Wheat Developmental Traits as Affected by the Interaction between Eps-7D and Temperature under Contrasting Photoperiods with Insensitive Ppd-D1 Background
Abstract
1. Introduction
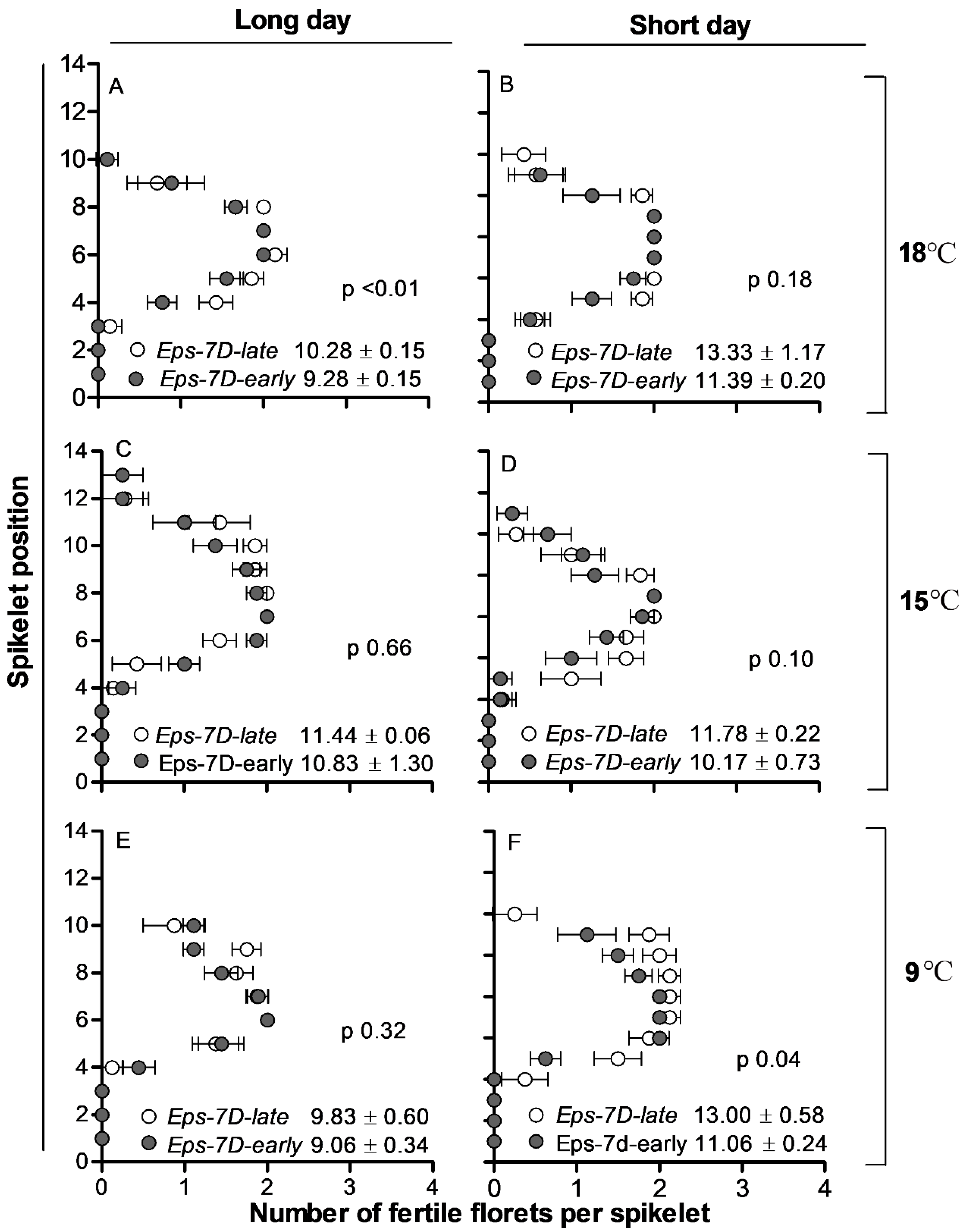
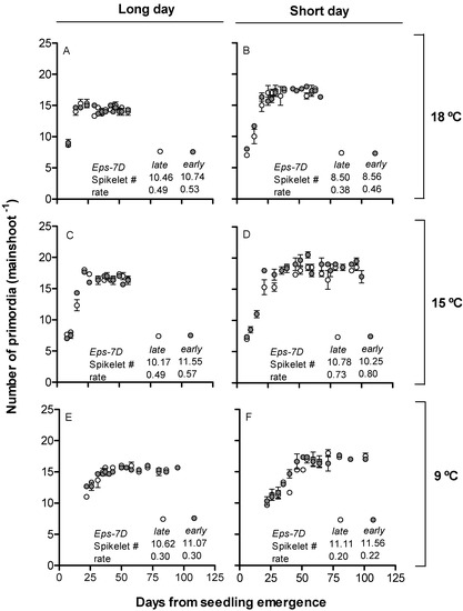
2. Results
3. Discussion
3.1. Temperature, Photoperiod and Their Interaction
3.2. Eps-7D Effect and Eps-7D × Temperature Interaction
4. Materials and Methods
Supplementary Materials
Author Contributions
Funding
Data Availability Statement
Acknowledgments
Conflicts of Interest
References
- Fischer, R.A. Farrer Review. Wheat Physiology: A Review of Recent Developments. Crop Pasture Sci. 2011, 62, 95. [Google Scholar] [CrossRef]
- Reynolds, M.P.; Foulkes, J.; Furbank, R.; Griffiths, S.; King, J.; Murchie, E.; Parry, M.; Slafer, G.A. Achieving Yield Gains in Wheat. Plant Cell Environ. 2012, 35, 1799–1823. [Google Scholar] [CrossRef]
- Whitechurch, E.M.; Slafer, G.A. Responses to Photoperiod before and after Jointing in Wheat Substitution Lines. Euphytica 2001, 118, 47–51. [Google Scholar] [CrossRef]
- González, F.G.; Slafer, G.A.; Miralles, D.J. Floret Development and Survival in Wheat Plants Exposed to Contrasting Photoperiod and Radiation Environments during Stem Elongation. Funct. Plant Biol. 2005, 32, 189–197. [Google Scholar] [CrossRef] [PubMed]
- Börner, A.; Worland, A.J.; Plaschke, J.; Schumann, E.; Law, C.N. Pleiotropic Effects of Genes for Reduced Height (Rht) and Day-Length Insensitivity (Ppd) on Yield and Its Components for Wheat Grown in Middle Europe. Plant Breed. 1993, 111, 204–216. [Google Scholar] [CrossRef]
- Foulkes, M.J.; Sylvester-Bradley, R.; Worland, A.J.; Snape, J.W. Effects of a Photoperiod-Response Gene Ppd-D1 on Yield Potential and Drought Resistance in UK Winter Wheat. Euphytica 2004, 135, 63–73. [Google Scholar] [CrossRef]
- Gawroński, P.; Ariyadasa, R.; Himmelbach, A.; Poursarebani, N.; Kilian, B.; Stein, N.; Steuernagel, B.; Hensel, G.; Kumlehn, J.; Sehgal, S.K.; et al. A Distorted Circadian Clock Causes Early Flowering and Temperature-Dependent Variation in Spike Development in the Eps-3Am Mutant of Einkorn Wheat. Genetics 2014, 196, 1253–1261. [Google Scholar] [CrossRef]
- Lewis, S.; Faricelli, M.E.; Appendino, M.L.; Valárik, M.; Dubcovsky, J. The Chromosome Region Including the Earliness per Se Locus Eps-A M1 Affects the Duration of Early Developmental Phases and Spikelet Number in Diploid Wheat. J. Exp. Bot. 2008, 59, 3595–3607. [Google Scholar] [CrossRef]
- Ochagavía, H.; Prieto, P.; Savin, R.; Griffiths, S.; Slafer, G.A. Dynamics of Leaf and Spikelet Primordia Initiation in Wheat as Affected by Ppd-1a Alleles under Field Conditions. J. Exp. Bot. 2018, 69, 2621–2631. [Google Scholar] [CrossRef]
