Agronomic Strategies to Improve N Efficiency Indices in Organic Durum Wheat Grown in Mediterranean Area
Abstract
:1. Introduction
2. Results
2.1. Growing Season × Variety Effects
2.2. Growing Season × Fertilization Strategy Effects
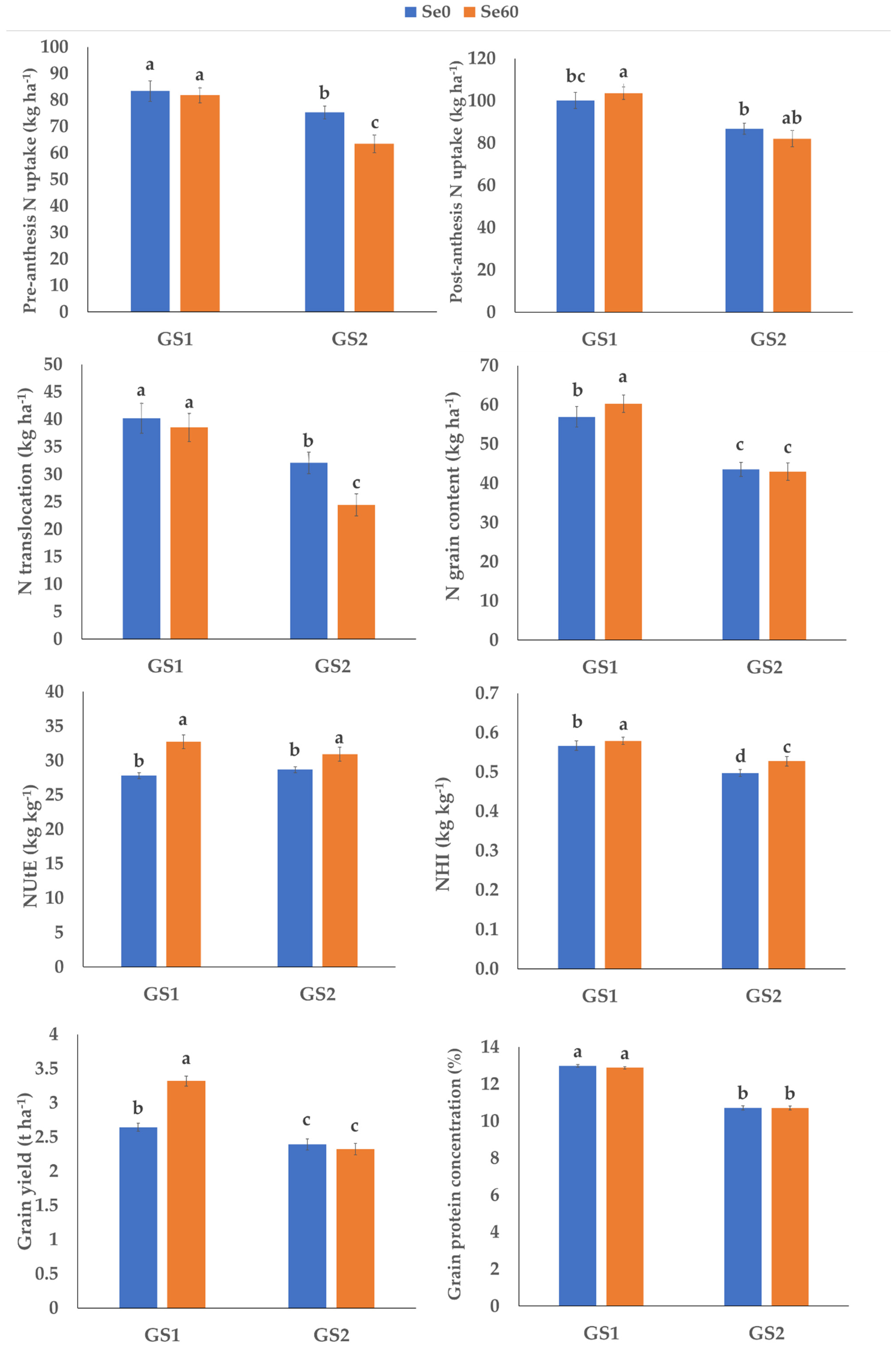
2.3. Selenium Effects
3. Discussion
3.1. Growing Season × Variety Effects
3.2. Growing Season × Fertilization Strategy Effects
3.3. Selenium Effects
4. Materials and Methods
4.1. Field Trials
4.2. Yield, Protein Concentration, N-Related Traits, and N Efficiency Indices
4.3. Statistical Analysis
5. Conclusions
Supplementary Materials
Author Contributions
Funding
Data Availability Statement
Acknowledgments
Conflicts of Interest
References
- Dawson, J.C.; Huggins, D.R.; Jones, S.S. Characterizing nitrogen use efficiency in natural and agricultural ecosystems to improve the performance of cereal crops in low-input and organic agricultural systems. Field Crop. Res. 2008, 107, 89–101. [Google Scholar] [CrossRef]
- Fagnano, M.; Fiorentino, N.; D’Egidio, M.G.; Quaranta, F.; Ritieni, A.; Ferracane, R.; Raimondi, G. Durum Wheat in Conventional and Organic Farming: Yield Amount and Pasta Quality in Southern Italy. Sci. World J. 2012, 2012, 1–9. [Google Scholar] [CrossRef] [PubMed] [Green Version]
- Rossini, F.; Provenzano, M.E.; Sestili, F.; Ruggeri, R. Synergistic Effect of Sulfur and Nitrogen in the Organic and Mineral Fertilization of Durum Wheat: Grain Yield and Quality Traits in the Mediterranean Environment. Agronomy 2018, 8, 189. [Google Scholar] [CrossRef] [Green Version]
- Moll, R.H.; Kamprath, E.J.; Jackson, W.A. Analysis and Interpretation of Factors Which Contribute to Efficiency of Nitrogen Utilization 1. Agron. J. 1982, 74, 562–564. [Google Scholar] [CrossRef]
- Singh, V.P.; Arora, A. Intraspecific Variation in Nitrogen Uptake and Nitrogen Utilization Efficiency in Wheat (Triticum aestivum L.). J. Agron. Crop. Sci. 2001, 186, 239–244. [Google Scholar] [CrossRef]
- Carucci, F.; Gatta, G.; Gagliardi, A.; de Vita, P.; Giuliani, M.M. Strobilurin Effects on Nitrogen Use Efficiency for the Yield and Protein in Durum Wheat Grown under Rainfed Mediterranean Conditions. Agronomy 2020, 10, 1508. [Google Scholar] [CrossRef]
- Foulkes, M.J.; Sylvester-Bradley, R.; Scott, R.K. Evidence for differences between winter wheat cultivars in acquisition of soil mineral nitrogen and uptake and utilization of applied fertilizer nitrogen. J. Agric. Sci. 1998, 130, 29–44. [Google Scholar] [CrossRef] [Green Version]
- Mazzoncini, M.; Antichi, D.; Tavarini, S.; Silvestri, N.; Lazzeri, L.; D’Avino, L. Effect of defatted oilseed meals applied as organic fertilizers on vegetable crop production and environmental impact. Ind. Crop. Prod. 2015, 75, 54–64. [Google Scholar] [CrossRef]
