Mapping of Genetic Locus for Leaf Trichome Formation in Chinese Cabbage Based on Bulked Segregant Analysis
Abstract
1. Introduction
2. Results
2.1. Morphology and Genetic Analysis of Hairy and Hairless Chinese Cabbage Plant
2.2. Construction and Sequencing of the Trichome Leaves (AL) Bulk and Glabrous Leaves (GL) Bulk Samples and Parental Lines
2.3. Selection of Candidate Regions
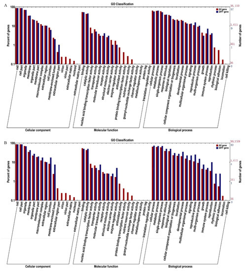
2.4. Gene Ontology (GO) Classification Analysis of Candidate Genes
2.5. Candidate Genes for Hairiness
3. Discussion
4. Materials and Methods
4.1. Plant Materials and Phenotyping for Trichomes
4.2. BSA-Seq and Sequence Alignment
4.3. Mapping of Candidate Genomic Regions by Association Analysis
4.4. Gene Annotation in Candidate Regions
4.5. RNA Isolation and qRT-PCR Analysis
4.6. Statistical Analyses
5. Conclusions
Supplementary Materials
Author Contributions
Funding
Institutional Review Board Statement
Informed Consent Statement
Data Availability Statement
Conflicts of Interest
References
- Song, X.; Ge, T.; Li, Y.; Hou, X. Genome-wide identification of SSR and SNP markers from the non-heading Chinese cabbage for comparative genomic analyses. Bmc Genom. 2015, 16, 328. [Google Scholar] [CrossRef] [PubMed]
- Traw, M.B.; Bergelson, J. Interactive effects of jasmonic acid, salicylic acid, and gibberellin on induction of trichomes in Arabidopsis. Plant Physiol. 2003, 133, 1367–1375. [Google Scholar] [CrossRef] [PubMed]
- Yang, S.; Cai, Y.; Liu, X.; Dong, M.; Zhang, Y.; Chen, S.; Zhang, W.; Li, Y.; Tang, M.; Zhai, X. A CsMYB6-CsTRY module regulates fruit trichome initiation in cucumber. J. Exp. Bot. 2018, 69, 1887–1902. [Google Scholar] [CrossRef] [PubMed]
- Xuan, L.; Yan, T.; Lu, L.; Zhao, X.; Wu, D.; Hua, S.; Jiang, L. Genome-wide association study reveals new genes involved in leaf trichome formation in polyploid oilseed rape (Brassica napus L.). Plant Cell Environ. 2020, 43, 675–691. [Google Scholar] [CrossRef] [PubMed]
- Hung, F.; Chen, J.; Feng, Y.; Lai, Y.; Yang, S.; Wu, K. Arabidopsis JMJ29 is involved in trichome development by regulating the core trichome initiation gene GLABRA3. Plant J. 2020, 103, 1735–1743. [Google Scholar] [CrossRef]
- Sun, W.; Gao, D.; Xiong, Y.; Tang, X.; Xiao, X.; Wang, C.; Yu, S. Hairy Leaf 6, an AP2/ERF Transcription Factor, Interacts with OsWOX3B and Regulates Trichome Formation in Rice. Mol. Plant 2017, 10, 1417–1433. [Google Scholar] [CrossRef]
- Ma, D.; Wenhua, L.; Yang, C.; Liu, B.; Fang, L.; Wan, Q.; Bingliang, L.; Mei, G.; Wang, L.; Wang, H.; et al. Genetic basis for glandular trichome formation in cotton. Nat. Commun. 2016, 7, 10456. [Google Scholar] [CrossRef]
- Xue, S.; Dong, M.; Liu, X.; Xu, S.; Pang, J.; Zhang, W.; Weng, Y.; Ren, H. Classification of fruit trichomes in cucumber and effects of plant hormones on type II fruit trichome development. Planta 2018, 249, 407–416. [Google Scholar] [CrossRef]
- Chen, Y.; Su, D.; Li, J.; Ying, S.; Deng, H.; He, X.; Zhu, Y.; Li, Y.; Pirrello, J.; Bouzayen, M.; et al. Overexpression of bHLH95, a basic helix–loop–helix transcription factor family member, impacts trichome formation via regulating gibberellin biosynthesis in tomato. J. Exp. Bot. 2020, 71, 3450–3462. [Google Scholar] [CrossRef]
