Secondary Somatic Embryogenesis in Centaurium erythraea Rafn
Abstract
1. Introduction
2. Results
2.1. Induction of Primary SE from C. erythraea Leaf Explants and the Experimental Setup
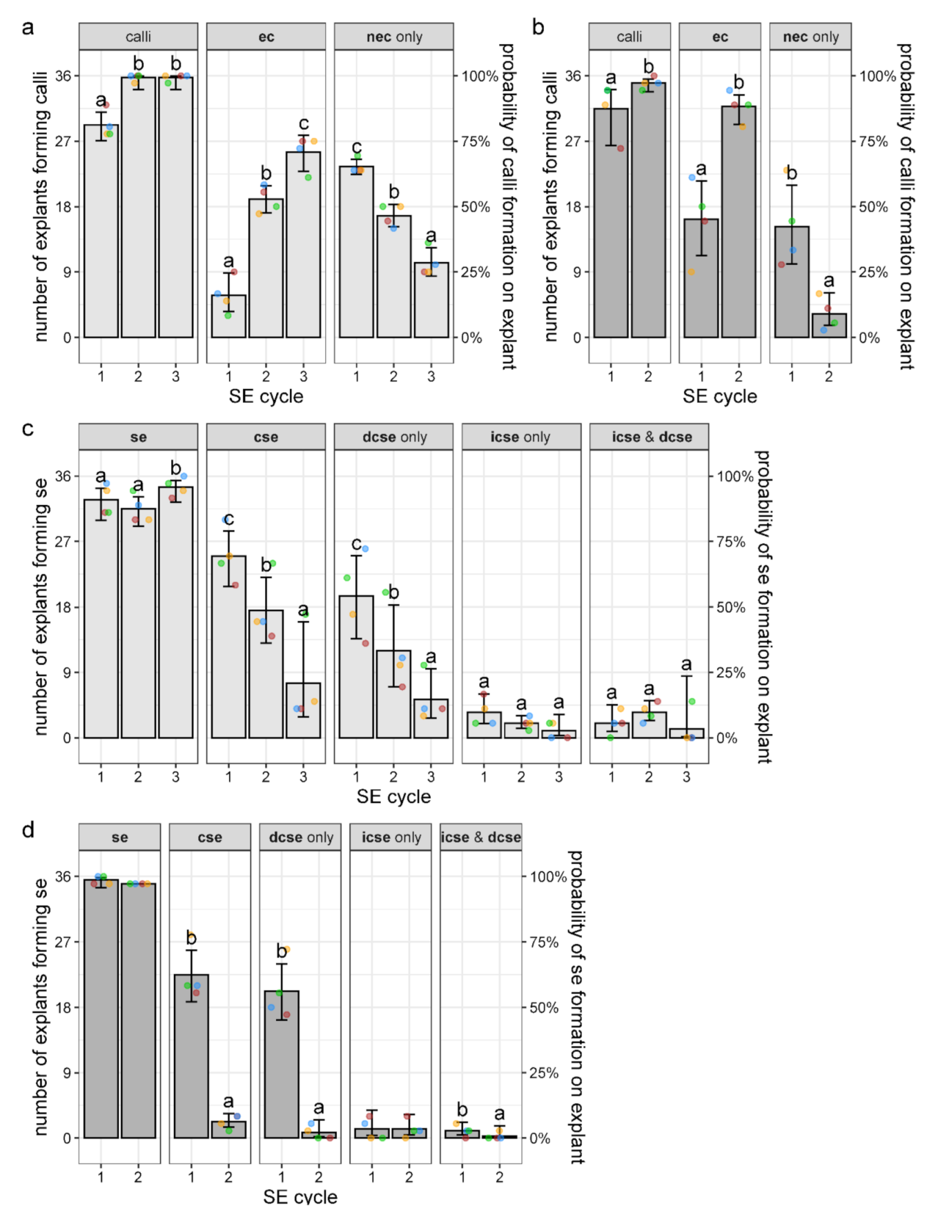
2.2. Induction of Secondary SE
2.3. Histology of the Secondary SE
2.4. The Effect of 2,4-D and CPPU on the Induction of Secondary SE
2.5. Induction of Cyclic SE
2.6. Germination of Secondary Somatic Embryos
3. Discussion
4. Materials and Methods
4.1. Plant Material
4.2. Induction of Primary SE
4.3. Induction of Secondary SE
4.4. Induction of Cyclic SE
4.5. Germination of Somatic Embryos
4.6. Histological Analysis
4.7. Data Collecting and Statistical Analysis
Author Contributions
Funding
Data Availability Statement
Conflicts of Interest
References
- Schouppe, D.; Rein, B.; Vallejo-Marin, M.; Jacquemyn, H. Geographic variation in floral traits and the capacity of autonomous selfing across allopatric and sympatric populations of two closely related Centaurium species. Sci. Rep. 2017, 7, 46410. [Google Scholar] [CrossRef]
- Schat, H.; Ouborg, J.; de Wit, R. Life history and plant architecture: Size-dependent reproductive allocation in annual and biennial Centaurium species. Acta Bot. Neerl. 1989, 38, 183–201. [Google Scholar] [CrossRef]
- Tuluce, Y.; Ozkol, H.; Koyuncu, I.; Ine, H. Gastroprotective effect of small centaury (Centaurium erythraea L.) on aspirin-induced gastric damage in rats. Toxicol. Ind. Health 2011, 27, 760–768. [Google Scholar] [CrossRef] [PubMed]
- Mroueh, M.; Saab, Y.; Rizkallah, R. Hepatoprotective activity of Centaurium erythraea on acetaminophen-induced hepatotoxicity in rats. Phytother. Res. 2004, 18, 431–433. [Google Scholar] [CrossRef] [PubMed]
- Valentao, P.; Andrade, P.B.; Silva, E.; Vicente, A.; Santos, H.; Bastos, M.L.; Seabra, R.M. Methoxylated xanthones in the quality control of small centaury (Centaurium erythraea) flowering tops. J. Agr. Food Chem. 2002, 50, 460–463. [Google Scholar] [CrossRef]
- Subotiċ, A.; Jankoviċ, T.; Jevremoviċ, S.; Grubišiċ, D. Plant Tissue Culture and Secondary Metabolites Productions of Centaurium erythraea Rafn., a Medical plant. In Floriculture, Ornamental and Plant Biotechnology: Advances and Topical Issues, 1st ed.; Teixeira da Silva, J.A., Ed.; Global Science Books: London, UK, 2006; Volume 2, pp. 564–570. [Google Scholar]
- Šiler, B.; Živković, S.; Banjanac, T.; Cvetković, J.; Nestorović-Živković, J.; Ćirić, A.; Soković, M.; Mišić, D. Centauries as underestimated food additives: Antioxidant and antimicrobial potential. Food Chem. 2014, 147, 367–376. [Google Scholar] [CrossRef]
- Jovanović, O.; Radulović, N.; Stojanović, G.; Palić, R.; Zlatković, B.; Gudžić, B. Chemical composition of the essential oil of Centaurium erythraea Rafn (Gentianaceae) from Serbia. J. Essent. Oil Res. 2009, 21, 317–322. [Google Scholar] [CrossRef]