- Petersen, S.O.; Schjønning, P.; Olesen, J.E.; Christensen, S.; Christensen, B.T. Sources of Nitrogen for Winter Wheat in Organic Cropping Systems. Soil Sci. Soc. Am. J. 2012, 77, 155–165. [Google Scholar] [CrossRef] [Green Version]
- Campbell, K.G.; Bergman, C.J.; Gualberto, D.G.; Anderson, J.A.; Giroux, M.J.; Hareland, G.; Fulcher, R.G.; Sorrells, M.E.; Finney, P.L. Quantitative Trait Loci Associated with Kernel Traits in a Soft × Hard Wheat Cross. Crop. Sci. 1999, 39, 1184–1195. [Google Scholar] [CrossRef]
- Mendel, R.R. Molybdenum cofactor of higher plants: Biosynthesis and molecular biology. Planta 1997, 203, 399–405. [Google Scholar] [CrossRef]
- Swamy, U.; Wang, M.; Tripathy, J.N.; Kim, S.-K.; Hirasawa, M.; Knaff, D.B.; Allen, J.P. Structure of Spinach Nitrite Reductase: Implications for Multi-electron Reactions by the Iron−Sulfur: Siroheme Cofactor. Biochemistry 2005, 44, 16054–16063. [Google Scholar] [CrossRef]
- Salvagiotti, F.; Castellarín, J.M.; Miralles, D.J.; Pedrol, H.M. Sulfur fertilization improves nitrogen use efficiency in wheat by increasing nitrogen uptake. Field Crop. Res. 2009, 113, 170–177. [Google Scholar] [CrossRef]
- Ramig, R.E.; Rasmussen, P.E.; Allmaras, R.R.; Smith, C.M. Nitrogen-Sulfur Relations in Soft White Winter Wheat. I. Yield Response to Fertilizer and Residual Sulfur 1. Agron. J. 1975, 67, 219–224. [Google Scholar] [CrossRef]
- Moss, H.; Wrigley, C.; MacRichie, R.; Randall, P. Sulfur and nitrogen fertilizer effects on wheat. II. Influence on grain quality. Aust. J. Agric. Res. 1981, 32, 213–226. [Google Scholar] [CrossRef]
- Tea, I.; Genter, T.; Naulet, N.; Boyer, V.; Lummerzheim, M.; Kleiber, D. Effect of Foliar Sulfur and Nitrogen Fertilization on Wheat Storage Protein Composition and Dough Mixing Properties. Cereal Chem. J. 2004, 81, 759–766. [Google Scholar] [CrossRef]
- Tea, I.; Genter, T.; Naulet, N.; Lummerzheim, M.; Kleiber, D. Interaction between nitrogen and sulfur by foliar application and its effects on flour bread-making quality. J. Sci. Food Agric. 2007, 87, 2853–2859. [Google Scholar] [CrossRef]
- Salvagiotti, F.; Miralles, D.J. Wheat development as affected by nitrogen and sulfur nutrition. Aust. J. Agric. Res. 2007, 58, 39–45. [Google Scholar] [CrossRef]
- Lyons, G.H.; Genc, Y.; Soole, K.; Stangoulis, J.; Liu, F.; Graham, R.D. Selenium increases seed production in Brassica. Plant Soil 2008, 318, 73–80. [Google Scholar] [CrossRef]
- Li, G.L.; Gao, H.M. Effects of spraying Na2SeO3 on wheat yield. Chin. Agric. Sci. Bull. 2009, 25, 253–255. [Google Scholar]
- Nawaz, F.; Ashraf, M.Y.; Ahmad, R.; Waraich, E.A.; Shabbir, R.N. Selenium (Se) Regulates Seedling Growth in Wheat under Drought Stress. Adv. Chem. 2014, 2014, 1–7. [Google Scholar] [CrossRef] [Green Version]