- Vernoud, V.; Laigle, G.; Rozier, F.; Meeley, R.B.; Perez, P.; Rogowsky, P.M. The HD-ZIP IV transcription factor OCL4 is necessary for trichome patterning and anther development in maize. Plant J. Cell Mol. Biol. 2009, 59, 883–894. [Google Scholar] [CrossRef]
- Li, F.; Zou, Z.; Yong, H.-Y.; Kitashiba, H.; Nishio, T. Nucleotide sequence variation of GLABRA1 contributing to phenotypic variation of leaf hairiness in Brassicaceae vegetables. Theor. Appl. Genet. 2013, 126, 1227–1236. [Google Scholar] [CrossRef] [PubMed]
- Kurlovs, A.H.; Snoeck, S.; Kosterlitz, O.; Van Leeuwen, T.; Clark, R.M. Trait mapping in diverse arthropods by bulked segregant analysis. Curr. Opin. Insect Sci. 2019, 36, 57–65. [Google Scholar] [CrossRef] [PubMed]
- Michelmore, R.W.; Kesseli, I. Identification of markers linked to disease-resistance genes by bulked segregant analysis: A rapid method to detect markers in specific genomic regions by using segregating populations. Proc. Natl. Acad. Sci. USA 1991, 88, 9828–9832. [Google Scholar] [CrossRef]
- Liu, D.; Yang, H.; Yuan, Y.; Zhu, H.; Zhang, M.; Wei, X.; Sun, D.; Wang, X.; Yang, S.; Yang, L. Comparative Transcriptome Analysis Provides Insights into Yellow Rind Formation and Preliminary Mapping of the Clyr (Yellow Rind) Gene in Watermelon. Front. Plant Sci. 2020, 11, 192. [Google Scholar] [CrossRef]
- Kayam, G.; Brand, Y.; Faigenboim-Doron, A.; Patil, A.; Hedvat, I.; Hovav, R. Fine-Mapping the Branching Habit Trait in Cultivated Peanut by Combining Bulked Segregant Analysis and High-Throughput Sequencing. Front. Plant Sci. 2017, 8, 467. [Google Scholar] [CrossRef] [PubMed][Green Version]
- Liu, X.; Bi, B.; Xu, X.; Li, B.; Tian, S.; Wang, J.; Zhang, H.; Wang, G.; Han, Y.; McElroy, J.S. Rapid identification of a candidate nicosulfuron sensitivity gene (Nss) in maize (Zea mays L.) via combining bulked segregant analysis and RNA-seq. Theor. Appl. Genet. 2019, 132, 1351–1361. [Google Scholar] [CrossRef]
- Wu, L.; Cui, Y.; Xu, Z.; Xu, Q. Identification of Multiple Grain Shape-Related Loci in Rice Using Bulked Segregant Analysis with High-Throughput Sequencing. Front. Plant Sci. 2020, 11, 303. [Google Scholar] [CrossRef]
- Li, R.; Hou, Z.; Gao, L.; Xiao, D.; Hou, X.; Zhang, C.; Yan, J.; Song, L. Conjunctive Analyses of BSA-Seq and BSR-Seq to Reveal the Molecular Pathway of Leafy Head Formation in Chinese Cabbage. Plants 2019, 8, 603. [Google Scholar] [CrossRef]
- Zheng, Y.; Xu, F.; Li, Q.; Wang, G.; Liu, N.; Gong, Y.; Li, L.; Chen, Z.-H.; Xu, S. QTL Mapping Combined with Bulked Segregant Analysis Identify SNP Markers Linked to Leaf Shape Traits in Pisum sativum Using SLAF Sequencing. Front. Genet. 2018, 9, 9. [Google Scholar] [CrossRef]
- Würschum, T. Mapping QTL for agronomic traits in breeding populations. Theor. Appl. Genet. 2012, 125, 201–210. [Google Scholar] [CrossRef]
- Hayes, B. Overview of Statistical Methods for Genome-Wide Association Studies (GWAS). Methods Mol. Biol. 2013, 1019, 149–169. [Google Scholar] [PubMed]
- Barnes, S.R. RFLP analysis of complex traits in crop plants. Symp. Soc. Exp. Biol. 1991, 45, 219–228. [Google Scholar]
- Ding, B.; Mou, F.; Sun, W.; Chen, S.; Peng, F.; Bradshaw, H.D., Jr.; Yuan, Y.-W. A dominant-negative actin mutation alters corolla tube width and pollinator visitation in Mimulus lewisii. New Phytol. 2016, 213, 1936–1944. [Google Scholar] [CrossRef] [PubMed]
