mizuno, M.; Kamei, M.; Tsuchida, H. Ascorbate peroxidase and catalase cooperate for protection against hydrogen peroxide generated in potato tubers during low-temperature storage. IUBMB Life 1998, 44, 717–726. [Google Scholar] [CrossRef]
- Eissa, E.A.; Rofail, N.B.; Hassan, A.M.; Abd El-Haleem, A.S.; El-Abbady, W.H. Elemental analysis of soil and plant samples at El-Manzala lake neutron activation analysis technique. In Proceedings of the Conference on Nuclear Sciences and Applications, Cairo, Egypt, 15–20 March 1996. [Google Scholar]



| Treatment | Leaves | Roots | ||||||
|---|---|---|---|---|---|---|---|---|
| Cd2+ | K+ | Ca2+ | Mg2+ | Cd2+ | K+ | Ca2+ | Mg2+ | |
| Control | 0.09 ± 0.15 a | 16.59 ± 0.93 c | 11.14 ± 1.03 c | 4.41 ± 1.11 d | 0.26 ± 0.07 a | 18.15 ± 0.15 c | 9.01 ± 1.07 g | 3.22 ± 0.11 a |
| Cd 1 | 76.24 ± 1.11 e | 16.59 ± 0.95 c | 8.04 ± 0.90 b | 5.04 ± 0.14 e | 155.21 ± 1.97 d | 18.19 ± 0.11 d | 6.82 ± 0.8 c | 3.32 ± 0.09 f |
| Cd 1 + Pro 1 | 51.47 ± 0.17 c | 17.03 ± 1.06 e | 8.96 ± 1.04 d | 5.51 ± 0.161 f | 108.6 ± 2.12 c | 18.27 ± 0.18 f | 7.47 ± 0.21 d | 3.46 ± 0.09 d |
| Cd 1 + Pro 2 | 27.55 ± 0.83 b | 17.17 ± 0.99 f | 10.36 ± 0.93 e | 5.74 ± 0.73 f | 56.06 ± 0.15 b | 18.34 ± 0.15 e | 8.65 ± 0.8 f | 3.85 ± 1.01 e |
| Cd 2 | 161.26 ± 1.70 g | 13.28 ± 1.08 a | 6.84 ± 1.07 a | 2.45 ± 0.14 a | 329.3 ± 3.85 f | 15.15 ± 0.26 a | 5.36 ± 0.650 a | 2.07 ± 0.11 g |
| Cd 2 + Pro 1 | 103.47 ± 1.12 f | 14.65 ± 0.93 b | 7.97 ± 0.24 f | 3.17 ± 1.15 b | 267.14 ± 2.04 e | 16.31 ± 0.1 b | 6.78 ± 0.106 b | 2.52 ± 0.07 b |
| Cd 2 + Pro 2 | 52.39 ± 0.99 d | 15.96 ± 1.04 d | 9.64 ± 1.03 g | 3.95 ± 2.18 c | 141.84 ± 1.53 g | 18.10 ± 0.72 c | 8.43 ± 0.85 e | 3.11 ± 0.81 c |
| Treatment | Net Photosynthesis | Stomatal Conductance | Transpiration Rate | Chlorophyll a | Chlorophyll b |
|---|---|---|---|---|---|
| Control | 21.41 ± 0.11 g | 150.21 ± 0.14 d | 7.65 ± 0.09 g | 2.49 ± 0.06 a | 1.10 ± 0.09 b |
| Cd1 | 16.72 ± 1.04 d | 121.15 ± 1.01 b | 5.26 ± 0.16 c | 1.78 ± 0.09 f | 0.87 ± 0.08 a |
| Cd1 + Pro1 | 18.91 ± 0.09 e | 128.31 ± 0.09 c | 5.94 ± 1.10 d | 1.90 ± 1.03 d | 0.98 ± 0.11 a |
| Cd1 + Pro2 | 20.65 ± 2.10 f | 137.09 ± 0. 21 g | 6.32 ± 0.18 f | 2.18 ± 0.17 e | 1.03 ± 0.99 c |
| Cd2 | 13.76 ± 0.18 a | 105.24 ± 1.42 a | 3.92 ± 0.06 a | 1.10 ± 0.12 b | 0.50 ± 1.01 f |
| Cd2 + Pro1 | 15.95 ± 0.09 b | 113.45 ± 0.09 f | 4.70 ± 0.09 b | 1.49 ± 0.09 c | 0.72 ± 1.07 g |
