Methane Production Rate during Anoxic Litter Decomposition Depends on Si Mass Fractions, Nutrient Stoichiometry, and Carbon Quality
Abstract
1. Introduction
2. Results
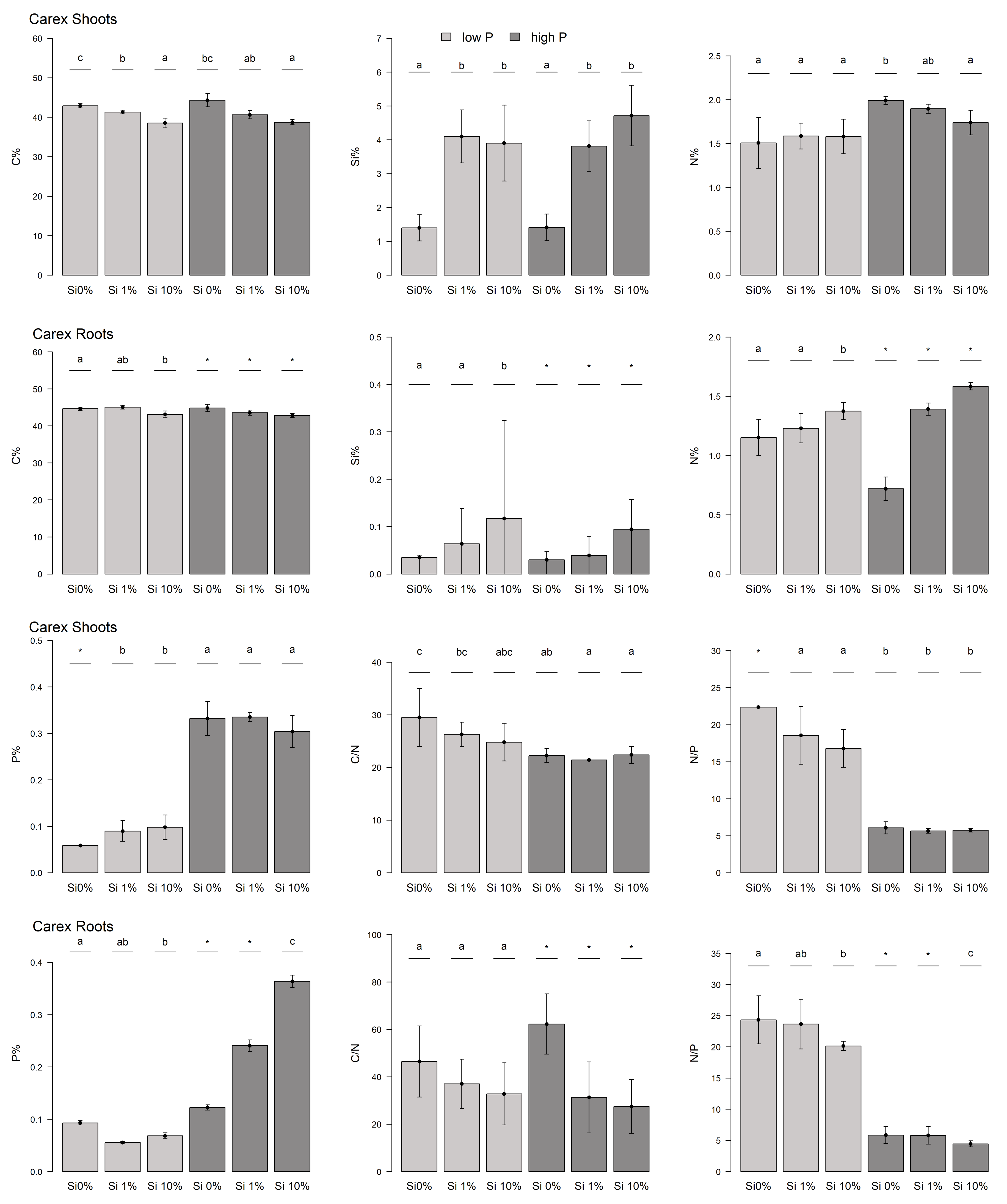
2.1. Part I—Characterization of the Plant Material
Stoichiometry
- Eriophorum shoots
| Low-P Si 0% | Low-P Si 1% | Low-P Si10% | High-P Si 0% | High-P Si 1% | High-P Si10% |
| ‘1’ | ‘2’ | ‘3’ | ‘I’ | ‘II’ | ‘III’ |
- 2.