- Kirbag, S.; Zengin, F.; Kursat, M. Antimicrobial activities of extracts of some plants. Pak. J. Bot. 2009, 41, 2067–2070. [Google Scholar]
- Đorđević, M.; Grdović, N.; Mihailović, M.; Arambašić-Jovanović, J.; Uskoković, A.; Rajić, J.; Đordjević, M.; Tolić, A.; Mišić, D.; Šiler, B.; et al. Centaurium erythraea methanol extract protects red blood cells from oxidative damage in streptozotocin-induced diabetic rats. J. Ethnopharmacol. 2017, 202, 172–183. [Google Scholar] [CrossRef]
- Hamza, N.; Berke, B.; Cheze, C.; Agli, A.N.; Robinson, P.; Gin, H.; Moore, N. Prevention of type 2 diabetes induced by high fat diet in the C57BL/6J mouse by two medicinal plants used in traditional treatment of diabetes in the east of Algeria. J. Ethnopharmacol. 2010, 128, 513–518. [Google Scholar] [CrossRef]
- Đorđević, M.; Grdović, N.; Mihailović, M.; Jovanović, J.A.; Uskoković, A.; Rajić, J.; Sinadinović, M.; Tolić, A.; Mišić, D.; Šiler, B.; et al. Centaurium erythraea extract improves survival and functionality of pancreatic beta-cells in diabetes through multiple routes of action. J. Ethnopharmacol. 2019, 242, 112043. [Google Scholar] [CrossRef] [PubMed]
- Filipović, B.K.; Simonović, A.D.; Trifunović, M.M.; Dmitrović, S.S.; Savić, J.M.; Jevremović, S.B.; Subotić, A.R. Plant regeneration in leaf culture of Centaurium erythraea Rafn. Part 1: The role of antioxidant enzymes. Plant Cell Tissue Organ. Cult. 2015, 121, 703–719. [Google Scholar] [CrossRef]
- Simonović, A.D.; Trifunović-Momčilov, M.M.; Filipović, B.K.; Marković, M.P.; Bogdanović, M.D.; Subotić, A.R. Somatic Embryogenesis in Centaurium erythraea Rafn—Current Status and Perspectives: A Review. Plants 2021, 10, 70. [Google Scholar] [CrossRef] [PubMed]
- Quiroz-Figueroa, F.R.; Rafael, R.H.; Galaz-Avalos, R.M.; Loyola-Vargas, V.M. Embryo production through somatic embryogenesis can be used to study cell differentiation in plants. Plant Cell Tissue Organ. Cult. 2006, 86, 258–301. [Google Scholar] [CrossRef]
- Karami, O.; Aghavaisi, B.; Pour, A.M. Molecular aspects of somatic-to-embryogenic transition in plants. J. Chem. Biol. 2009, 2, 177–190. [Google Scholar] [CrossRef]
- Fehér, A. Somatic embryogenesis—Stress-induced remodeling of plant cell fate. Biochim. Biophys. Acta 2015, 1849, 385–402. [Google Scholar] [CrossRef]
- Raemakers, C.J.J.M.; Jacobsen, E.; Visser, R.G.F. Secondary somatic embryogenesis and applications in plant breeding. Euphytica 1995, 81, 93–107. [Google Scholar] [CrossRef]
- Guan, Y.; Li, S.G.; Fan, X.F.; Su, Z.H. Application of somatic embryogenesis in woody plants. Front. Plant Sci. 2016, 7, 938. [Google Scholar] [CrossRef]