- Song, J.; Li, Z.; Liu, Z.; Guo, Y.; Qiu, L.J. Next-Generation Sequencing from Bulked-Segregant Analysis Accelerates the Simultaneous Identification of Two Qualitative Genes in Soybean. Front. Plant Sci. 2017, 8, 919. [Google Scholar] [CrossRef] [PubMed]
- Jiao, Y.; Burow, G.; Gladman, N.; Acosta-Martinez, V.; Chen, J.; Burke, J.; Ware, D.; Xin, Z. Efficient Identification of Causal Mutations through Sequencing of Bulked F2 from Two Allelic Bloomless Mutants of Sorghum bicolor. Front. Plant Sci. 2018, 8, 2267. [Google Scholar] [CrossRef]
- Vogel, G.; LaPlant, K.E.; Mazourek, M.; Gore, M.A.; Smart, C.D. A combined BSA-Seq and linkage mapping approach identifies genomic regions associated with Phytophthora root and crown rot resistance in squash. TAG. Theor. Appl. Genet. Theor. Angew. Genet. 2021, 1–17. [Google Scholar]
- Liu, S.; Yeh, C.T.; Tang, H.M.; Nettleton, D.; Schnable, P.S. Gene Mapping via Bulked Segregant RNA-Seq (BSR-Seq). PLoS ONE 2012, 7, e36406. [Google Scholar] [CrossRef]
- Cheng, F.; Liu, S.; Wu, J.; Fang, L.; Sun, S.; Liu, B.; Li, P.; Hua, W.; Wang, X. BRAD, the genetics and genomics database for Brassica plants. BMC Plant Biol. 2011, 11, 136. [Google Scholar] [CrossRef]
- Nakamura, T.; Sanokawa, R.; Sasaki, Y.F.; Ayusawa, D.; Oishi, M.; Mori, N. Cyclin I: A New Cyclin Encoded by a Gene Isolated from Human Brain. Exp. Cell Res. 1995, 221, 534–542. [Google Scholar] [CrossRef]
- Pines, Cyclins and cyclin-dependent kinases: A biochemical view. Biochem. J. 1995, 308, 697–711. [CrossRef]
- Wang, G.; Kong, H.; Sun, Y.; Zhang, X.; Zhang, W.; Altman, N.; Depamphilis, C.W.; Ma, H. Genome-Wide Analysis of the Cyclin Family in Arabidopsis and Comparative Phylogenetic Analysis of Plant Cyclin-Like Proteins. Plant Physiol. 2004, 135, 1084–1099. [Google Scholar] [CrossRef] [PubMed]
- Cui, X.; Fan, B.; Scholz, J.; Chen, Z. Roles of Arabidopsis Cyclin-Dependent Kinase C Complexes in Cauliflower Mosaic Virus Infection, Plant Growth, and Development. Plant Cell 2007, 19, 1388–1402. [Google Scholar] [CrossRef]
- Govindaraghavan, M.; Anglin, S.L.M.; Shen, K.-F.; Shukla, N.; De Souza, C.P.; Osmani, S.A. Identification of Interphase Functions for the NIMA Kinase Involving Microtubules and the ESCRT Pathway. PLoS Genet. 2014, 10, e1004248. [Google Scholar] [CrossRef] [PubMed]
- Motose, H.; Takatani, S.; Ikeda, T.; Takahashi, T. NIMA-related kinases regulate directional cell growth and organ development through microtubule function in Arabidopsis thaliana. Plant Signal. Behav. 2012, 7, 1552–1555. [Google Scholar] [CrossRef] [PubMed]
- Takatani, S.; Otani, K.; Kanazawa, M.; Takahashi, T.; Motose, H. Structure, function, and evolution of plant NIMA-related kinases: Implication for phosphorylation-dependent microtubule regulation. J. Plant Res. 2015, 128, 875–891. [Google Scholar] [CrossRef] [PubMed]
- Takatani, S.; Ozawa, S.; Yagi, N.; Hotta, T.; Hashimoto, T.; Takahashi, Y.; Takahashi, T.; Motose, H. Directional cell expansion requires NIMA-related kinase 6 (NEK6)-mediated cortical microtubule destabilization. Sci. Rep. 2017, 7, 7826. [Google Scholar] [CrossRef] [PubMed]