- Eriophorum roots
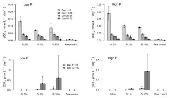
2.2. Decomposition of the Plant Material
2.2.1. CO2 and CH4 Production Rates of Eriophorum Shoot Litter
2.2.2. Litter Quality and C and N Mass Fractions of Eriophorum Shoots after Incubation
2.2.3. Nutrient Leaching into the Water Phase
3. Discussion
3.1. Characterization
3.2. Decomposition
4. Methods
4.1. Part I—Biomass Characterization
4.1.1. Extraction and Preparation of Plants
4.1.2. Substrate Preparation
4.1.3. Planting and Fertilization
4.1.4. Harvest, Milling
4.1.5. Analysis of the Biomass
4.1.6. FTIR Analysis
4.2. Part II—Plant Decomposition Experiment
4.2.1. Preparation of the Incubation
4.2.2. Incubation Procedure
4.2.3. Analysis after Decomposition
4.2.4. Statistical Analysis
4.3. Wild Plant Characterization for Comparison
5. Conclusions
Author Contributions
Funding
Institutional Review Board Statement
Informed Consent Statement
Data Availability Statement
Acknowledgments
Conflicts of Interest
Appendix A
| Fertilizer Number | Nutrient | mmol L−1 in Low-P Fertilizer | mmol L−1 in High-P Fertilizer |
|---|---|---|---|
| 1 | K2HPO4 | 400.6 | 2438.4 |
| NH4NO3 | 800.4 | 800.4 | |
| 2 | CaCl·2H2O | 62.7 | 62.7 |
| 3 | MgSO4 | 500.3 | 500.3 |
| 4 | H3BO3 | 14.8 | 14.8 |
| NaMoO4·2H2O | 24.2 | 24.2 | |
| 5 | ZnSO4·7H2O | 63.3 | 63.3 |
| CuSO4·5H2O | 5.0 | 5.0 | |
| CoSO4·7H2O | 2.0 | 2.0 | |
| MnCl·4H2O | 29.2 | 29.2 | |
| FeSO4·7H2O | 25.0 | 25.0 | |
| Na2EDTA·2H2O | 498.8 | 498.8 |
| Treatment | Shoots | Peat for Eriophorum- Shoot Incubation |
|---|---|---|
| Low-P; Si 0% | 500 mg | 200 mg |
| Low-P; Si 1% | 500 mg | 200 mg |
| Low-P; Si 10% | 500 mg | 200 mg |
| High-P; Si 0% | 500 mg | 200 mg |
| High-P; Si 1% | 500 mg | 200 mg |
| High-P; Si 10% | 500 mg | 200 mg |
| Peat control | / | 200 mg |
| 1350/1090 | 1630/1090 | 1720/1090 | 2850/1090 | 2920/1090 | 3380/1090 | |
|---|---|---|---|---|---|---|
| Eriophorumshoots before incubation | ||||||
| Si 0% | 0.493 | 0.572 | 0.372 | 0.466 | 0.663 | 1.263 |
| Si 1% low P | 0.441 | 0.509 | 0.343 | 0.395 | 0.570 | 1.122 |
| Si 10% low P | 0.373 | 0.415 | 0.284 | 0.302 | 0.441 | 0.889 |
| Si 1% high P | 0.428 | 0.442 | 0.321 | 0.374 | 0.539 | 1.076 |
| Si 10% high P | 0.362 | 0.396 | 0.274 | 0.288 | 0.425 | 0.866 |
| Eriophorumshoots after incubation | ||||||
| Si 0% low P | 0.511 | 0.593 | 0.487 | 0.484 | 0.675 | 1.092 |
| Si 1% low P | 0.448 | 0.521 | 0.277 | 0.394 | 0.556 | 1.319 |
| Si 10% low P | 0.463 | 0.522 | 0.278 | 0.411 | 0.573 | 1.332 |
| Si 0% high P | 0.428 | 0.453 | 0.248 | 0.380 | 0.539 | 1.303 |
| Si 1% high P | 0.465 | 0.511 | 0.427 | 0.419 | 0.585 | 0.968 |
| Si 10% high P | 0.393 | 0.449 | 0.352 | 0.346 | 0.498 | 0.931 |
| Eriophorumroots before incubation | ||||||
| Si 0% low P | 0.525 | 0.633 | 0.504 | 0.501 | 0.688 | 1.207 |
| Si 1% low P | 0.482 | 0.520 | 0.438 | 0.441 | 0.617 | 1.096 |
| Si 10% low P | 0.396 | 0.422 | 0.343 | 0.340 | 0.485 | 0.882 |
| Si 0% high P | 0.433 | 0.525 | 0.275 | 0.367 | 0.524 | 1.279 |
| Si 1% high P | 0.446 | 0.511 | 0.283 | 0.377 | 0.533 | 1.265 |
| Si 10% high P | 0.406 | 0.450 | 0.230 | 0.347 | 0.506 | 1.297 |