- Ducsay, L.; Ložek, O.; Marček, M.; Varényiová, M.; Hozlár, P.; Lošák, T. Possibility of selenium biofortification of winter wheat grain. Plant Soil Environ. 2016, 62, 379–383. [Google Scholar] [CrossRef] [Green Version]
- Lara, T.S.; Lessa, J.H.D.L.; de Souza, K.R.D.; Corguinha, A.P.B.; Martins, F.A.D.; Lopes, G.; Guilherme, L.R.G. Selenium biofortification of wheat grain via foliar application and its effect on plant metabolism. J. Food Compos. Anal. 2019, 81, 10–18. [Google Scholar] [CrossRef]
- Yao, X.; Chu, J.; Wang, G. Effects of Selenium on Wheat Seedlings Under Drought Stress. Biol. Trace Element Res. 2009, 130, 283–290. [Google Scholar] [CrossRef] [PubMed]
- Hanson, B.; Lindblom, S.D.; Loeffler, M.L.; Pilon-Smits, E.A.H. Selenium protects plants from phloem-feeding aphids due to both deterrence and toxicity. New Phytol. 2004, 162, 655–662. [Google Scholar] [CrossRef] [PubMed]
- Kápolna, E.; Laursen, K.H.; Husted, S.; Larsen, E.H. Bio-fortification and isotopic labelling of Se metabolites in onions and carrots following foliar application of Se and ⁷⁷Se. Food Chem. 2012, 133, 650–657. [Google Scholar] [CrossRef]
- Murphy, K.M.; Campbell, K.G.; Lyon, S.R.; Jones, S.S. Evidence of varietal adaptation to organic farming systems. Field Crop. Res. 2007, 102, 172–177. [Google Scholar] [CrossRef] [Green Version]
- Hawkesford, M.J. Reducing the reliance on nitrogen fertilizer for wheat production. J. Cereal Sci. 2013, 59, 276–283. [Google Scholar] [CrossRef] [Green Version]
- Iannucci, A.; Canfora, L.; Nigro, F.; De Vita, P.; Beleggia, R. Relationships between root morphology, root exudate compounds and rhizosphere microbial community in durum wheat. Appl. Soil Ecol. 2020, 158, 103781. [Google Scholar] [CrossRef]
- Barbottin, A.; LeComte, C.; Bouchard, C.; Jeuffroy, M.-H. Nitrogen Remobilization during Grain Filling in Wheat: Genotypic and Environmental Effects. Crop. Sci. 2005, 45, 1141–1150. [Google Scholar] [CrossRef]
- Mi, G.; Tang, L.; Zhang, F.; Zhang, J. Is nitrogen uptake after anthesis in wheat regulated by sink size? Field Crop. Res. 2000, 68, 183–190. [Google Scholar] [CrossRef]
- Bogard, M.; Allard, V.; Brancourt-Hulmel, M.; Heumez, E.; Machet, J.-M.; Jeuffroy, M.-H.; Gate, P.; Martre, P.; le Gouis, J. Deviation from the grain protein concentration—Grain yield negative relationship is highly correlated to post-anthesis N uptake in winter wheat. J. Exp. Bot. 2010, 61, 4303–4312. [Google Scholar] [CrossRef] [Green Version]
- Ortiz-Monasterio, J.I.R.; Peñna, R.J.; Sayre, K.D.; Rajaram, S. CIMMYT’s Genetic Progress in Wheat Grain Quality under Four Nitrogen Rates. Crop. Sci. 1997, 37, 892–898. [Google Scholar] [CrossRef]