- Giri, C.C.; Shyamkumar, B.; Anjaneyulu, C. Progress in tissue culture, genetic transformation and applications of biotechnology to trees: An overview. Trees 2004, 18, 115–135. [Google Scholar] [CrossRef]
- Engelmann, F. Use of biotechnologies for the conservation of plant biodiversity. Vitro Cell Dev. Biol. Plant 2011, 47, 5–16. [Google Scholar] [CrossRef]
- Ibáñez, S.; Carneros, E.; Testillano, P.S.; Pérez-Pérez, J.M. Advances in Plant Regeneration: Shake, Rattle and Roll. Plants 2020, 9, 897. [Google Scholar] [CrossRef] [PubMed]
- Altamura, M.; Della Rovere, F.; Fattorini, L.; D’Angeli, S.; Falasca, G. Recent Advances on Genetic and Physiological Bases of In Vitro Somatic Embryo Formation. In In Vitro Embryogenesis in Higher Plants, 1st ed.; Germana, M., Lambardi, M., Eds.; Humana Press-Springer: New York, NY, USA, 2016; Volume 1359, pp. 47–85. [Google Scholar] [CrossRef]
- Loyola-Vargas, V.; Ochoa-Alejo, N. Somatic embryogenesis. An overview. In Somatic Embryogenesis: Fundamental Aspects and Applications, 1st ed.; Loyola-Vargas, V., Ochoa-Alejo, N., Eds.; Springer International Publishing: Cham, Switzerland, 2016; pp. 1–8. [Google Scholar] [CrossRef]
- Tomiczak, K.; Mikuła, A.; Niedziela, A.; Wójcik-Lewandowska, A.; Domżalska, L.; Rybczyński, J.J. Somatic embryogenesis in the family Gentianaceae and its biotechnological application. Front. Plant Sci. 2019, 10, 762. [Google Scholar] [CrossRef] [PubMed]
- Fehér, A. The initiation phase of somatic embryogenesis: What we know and what we don’t. Acta Biol. Szeged. 2008, 52, 53–56. [Google Scholar]
- Jiménez, V.M.; Bangerth, F. Endogenous hormone levels in explants and in embryogenic and non-embryogenic cultures of carrot. Phys. Plant 2001, 111, 389–395. [Google Scholar] [CrossRef] [PubMed]
- Vondráková, Z.; Krajňáková, J.; Fischerová, L.; Vágner, M.; Eliášová, K. Physiology and role of plant growth regulators in somatic embryogenesis. In Vegetative Propagation of Forest Trees; Park, Y.S., Bonga, J.M., Moon, H.K., Eds.; National Institute of Forest Science: Seoul, Korea, 2016; pp. 123–169. [Google Scholar]
- Fiuk, A.; Rybczynski, J.J. Genotype and plant growth regulator dependent response of somatic embryogenesis from Gentiana spp. leaf explants. Vitro Cell Dev. Biol. Plant 2008, 44, 90–99. [Google Scholar] [CrossRef]
- Cantelmo, L.; Soares, B.O.; Rocha, L.P.; Pettinelli, J.A.; Callado, C.H.; Mansur, E.; Casteller, A.; Gagliardi, R.F. Repetitive somatic embryogenesis from leaves of the medicinal plant Petiveria alliacea L. Plant Cell Tissue Organ. Cult. 2013, 115, 385–393. [Google Scholar] [CrossRef]
- Yang, X.; Lu, J.; Teixeira da Silva, J.M.; Ma, G. Somatic embryogenesis and shoot organogenesis from leaf explants of Primulina tabacum. Plant Cell Tissue Organ. Cult. 2012, 109, 213–221. [Google Scholar] [CrossRef]