- Pérez-Gianmarco, T.I.; Slafer, G.A.; González, F.G. Wheat Pre-Anthesis Development as Affected by Photoperiod Sensitivity Genes (Ppd-1) under Contrasting Photoperiods. Funct. Plant Biol. 2018, 45, 645–657. [Google Scholar] [CrossRef] [PubMed]
- Prieto, P.; Ochagavía, H.; Savin, R.; Griffiths, S.; Slafer, G.A. Physiological Determinants of Fertile Floret Survival in Wheat as Affected by Earliness per Se Genes under Field Conditions. Eur. J. Agron. 2018, 99, 206–213. [Google Scholar] [CrossRef]
- González, F.G.; Slafer, G.A.; Miralles, D.J. Floret Development and Spike Growth as Affected by Photoperiod during Stem Elongation in Wheat. Field Crops Res. 2003, 81, 29–38. [Google Scholar] [CrossRef]
- González, F.G.; Slafer, G.A.; Miralles, D.J. Grain and Floret Number in Response to Photoperiod during Stem Elongation in Fully and Slightly Vernalized Wheats. Field Crops Res. 2003, 81, 17–27. [Google Scholar] [CrossRef]
- Serrago, R.A.; Miralles, D.J.; Slafer, G.A. Floret Fertility in Wheat as Affected by Photoperiod during Stem Elongation and Removal of Spikelets at Booting. Eur. J. Agron. 2008, 28, 301–308. [Google Scholar] [CrossRef]
- Steinfort, U.; Trevaskis, B.; Fukai, S.; Bell, K.L.; Dreccer, M.F. Vernalisation and Photoperiod Sensitivity in Wheat: Impact on Canopy Development and Yield Components. Field Crops Res. 2017, 201, 108–121. [Google Scholar] [CrossRef]
- Wall, P.C.; Cartwright, P.M. Effects of Photoperiod, Temperature and Vernalization on the Phenology and Spikelet Numbers of Spring Wheats. Ann. Appl. Biol. 1974, 76, 299–309. [Google Scholar] [CrossRef]
- Slafer, G.A.; Savin, R.; Sadras, V.O. Coarse and Fine Regulation of Wheat Yield Components in Response to Genotype and Environment. Field Crops Res. 2014, 157, 71–83. [Google Scholar] [CrossRef]
- Würschum, T.; Leiser, W.L.; Langer, S.M.; Tucker, M.R.; Longin, C.F.H. Phenotypic and Genetic Analysis of Spike and Kernel Characteristics in Wheat Reveals Long-Term Genetic Trends of Grain Yield Components. Theor. Appl. Genet. 2018, 131, 2071–2084. [Google Scholar] [CrossRef]
- Slafer, G.A. Differences in Phasic Development Rate amongst Wheat Cultivars Independent of Responses to Photoperiod and Vernalization. A Viewpoint of the Intrinsic Earliness Hypothesis. J. Agric. Sci. 1996, 126, 403–419. [Google Scholar] [CrossRef]
- Araus, J.L.; Slafer, G.A.; Reynolds, M.P.; Royo, C. Plant Breeding and Drought in C3 Cereals: What Should We Breed For? Ann. Bot. 2002, 89, 925–940. [Google Scholar] [CrossRef]
- Richards, R.A. Crop Improvement for Temperate Australia: Future Opportunities. Field Crops Res. 1991, 26, 141–169. [Google Scholar] [CrossRef]