- Cormier, F.; Faure, S.; Dubreuil, P.; Heumez, E.; Beauchêne, K.; Lafarge, S.; Praud, S.; le Gouis, J. A multi-environmental study of recent breeding progress on nitrogen use efficiency in wheat (Triticum aestivum L.). Theor. Appl. Genet. 2013, 126, 3035–3048. [Google Scholar] [CrossRef]
- Migliorini, P.; Spagnolo, S.; Torri, L.; Arnoulet, M.; Lazzerini, G.; Ceccarelli, S. Agronomic and quality characteristics of old, modern and mixture wheat varieties and landraces for organic bread chain in diverse environments of northern Italy. Eur. J. Agron. 2016, 79, 131–141. [Google Scholar] [CrossRef]
- Gagliardi, A.; Carucci, F.; Masci, S.; Flagella, Z.; Gatta, G.; Giuliani, M.M. Effects of Genotype, Growing Season and Nitrogen Level on Gluten Protein Assembly of Durum Wheat Grown under Mediterranean Conditions. Agronomy 2020, 10, 755. [Google Scholar] [CrossRef]
- Kubota, H.; Yang, R.; Iqbal, M.; Spaner, D. There are Different Pathways to Stable Spring Wheat Grain Yield and Nitrogen Utilization Efficiency in Conventional and Organically-Managed Systems. Agron. J. 2019, 111, 2370–2377. [Google Scholar] [CrossRef]
- Sacco, D.; Moretti, B.; Monaco, S.; Grignani, C. Six-year transition from conventional to organic farming: Effects on crop production and soil quality. Eur. J. Agron. 2015, 69, 10–20. [Google Scholar] [CrossRef]
- Ravindran, B.; Nagalakshmi, C.; Devi, S.G.; Subramanian, K.S.; Mandal, A.B.; Sekaran, G. Efficiency of hydrolyzed tannery solid waste for the growth and yield potentials on tomato. J. Plant Nutr. 2013, 36, 795–810. [Google Scholar] [CrossRef]
- Tosti, G.; Farneselli, M.; Benincasa, P.; Guiducci, M. Nitrogen Fertilization Strategies for Organic Wheat Production: Crop Yield and Nitrate Leaching. Agron. J. 2016, 108, 770–781. [Google Scholar] [CrossRef] [Green Version]
- Luo, C.; Branlard, G.; Griffin, W.; McNeil, D. The Effect of Nitrogen and Sulphur Fertilisation and their Interaction with Genotype on Wheat Glutenins and Quality Parameters. J. Cereal Sci. 2000, 31, 185–194. [Google Scholar] [CrossRef]
- Rawluk, C.D.L.; Racz, G.J.; Grant, C.A. Uptake of foliar or soil application of 15N-labelled urea solution at anthesis and its affect on wheat grain yield and protein. Can. J. Plant Sci. 2000, 80, 331–334. [Google Scholar] [CrossRef] [Green Version]
- Karamanos, R.E.; Harapiak, J.T.; Flore, N.A. Sulphur application does not improve wheat yield and protein concentration. Can. J. Soil Sci. 2013, 93, 223–228. [Google Scholar] [CrossRef]
- Archer, M. A sand culture experiment to compare the effects of sulphur on five wheat cultivars (T. aestivum L.). Aust. J. Agric. Res. 1974, 25, 369–380. [Google Scholar] [CrossRef]
- Withers, P.J.A.; Zhao, F.J.; McGrath, S.P.; Evans, E.J.; Sinclair, A.H. Sulphur inputs for optimum yields of cereals. In Optimising Cereal Inputs: Its Scientific Basis; Gooding, M., Shewry, P., Eds.; The Association of Applied Biologists: Wellesbourne, UK, 1997; pp. 191–198. [Google Scholar]