- You, C.R.; Fan, T.J.; Gong, X.Q.; Bian, F.H.; Liang, L.K.; Qu, F.N. A high-frequency cyclic secondary somatic embryogenesis systemfor Cyclamen persicum Mill. Plant Cell Tissue Organ. Cult. 2011, 107, 233–242. [Google Scholar] [CrossRef]
- Szewczyk-Taranek, B.; Pawłowska, B. Recurrent somatic embryogenesis and plant regeneration from seedlings of Hepatica nobilis Schreb. Plant Cell Tissue Organ. Cult. 2015, 120, 1203–1207. [Google Scholar] [CrossRef][Green Version]
- Lelu-Walter, M.A.; Gautier, F.; Eliášová, K.; Sanchez, L.; Teyssier, C.; Lomenech, A.M.; Le Mette, C.; Hargreaves, C.; Trontin, J.F.; Reeves, C. High gellan gum concentration and secondary somatic embryogenesis: Two key factors to improve somatic embryo development in Pseudotsuga menziesii [Mirb.]. Plant Cell Tissue Organ. Cult. 2018, 132, 137–155. [Google Scholar] [CrossRef]
- Zou, S.; Yao, X.; Zhong, C.; Shuaiyu, Z.; Xiaohong, Y.; Caihong, Z.; Dawei, L.; Zupeng, W.; Hongwen, H. Recurrent somatic embryogenesis and development of somatic embryos in Akebia trifoliata (Thunb.) Koidz (Lardizabalaceae). Plant Cell Tiss Organ. Cult. 2019, 139, 493–504. [Google Scholar] [CrossRef]
- Pires, R.; Cardoso, H.; Ribeiro, A.; Peixe, A.; Cordeiro, A. Somatic embryogenesis from mature embryos of Olea europaea L. cv. ‘Galega Vulgar’ and long-term management of calli morphogenic capacity. Plants 2020, 9, 758. [Google Scholar] [CrossRef] [PubMed]
- Ji, W.; Luo, Y.; Guo, R.; Li, X.; Zhou, Q.; Ma, X.; Wang, Y. Abnormal Somatic Embryo Reduction and Recycling in Grapevine Regeneration. J. Plant Growth Regul. 2017, 36, 912–918. [Google Scholar] [CrossRef]
- Karami, O.; Deljou, A.; Kordestani, G.K. Secondary somatic embryogenesis of carnation (Dianthus caryophyllus L.). Plant Cell Tiss. Organ. Cult. 2008, 92, 273–280. [Google Scholar] [CrossRef]
- Klimaszewska, K.; Noceda, C.; Pelletier, G.; Label, P.; Rodriguez, R.; Lelu-Walter, M.-A. Biological characterization of young and aged embryogenic cultures of Pinus pinaster (Ait.). In Vitro Cell Dev. Biol. Plant 2009, 45, 20–33. [Google Scholar] [CrossRef]
- Pila Quinga, L.A.; Pacheco de Freitas Fraga, H.; do Nascimento Vieira, L.; Guerra, M.P. Epigenetics of long-term somatic embryogenesis in Theobroma cacao L.: DNA methylation and recovery of embryogenic potential. Plant Cell Tissue Organ. Cult. 2017, 131, 295–305. [Google Scholar] [CrossRef]
- Barešová, H.; Kamínek, M. Light induce embryogenesis in suspension culture of Centaurium erythraea. In International Symposium Plant Tissue and Cell Culture Application to Crop Improvement; Novák, F.J., Havel, L., Doležel, J., Eds.; Czechoslovak Academy of Sciences: Prague, Czechoslovakia, 1984; pp. 163–164. [Google Scholar]