- Bullrich, L.; Appendino, M.L.; Tranquilli, G.; Lewis, S.; Dubcovsky, J. Mapping of a Thermo-Sensitive Earliness per Se Gene on Triticum Monococcum Chromosome 1Am. Theor. Appl. Genet. 2002, 105, 585–593. [Google Scholar] [CrossRef]
- Griffiths, S.; Simmonds, J.; Leverington, M.; Wang, Y.; Fish, L.; Sayers, L.; Alibert, L.; Orford, S.; Wingen, L.; Herry, L.; et al. Meta-QTL Analysis of the Genetic Control of Ear Emergence in Elite European Winter Wheat Germplasm. Theor. Appl. Genet. 2009, 119, 383–395. [Google Scholar] [CrossRef] [PubMed]
- Ochagavía, H.; Prieto, P.; Savin, R.; Griffiths, S.; Slafer, G.A. Earliness per Se Effects on Developmental Traits in Hexaploid Wheat Grown under Field Conditions. Eur. J. Agron. 2018, 99, 214–223. [Google Scholar] [CrossRef]
- Zikhali, M.; Leverington-Waite, M.; Fish, L.; Simmonds, J.; Orford, S.; Wingen, L.U.; Goram, R.; Gosman, N.; Bentley, A.; Griffiths, S. Validation of a 1DL Earliness per Se (Eps) Flowering QTL in Bread Wheat (Triticum Aestivum). Mol. Breed. 2014, 34, 1023–1033. [Google Scholar] [CrossRef] [PubMed]
- Alvarez, M.A.; Tranquilli, G.; Lewis, S.; Kippes, N.; Dubcovsky, J. Genetic and Physical Mapping of the Earliness per Se Locus Eps-A m 1 in Triticum Monococcum Identifies EARLY FLOWERING 3 (ELF3) as a Candidate Gene. Funct. Integr. Genomics 2016, 16, 365–382. [Google Scholar] [CrossRef]
- Fischer, R.A. Understanding the Physiological Basis of Yield Potential in Wheat. J. Agric. Sci. 2007, 145, 99–113. [Google Scholar] [CrossRef]
- Slafer, G.A. Genetic Basis of Yield as Viewed from a Crop Physiologist’s Perspective. Ann. Appl. Biol. 2003, 142, 117–128. [Google Scholar] [CrossRef]
- Halloran, G.M.; Pennell, A.L. Duration and Rate of Development Phases in Wheat in Two Environments. Ann. Bot. 1982, 49, 115–121. [Google Scholar] [CrossRef]
- Abbate, P.E.; Andrade, F.H.; Culot, J.P.; Bindraban, P.S. Grain Yield in Wheat: Effects of Radiation during Spike Growth Period. Field Crops Res. 1997, 54, 245–257. [Google Scholar] [CrossRef]
- Ferrante, A.; Savin, R.; Slafer, G.A. Is Floret Primordia Death Triggered by Floret Development in Durum Wheat? J. Exp. Bot. 2013, 64, 2859–2869. [Google Scholar] [CrossRef] [PubMed]
- González, F.G.; Slafer, G.A.; Miralles, D.J. Pre-Anthesis Development and Number of Fertile Florets in Wheat as Affected by Photoperiod Sensitivity Genes Ppd-D1 and Ppd-B1. Euphytica 2005, 146, 253–269. [Google Scholar] [CrossRef]
- Miralles, D.J.; Richards, R.A. Responses of Leaf and Tiller Emergence and Primordium Initiation in Wheat and Barley to Interchanged Photoperiod. Ann. Bot. 2000, 85, 655–663. [Google Scholar] [CrossRef]