- Zhao, F.-J.; Hawkesford, M.; McGrath, S. Sulphur Assimilation and Effects on Yield and Quality of Wheat. J. Cereal Sci. 1999, 30, 1–17. [Google Scholar] [CrossRef]
- Grant, C.A.; Johnston, A.M.; Clayton, G.W. Sulphur fertilizer and tillage management of canola and wheat in western Canada. Can. J. Plant Sci. 2004, 84, 453–462. [Google Scholar] [CrossRef]
- Malhi, S.S.; Schoenau, J.J.; Vera, C.L. Influence of six successive annual applications of sulphur fertilizers on wheat in a wheat-canola rotation on a sulphur deficient soil. Can. J. Plant Sci. 2009, 89, 629–644. [Google Scholar] [CrossRef] [Green Version]
- Rausch, T.; Wachter, A. Sulfur metabolism: A versatile platform for launching defence operations. Trends Plant Sci. 2005, 10, 503–509. [Google Scholar] [CrossRef]
- Nazar, R.; Iqbal, N.; Masood, A.; Syeed, S.; Khan, N.A. Understanding the significance of sulfur in improving salinity tolerance in plants. Environ. Exp. Bot. 2011, 70, 80–87. [Google Scholar] [CrossRef]
- Chan, K.X.; Wirtz, M.; Phua, S.Y.; Estavillo, G.; Pogson, B. Balancing metabolites in drought: The sulfur assimilation conundrum. Trends Plant Sci. 2013, 18, 18–29. [Google Scholar] [CrossRef]
- Klikocka, H.; Cybulska, M.; Barczak, B.; Narolski, B.; Szostak, B.; Kobiałka, A.; Nowak, A.; Wójcik, E. The effect of sulphur and nitrogen fertilization on grain yield and technological quality of spring wheat. Plant Soil Environ. 2016, 62, 230–236. [Google Scholar] [CrossRef] [Green Version]
- Terry, N.; Zayed, A.M.; de Souza, M.P.; Tarun, A.S. Selenium in higher plants. Annu. Rev. Plant Physiol. Plant. Mol. Biol. 2000, 51, 401–432. [Google Scholar] [CrossRef] [Green Version]
- Germ, M.; Stibilj, V.; Kreft, I. Metabolic importance of selenium for plants. Eur. J. Plant Sci. Biotechnol. 2007, 1, 91–97. [Google Scholar]
- Dong, J.Z.; Wang, Y.; Wang, S.H.; Yin, L.P.; Xu, G.J.; Zheng, C.; Lei, C.; Zhang, M.Z. Selenium increases chlorogenic acid, chlorophyll and carotenoids of Lycium chinense leaves. J. Sci. Food Agric. 2012, 93, 310–315. [Google Scholar] [CrossRef]
- De Vita, P.; Platani, C.; Fragasso, M.; Ficco, D.B.M.; Colecchia, S.A.; Del Nobile, M.A.; Padalino, L.; di Gennaro, S.; Petrozza, A. Selenium-enriched durum wheat improves the nutritional profile of pasta without altering its organoleptic properties. Food Chem. 2017, 214, 374–382. [Google Scholar] [CrossRef]
- Owusu-Sekyere, A.; Kontturi, J.; Hajiboland, R.; Rahmat, S.; Aliasgharzad, N.; Hartikainen, H.; Seppänen, M.M. Influence of selenium (Se) on carbohydrate metabolism, nodulation and growth in alfalfa (Medicago sativa L.). Plant. Soil 2013, 373, 541–552. [Google Scholar] [CrossRef]