- Subotić, A.; Budimir, S.; Grubišić, D.; Momčilović, I. Direct regeneration of shoots from hairy root cultures of Centaurium erythraea inoculated with Agrobacterium rhizogenes. Biol. Plantarum. 2003, 47, 617–619. [Google Scholar] [CrossRef]
- Subotić, A.; Grubišić, D. Histological analysis of somatic embryogenesis and adventitious formation from root explants of Centaurium erythreae Gillib. Biol. Plant 2007, 51, 514–516. [Google Scholar] [CrossRef]
- Subotić, A.; Jevremović, S.; Grubišić, D. Influence of cytokinins on in vitro morphogenesis in root cultures of Centaurium erythraea—valuable medicinal plant. Sci. Hortic. 2009, 120, 386–390. [Google Scholar] [CrossRef]
- Subotić, A.; Jevremović, S.; Grubišić, D.; Janković, T. Spontaneous plant regeneration and production of secondary metabolites from hairy root cultures of Centaurium erythraea Rafn. In Protocols for In Vitro Cultures and Secondary Metabolite Analysis of Aromatic and Medicinal Plants, Methods in Molecular Biology; Jain, S.M., Saxena, P.K., Eds.; Springer: Berlin/Heidelberg, Germany, 2009; Volume 547, pp. 205–215. [Google Scholar] [CrossRef]
- Simonović, A.D.; Filipović, B.K.; Trifunović, M.M.; Malkov, S.N.; Milinković, V.P.; Jevremović, S.B.; Subotić, A.R. Plant regeneration in leaf culture of Centaurium erythraea Rafn. Part 2: The role of arabinogalactan proteins. Plant Cell Tissue Organ. Cult. 2015, 121, 721–739. [Google Scholar] [CrossRef]
- Ćuković, K.; Dragićević, M.; Bogdanović, M.; Paunović, D.; Giurato, G.; Filipović, B.; Subotić, A.; Todorović, S.; Simonović, A. Plant regeneration in leaf culture of Centaurium erythraea Rafn. Part 3: De novo transcriptome assembly and validation of housekeeping genes for studies of in vitro morphogenesis. Plant Cell Tissue Organ. Cult. 2020, 1–17. [Google Scholar] [CrossRef]
- Baker, C.M.; Wetzstein, H.Y. Repetitive somatic embryogenesis in peanut cotyledon cultures by continual exposure to 2,4-D. Plant Cell Tissue Organ. Cult. 1995, 40, 249–254. [Google Scholar] [CrossRef]
- Chávez-Cortazar, A.; Mata-Rosas, M.; Oyama, K.; Samain, M.S.; Quesada, M. Induction of somatic embryogenesis and evaluation of genetic stability in regenerated plants of Magnolia dealbata. Biol. Plant 2020, 64, 224–233. [Google Scholar] [CrossRef]
- Aalifar, M.; Arab, M.; Aliniaeifard, S.; Dianati, S.; Mehrjerdi, M.Z.; Limpens, E.; Serek, M. Embryogenesis efficiency and genetic stability of Dianthus caryophyllus embryos in response to different light spectra and plant growth regulators. Plant Cell Tissue Organ. Cult. 2019, 139, 479–492. [Google Scholar] [CrossRef]
- Fiore, S.; De Pasquale, F.; Carimi, F.; Sajeva, M. Effect of 2,4-D and 4-CPPU on somatic embryogenesis from stigma and style transverse thin cell layers of Citrus. Plant Cell Tissue Organ. Cult. 2002, 68, 57–63. [Google Scholar] [CrossRef]
