Characterization of Maize Hybrids (Zea mays L.) for Detecting Salt Tolerance Based on Morpho-Physiological Characteristics, Ion Accumulation and Genetic Variability at Early Vegetative Stage
Abstract
:1. Introduction
2. Materials and Methods
2.1. Plant Materials and Growth Conditions
2.2. Morphological Measurements
2.3. Physiological Measurements
2.4. K+ and Na+ Analysis
2.5. Statistical Analysis
3. Results
3.1. Variability in Cultivars and Traits
3.2. Clustering of Cultivars and Traits Based on STI
3.3. Cluster Means of Traits under Control and Salt Treatments
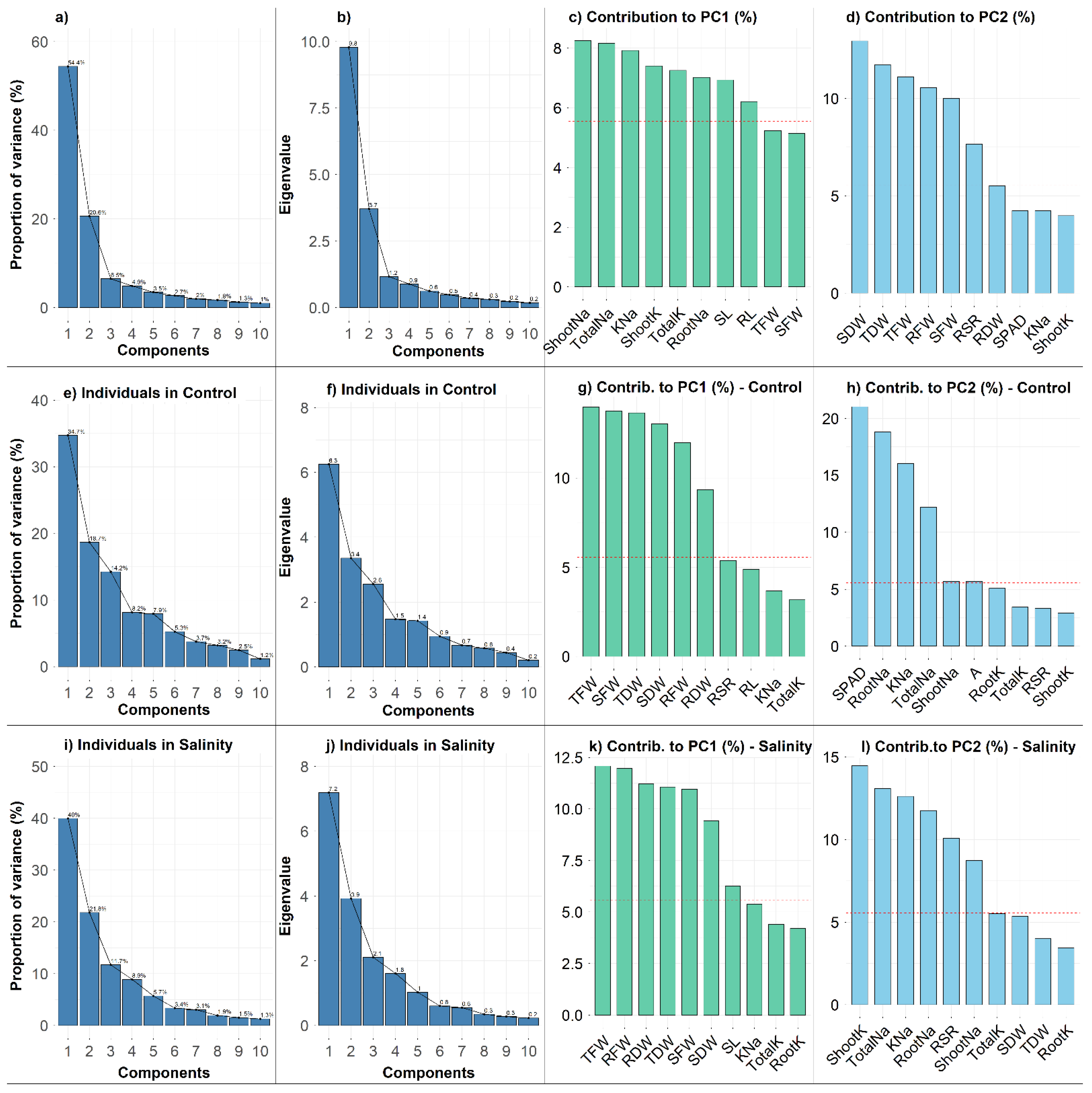
3.4. Principal Component Analysis (PCA)
3.5. Correlation of Traits
3.6. Genetic Variability, Heritability and Genetic Advance
4. Discussion
5. Conclusions
Supplementary Materials
Author Contributions
Funding
Institutional Review Board Statement
Informed Consent Statement
Data Availability Statement
Acknowledgments
Conflicts of Interest
References
- Singhal, R.K.; Saha, D.; Skalicky, M.; Mishra, U.N.; Chauhan, J.; Behera, L.P.; Lenka, D.; Chand, S.; Kumar, V.; Dey, P.; et al. Crucial cell signaling compounds cross-talk and integrative multi-omics techniques for salinity stress tolerance in plants. Front. Plant Sci. 2021, 12, 1227. [Google Scholar] [CrossRef] [PubMed]
- Shahzad, H.; Ullah, S.; Iqbal, M.; Bilal, H.M.; Shah, G.M.; Ahmad, S.; Zakir, A.; Ditta, A.; Farooqi, M.A.; Ahmad, I. Salinity types and level-based effects on the growth, physiology and nutrient contents of maize (Zea mays). Ital. J. Agron. 2019, 14, 199–207. [Google Scholar] [CrossRef] [Green Version]
- Zahra, N.; Mahmood, S.; Raza, Z.A. Salinity stress on various physiological and biochemical attributes of two distinct maize (Zea mays L.) genotypes. J. Plant Nutr. 2018, 41, 1368–1380. [Google Scholar] [CrossRef]
- Roy, R.C.; Sagar, A.; Tajkia, J.E.; Razzak, M.A.; Hossain, A.K.M.Z. Effect of salt stress on growth of sorghum germplasms at vegetative stage. J. Bangladesh Agric. Univ. 2018, 16, 67–72. [Google Scholar] [CrossRef] [Green Version]
- Munns, R. Genes and salt tolerance: Bringing them together. New Phytol. 2005, 167, 645–663. [Google Scholar] [CrossRef]
- Jamil, A.; Riaz, S.; Ashraf, M.; Foolad, M.R. Gene expression profiling of plants under salt stress. Critc. Rev. Plant Sci. 2011, 30, 435–458. [Google Scholar] [CrossRef]
- Ahsan, M. Soil Resource Development Institute, Bangladesh; Soil Resource Development Institute: Dhaka, Bangladesh, 2010. [Google Scholar]
- Dasgupta, S.; Hossain, M.M.; Huq, M.; Wheeler, D. Climate Change, Soil Salinity, and the Economics of High-Yield Rice Production in Coastal Bangladesh; World Bank Group: Dhaka, Bangladesh, 2014. [Google Scholar]
- IWM Salinity in the South West Region of Bangladesh. Institute of Water Modeling, Bangladesh. Annual Report. 2014. Available online: https://www.iwmbd.org/publication/annual_report/pdf/annual_report_2013.pdf (accessed on 19 November 2021).
- AbdElgawad, H.; Zinta, G.; Hegab, M.M.; Pandey, R.; Asard, H.; Abuelsoud, W. High salinity induces different oxidative stress and antioxidant responses in maize seedlings organs. Front. Plant Sci. 2016, 7, 276. [Google Scholar] [CrossRef] [PubMed] [Green Version]
- Ditta, A. Salt tolerance in cereals: Molecular mechanisms and applications. In Molecular Stress Phsyiology of Plants; Rout, G., Das, A., Eds.; Springer: New Delhi, India, 2013; pp. 133–154. [Google Scholar] [CrossRef]