- Guerrero, B.; Llugany, M.; Palacios, O.; Valiente, M. Dual effects of different selenium species on wheat. Plant. Physiol. Biochem. 2014, 83, 300–307. [Google Scholar] [CrossRef]
- Hajiboland, R.; Sadeghzade, N. Effect of selenium on CO2 and NO3− assimilation under low and adequate nitrogen supply in wheat (Triticum aestivum L.). Photosynthetica 2014, 52, 501–510. [Google Scholar] [CrossRef]
- Zhang, M.; Tang, S.; Huang, X.; Zhang, F.; Pang, Y.; Huang, Q.; Yi, Q. Selenium uptake, dynamic changes in selenium content and its influence on photosynthesis and chlorophyll fluorescence in rice (Oryza sativa L.). Environ. Exp. Bot. 2014, 107, 39–45. [Google Scholar] [CrossRef]
- Bocchini, M.; D’Amato, R.; Ciancaleoni, S.; Fontanella, M.C.; Palmerini, C.A.; Beone, G.M.; Onofri, A.; Negri, V.; Marconi, G.; Albertini, E.; et al. Soil Selenium (Se) Biofortification Changes the Physiological, Biochemical and Epigenetic Responses to Water Stress in Zea mays L. by Inducing a Higher Drought Tolerance. Front. Plant. Sci. 2018, 9, 389. [Google Scholar] [CrossRef] [Green Version]
- Yuan, L.; Zhang, R.; Ma, X.; Yang, L.; Zheng, Q.; Chen, D.; Li, M.; Fan, T.; Liu, Y.; Pan, L.; et al. Selenium Accumulation, Antioxidant Enzyme Levels, and Amino Acids Composition in Chinese Mitten Crab (Eriocheir sinensis) Fed Selenium-Biofortified Corn. Nutrients 2018, 10, 318. [Google Scholar] [CrossRef] [PubMed] [Green Version]
- Jezek, P.; Hlušek, J.; Lošák, T.; Jůzl, M.; Elzner, P.; Kracmar, S.; Buňka, F.; Mårtensson, A. Effect of foliar application of selenium on the content of selected amino acids in potato tubers (Solanum tuberosum L.). Plant. Soil Environ. 2011, 57, 315–320. [Google Scholar] [CrossRef] [Green Version]
- Grant, C.A.; Buckley, W.T.; Wu, R. Effect of selenium fertilizer source and rate on grain yield and selenium and cadmium concentration of durum wheat. Can. J. Plant. Sci. 2007, 87, 703–708. [Google Scholar] [CrossRef]
- Broadley, M.R.; Alcock, J.; Alford, J.; Cartwright, P.; Foot, I.; Fairweather-Tait, S.J.; Hart, D.J.; Hurst, R.; Knott, P.; McGrath, S.; et al. Selenium biofortification of high-yielding winter wheat (Triticum aestivum L.) by liquid or granular Se fertilisation. Plant. Soil 2009, 332, 5–18. [Google Scholar] [CrossRef]
- Tang, Y.X.; Wang, H.M.; Yang, J.F.; Lv, Y.H. Studies on the selenium content and selenium enriched technique of winter wheat in Hebei Province. J. Triticeae Crops 2011, 31, 347–351. [Google Scholar]
- De Santis, M.A.; Giuliani, M.M.; Giuzio, L.; De Vita, P.; Lovegrove, A.; Shewry, P.R.; Flagella, Z. Differences in gluten protein composition between old and modern durum wheat genotypes in relation to 20th century breeding in Italy. Eur. J. Agron. 2017, 87, 19–29. [Google Scholar] [CrossRef]