| Carexroots before incubation | ||||||
| Si 0% low P | 0.5075 | 0.68918 | 0.3124 | 0.4237 | 0.6045 | 1.4629 |
| Si 1% low P | 0.4519 | 0.5942 | 0.24698 | 0.3380 | 0.5157 | 1.3947 |
| Si 10% low P | 0.4340 | 0.6517 | 0.2708 | 0.3919 | 0.5796 | 1.4432 |
| Si 0% high P | 0.4810 | 0.6138 | 0.3014 | 0.3995 | 0.5706 | 1.3940 |
| Si 1% high P | 0.4490 | 0.6030 | 0.2749 | 0.3675 | 0.5486 | 1.3296 |
| Si 10% high P | 0.4186 | 0.6001 | 0.2521 | 0.3683 | 0.5518 | 1.3658 |
| Si | Time | Low P Si 0% | Low P Si 0% | Low P Si 1% | Low P Si 1% | Low P Si 10% | Low P Si 10% | High P Si 0% | High P Si 0% | High P Si 1% | High P Si 1% | High Si 10% | High Si 10% | Peat Control | Peat Control |
| Time | / | Beg. | End | Beg. | End | Beg. | End | Beg. | End | Beg. | End | Beg. | End | Beg. | End |
| Low P Si 0% | Beg. | / | 5.364 × 10−9 | 0.0079 | 2.361 × 10−6 | 0.0079 | 0.0098 | 0.5476 | 4.549 × 10−8 | 0.0079 | 1.661 × 10−6 | 0.0079 | 8.786 × 10−6 | 0.0079 | 4.029 × 10−7 |
| Low P Si 0% | End | / | / | 0.0079 | / | 0.0357 | / | 0.0714 | / | 0.0079 | / | 0.0079 | / | 0.0079 | |
| Low P Si 1% | Beg. | / | 3.704 × 10−6 | 0.0079 | 0.0114 | 0.0079 | 4.765 × 10−7 | 0.0925 | 2.596 × 10−6 | 0.0079 | 1.166 × 10−5 | 0.0079 | 0.2764 | ||
| Low P Si 1% | End | / | / | 0.0357 | / | 0.0357 | / | 0.6905 | / | 0.0079 | / | 0.0079 | |||
| Low P Si 10% | Beg. | / | 0.0138 | 0.0079 | 0.0056 | 0.0079 | 1.638 × 10−7 | 0.8413 | 3.995 × 10−8 | 0.0079 | 0.0012 | ||||
| Low P Si 10% | End | / | / | 0.0182 | / | 0.0357 | / | 1 | / | 0.0357 | |||||
| High P Si 0% | Beg. | / | 7.093 × 10−7 | 0.0079 | 2.408 × 10−9 | 0.0079 | 4.064 × 10−6 | 0.8413 | 0.0003 | ||||||
| High P Si 0% | End | / | / | 0.0357 | / | 0.0357 | / | 0.0357 | |||||||
| High P Si 1% | Beg. | / | 4.547 × 10−6 | 0.0079 | 1.294 × 10−5 | 0.0079 | 0.0016 | ||||||||
| High P Si 1% | End | / | / | 0.0079 | / | 0.0079 | |||||||||
| High P Si 10% | Beg. | / | 2.331 × 10−5 | 0.0079 | 1.797 × 10−8 | ||||||||||
| High P Si 10% | End | / | / | 0.0079 | |||||||||||
| Peat Control | Beg. | / | 2.521 × 10−7 | ||||||||||||
| Peat Control | End | / | |||||||||||||
| P | Time | Low P Si 0% | Low P Si 0% | Low P Si 1% | Low P Si 1% | Low P Si 10% | Low P Si 10% | High P Si 0% | High P Si 0% | High P Si 1% | High P Si 1% | High Si 10% | High Si 10% | Peat Control | Peat Control |
| Time | / | Beg. | End | Beg. | End | Beg. | End | Beg. | End | Beg. | End | Beg. | End | Beg. | End |
| Low P Si 0% | Beg. | / | 0.2391 | 0.1439 | 0.0041 | 0.0004 | 0.2017 | 2.264 × 10−6 | 0.0005 | 3.784 × 10−8 | 4.255 × 10−6 | 7.262 × 10−8 | 4.923 × 10−6 | 7.918 × 10−5 | 5.355 × 10−5 |
| Low P Si 0% | End | / | / | 0.0130 | / | 0.0303 | / | 7.772 × 10−5 | / | 3.711 × 10−7 | / | 1.483 × 10−6 | / | 2.116 × 10−5 | |
| Low P Si 1% | Beg. | / | 0.0384 | 2.491 × 10−5 | 0.022 | 2.381 × 10−7 | 7.704 × 10−5 | 4.039 × 10−9 | 3.837 × 10−7 | 2.29 × 10−8 | 1.372 × 10−6 | 5.248 × 10−5 | 3.143 × 10−5 | ||
| Low P Si 1% | End | / | / | 0.0010 | / | 3.48 × 10−6 | / | 7.562 × 10−9 | / | 4.758 × 10−8 | / | 5.55 × 10−7 | |||