- Patel, D.; Saraf, M. Influence of soil ameliorants and microflora on induction of antioxidant enzymes and growth promotion of Jatropha curcas L. under saline condition. Eur. J. Soil Biol. 2013, 55, 47–54. [Google Scholar] [CrossRef]
- Liu, L.; Nakamura, Y.; Taliman, N.A.; EL Sabagh, A.; Moghaieb, R.E.; Saneoka, H. Differences in the Growth and Physiological Responses of the Leaves of Peucedanum japonicum and Hordeum vulgare Exposed to Salinity. Agriculture 2020, 10, 317. [Google Scholar] [CrossRef]
- Ambede, J.G.; Netondo, G.W.; Mwai, G.N.; Musyimi, D.M. NaCl salinity affects germination, growth, physiology, and biochemistry of bambara groundnut. Braz. J. Plant Physiol. 2012, 24, 151–160. [Google Scholar] [CrossRef] [Green Version]
- EL Sabagh, E.; Islam, M.S.; Skalicky, M.; Raza, M.A.; Singh, K.; Hossain, M.A.; Hossain, A.; Mahboob, W.; Iqbal, M.A.; Ratnasekera, D.; et al. Adaptation and Management Strategies of Wheat (Triticum aestivum L.) Against Salinity Stress to Increase Yield and Quality. Front. Agron. 2021, 3, 43. [Google Scholar] [CrossRef]
- Sali, A.; Rusinovci, I.; Fetahu, S.; Gashi, B.; Simeonovska, E.; Rozman, L. The effect of salt stress on the germination of maize (Zea mays L.) seeds and photosynthetic pigments. Acta Agric. Slov. 2015, 105, 85–94. [Google Scholar]
- Sagar, A.; Tajkia, J.E.; Haque, M.E.; Fakir, M.S.A.; Hossain, A. Screening of sorghum genotypes for salt-tolerance based on seed germination and seedling stage. Fundam. Appl. Agric. 2019, 4, 735–743. [Google Scholar] [CrossRef]
- Gong, D.H.; Wang, G.Z.; Si, W.T.; Zhou, Y.; Liu, Z.; Jia, J. Effects of Salt Stress on Photosynthetic Pigments and Activity of Ribulose-1,5-bisphosphate Carboxylase/Oxygenase in Kalidium foliatum. Russ. J. Plant Physiol. 2018, 65, 98–103. [Google Scholar] [CrossRef]
- Munns, R. Comparative physiology of salt and water stress. Plant. Cell Environ. 2002, 25, 239–250. [Google Scholar] [CrossRef] [PubMed]
- Deinlein, U.; Stephan, A.B.; Horie, T.; Luo, W.; Xu, G.; Schroeder, J.I. Plant salt-tolerance mechanisms. Trends Plant Sci. 2014, 19, 371–379. [Google Scholar] [CrossRef] [Green Version]
- Mansour, M.M.F.; Salama, K.H.A.; Ali, F.Z.M.; Abou Hadid, A.F. Cell and plant responses to NaCl in Zea mays L. cultivars differing in salt tolerance. Gen. Appl. Plant Physiol 2005, 31, 29–41. [Google Scholar]
- Schachtman, D.; Liu, W. Molecular pieces to the puzzle of the interaction between potassium and sodium uptake in plants. Trends Plant Sci. 1999, 4, 281–287. [Google Scholar] [CrossRef]
- Pardo, J.M.; Quintero, F.J. Plants and sodium ions: Keeping company with the enemy. Genome Biol. 2002, 3, 1–4. [Google Scholar] [CrossRef] [PubMed]
- Qureshi, M.I.; Abdin, M.Z.; Ahmad, J.; Iqbal, M. Effect of long-term salinity on cellular antioxidants, compatible solute and fatty acid profile of Sweet Annie (Artemisia annua L.). Phytochemistry 2013, 95, 215–223. [Google Scholar] [CrossRef]
- Pottosin, I.; Bonales-Alatorre, E.; Shabala, S. Choline but not its derivative betaine blocks slow vacuolar channels in the halophyte Chenopodium quinoa: Implications for salinity stress responses. FEBS Lett. 2014, 588, 3918–3923. [Google Scholar] [CrossRef]