- Prieto, P.; Ochagavía, H.; Savin, R.; Griffiths, S.; Slafer, G.A. Dynamics of Floret Initiation/Death Determining Spike Fertility in Wheat as Affected by Ppd Genes under Field Conditions. J. Exp. Bot. 2018, 69, 2633–2645. [Google Scholar] [CrossRef]
- Snape, J.W.; Butterworth, K.; Whitechurch, E.; Worland, A.J. Waiting for Fine Times: Genetics of Flowering Time in Wheat. Euphytica 2001, 119, 185–190. [Google Scholar] [CrossRef]
- Slafer, G.A.; Rawson, H.M. Intrinsic Earliness and Basic Development Rate Assessed for Their Response to Temperature in Wheat. Euphytica 1995, 83, 175–183. [Google Scholar] [CrossRef]
- Appendino, M.L.; Slafer, G.A. Earliness per Se and Its Dependence upon Temperature in Diploid Wheat Lines Differing in the Major Gene Eps-Am1 Alleles. J. Agric. Sci. 2003, 141, 149–154. [Google Scholar] [CrossRef]
- Ochagavía, H.; Prieto, P.; Zikhali, M.; Griffiths, S.; Slafer, G.A. Earliness Per Se by Temperature Interaction on Wheat Development. Sci. Rep. 2019, 9, 2584. [Google Scholar] [CrossRef]
- Prieto, P.; Ochagavía, H.; Griffiths, S.; Slafer, G.A. Earliness per Se×temperature Interaction: Consequences on Leaf, Spikelet, and Floret Development in Wheat. J. Exp. Bot. 2020, 71, 1956–1968. [Google Scholar] [CrossRef]
- Basavaraddi, P.A.; Savin, R.; Wingen, L.U.; Bencivenga, S.; Przewieslik-Allen, A.M.; Griffiths, S.; Slafer, G.A. Interactions between Two QTLs for Time to Anthesis on Spike Development and Fertility in Wheat. Sci. Rep. 2021, 11, 2451. [Google Scholar] [CrossRef]
- Wingen, L.U.; West, C.; Waite, M.L.; Collier, S.; Orford, S.; Goram, R.; Yang, C.Y.; King, J.; Allen, A.M.; Burridge, A.; et al. Wheat Landrace Genome Diversity. Genetics 2017, 205, 1657–1676. [Google Scholar] [CrossRef]
- Mondal, S.; Singh, R.P.; Mason, E.R.; Huerta-Espino, J.; Autrique, E.; Joshi, A.K. Grain Yield, Adaptation and Progress in Breeding for Early-Maturing and Heat-Tolerant Wheat Lines in South Asia. Field Crops Res. 2016, 192, 78–85. [Google Scholar] [CrossRef] [PubMed]
- Basavaraddi, P.A.; Savin, R.; Bencivenga, S.; Griffiths, S.; Slafer, G.A. Phenology and Floret Development as Affected by the Interaction between Eps-7D and Ppd-D1. Plants 2021, 10, 533. [Google Scholar] [CrossRef]
- Waddington, S.R.; Cartwright, P.M.; Wall, P.C. A Quantitative Scale of Spike Initial and Pistil Development in Barley and Wheat. Ann. Bot. 1983, 51, 119–130. [Google Scholar] [CrossRef]
- Slafer, G.A.; Rawson, H.M. Sensitivity of Wheat Phasic Development to Major Environmental Factors: A Re-Examination of Some Assumptions Made by Physiologists and Modellers. Aust. J. Plant Physiol. 1994, 21, 393–426. [Google Scholar] [CrossRef]