| Low P Si 10% | Beg. | / | 0.0144 | 6.628 × 10−5 | 0.0341 | 8.207 × 10−8 | 0.0002 | 2.486 × 10−7 | 7.605 × 10−5 | 4.431 × 10−6 | 2.576 × 10−6 | ||||
| Low P Si 10% | End | / | / | 0.0100 | / | 0.0712 | / | 0.0061 | / | 0.0013 | |||||
| High P Si 0% | Beg. | / | 0.0159 | 0.0003 | 0.1461 | 3.799 × 10−6 | 0.0254 | 1.063 × 10−6 | 5.663 × 10−7 | ||||||
| High P Si 0% | End | / | / | 0.0712 | / | 0.0061 | / | 0.0013 | |||||||
| High P Si 1% | Beg. | / | 1.409 × 10−6 | 0.0003 | 0.1128 | 7.13 × 10−8 | 1.599 × 10−8 | ||||||||
| High P Si 1% | End | / | / | 0.0041 | / | 4.54 × 10−7 | |||||||||
| High P Si 10% | Beg. | / | 0.0005 | 3.144 × 10−6 | 2.541 × 10−6 | ||||||||||
| High P Si 10% | End | / | / | 1.361 × 10−5 | |||||||||||
| Peat Control | Beg. | / | 0.0001 | ||||||||||||
| TOC | Time | Low P Si 0% | Low P Si 0% | Low P Si 1% | Low P Si 1% | Low P Si 10% | Low P Si 10% | High P Si 0% | High P Si 0% | High P Si 1% | High P Si 1% | High Si 10% | High Si 10% | Peat Control | Peat Control |
| Time | / | Beg. | End | Beg. | End | Beg. | End | Beg. | End | Beg. | End | Beg. | End | Beg. | End |
| Low P Si 0% | Beg. | / | 0.0036 | 8.157 × 10−7 | 1.676 × 10−5 | 0.0002 | 4.849 × 10−7 | 0.0521 | 5.752 × 10−7 | 0.0023 | 0.0020 | 0.0005 | 6.707 × 10−8 | 2.631 × 10−7 | 1.614 × 10−7 |
| Low P Si 0% | End | / | / | 0.1042 | / | 0.5271 | / | 0.2313 | / | 0.3314 | / | 0.3161 | / | 0.0002 | |
| Low P Si 1% | Beg. | / | 0.0076 | 0.0230 | 0.0014 | 0.0007 | 0.0664 | 7.158 × 10−5 | 0.0395 | 0.6043 | 3.678 × 10−6 | 7.508 × 10−9 | 6.019 × 10−15 | ||
| Low P Si 1% | End | / | / | 0.09877 | / | 0.0100 | / | 0.5478 | / | 0.2217 | / | 0.0002 | |||
| Low P Si 10% | Beg. | / | 6.669 × 10−5 | 0.0002 | 0.0030 | 0.0382 | 0.0130 | 0.0850 | 9.045 × 10−6 | 1.085 × 10−6 | 7.892 × 10−7 | ||||
| Low P Si 10% | End | / | / | 0.0004 | / | 0.5011 | / | 0.3025 | / | 2.692 × 10−6 | |||||
| High P Si 0% | Beg. | / | 0.0005 | 0.0012 | 0.0001 | 0.0002 | 1.158 × 10−6 | 4.445 × 10−6 | 3.984 × 10−6 | ||||||
| High P Si 0% | End | / | / | 0.0538 | / | 1.27 × 10−5 | / | 2.169 × 10−9 | |||||||
| High P Si 1% | Beg. | / | 0.0012 | 0.0092 | 7.252 × 10−7 | 4.377 × 10−7 | 2.795 × 10−7 | ||||||||
| High P Si 1% | End | / | / | 0.0538 | / | 1.27 × 10−5 | |||||||||
| High P Si 10% | Beg. | / | 0.0105 | 3.64 × 10−5 | 3.326 × 10−5 | ||||||||||
| High P Si 10% | End | / | / | 2.169 × 10−9 | |||||||||||
| Peat Control | Beg. | / | 0.0072 | ||||||||||||
| Peat Control | End | / | |||||||||||||
| Fe | Time | Low P Si 0% | Low P Si 0% | Low P Si 1% | Low P Si 1% | Low P Si 10% | Low P Si 10% | High P Si 0% | High P Si 0% | High P Si 1% | High P Si 1% | High Si 10% | High Si 10% | Peat Control | Peat Control |
| Time | / | Beg. | End | Beg. | End | Beg. | End | Beg. | End | Beg. | End | Beg. | End | Beg. | End |
| Low P Si 0% | Beg. | / | 2.224 × 10−7 | 0.1022 | 4.575 × 10−6 | 7.101 × 10−6 | 0.0102 | 0.0543 | 1.448 × 10−5 | 3.548 × 10−5 | 0.0009 | 0.0009 | 0.0661 | 8.41 × 10−6 | 2.443 × 10−5 |
| Low P Si 0% | End | / | / | 0.0026 | / | 0.0005 | / | 0.0038 | / | 6.122 × 10−6 | / | 2.474 × 10−6 | / | 1.099 × 10−5 | |