- Puniran-Hartley, N.; Hartley, J.; Shabala, L.; Shabala, S. Salinity-induced accumulation of organic osmolytes in barley and wheat leaves correlates with increased oxidative stress tolerance: In planta evidence for cross-tolerance. Plant Physiol. Biochem. 2014, 83, 32–39. [Google Scholar] [CrossRef] [PubMed]
- Flagella, Z.; Cantore, V.; Giuliani, M.M.; Tarantino, E.; De Caro, A. Crop salt tollerance: Physiological, yield and quality aspects. Plant Biol. 2002, 2, 155–186. [Google Scholar]
- Schnable, J.C. Genome evolution in maize: From genomes back to genes. Annu. Rev. Plant Biol. 2015, 66, 329–343. [Google Scholar] [CrossRef] [PubMed]
- Tian, M.; Tan, G.; Liu, Y.; Rong, T.; Huang, Y. Origin and evolution of Chinese waxy maize: Evidence from the Globulin-1 gene. Genet. Resour. Crop Evol. 2009, 56, 247–255. [Google Scholar] [CrossRef]
- Wang, X.; Fan, J.; Xing, Y.; Xu, G.; Wang, H.; Deng, J.; Wang, Y.; Zhang, F.; Li, P.; Li, Z. The effects of mulch and nitrogen fertilizer on the soil environment of crop plants. Adv. Agron. 2019, 153, 121–173. [Google Scholar]
- Acosta-Motos, J.R.; Ortuño, M.F.; Bernal-Vicente, A.; Diaz-Vivancos, P.; Sanchez-Blanco, M.J.; Hernandez, J.A. Plant Responses to Salt Stress: Adaptive Mechanisms. Agronomy 2017, 7, 18. [Google Scholar] [CrossRef] [Green Version]
- Farooq, M.; Hussain, M.; Wakeel, A.; Siddique, K.H.M. Salt stress in maize: Effects, resistance mechanisms, and management. A review. Agron. Sustain. Dev. 2015, 35, 461–481. [Google Scholar] [CrossRef] [Green Version]
- EL Sabagh, A.; Çiğ, F.; Seydoşoğlu, S.; Battaglia, M.L.; Javed, T.; Iqbal, M.A.; Ahmad, Z. Salinity Stress in Maize: Effects of Stress and Recent Developments of Tolerance for Improvement. In Cereal Grains; IntechOpen: London, UK, 2021. [Google Scholar]
- Ray, D.K.; Mueller, N.D.; West, P.C.; Foley, J.A. Yield trends are insufficient to double global crop production by 2050. PLoS ONE 2013, 8, e66428. [Google Scholar] [CrossRef] [Green Version]
- Urrea-Gómez, R.; Ceballos, H.; Pandey, S.; Bahia Filho, A.F.C.; Leon, L.A. A greenhouse screening technique for acid soil tolerance in maize. Agron. J. 1996, 88, 806–812. [Google Scholar] [CrossRef]
- Pennacchi, J.P.; Carmo-Silva, E.; Andralojc, P.J.; Feuerhelm, D.; Powers, S.J.; Parry, M.A.J. Dissecting wheat grain yield drivers in a mapping population in the UK. Agronomy 2018, 8, 94. [Google Scholar] [CrossRef] [Green Version]
- Munns, R.; James, R.A.; Sirault, X.R.R.; Furbank, R.T.; Jones, H.G. New phenotyping methods for screening wheat and barley for beneficial responses to water deficit. J. Exp. Bot. 2010, 61, 3499–3507. [Google Scholar] [CrossRef] [Green Version]
- Negrão, S.; Schmöckel, S.M.; Tester, M. Evaluating physiological responses of plants to salinity stress. Ann. Bot. 2017, 119, 1–11. [Google Scholar] [CrossRef] [Green Version]
- Zeng, L.; Shannon, M.C.; Grieve, C.M. Evaluation of salt tolerance in rice genotypes by multiple agronomic parameters. Euphytica 2002, 127, 235–245. [Google Scholar] [CrossRef]
- Zhang, L.; Ma, H.; Chen, T.; Pen, J.; Yu, S.; Zhao, X. Morphological and physiological responses of cotton (Gossypium hirsutum L.) plants to salinity. PLoS ONE 2014, 9, e112807. [Google Scholar] [CrossRef] [PubMed] [Green Version]