- Sakai, T.; Van Der Honing, H.; Nishioka, M.; Uehara, Y.; Takahashi, M.; Fujisawa, N.; Saji, K.; Seki, M.; Shinozaki, K.; Jones, M.A.; et al. Armadillo repeat-containing kinesins and a NIMA-related kinase are required for epidermal-cell morphogenesis in Arabidopsis. Plant J. 2007, 53, 157–171. [Google Scholar] [CrossRef]
- Takatani, S.; Verger, S.; Okamoto, T.; Takahashi, T.; Hamant, O.; Motose, H. Microtubule Response to Tensile Stress Is Curbed by NEK6 to Buffer Growth Variation in the Arabidopsis Hypocotyl. Curr. Biol. 2020, 30, 1491–1503.e2. [Google Scholar] [CrossRef]
- Saedler, R.; Jakoby, M.; Marin, B.; Galiana-Jaime, E.; Hulskamp, M. The cell morphogenesis gene SPIRRIG in Arabidopsis encodes a WD/BEACH domain protein. Plant J. Cell Mol. Biol. 2009, 59, 612–621. [Google Scholar] [CrossRef]
- Stephan, L.; Jakoby, M.; Hülskamp, M. Evolutionary Comparison of the Developmental/Physiological Phenotype and the Molecular Behavior of SPIRRIG Between Arabidopsis thaliana and Arabis alpina. Front. Plant Sci. 2021, 11, 596065. [Google Scholar] [CrossRef] [PubMed]
- Bögre, L.; Magyar, Z.; López-Juez, E. New clues to organ size control in plants. Genome Biol. 2008, 9, 226. [Google Scholar] [CrossRef]
- Ren, R.; Xu, J.; Zhang, M.; Liu, G.; Yao, X.; Zhu, L.; Hou, Q. Identification and Molecular Mapping of a Gummy Stem Blight Resistance Gene in Wild Watermelon (Citrullus amarus) Germplasm PI 189225. Plant Dis. 2020, 104, 16–24. [Google Scholar] [CrossRef]
- Li, H.; Durbin, R. Fast and accurate short read alignment with Burrows-Wheeler transform. Bioinformatics 2009, 25, 1754–1760. [Google Scholar] [CrossRef] [PubMed]
- McKenna, A.; Hanna, M.; Banks, E.; Sivachenko, A.; Cibulskis, K.; Kernytsky, A.; Garimella, K.; Altshuler, D.; Gabriel, S.B.; Daly, M.J.; et al. The Genome Analysis Toolkit: A MapReduce framework for analyzing next-generation DNA sequencing data. Genome Res. 2010, 20, 1297–1303. [Google Scholar] [CrossRef] [PubMed]
- Li, H.; Handsaker, B.; Wysoker, A.; Fennell, T.; Ruan, J.; Homer, N.; Marth, G.; Abecasis, G.; Durbin, R.; Genome Project Data Processing, S. The Sequence Alignment/Map format and SAMtools. Bioinformatics 2009, 25, 2078–2079. [Google Scholar] [CrossRef]
- Cingolani, P.; Platts, A.; Wang, L.L.; Coon, M.; Nguyen, T.; Wang, L.; Land, S.J.; Lu, X.; Ruden, D.M. A program for annotating and predicting the effects of single nucleotide polymorphisms, SnpEff: SNPs in the genome of Drosophila melanogaster strain w1118; iso-2; iso-3. Fly 2012, 6, 80–92. [Google Scholar] [CrossRef] [PubMed]
- Fuchu, H. E Integrated nr Database in Protein Annotation System and Its Localization. Comput. Eng. 2006, 32, 71–72. [Google Scholar]
- Ashburner, M.; Ball, C.A.; Blake, J.A.; Botstein, D.; Butler, H.; Cherry, J.M.; Davis, A.P.; Dolinski, K.; Dwight, S.S.; Eppig, J.T.; et al. Gene Ontology: Tool for the unification of biology. Nat. Genet. 2000, 25, 25–29. [Google Scholar] [CrossRef]
- Tatusov, R.L.; Galperin, M.Y.; Natale, D.A.; Koonin, E.V. The COG database: A tool for genome-scale analysis of protein functions and evolution. Nucleic Acids Res. 2000, 28, 33–36. [Google Scholar] [CrossRef]
- Kanehisa, M.; Goto, S.; Kawashima, S.; Okuno, Y.; Hattori, M. The KEGG resource for deciphering the genome. Nucleic Acids Res. 2004, 32, 277–280. [Google Scholar] [CrossRef]