| Low P Si 1% | Beg. | / | 4.577 × 10−6 | 0.0003 | 0.0056 | 0.7684 | 3.62 × 10−5 | 0.0014 | 0.0004 | 0.0067 | 0.0124 | 0.0001 | 0.0004 | ||
| Low P Si 1% | End | / | / | 0.0115 | / | 0.6255 | / | 0.0004 | / | 8.033 × 10−5 | / | 2.649 × 10−5 | |||
| Low P Si 10% | Beg. | / | 0.0002 | 0.0004 | 1.249 × 10−6 | 0.3265 | 1.739 × 10−6 | 0.9748 | 2.068 × 10−5 | 0.0003 | 0.0044 | ||||
| Low P Si 10% | End | / | / | 0.0401 | / | 0.6997 | / | 0.1221 | / | 0.0133 | |||||
| High P Si 0% | Beg. | / | 2.822 × 10−5 | 0.0019 | 0.0003 | 0.0089 | 0.0078 | 0.0001 | 0.0004 | ||||||
| High P Si 0% | End | / | / | 0.0017 | / | 0.0005 | / | 0.0018 | |||||||
| High P Si 1% | Beg. | / | 4.484 × 10−6 | 0.595 | 5.616 × 10−5 | 0.0003 | 0.0032 | ||||||||
| High P Si 1% | End | / | / | 0.0695 | / | 5.02 × 10−5 | |||||||||
| High P Si 10% | Beg. | / | 0.0004 | 0.0091 | 0.0769 | ||||||||||
| High P Si 10% | End | / | / | 0.0002 | |||||||||||
| Peat Control | Beg. | / | 3.663 × 10−9 | ||||||||||||
| Peat Control | End | / |



References
- Yu, Z.; Loisel, J.; Brosseau, D.P.; Beilman, D.W.; Hunt, S.J. Global peatland dynamics since the Last Glacial Maximum. Geophys. Res. Lett. 2010, 37. [Google Scholar] [CrossRef]
- Aselmann, I.; Crutzen, P.J. Global Distribution of Natural Freshwater Wetlands and Rice Paddies, their Net Primary Productivity, Seasonality and Possible Methane Emissions. J. Atmos. Chem. 1989, 8, 307–358. [Google Scholar] [CrossRef]
- Clymo, R.S. The Limits of peat bog growth. Philos. Trans. R. Soc. Lond. B Biol. Sci. 1984, 303, 605–654. [Google Scholar]
- Limpens, J.; Berendse, F.; Blodau, C.; Canadell, J.G.; Freeman, C.; Holden, J.; Roulet, N.; Rydin, H.; Schaepman-Strub, G. Peatlands and the carbon cycle: From local processes to global implications—A synthesis. Biogeosciences 2008, 5, 1475–1491. [Google Scholar] [CrossRef]
- Rydin, H.; Jeglum, J.K. The Biology of Peatlands; Oxford Scholarship Online: Oxford, UK, 2006. [Google Scholar]
- Aerts, R.; De Caluwe, H. Nutritional and Plant-Mediated Controls on Leaf Litter Decomposition of Carex Species. Ecology 1997, 78, 255–260. [Google Scholar] [CrossRef]
- Agethen, S.; Knorr, K.-H. Juncus effusus mono-stands in restored cutover peat bogs—Analysis of litter quality, controls of anaerobic decomposition, and the risk of secondary carbon loss. Soil Biol. Biochem. 2018, 117, 139–152. [Google Scholar] [CrossRef]
- McClaugherty, C.; Berg, B. Cellulose, lignin and nitrogen concentrations as rate regulating factors in late stages of forest litter decomposition. Pedobiologia 1987, 30, 101–112. [Google Scholar]
- Epstein, E. The anomaly of silicon in plant biology. Proc. Natl. Acad. Sci. USA 1994, 91, 11–17. [Google Scholar] [CrossRef] [PubMed]
- Katz, O. Beyond grasses: The potential benefits of studying silicon accumulation in non-grass species. Front. Plant Sci. 2014, 5, 376. [Google Scholar] [CrossRef] [PubMed]
- Schaller, J.; Heimes, R.; Ma, J.F.; Meunier, J.-D.; Shao, J.F.; Fujii-Kashino, M.; Knorr, K.H. Silicon accumulation in rice plant aboveground biomass affects leaf carbon quality. Plant. Soil 2019, 444, 399–407. [Google Scholar] [CrossRef]