- Zhang, Q.; Chen, J.; Henny, R.J. Direct somatic embryogenesis and plant regeneration from leaf, petiole, and stem explants of Golden Pothos. Plant Cell Rep. 2005, 23, 587–595. [Google Scholar] [CrossRef]
- Nakano, M.; Sakakibara, T.; Watanabe, Y.; Mii, M. Establishment of embryogenic cultures in several cultivars of Vitis vinifera and V. x labruscana. Vitis 1997, 36, 141–145. [Google Scholar]
- Little, E.L.; Magbanua, Z.V.; Parrott, W.A. A protocol for repetitive somatic embryogenesis from mature peanut epicotyls. Plant Cell Rep. 2000, 19, 351–357. [Google Scholar] [CrossRef]
- Pavlović, S.; Vinterhalter, B.; Zdravković-Korać, S.; Zdravković, J.; Cvikić, D.; Mitić, N. Recurrent somatic embryogenesis and plant regeneration from immature zygotic embryos of cabbage (Brassica oleracea var. capitata) and cauliflower (Brassica oleracea var. botrytis). Plant Cell Tissue Organ. Cult. 2013, 113, 397–406. [Google Scholar] [CrossRef]
- Chen, J.T.; Hong, P.I. Cellular origin and development of secondary somatic embryos in Oncidium leaf cultures. Biol. Plant 2012, 56, 215–220. [Google Scholar] [CrossRef]
- Corredoira, E.; Ballester, A.; Vieitez, A.M. Proliferation, Maturation and Germination of Castanea sativa Mill. Somatic Embryos Originated from Leaf Explants. Ann. Bot 2003, 92, 129–136. [Google Scholar] [CrossRef] [PubMed]
- Opabode, J.T.; Akinyemiju, O.A.; Ayeni, O.O. Plant Regeneration via Somatic Embryogenesis from Immature Leaves in Tetrapleura tetraptera (Schum. & Thonn.) Taub. Arch. Biol. Sci. 2011, 63, 1135–1145. [Google Scholar] [CrossRef]
- Gaj, M.D. Factors influencing somatic embryogenesis induction and plant regeneration with particular reference to Arabidopsis thaliana (L.) Heynh. Plant Growth Regul. 2004, 43, 27–47. [Google Scholar] [CrossRef]
- Puigderrajols, P.; Mir, G.; Molinas, M. Ultrastructure of early secondary embryogenesis by multicellular and unicellular pathways in cork oak (Quercus suber L.). Ann. Bot 2001, 87, 179–189. [Google Scholar] [CrossRef]
- Grzyb, M.; Kalandyk, A.; Mikuła, A. Effect of TIBA, fluridone and salicylic acid on somatic embryogenesis and endogenous hormone and sugar contents in the tree fern Cyathea delgadii Sternb. Acta Physiol. Plant 2018, 40, 1. [Google Scholar] [CrossRef]
- Williams, E.; Maheswaran, G.G. Somatic Embryogenesis: Factors Influencing Coordinated Behaviour of Cells as an Embryogenic Group. Ann. Bot. 1986, 57, 443–462. [Google Scholar] [CrossRef]
- Fernández-Da Silva, R.; Hermoso-Gallardo, L.; Menéndez-Yuffá, A. Primary and secondary somatic embryogenesis in leaf sections and cell suspensions of Coffea arabica cv. Catimor. Interciencia 2005, 30, 694–698. Available online: https://www.redalyc.org/articulo.oa?id=33911006 (accessed on 16 January 2021).