- El-Hendawy, S.E.; Hassan, W.M.; Al-Suhaibani, N.A.; Refay, Y.; Abdella, K.A. Comparative performance of multivariable agro-physiological parameters for detecting salt tolerance of wheat cultivars under simulated saline field growing conditions. Front. Plant Sci. 2017, 8, 435. [Google Scholar] [CrossRef] [PubMed] [Green Version]
- Kose, A.; Oguz, O.; Ozlem, B.; Ferda, K. Application of multivariate statistical analysis for breeding strategies of spring safflower (Carthamus tinctorius L.). Turkish J. F. Crop. 2018, 23, 12–19. [Google Scholar] [CrossRef]
- Anshori, M.F.; Purwoko, B.S.; Dewi, I.S.; Ardie, S.W.; Suwarno, W.B. Selection index based on multivariate analysis for selecting doubled-haploid rice lines in lowland saline prone area. Sabrao J. Breed. Genet. 2019, 51, 161–174. [Google Scholar]
- Huqe, M.A.S. Screening of Maize Genotypes for Salt Tolerance. Ph.D. Thesis, Bangladesh Agricultural University, Mymensingh, Bangladesh, 2020. [Google Scholar]
- Thomas, R.L.; Sheard, R.W.; Moyer, J.R. Comparison of conventional and automated procedures for nitrogen, phosphorus, and potassium analysis of plant material using a single digestion 1. Agron. J. 1967, 59, 240–243. [Google Scholar] [CrossRef]
- Team, R.C. R: A language and environment for statistical computing. R Found. Stat. Comput. Vienna Austria 2013. Available online: http://www.R-project.org/ (accessed on 19 November 2021).
- Fehr, W.R. Principles of Cultivar Development: Theory and Technique; Macmillian Publishing Company: New York, NY, USA, 1987; Volume 1, ISBN 0963598902. [Google Scholar]
- Singh, R.K.; Chaudhary, B.D. Biometrical Methods in Quantitative Genetic Analysis; Kalyani Publishers: New Delhi, India, 1979. [Google Scholar]
- Allard, R.W. Principles of Plant Breeding; John Willey and Sons Inc.: New York, NY, USA, 1960; p. 485. [Google Scholar]
- Holland, J.B.; Nyquist, W.E.; Cervantes-Martínez, C.T. Estimating and interpreting heritability for plant breeding: An update. Plant Breed. Rev. 2003, 22, 9–112. [Google Scholar]
- Robinson, H.F.; Comstock, R.E.; Harvey, P.H. Estimates of heritability and the degree of dominance in corn. Agron. J. 1949, 41, 353–359. [Google Scholar] [CrossRef]
- Johnson, H.W.; Robinson, H.F.; Comstock, R.E. Estimates of genetic and environmental variability in soybeans 1. Agron. J. 1955, 47, 314–318. [Google Scholar] [CrossRef]
- Comstock, R.E.; Robinson, H.F. Genetic Parameters, Their Estimation and Significance. In Proceedings of the 6th International Grassland Congress, Pennsylvania State College, SC, USA, 17–23 August 1952; Volume 1, pp. 248–291. [Google Scholar]
- Uddin, M.N.; Hanstein, S.; Leubner, R.; Schubert, S. Leaf cell-wall components as influenced in the first phase of salt stress in three maize (Zea mays L.) hybrids differing in salt resistance. J. Agron. Crop Sci. 2013, 199, 405–415. [Google Scholar] [CrossRef]
- Uddin, M.N.; Hanstein, S.; Faust, F.; Eitenmüller, P.T.; Pitann, B.; Schubert, S. Diferulic acids in the cell wall may contribute to the suppression of shoot growth in the first phase of salt stress in maize. Phytochemistry 2014, 102, 126–136. [Google Scholar] [CrossRef]
- Hatzig, S.; Hanstein, S.; Schubert, S. Apoplast acidification is not a necessary determinant for the resistance of maize in the first phase of salt stress. J. Plant Nutr. Soil Sci. 2010, 173, 559–562. [Google Scholar] [CrossRef]