- John, R.P.; Megan, G. Temperatures and the Growth and Development of Wheat: A Review. Eur. J. Agron. 1999, 10, 23–36. [Google Scholar]
- Parent, B.; Tardieu, F. Temperature Responses of Developmental Processes Have Not Been Affected by Breeding in Different Ecological Areas for 17 Crop Species. New Phytol. 2012, 194, 760–774. [Google Scholar] [CrossRef] [PubMed]
- Gillooly, J.F.; Charnov, E.L.; West, G.B.; Savage, V.M.; Brown, J.H. Effect of Size and Temperature on Developmental Time. Nature 2002, 417, 70–73. [Google Scholar] [CrossRef]
- Slafer, G.A.; Rawson, H.M. Phyllochron in Wheat as Affected by Photoperiod under Two Temperature Regimes. Aust. J. Plant Physiol. 1997, 24, 151–158. [Google Scholar] [CrossRef]
- Ochagavía, H.; Prieto, P.; Savin, R.; Griffiths, S.; Slafer, G.A. Duration of Developmental Phases, and Dynamics of Leaf Appearance and Tillering, as Affected by Source and Doses of Photoperiod Insensitivity Alleles in Wheat under Field Conditions. Field Crops Res. 2017, 214, 45–55. [Google Scholar] [CrossRef]
- Miglietta, F. Effect of Photoperiod and Temperature on Leaf Initiation Rates in Wheat (Triticum Spp.). Field Crops Res. 1989, 21, 121–130. [Google Scholar] [CrossRef]
- Langer, S.M.; Longin, C.F.H.; Würschum, T. Flowering Time Control in European Winter Wheat. Front. Plant Sci. 2014, 5, 537. [Google Scholar] [CrossRef]
- Bentley, A.R.; Turner, A.S.; Gosman, N.; Leigh, F.J.; Maccaferri, M.; Dreisigacker, S.; Greenland, A.; Laurie, D.A. Frequency of Photoperiod-Insensitive Ppd-A1a Alleles in Tetraploid, Hexaploid and Synthetic Hexaploid Wheat Germplasm. Plant Breed. 2011, 130, 10–15. [Google Scholar] [CrossRef]
- Shaw, L.M.; Turner, A.S.; Laurie, D.A. The Impact of Photoperiod Insensitive Ppd-1a Mutations on the Photoperiod Pathway across the Three Genomes of Hexaploid Wheat (Triticum Aestivum). Plant J. 2012, 71, 71–81. [Google Scholar] [CrossRef] [PubMed]
- Shaw, L.M.; Turner, A.S.; Herry, L.; Griffiths, S.; Laurie, D.A. Mutant Alleles of Photoperiod-1 in Wheat (Triticum Aestivum L.) That Confer a Late Flowering Phenotype in Long Days. PLoS ONE 2013, 8, e79459. [Google Scholar] [CrossRef] [PubMed]
- Slafer, G.A.; Rawson, H.M. Does Temperature Affect Final Numbers of Primordia in Wheat? Field Crops Res. 1994, 39, 111–117. [Google Scholar] [CrossRef]
- Mosaad, M.G.; Ortiz-Ferrara, G.; Mahalakshmi, V.; Fischer, R.A. Phyllochron Response to Vernalization and Photoperiod in Spring Wheat. Crop Sci. 1995, 35, 168–171. [Google Scholar] [CrossRef]
- Rahman, M.S.; Wilson, J.H. Determination of Spikelet Number in Wheat. III.* Effect of Varying Temperature on Ear Development. Aust. J. Agric. Res. 1978, 29, 459–467. [Google Scholar] [CrossRef]