- Chitra Devi, B.; Narmathabai, V. Somatic embryogenesis in the medicinal legume Desmodium motorium (Houtt.) Merr. Plant Cell Tiss Organ. Cult. 2011, 106, 409–418. [Google Scholar] [CrossRef]
- Nair, R.R.; Dutta Gupta, S. High-frequency plant regeneration through cyclic secondary somatic embryogenesis in black pepper (Piper nigrum L.). Plant Cell Rep. 2006, 24, 699–707. [Google Scholar] [CrossRef]
- Ćalić, D.; Zdravković-Korać, S.; Radojević, L. Secondary embryogenesis in androgenic embryo cultures of Aesculus hippocastanum L. Biol. Plant 2005, 49, 435–438. [Google Scholar] [CrossRef]
- Garcia, C.; de Almeida, A.A.F.; Costa, M.; Britto, D.; Valle, R.; Royaert, S.; Marelli, J.P. Abnormalities in somatic embryogenesis caused by 2,4-D: An overview. Plant Cell Tiss Organ. Cult. 2019, 137, 193–212. [Google Scholar] [CrossRef]
- Mazri, M.A.; Naciri, R.; Belkoura, I. Maturation and Conversion of Somatic Embryos Derived from Seeds of Olive (Olea europaea L.) cv. Dahbia: Occurrence of Secondary Embryogenesis and Adventitious Bud Formation. Plants 2020, 9, 1489. [Google Scholar] [CrossRef] [PubMed]
- Remakanthan, A.; Menon, T.G.; Soniya, E.V. Somatic embryogenesis in banana (Musa acuminata AAA cv. Grand Naine): Effect of explant and culture conditions. Vitro Cell Dev. Biol. Plant 2014, 50, 127–136. [Google Scholar] [CrossRef]
- Ali, M.; Mujib, A.; Tonk, D.; Zafar, N. Plant regeneration through somatic embryogenesis and genome size analysis of Coriandrum sativum L. Protoplasma 2017, 254, 343–352. [Google Scholar] [CrossRef] [PubMed]
- Gao, F.; Pen, C.X.; Wang, H.; Shen, H.L.; Yand, L. Selection of culture conditions for callus induction and proliferation by somatic embryogenesis of Pinus koraiensis. J. For. Res. 2020. [Google Scholar] [CrossRef]
- Murashige, T.; Skoog, F. A revised medium for rapid growth and bioassays with tobacco tissue cultures. Physiol. Plant 1962, 15, 473–479. [Google Scholar] [CrossRef]
- Johansen, D.A. Plant Microtechnique; McGraw-Hill Book Co.: New York, NY, USA, 1940; Volume 3. [Google Scholar]
- R Core Team. R: A Language and Environment for Statistical Computing; R Foundation for Statistical Computing: Vienna, Austria, 2020; Available online: https://www.R-project.org/Version4.02 (accessed on 16 January 2021).
- Lenth, R. Emmeans: Estimated Marginal Means, aka Least-Squares Means. R Package Version 1.5.2-1. 2020. Available online: https://CRAN.R-project.org/package=emmeans (accessed on 16 January 2021).
- Halekoh, U.; Højsgaard, S.; Yan, J. The R Package Geepack for Generalized Estimating Equations. J. Stat. Softw. 2006, 15, 1–11. Available online: http://hdl.handle.net/10.18637/jss.v015.i02 (accessed on 16 January 2021). [CrossRef]








| 2,4-D [mg l−1] | CPPU [mg l−1] | cse Per Explant |
|---|---|---|
| 0 | 0 | 1.43 ± 0.44 a |
| 0.1 | 0 | 1.18 ± 0.37 a |
| 0.1 | 0.1 | 1.61 ± 0.54 a |
| 0.1 | 0.25 | 3.28 ± 0.71 b |
| 0.1 | 0.5 | 3.87 ± 0.50 b |
Publisher’s Note: MDPI stays neutral with regard to jurisdictional claims in published maps and institutional affiliations. |
© 2021 by the authors. Licensee MDPI, Basel, Switzerland. This article is an open access article distributed under the terms and conditions of the Creative Commons Attribution (CC BY) license (http://creativecommons.org/licenses/by/4.0/).
Share and Cite
Bogdanović, M.D.; Ćuković, K.B.; Subotić, A.R.; Dragićević, M.B.; Simonović, A.D.; Filipović, B.K.; Todorović, S.I. Secondary Somatic Embryogenesis in Centaurium erythraea Rafn. Plants 2021, 10, 199. https://doi.org/10.3390/plants10020199
Bogdanović MD, Ćuković KB, Subotić AR, Dragićević MB, Simonović AD, Filipović BK, Todorović SI. Secondary Somatic Embryogenesis in Centaurium erythraea Rafn. Plants. 2021; 10(2):199. https://doi.org/10.3390/plants10020199
Chicago/Turabian StyleBogdanović, Milica D., Katarina B. Ćuković, Angelina R. Subotić, Milan B. Dragićević, Ana D. Simonović, Biljana K. Filipović, and Slađana I. Todorović. 2021. "Secondary Somatic Embryogenesis in Centaurium erythraea Rafn" Plants 10, no. 2: 199. https://doi.org/10.3390/plants10020199
APA StyleBogdanović, M. D., Ćuković, K. B., Subotić, A. R., Dragićević, M. B., Simonović, A. D., Filipović, B. K., & Todorović, S. I. (2021). Secondary Somatic Embryogenesis in Centaurium erythraea Rafn. Plants, 10(2), 199. https://doi.org/10.3390/plants10020199