- Schaller, J.; Struyf, E. Silicon controls microbial decay and nutrient release of grass litter during aquatic decomposition. Hydrobiologica 2013, 709, 201–212. [Google Scholar] [CrossRef]
- Wainwright, M.; Al-Wajeeh, K.; Grayston, S.J. Effect of silicic acid and other silicon compounds on fungal growth in oligotrophic and nutrient-rich media. Mycol. Res. 1997, 101, 933–938. [Google Scholar] [CrossRef]
- Reithmaier, G.-M.; Knorr, K.-H.; Arnhold, S.; Planer-Friedrich, B.; Schaller, J. Enhanced silicon availability leads to increased methane production, nutrient and toxicant mobility in peatlands. Sci. Rep. 2017, 7, 8728. [Google Scholar] [CrossRef]
- Broder, T.; Blodau, C.; Biester, H.; Knorr, K.H. Peat decomposition records in three pristine ombrotrophic bogs in southern Patagonia. Biogeosciences 2012, 9, 1479–1491. [Google Scholar] [CrossRef]
- Niemeyer, J.; Chen, Y.; Bollag, J.-M. Characterization of Humic Acids, Composts, and Peat by Diffuse Reflectance Fourier-Transform Infrared Spectroscopy. J. Soil Sci. Soc. Am. 1992, 56, 135–140. [Google Scholar] [CrossRef]
- Klotzbücher, T.; Klotzbücher, A.; Kaiser, K.; Vetterlein, D.; Jahn, R.; Mikutta, R. Variable silicon accumulation in plants affects terrestrial carbon cycling by controlling lignin synthesis. Glob. Chang. Biol. 2018, 24, e183–e189. [Google Scholar] [CrossRef] [PubMed]
- Currie, H.A.; Perry, C.C. Silica in plants: Biological, biochemical and chemical studies. Ann. Bot. 2007, 100, 1383–1389. [Google Scholar] [CrossRef]
- Neu, S.; Schaller, J.; Dudel, E.G. Silicon availability modifies nutrient use efficiency and content, C:N:P stoichiometry, and productivity of winter wheat (Triticum aestivum L.). Sci. Rep. 2017, 7, 40829. [Google Scholar] [CrossRef]
- Schaller, J.; Brackhage, C.; Gessner, M.O.; Bäuker, E.; Dudel, E.G. Silicon supply modifies C:N:P stoichiometry and growth of Phragmites australis. Plant Biol. 2012, 14, 392–396. [Google Scholar] [CrossRef] [PubMed]
- Scheffer, R.A.; Aerts, R. Root decomposition and soil nutrient and carbon cycling in two temperate fen ecosystems. OIKOS 2000, 91, 541–549. [Google Scholar] [CrossRef]
- Schoelynck, J.; Bal, K.; Backx, H.; Okruszko, T.; Meire, P.; Struyf, E. Silica uptake in aquatic and wetland macrophytes: A strategic choice between silica, lignin ans cellulose ? New Phytol. 2010, 186, 385–391. [Google Scholar] [CrossRef]
- Schaller, J.; Brackhage, C.; Dudel, E.G. Silicon availability changes structural carbon ratio and phenol content of grasses. Environ. Exp. Bot. 2012, 77, 283–287. [Google Scholar] [CrossRef]
- Ma, J.F. Role of silicon in enhancing the resistance of plants to biotic and abiotic stresses. Soil Sci. Plant Nutr. 2004, 50, 11–18. [Google Scholar] [CrossRef]
- Gao, C.; Sander, M.; Agethen, S.; Knorr, K.H. Electron accepting capacity of dissolved and particulate organic matter control CO2 and CH4 formation in peat soils. Geochim. Cosmochim. Acta 2019, 245, 266–277. [Google Scholar] [CrossRef]
- Hömberg, A.; Broder, T.; Knorr, K.H.; Schaller, J. Divergent effect of silicon on greenhouse gas production from reduced and oxidized peat organic matter. Geoderma 2021, 386. [Google Scholar] [CrossRef]