- Slafer, G.A.; Savin, R. Developmental Base Temperature in Different Phenological Phases of Wheat (Triticum Aestivum). J. Exp. Bot. 1991, 42, 1077–1082. [Google Scholar] [CrossRef]
- Kiss, T.; Dixon, L.E.; Soltész, A.; Bányai, J.; Mayer, M.; Balla, K.; Allard, V.; Galiba, G.; Slafer, G.A.; Griffiths, S.; et al. Effects of Ambient Temperature in Association with Photoperiod on Phenology and on the Expressions of Major Plant Developmental Genes in Wheat (Triticum Aestivum L.). Plant Cell Environ. 2017, 40, 1629–1642. [Google Scholar] [CrossRef]
- Slafer, G.A.; Rawson, H.M. Responses to Photoperiod Change with Phenophase and Temperature during Wheat Development. Field Crops Res. 1996, 46, 1–13. [Google Scholar] [CrossRef]
- Hemming, M.N.; Walford, S.A.; Fieg, S.; Dennis, E.S.; Trevaskis, B. Identification of High-Temperature-Responsive Genes in Cereals. Plant Physiol. 2012, 158, 1439–1450. [Google Scholar] [CrossRef] [PubMed]
- Karsai, I.; Igartua, E.; Casas, A.M.; Kiss, T.; Soós, V.; Balla, K.; Bedo, Z.; Veisz, O. Developmental Patterns of a Large Set of Barley (Hordeum Vulgare) Cultivars in Response to Ambient Temperature. Ann. Appl. Biol. 2013, 162, 309–323. [Google Scholar] [CrossRef]
- González-Navarro, O.E.; Griffiths, S.; Molero, G.; Reynolds, M.P.; Slafer, G.A. Dynamics of Floret Development Determining Differences in Spike Fertility in an Elite Population of Wheat. Field Crops Res. 2015, 172, 21–31. [Google Scholar] [CrossRef]
- Slafer, G.A.; Elia, M.; Savin, R.; García, G.A.; Terrile, I.I.; Ferrante, A.; Miralles, D.J.; González, F.G. Fruiting Efficiency: An Alternative Trait to Further Rise Wheat Yield. Food Energy Secur. 2015, 4, 92–109. [Google Scholar] [CrossRef]
- Prasad, P.V.V.; Bheemanahalli, R.; Jagadish, S.V.K. Field crops and the fear of heat stress-opportunities: Challenges and future directions. Field Crops Res. 2017, 200, 114–121. [Google Scholar] [CrossRef]
- Slafer, G.A.; Savin, R. Can N management affect the magnitude of yield loss due to heat waves in wheat and maize? Curr. Opin. Plant Biol. 2018, 45, 276–283. [Google Scholar] [CrossRef]
- Makowski, D.; Marajo-Petitzon, E.; Durand, J.-L.; Ben-Ari, T. Quantitative synthesis of temperature, CO2, rainfall, and adaptation effects on global crop yields. Eur. J. Agron. 2020, 115, 126041. [Google Scholar] [CrossRef]
- Atkinson, D.; Porter, J.R. Temperature, Plant Development and Crop Yields. Trends Plant Sci. 1996, 1, 119–124. [Google Scholar] [CrossRef]
- Rawson, H.M.; Richards, R.A. Effects of High Temperature and Photoperiod on Floral Development in Wheat Isolines Differing in Vernalisation and Photoperiod Genes. Field Crops Res. 1993, 32, 181–192. [Google Scholar] [CrossRef]