- Cramer, G.R. Response of maize (Zea mays L.) to salinity. In Handbook of Plant and Crop Stress; Pressarakli, M., Ed.; Marcel Dekker: New York, NY, USA, 1994; pp. 449–459. [Google Scholar]
- Khayatnezhad, M.; Gholamin, R. Effects of salt stress levels on five maize (Zea mays L.) cultivars at germination stage. Afr. J. Biotechnol. 2011, 10, 12909–12915. [Google Scholar]
- Qu, C.; Liu, C.; Gong, X.; Li, C.; Hong, M.; Wang, L.; Hong, F. Impairment of maize seedling photosynthesis caused by a combination of potassium deficiency and salt stress. Environ. Exp. Bot. 2012, 75, 134–141. [Google Scholar] [CrossRef]
- Hoque, M.M.I.; Jun, Z.; Guoying, W. Evaluation of salinity tolerance in maize (Zea mays L.) genotypes at seedling stage. J. Biosci. Biotechnol. 2015, 4, 39–49. [Google Scholar]
- Islam, M.M.; Haque, M.S.; Sarwar, A.G. Salt tolerance of cowpea genotypes during seed germination and seedling growth. J. Bangladesh Agric. Univ. 2019, 17, 39–44. [Google Scholar] [CrossRef] [Green Version]
- Maqbool, M.M.; Wahid, A.; Ali, A.; Khan, S.; Irshad, S.; Batool, S. Screening of maize hybrids against salt stress under hydroponic culture. Cereal Res. Commun. 2020, 48, 49–55. [Google Scholar] [CrossRef]
- Masuda, M.S.; Azad, M.A.K.; Hasanuzzaman, M.; Arifuzzaman, M. Evaluation of salt tolerance in maize (Zea mays L.) at seedling stage through morphological characters and salt tolerance index. Plant Physiol. Rep. 2021, 26, 419–9427. [Google Scholar] [CrossRef]
- Khodarahmpour, Z.; Ifar, M.; Motamedi, M. Effects of NaCl salinity on maize (Zea mays L.) at germination and early seedling stage. Afr. J. Biotechnol. 2012, 11, 298–304. [Google Scholar] [CrossRef]
- Munns, R. Physiological processes limiting plant growth in saline soils: Some dogmas and hypotheses. Plant. Cell Environ. 1993, 16, 15–24. [Google Scholar] [CrossRef]
- Schubert, S. Salt resistance of crop plants: Physiological characterization of a multigenic trait. Mol. Physiol. basis Nutr. Use Effic. Crop. 2011, 13, 443–455. [Google Scholar]
- Fortmeier, R.; Schubert, S. Salt tolerance of maize (Zea mays L.): The role of sodium exclusion. Plant. Cell Environ. 1995, 18, 1041–1047. [Google Scholar] [CrossRef]
- Sümer, A.; Zörb, C.; Yan, F.; Schubert, S. Evidence of sodium toxicity for the vegetative growth of maize (Zea mays L.) during the first phase of salt stress. J. Appl. Bot. Food Qual. 2004, 78, 135–139. [Google Scholar]
- Kaya, C.; Tuna, A.L.; Okant, A.M. Effect of foliar applied kinetin and indole acetic acid on maize plants grown under saline conditions. Turkish J. Agric. For. 2010, 34, 529–538. [Google Scholar]
- Shahzad, M.; Witzel, K.; Zörb, C.; Mühling, K.H. Growth-related changes in subcellular ion patterns in maize leaves (Zea mays L.) under salt stress. J. Agron. Crop Sci. 2012, 198, 46–56. [Google Scholar] [CrossRef]
- Slabu, C.; Zörb, C.; Steffens, D.; Schubert, S. Is salt stress of faba bean (Vicia faba) caused by Na+ or Cl–toxicity? J. Plant Nutr. Soil Sci. 2009, 172, 644–651. [Google Scholar] [CrossRef]
- Chen, Z.; Zhou, M.; Newman, I.A.; Mendham, N.J.; Zhang, G.; Shabala, S. Potassium and sodium relations in salinised barley tissues as a basis of differential salt tolerance. Funct. Plant Biol. 2007, 34, 150–162. [Google Scholar] [CrossRef] [PubMed]
- Shabala, S.; Cuin, T.A. Potassium transport and plant salt tolerance. Physiol. Plant. 2008, 133, 651–669. [Google Scholar] [CrossRef] [PubMed]