- Fedorak, P.M.; Hrudey, S.E. The effects of phenol and some alkyl phenolics on batch anaerobic methanogenesis. Water Res. 1984, 18, 361–367. [Google Scholar] [CrossRef]
- Kuiters, A.T. Role of phenolic substances from decomposing forest litter in plant-soil interactions. Acta Bor. Neerl. 1990, 39, 329–348. [Google Scholar] [CrossRef]
- Mastný, J.; Kaštovská, E.; Bárta, J.; Chroňáková, A.; Borovec, J.; Šantrůčková, H.; Urbanová, Z.; Edwards, K.R.; Picek, T. Quality of DOC produced during litter decomposition of peatland plant dominants. Soil Biol. Biochem. 2018, 121, 221–230. [Google Scholar] [CrossRef]
- Struyf, E.; Van Damme, S.; Gribsholt, B.; Bal, K.; Beauchard, O.; Middelburg, J.J.; Meire, P. Phragmites australis and silica cycling in tidal wetlands. Aquat. Bot. 2007, 87, 134–140. [Google Scholar] [CrossRef]
- Matichenkov, V.V.; Calvert, D.V. Silicon as a Beneficial Element for Sugarcane. J. Am. Soc. Sugar Cane Technol. 2002, 22, 21–29. [Google Scholar]
- Schaller, J.; Faucherre, S.; Joss, H.; Obst, M.; Goeckede, M.; Planer-Friedrich, B.; Peiffer, S.; Gilfedder, B.; Elberling, B. Silicon increases the phosphorus availability of Arctic soils. Sci. Rep. 2019, 9, 449. [Google Scholar] [CrossRef] [PubMed]
- Hömberg, A.; Obst, M.; Knorr, K.-H.; Kalbitz, K.; Schaller, J. Increased silicon concentration in fen peat leads to a release of iron and phosphate and changes in the composition of dissolved organic matter. Geoderma 2020, 374. [Google Scholar] [CrossRef]
- Schaller, J.; Puppe, D.; Kaczorek, D.; Ellerbrock, R.; Sommer, M. Review. Silicon cycling in soils revisited. Plants 2021, 10, 295. [Google Scholar] [CrossRef]
- Matzner, E.; Berg, B. Effect of N deposition on decomposition of plant litter and soil organic matter in forest systems. Environ. Rev. 1997, 5, 1–25. [Google Scholar]
- Voronin, P.Y.; Mukhin, V.A. Methane emission during wood fungal decomposition. Dokl. Biol. Sci. 2007, 413, 159–160. [Google Scholar] [CrossRef]
- Knorr, K.-H.; Lischeid, G.; Blodau, C. Dynamics of redox processes in a minerotrophic fen exposed to a water table manipulation. Geoderma 2009, 153, 379–392. [Google Scholar] [CrossRef]
- Paul, S.; Kusel, K.; Alewell, C. Reduction processes in forest wetlands: Tracking down heterogeneity of source/sink functions with a combination of methods. Soil Biol. Biochem. 2006, 38, 1028–1039. [Google Scholar] [CrossRef]
- Goldberg, S.D.; Knorr, K.-H.; Gebauer, G. N2O concentration and isotope signature along profiles provide deeper insight into the fate of N2O in soils. Isot. Environ. Health Stud. 2008, 44, 377–391. [Google Scholar] [CrossRef]
- Meunier, J.D.; Keller, C.; Guntzer, F.; Riotte, J.; Braun, J.J.; Anupama, K. Assessment of the 1% Na2CO3 technique to quantify the phytolith pool. Geoderma 2014, 216, 30–35. [Google Scholar] [CrossRef]
- Swedish_Standards_Institute. DIN EN 13805:2002 Foodstuffs—Determination of Trace Elements—Pressure Digestion. 2002. Available online: https://www.sis.se/en/produkter/food-technology/general-methods-of-tests-and-analysis-for-food-products/ssen13805/ (accessed on 12 February 2018).