- Lv, S.; Zhang, C.; Tang, J.; Li, Y.; Wang, Z.; Jiang, D.; Hou, X. Genome-wide analysis and identification of TIR-NBS-LRR genes in Chinese cabbage (Brassica rapa ssp. pekinensis) reveal expression patterns to TuMV infection. Physiol. Mol. Plant Pathol. 2015, 90, 89–97. [Google Scholar] [CrossRef]




| Generation | Trichome Leaves | Glabrous Leaves | Segregation Ratio |
|---|---|---|---|
| P1(W30) | 40 | 0 | |
| P2(082) | 0 | 40 | |
| F1 | 60 | 0 | |
| F2 | 212 | 82 | 3:1 |
| Bulk | Clean Reads | Data Generated | Q30 (30%) | Genome Coverage (10×) | Average Depth (×) | SNP Number | Alignment Efficiency (%) |
|---|---|---|---|---|---|---|---|
| W30 | 37,948,696 | 11,384,608,800 | 92.89 | 93.43 | 27.5384 | 1,693,338 | 97 |
| 082 | 36,842,550 | 11,052,765,000 | 93.55 | 92.44 | 26.8289 | 1,663,130 | 97.26 |
| AL | 110,197,965 | 33,059,389,500 | 92.69 | 97.74 | 78.9208 | 1,740,465 | 97.28 |
| GL | 108,389,140 | 32,516,742,000 | 92.66 | 97.49 | 76.169 | 1,721,183 | 96.68 |
| Chrom | Start | End | Length | Number of Genes |
|---|---|---|---|---|
| Scaffold000100 | 160,071 | 260,071 | 100,001 | 6 |
| Scaffold001011 | −49,220 | 50,780 | 100,001 | 0 |
| Scaffold004266 | −49,807 | 50,193 | 100,001 | 0 |
| A06 | 22,044,767 | 22,246,745 | 201,979 | 30 |
| A06 | 23,704,762 | 24,097,454 | 392,693 | 74 |
| Scaffold000169 | 132,175 | 132,181 | 7 | 0 |
| Chrom | Start | End | Length | Number of Genes |
|---|---|---|---|---|
| A07 | 1,892,096 | 1,992,096 | 100,001 | 13 |
| A10 | 2,673,013 | 2,773,013 | 100,001 | 23 |
| Scaffold000100 | 764,907 | 864,907 | 100,001 | 9 |
| Gene | Chr. | Function Annotation |
|---|---|---|
| Bra025087 | A10 | Cyclin family protein |
| Bra035000 | Scaffold000100 | ATP-binding/kinase/protein kinase/protein serine/threonine kinase |
| Bra033370 | A06 | WD-40 repeat family protein/beige-related |
Publisher’s Note: MDPI stays neutral with regard to jurisdictional claims in published maps and institutional affiliations. |
© 2021 by the authors. Licensee MDPI, Basel, Switzerland. This article is an open access article distributed under the terms and conditions of the Creative Commons Attribution (CC BY) license (https://creativecommons.org/licenses/by/4.0/).
Share and Cite
Zhang, R.; Ren, Y.; Wu, H.; Yang, Y.; Yuan, M.; Liang, H.; Zhang, C. Mapping of Genetic Locus for Leaf Trichome Formation in Chinese Cabbage Based on Bulked Segregant Analysis. Plants 2021, 10, 771. https://doi.org/10.3390/plants10040771
Zhang R, Ren Y, Wu H, Yang Y, Yuan M, Liang H, Zhang C. Mapping of Genetic Locus for Leaf Trichome Formation in Chinese Cabbage Based on Bulked Segregant Analysis. Plants. 2021; 10(4):771. https://doi.org/10.3390/plants10040771
Chicago/Turabian StyleZhang, Rujia, Yiming Ren, Huiyuan Wu, Yu Yang, Mengguo Yuan, Haonan Liang, and Changwei Zhang. 2021. "Mapping of Genetic Locus for Leaf Trichome Formation in Chinese Cabbage Based on Bulked Segregant Analysis" Plants 10, no. 4: 771. https://doi.org/10.3390/plants10040771
APA StyleZhang, R., Ren, Y., Wu, H., Yang, Y., Yuan, M., Liang, H., & Zhang, C. (2021). Mapping of Genetic Locus for Leaf Trichome Formation in Chinese Cabbage Based on Bulked Segregant Analysis. Plants, 10(4), 771. https://doi.org/10.3390/plants10040771