- Akram, M.; Ashraf, M.Y.; Ahmad, R.; Rafiq, M.; Ahmad, I.; Iqbal, J. Allometry and yield components of maize (Zea mays L.) hybrids to various potassium levels under saline conditions. Arch. Biol. Sci. 2010, 62, 1053–1061. [Google Scholar] [CrossRef]
- Eker, S.; Cömertpay, G.; Konufikan, Ö.; Can Ülger, A.; Öztürk, L. Effect of salinity stress on dry matter production and ion accumulation in hybrid maize varieties. Turk J. Agric. 2006, 30, 365–373. [Google Scholar]
- Marschner, H.; Mix, G. Einfluß von Natriumchlorid und Mycostatin auf den Mineralstoffgehalt im Blattgewebe und die Feinstruktur der Chloroplasten. Z. Pflanz. Bodenkd. 1973, 136, 203–219. [Google Scholar] [CrossRef]
- Yeo, A.R.; Caporn, S.J.M.; Flowers, T.J. The effect of salinity upon photosynthesis in rice (Oryza sativa L.): Gas exchange by individual leaves in relation to their salt content. J. Exp. Bot. 1985, 36, 1240–1248. [Google Scholar] [CrossRef]
- Chutipaijit, S.; Cha-um, S.; Sompornpailin, K. High contents of proline and anthocyanin increase protective response to salinity in Oryza sativa L. spp. indica. Aust. J. Crop Sci. 2011, 5, 1191–1198. [Google Scholar]
- Mane, A.V.; Karadge, B.A.; Samant, J.S. Salinity induced changes in photosynthetic pigments and polyphenols of (Cymbopogon nardus L.) Rendle. J. Chem. Pharm. Res 2010, 2, 338–347. [Google Scholar]
- Parihar, P.; Singh, S.; Singh, R.; Singh, V.P.; Prasad, S.M. Effect of salinity stress on plants and its tolerance strategies: A review. Environ. Sci. Pollut. Res. 2015, 22, 4056–4075. [Google Scholar] [CrossRef] [PubMed]
- Omoto, E.; Taniguchi, M.; Miyake, H. Adaptation responses in C4 photosynthesis of maize under salinity. J. Plant Physiol. 2012, 169, 469–477. [Google Scholar] [CrossRef]
- Gong, X.; Liu, C.; Min, Z.; Mengmeng, H.; Luyang, L.; Ling, W.; Wang, Y.; Cai, J.; Gong, S.; Hong, F. Oxidative damages of maize seedlings caused by exposure to a combination of potassium deficiency and salt stress. Plant Soil 2010, 340, 443–452. [Google Scholar] [CrossRef]
- Flexas, J.; Diaz-Espejo, A.; Galmés, J.; Kaldenhoff, R.; Medrano, H.; Ribas-Carbo, M. Rapid variations of mesophyll conductance in response to changes in CO2 concentration around leaves. Plant. Cell Environ. 2007, 30, 1284–1298. [Google Scholar] [CrossRef] [PubMed]
- Al-Ashkar, I.; Alderfasi, A.; Ben Romdhane, W.; Seleiman, M.F.; El-Said, R.A.; Al-Doss, A. Morphological and genetic diversity within salt tolerance detection in eighteen wheat genotypes. Plants 2020, 9, 287. [Google Scholar] [CrossRef] [Green Version]
- Falconer, D.S.; Mackay, T.F.C. Introduction to Quantitative Genetics; Forest Service: Essex, UK, 1996. [Google Scholar]
- Magar, B.T.; Acharya, S.; Gyawali, B.; Timilsena, K.; Upadhayaya, J.; Shrestha, J. Genetic variability and traits association in maize (Zea mays L.) varieties for growth and yield traits. Heliyon 2021, 7, e07939. [Google Scholar] [CrossRef] [PubMed]
- Bello, O.B.; Ige, S.A.; Azeez, M.A.; Afolabi, M.S.; Abdulmaliq, S.Y.; Mahamood, J. Heritability and genetic advance for grain yield and its component characters in maize (Zea mays L.). Int. J. Plant Res. 2012, 2, 138–145. [Google Scholar] [CrossRef] [Green Version]