- R-Core-Team. R: A Language and Environment for Statistical Computing, R Version 3.5.2. 2019. Available online: https://www.R-project.org/ (accessed on 2 December 2019).
- Teickner, H. ir: A Simple Package to Handle and Preprocess Infrared Spectra. R Package Version 0.0.0.9000, 0.0.0.9000. 2020. Available online: https://github.com/henningte/ir (accessed on 6 July 2020).
- Beleites, C.; Sergo, V. hyperSpec: A Package to Handle Hyperspectral Data Sets in R. R Package Version 0.99-20200527, 0.99-20200213.1. 2020. Available online: https://github.com/cbeleites/hyperSpec (accessed on 3 December 2019).
- Harrell, F.E. Hmisc: Harrell Miscellaneous. R Package., 4.2-0. 2019. Available online: https://github.com/harrelfe/Hmisc/ (accessed on 3 December 2019).






| Wavelength or Ratio | Indicative of | Reference |
|---|---|---|
| 1090 | Polysaccharides | Broder et al. [15] |
| 1350/1090 | symmetric -COO− stretch and/or -CH bending of aliphatic structures | Niemeyer et al. [16] |
| 1630/1090 | Aromatic C = C and COO− // aromatics and aromatic or aliphatic carboxylates | Broder et al. [15] |
| 1720/1090 | Aromatic C = C or C = O of amides | Broder et al. [15] |
| 2850/1090 | Symmetric CH2, aliphatic structures, waxes, and lipids | Schaller et al. [11] Agethen and Knorr [7] |
| 2920/1090 | Antisymmetric CH2, waxes and lipids | Agethen and Knorr [7] Schaller et al. [11] |
| 3380/1090 | OH− stretch of phenolic structures | Niemeyer et al. [16] |
| Nutrient | K | P | N | Ca | Cl | Mg | B | Mo | Na | Zn | Cu | Co | Mn | Fe | S |
|---|---|---|---|---|---|---|---|---|---|---|---|---|---|---|---|
| mg/100 mL (≙ mg per pot) | 18.1 or 109.5 | 7.1 or 43.4 | 28.0 | 3.4 | 3.6 | 4.9 | 0.26 | 0.9 | 6.4 | 1.43 | 0.13 | 0.04 | 0.98 | 0.5 | 7.6 |
Publisher’s Note: MDPI stays neutral with regard to jurisdictional claims in published maps and institutional affiliations. |
© 2021 by the authors. Licensee MDPI, Basel, Switzerland. This article is an open access article distributed under the terms and conditions of the Creative Commons Attribution (CC BY) license (http://creativecommons.org/licenses/by/4.0/).
Share and Cite
Hömberg, A.; Knorr, K.-H.; Schaller, J. Methane Production Rate during Anoxic Litter Decomposition Depends on Si Mass Fractions, Nutrient Stoichiometry, and Carbon Quality. Plants 2021, 10, 618. https://doi.org/10.3390/plants10040618
Hömberg A, Knorr K-H, Schaller J. Methane Production Rate during Anoxic Litter Decomposition Depends on Si Mass Fractions, Nutrient Stoichiometry, and Carbon Quality. Plants. 2021; 10(4):618. https://doi.org/10.3390/plants10040618
Chicago/Turabian StyleHömberg, Annkathrin, Klaus-Holger Knorr, and Jörg Schaller. 2021. "Methane Production Rate during Anoxic Litter Decomposition Depends on Si Mass Fractions, Nutrient Stoichiometry, and Carbon Quality" Plants 10, no. 4: 618. https://doi.org/10.3390/plants10040618
APA StyleHömberg, A., Knorr, K.-H., & Schaller, J. (2021). Methane Production Rate during Anoxic Litter Decomposition Depends on Si Mass Fractions, Nutrient Stoichiometry, and Carbon Quality. Plants, 10(4), 618. https://doi.org/10.3390/plants10040618