- Lancashire, P.D.; Bleiholder, H.; Boom, T.V.D.; Langelüddeke, P.; Stauss, R.; Weber, E.; Witzenberger, A. A uniform decimal code for growth stages of crops and weeds. Ann. Appl. Biol. 1991, 119, 561–601. [Google Scholar] [CrossRef]
- Polemio, M.; Lonigro, T. Trends in climate, short-duration rainfall, and damaging hydrogeological events (Apulia, Southern Italy). Nat. Hazards 2014, 75, 515–540. [Google Scholar] [CrossRef]
- Giuliani, M.M.; Giuzio, L.; de Caro, A.; Flagella, Z. Relationships between Nitrogen Utilization and Grain Technological Quality in Durum Wheat: I: Nitrogen Translocation and Nitrogen Use Efficiency for Protein. Agron. J. 2011, 103, 1487–1494. [Google Scholar] [CrossRef]
- Arduini, I.; Masoni, A.; Ercoli, L.; Mariotti, M. Grain yield, and dry matter and nitrogen accumulation and remobilization in durum wheat as affected by variety and seeding rate. Eur. J. Agron. 2006, 25, 309–318. [Google Scholar] [CrossRef]
- Masoni, A.; Ercoli, L.; Mariotti, M.; Arduini, I. Post-anthesis accumulation and remobilization of dry matter, nitrogen and phosphorus in durum wheat as affected by soil type. Eur. J. Agron. 2007, 26, 179–186. [Google Scholar] [CrossRef]
- Box, G.E.P.; Cox, D.R. An Analysis of Transformations. J. R. Stat. Soc. Ser. B 1964, 26, 211–243. [Google Scholar] [CrossRef]
- Pinheiro, J.C.; Bates, D.M. Linear mixed-effects models: Basic concepts and examples. In Mixed-Effects Models in S and S-Plus; Bates, D.M., Ed.; Springer: New York, NY, USA, 2000; pp. 3–56. ISBN 9781441903174. [Google Scholar]
- R Core Team. 2018. Available online: https://www.R.-project.org (accessed on 15 April 2021).



| DF | Pre-Anthesis N Uptake | Post-Anthesis N Uptake | N Translocation | N Grain Content | NUtE | NHI | Grain Yield | Grain Protein Concentration | |
|---|---|---|---|---|---|---|---|---|---|
| Growing season (GS) | 1 | 419.7 *** | 232.6 ** | 224.7 *** | 527.4 *** | 0.7 ns | 266.1 *** | 569.7 *** | 20436.5 *** |
| Variety (V) | 3 | 237.4 *** | 46.2 ** | 111.8 *** | 119.5 *** | 243.0 *** | 158.0 *** | 349.9 *** | 2295.3 *** |
| Fertilization strategies (Fs) | 3 | 53.5 *** | 273.9 *** | 31.2 *** | 4.3 ** | 1.1 ns | 10.6 *** | 7.4 *** | 112.1 *** |
| Selenium application (Se) | 1 | 108.7 *** | 765.3 *** | 71.2 *** | 6.6 * | 91.4 *** | 62.1 *** | 161.8 *** | 30.2 *** |
| GS × V | 3 | 79.9 *** | 848.1 *** | 100.6 *** | 60.5 *** | 43.9 *** | 24.6 *** | 18.0 *** | 1390.2 *** |
| GS × Fs | 3 | 160.4 *** | 393.3 *** | 91.8 *** | 72.7 *** | 58.3 *** | 1.19 ns | 11.8 *** | 32.4 *** |
| V × Fs | 9 | 93.0 *** | 357.1 *** | 47.5 *** | 87.9 *** | 21.7 *** | 10.4 *** | 13.8 *** | 103.5 *** |
| GS × Se | 1 | 63.6 *** | 20.0 ns | 29.3 *** | 12.4 *** | 12.7 *** | 10.0 ** | 241.8 *** | 17.4 *** |