| Cd2 + Pro2 | 18.90 ± 0.15 e | 121.16 ± 1.32 b | 5.95 ± 1.11 d | 1.91 ± 1.11 d | 0.97 ± 0.09 d |
| Treatment | Plant Height | Leaf Perimeter | Leaves Dry Mass | Roots Dry Mass |
|---|---|---|---|---|
| Control | 61.35 ± 0.07 g | 155.29 ± 0.06 f | 7.41 ± 0.09 f | 9.80 ± 0.09 a |
| Cd 1 | 55.05 ± 1.95 d | 125.46 ± 0.15 b | 5.02 ± 0.18 c | 7.65 ± 1.21 b |
| Cd 1 + Pro 1 | 57.86 ± 0.14 e | 136.28 ± 2.17 d | 5.88 ± 0.09 d | 8.05 ± 0.07 d |
| Cd 1 + Pro 2 | 59.70 ± 2.15 f | 147.25 ± 1.12 e | 6.47 ± 1.18 e | 8.96 ± 0.13 c |
| Cd 2 | 54.95 ± 0.17 d | 119.19 ± 0.19 a | 4.32 ± 2.01 a | 6.27 ± 0.10 d |
| Cd 2 + Pro 1 | 56.41 ± 1.66 b | 127.32 ± 0.24 c | 4.99 ± 0.19 b | 6.89 ± 0.10 b |
| Cd 2 + Pro 2 | 58.86 ± 0.21 c | 139.45 ± 0.13 g | 5.88 ± 1.16 d | 7.66 ± 1.92 b |
Publisher’s Note: MDPI stays neutral with regard to jurisdictional claims in published maps and institutional affiliations. |
© 2021 by the authors. Licensee MDPI, Basel, Switzerland. This article is an open access article distributed under the terms and conditions of the Creative Commons Attribution (CC BY) license (https://creativecommons.org/licenses/by/4.0/).
Share and Cite
Hayat, K.; Khan, J.; Khan, A.; Ullah, S.; Ali, S.; Salahuddin; Fu, Y. Ameliorative Effects of Exogenous Proline on Photosynthetic Attributes, Nutrients Uptake, and Oxidative Stresses under Cadmium in Pigeon Pea (Cajanus cajan L.). Plants 2021, 10, 796. https://doi.org/10.3390/plants10040796
Hayat K, Khan J, Khan A, Ullah S, Ali S, Salahuddin, Fu Y. Ameliorative Effects of Exogenous Proline on Photosynthetic Attributes, Nutrients Uptake, and Oxidative Stresses under Cadmium in Pigeon Pea (Cajanus cajan L.). Plants. 2021; 10(4):796. https://doi.org/10.3390/plants10040796
Chicago/Turabian StyleHayat, Khizar, Jafar Khan, Asif Khan, Shakir Ullah, Shahid Ali, Salahuddin, and Yujie Fu. 2021. "Ameliorative Effects of Exogenous Proline on Photosynthetic Attributes, Nutrients Uptake, and Oxidative Stresses under Cadmium in Pigeon Pea (Cajanus cajan L.)" Plants 10, no. 4: 796. https://doi.org/10.3390/plants10040796
APA StyleHayat, K., Khan, J., Khan, A., Ullah, S., Ali, S., Salahuddin, & Fu, Y. (2021). Ameliorative Effects of Exogenous Proline on Photosynthetic Attributes, Nutrients Uptake, and Oxidative Stresses under Cadmium in Pigeon Pea (Cajanus cajan L.). Plants, 10(4), 796. https://doi.org/10.3390/plants10040796