- Haun, J.R. Visual Quantification of Wheat Development. Agron. J. 1973, 65, 116–119. [Google Scholar] [CrossRef]
- Zadoks, J.C.; Chang, T.T.; Konzak, C.F. A Decimal Code for the Growth Stages of Cereals. Weed Res. 1974, 14, 415–421. [Google Scholar] [CrossRef]





| Growing Conditions | Allele at Eps-7D | FLN | RLA (Leaves d−1) | r2 | |
|---|---|---|---|---|---|
| Long day | 18 °C | Late | 6.2 ± 0.1 | 0.142 ± 0.003 | 0.953 *** |
| Early | 6.0 ± 0.0 | 0.149 ± 0.005 | 0.923 *** | ||
| 15 °C | Late | 6.0 ± 0.0 | 0.122 ± 0.001 | 0.986 *** | |
| Early | 6.0 ± 0.0 | 0.131 ± 0.001 | 0.983 *** | ||
| 9 °C | Late | 6.0 ± 0.0 | 0.083 ± 0.001 | 0.980 *** | |
| Early | 6.0 ± 0.0 | 0.083 ± 0.001 | 0.968 *** | ||
| Short day | 18 °C | Late | 7.0 ± 0.0 | 0.126 ± 0.001 | 0.983 *** |
| Early | 6.6 ± 0.1 | 0.130 ± 0.002 | 0.975 *** | ||
| 15 °C | Late | 7.0 ± 0.0 | 0.083 ± 0.001 | 0.985 *** | |
| Early | 6.9 ± 0.1 | 0.087 ± 0.001 | 0.984 *** | ||
| 9 °C | Late | 6.7 ± 0.2 | 0.066 ± 0.001 | 0.959 *** | |
| Early | 6.1 ± 0.1 | 0.072 ± 0.001 | 0.977 *** | ||
Publisher’s Note: MDPI stays neutral with regard to jurisdictional claims in published maps and institutional affiliations. |
© 2021 by the authors. Licensee MDPI, Basel, Switzerland. This article is an open access article distributed under the terms and conditions of the Creative Commons Attribution (CC BY) license (http://creativecommons.org/licenses/by/4.0/).
Share and Cite
Basavaraddi, P.A.; Savin, R.; Bencivenga, S.; Griffiths, S.; Slafer, G.A. Wheat Developmental Traits as Affected by the Interaction between Eps-7D and Temperature under Contrasting Photoperiods with Insensitive Ppd-D1 Background. Plants 2021, 10, 547. https://doi.org/10.3390/plants10030547
Basavaraddi PA, Savin R, Bencivenga S, Griffiths S, Slafer GA. Wheat Developmental Traits as Affected by the Interaction between Eps-7D and Temperature under Contrasting Photoperiods with Insensitive Ppd-D1 Background. Plants. 2021; 10(3):547. https://doi.org/10.3390/plants10030547
Chicago/Turabian StyleBasavaraddi, Priyanka A., Roxana Savin, Stefano Bencivenga, Simon Griffiths, and Gustavo A. Slafer. 2021. "Wheat Developmental Traits as Affected by the Interaction between Eps-7D and Temperature under Contrasting Photoperiods with Insensitive Ppd-D1 Background" Plants 10, no. 3: 547. https://doi.org/10.3390/plants10030547
APA StyleBasavaraddi, P. A., Savin, R., Bencivenga, S., Griffiths, S., & Slafer, G. A. (2021). Wheat Developmental Traits as Affected by the Interaction between Eps-7D and Temperature under Contrasting Photoperiods with Insensitive Ppd-D1 Background. Plants, 10(3), 547. https://doi.org/10.3390/plants10030547