- Nzuve, F.; Githiri, S.; Mukunya, D.M.; Gethi, J. Genetic variability and correlation studies of grain yield and related agronomic traits in maize. J. Agric. Sci. 2014, 6, 166–176. [Google Scholar] [CrossRef] [Green Version]







| Sl. | Cultivar’s Name | Sl. | Cultivar’s Name |
|---|---|---|---|
| 1. | Bharati 40 | 10. | Essence Platinum |
| 2. | Bharati 702 | 11. | Getco 901 |
| 3. | Bharati 888 | 12. | Kaveri Jambo |
| 4. | Bharati 981 | 13. | Kaveri 244 |
| 5. | Bisco 51 | 14. | Prabhat |
| 6. | Bisco Prince | 15. | Star Beej 7Star |
| 7. | Dekalb Elite | 16. | Star Beej Kohinoor |
| 8. | Dekalb Super 900M | 17. | Unigreen NK41 |
| 9. | Dekalb 900M Gold | 18. | Unigreen UB100 |
| Traits | Cluster-1 | Cluster-2 | Cluster-3 | |||
|---|---|---|---|---|---|---|
| Control | Salt | Control | Salt | Control | Salt | |
| Root Length (cm) | 46.8 ± 1.3 a | 37.5 ± 0.9 b | 46.6 ± 2.4 a | 32.1 ± 1.3 b | 47.7 ± 1.3 a | 35.1 ± 1.3 b |
| Shoot Length (cm) | 55.9 ± 1.2 a | 44.8 ± 0.8 b | 51.4 ± 1.5 a | 37.9 ± 1.8 c | 55.1 ± 0.7 a | 41.3 ± 1.4 bc |
| Root Fresh Weight (g) | 19.2 ± 0.7 a | 16.1 ± 0.7 ab | 15.7 ± 2.1 ab | 11.7 ± 1.5 b | 16.7 ± 1.5 ab | 11.3 ± 0.9 b |
| Shoot Fresh Weight (g) | 22.2 ± 0.8 a | 18.7 ± 0.7 ab | 17.0 ± 2.4 abc | 10.9 ± 1.5 c | 22.8 ± 2.0 a | 13.3 ± 0.9 bc |
| Total Fresh Weight (g) | 41.3 ± 1.2 a | 34.9 ± 1.2 ab | 32.7 ± 4.4 abc | 22.6 ± 2.9 c | 39.6 ± 3.5 a | 24.6 ± 2.1 bc |
| Root Dry Weight (g) | 0.7 ± 0.03 a | 0.6 ± 0.03 ab | 0.7 ± 0.08 a | 0.4 ± 0.05 b | 0.6 ± 0.05 ab | 0.4 ± 0.04 b |
| Shoot Dry Weight (g) | 1.4 ± 0.1 a | 1.2 ± 0.09 ab | 1.2 ± 0.14 ab | 0.8 ± 0.1 b | 1.2 ± 0.1 ab | 0.8 ± 0.07 b |
| Total Dry Weight (g) | 2.2 ± 0.11 a | 1.8 ± 0.09 ab | 1.9 ± 0.21 a | 1.3 ± 0.14 b | 1.8 ± 0.13 ab | 1.2 ± 0.11 b |
| Root–Shoot Ratio | 0.6 ± 0.05 ab | 0.6 ± 0.06 ab | 0.7 ± 0.06 a | 0.6 ± 0.04 ab | 0.5 ± 0.03 b | 0.6 ± 0.04 ab |
| Leaf Greenness (SPAD) | 32.0 ± 0.8 b | 28.4 ± 0.7 c | 35.9 ± 0.9 a | 27.3 ± 0.8 c | 32.9 ± 0.8 ab | 27.2 ± 0.7 c |
| Photosynthetic Rate (A, µmol CO2 m−2s−1) | 7.0 ± 0.3 ab | 5.3 ± 0.1 c | 7.9 ± 0.2 a | 6.0 ± 0.5 bc | 7.3 ± 0.3 a | 5.2 ± 0.3 c |
| Root K+ (mg g−1 DW) | 16.3 ± 1.9 ab | 14.4 ± 2.0 bc | 17.5 ± 1.5 ab | 9.4 ± 1.7 d | 18.4 ± 2.8 a | 12.1 ± 2.0 cd |
| Shoot K+ (mg g−1 DW) | 21.3 ± 1.7 a | 12.5 ± 0.9 b | 20.8 ± 1.08 a | 11.7 ± 1.1 b | 20.7 ± 1.2 a | 11.6 ± 1.0 b |
| Total K+ (mg g−1 DW) | 37 ± 2.3 a | 27.0 ± 3.2 b | 38.3 ± 1.7 a | 21.0 ± 2.2 c | 39.1 ± 2.9 a | 23.7 ± 2.0 bc |
| Root Na+ (mg g−1 DW) | 0.84 ± 0.13 c | 2.86 ± 0.26 b | 1.15 ± 0.21 c | 3.89 ± 0.46 a | 0.88 ± 0.12 c | 4.02 ± 0.57 a |
| Shoot Na+ (mg g−1 DW) | 2.23 ± 0.11 c | 7.67 ± 0.20 b | 2.21 ± 0.14 c | 8.14 ± 0.21 a | 2.27 ± 0.17 c | 8.5 ± 0.37 a |
| Total Na+ (mg g−1 DW) | 3.1 ± 0.20 c | 10.52 ± 0.37 b | 3.37 ± 0.22 c | 12.03 ± 0.48 a | 3.14 ± 0.18 c | 12.5 ± 81 a |
| K+–Na+ Ratio | 12.4 ± 1.06 a | 2.6 ± 0.3 b | 11.5 ± 1.0 a | 1.8 ± 0.21 b | 12.5 ± 1.1 a | 1.9 ± 0.12 b |
| Traits | Grand Mean | σ2g | σ2gs | σ2p | h2bs | GCV | PCV | GA | GAM |
|---|---|---|---|---|---|---|---|---|---|
| Root Length (cm) | 41.0 | 25.23 | 9.03 | 31.07 | 81.2 | 12.26 | 13.60 | 14.75 | 36.00 |
| Shoot Length (cm) | 47.7 | 25.05 | 4.77 | 28.47 | 88.0 | 10.49 | 11.18 | 15.79 | 33.09 |
| Root Fresh Weight (g) | 15.1 | 29.84 | 1.65 | 31.43 | 94.9 | 36.07 | 37.02 | 12.20 | 80.59 |
| Shoot Fresh Weight (g) | 17.5 | 39.54 | 8.57 | 44.84 | 88.2 | 35.95 | 38.28 | 14.31 | 81.82 |
| Total Fresh Weight (g) | 32.6 | 131.2 | 17.48 | 142.4 | 92.2 | 35.10 | 36.56 | 25.74 | 78.88 |
| Root Dry Weight (g) | 0.6 | 0.03 | 0.01 | 0.04 | 87.0 | 29.96 | 32.11 | 0.42 | 71.25 |
| Shoot Dry Weight (g) | 1.1 | 0.19 | 0.01 | 0.19 | 96.4 | 39.07 | 39.80 | 0.95 | 85.85 |
| Total Dry Weight (g) | 1.7 | 0.34 | 0.02 | 0.35 | 95.8 | 34.30 | 35.04 | 1.31 | 77.17 |
| Root–Shoot Ratio | 0.6 | 0.024 | 0.0004 | 0.03 | 88.3 | 26.28 | 27.96 | 0.37 | 63.77 |
| Leaf Greenness (SPAD) | 30.6 | 3.2 | 3.387 | 6.00 | 53.3 | 5.84 | 8.00 | 5.13 | 16.77 |
| Photosynthetic Rate (A, µmol CO2 m−2 s−1) | 6.5 | 0.48 | 0.345 | 0.80 | 60.2 | 10.72 | 13.83 | 1.98 | 30.66 |
| Root K+ (mg g−1 DW) | 20.9 | 5.38 | 4.41 | 8.39 | 64.1 | 15.79 | 19.73 | 6.13 | 41.74 |
| Shoot K+ (mg g−1 DW) | 5.8 | 0.39 | −1.25 | 0.52 | 73.9 | 3.78 | 4.40 | 7.49 | 45.53 |
| Root Na+ (mg g−1 DW) | 8.3 | 0.08 | 0.31 | 0.25 | 32.1 | 12.56 | 22.14 | 0.99 | 43.41 |
| Shoot Na+ (mg g−1 DW) | 2.9 | 0.03 | 0.05 | 0.08 | 41.3 | 3.44 | 5.36 | 2.53 | 48.95 |
| Total K+ (mg g−1 DW) | 10.5 | 6.00 | 3.40 | 9.27 | 64.7 | 7.87 | 9.78 | 11.23 | 36.08 |
| Total Na+ (mg g−1 DW) | 2.4 | 0.12 | 0.60 | 0.45 | 25.4 | 4.56 | 9.05 | 2.28 | 30.69 |
| K+–Na+ Ratio | 4.9 | 0.21 | 0.25 | 0.57 | 37.0 | 6.44 | 10.60 | 3.98 | 56.01 |
Publisher’s Note: MDPI stays neutral with regard to jurisdictional claims in published maps and institutional affiliations. |
© 2021 by the authors. Licensee MDPI, Basel, Switzerland. This article is an open access article distributed under the terms and conditions of the Creative Commons Attribution (CC BY) license (https://creativecommons.org/licenses/by/4.0/).
Share and Cite
Huqe, M.A.S.; Haque, M.S.; Sagar, A.; Uddin, M.N.; Hossain, M.A.; Hossain, A.Z.; Rahman, M.M.; Wang, X.; Al-Ashkar, I.; Ueda, A.; et al. Characterization of Maize Hybrids (Zea mays L.) for Detecting Salt Tolerance Based on Morpho-Physiological Characteristics, Ion Accumulation and Genetic Variability at Early Vegetative Stage. Plants 2021, 10, 2549. https://doi.org/10.3390/plants10112549
Huqe MAS, Haque MS, Sagar A, Uddin MN, Hossain MA, Hossain AZ, Rahman MM, Wang X, Al-Ashkar I, Ueda A, et al. Characterization of Maize Hybrids (Zea mays L.) for Detecting Salt Tolerance Based on Morpho-Physiological Characteristics, Ion Accumulation and Genetic Variability at Early Vegetative Stage. Plants. 2021; 10(11):2549. https://doi.org/10.3390/plants10112549
Chicago/Turabian StyleHuqe, Md Al Samsul, Md Sabibul Haque, Ashaduzzaman Sagar, Md Nesar Uddin, Md Alamgir Hossain, AKM Zakir Hossain, Md Mustafizur Rahman, Xiukang Wang, Ibrahim Al-Ashkar, Akihiro Ueda, and et al. 2021. "Characterization of Maize Hybrids (Zea mays L.) for Detecting Salt Tolerance Based on Morpho-Physiological Characteristics, Ion Accumulation and Genetic Variability at Early Vegetative Stage" Plants 10, no. 11: 2549. https://doi.org/10.3390/plants10112549
APA StyleHuqe, M. A. S., Haque, M. S., Sagar, A., Uddin, M. N., Hossain, M. A., Hossain, A. Z., Rahman, M. M., Wang, X., Al-Ashkar, I., Ueda, A., & EL Sabagh, A. (2021). Characterization of Maize Hybrids (Zea mays L.) for Detecting Salt Tolerance Based on Morpho-Physiological Characteristics, Ion Accumulation and Genetic Variability at Early Vegetative Stage. Plants, 10(11), 2549. https://doi.org/10.3390/plants10112549