| V × Se | 3 | 18.8 *** | 51.7 ** | 17.5 *** | 28.7 *** | 26.6 *** | 66.0 *** | 8.4 ** | 6.0 *** |
| FT × Se | 3 | 24.2 *** | 128.1 *** | 25.5 *** | 19.6 *** | 9.4 *** | 19.7 *** | 15.9 *** | 13.8 *** |
| GS × V × Fs | 9 | 104.6 *** | 105.0 *** | 79.0 *** | 51.7 *** | 15.8 *** | 17.2 *** | 4.6 *** | 20.9 *** |
| GS × V × Se | 3 | 59.8 *** | 475.4 *** | 54.8 *** | 29.6 *** | 21.6 *** | 54.8 *** | 3.4 * | 6.2 *** |
| GS × Fs × Se | 3 | 22.4 *** | 559.9 *** | 36.0 *** | 46.2 *** | 5.4 ** | 65.4 *** | 3.1 * | 1.1 ns |
| V × Fs × Se | 9 | 25.7 *** | 142.2 *** | 33.8 *** | 16.6 *** | 11.0 *** | 30.7 *** | 2.9 ** | 13.9 *** |
| GS × V × Fs × Se | 9 | 2.5 * | 4.2 *** | 54.7 *** | 231.5 *** | 40.5 *** | 32.6 *** | 20.5 *** | 49.0 *** |
| Experimental Factor | GS1 | GS2 | ||||||
|---|---|---|---|---|---|---|---|---|
| CTR | CTR + N | CTR + S | CTR + NS | CTR | CTR + N | CTR + S | CTR + NS | |
| Pre-anthesis N uptake | 85.7 ± 4.2 ab | 78.8 ± 6.6 cd | 88.8 ± 3.5 a | 76.8 ± 4.0 cd | 76.3 ± 5.5 d | 66.8 ± 2.8 e | 3.6 ±3.4 f | 80.8 ± 2.0 bc |
| Post-anthesis N uptake | 15.71 ± 2.15 e | 17.7 ± 2.33 b–e | 22.70 ± 4.05 abc | 21.27 ± 3.39 a–d | 12.75 ± 1.33 e | 24.16 ± 4.97 a | 16.75 ± 1.75 cde | 6.44 ± 0.69 f |
| N translocation | 41.0 ± 0.7 a | 38.9 ± 4.0 a | 42.2 ± 4.1 a | 35.2 ± 3.5 bc | 32.2 ± 3.3 c | 24.4 ± 2.8 d | 19.1 ± 2.1 e | 37.3 ± 1.6 ab |
| NUtE | 30.5 ± 1.5 bcd | 33.4 ± 1.9 abc | 27.3 ± 0.7 efg | 29.9 ± 0.9 b–f | 29.5 ± 2.6 c-f | 25.7 ± 1.7 fg | 33.5 ± 1.8 ab | 30.5 ± 1.9 b–e |
| NHI | 0.561 ± 0.016 bc | 0.591 ± 0.009 a | 0.568 ± 0.019 b | 0.573 ± 0.014 ab | 0.507 ± 0.015 de | 0.526 ± 0.017 cd | 0.512 ± 0.011 de | 0.504 ± 0.018 e |
| N grain content | 56.7 ± 2.5 b | 56.6 ± 3.6 b | 64.9 ± 4.7 a | 56.3 ± 2.2 b | 44.9 ± 2.8 d | 48.6 ± 3.7 c | 35.9 ± 2.1 e | 43.8 ± 1.9 d |
| Grain yield | 3.04 ± 0.14 a | 2.96 ± 0.10 a | 3.01 ± 0.12 a | 2.92 ± 0.11 a | 2.38 ± 0.10 c | 2.20 ± 0.10 d | 2.29 ± 0.13 cd | 2.56 ± 0.12 b |
| Grain protein concentration | 13.00 ± 0.10 a | 13.06 ± 0.11 a | 12.68 ± 0.07 b | 13.00 ± 0.09 a | 10.81 ± 0.19 c | 10.72 ± 0.16 d | 10.62 ± 0.11 e | 10.70 ± 0.15 d |
| Experimental Factor | Se0 | Se60 | ||||||
|---|---|---|---|---|---|---|---|---|
| Cappelli | Old Saragolla | Marco Aurelio | Nadif | Cappelli | Old Saragolla | Marco Aurelio | Nadif | |
| Pre-anthesis N uptake | 89.6 ± 5.85 a | 68.1 ± 3.57 d | 79.8 ± 3.38 b | 79.8 ± 4.56 b | 88.3 ± 6.19 a | 62.7 ± 3.29 e | 74.1 ± 3.36 c | 65.3 ± 3.86 de |
| Post-anthesis N uptake | 12.0 ± 1.54 e | 12.8 ± 1.85 de | 14.4 ± 2.00 cde | 17.3 ± 2.16 bcd | 20.2 ± 5.19 ab | 18.6 ± 2.05 ab | 23.1 ± 3.61 a | 19.0 ± 3.87 abc |
| N translocation | 37.0 ± 3.46 ab | 28.4 ± 2.7 c | 39.1 ± 2.7 a | 40.0 ± 4.3 a | 38.7 ± 4.7 ab | 22.3 ± 2.0 d | 29.9 ± 2.3 c | 35.1 ± 3.6 b |
| NUtE | 21.2 ± 0.94 e | 30.9 ± 1.73 c | 34.3 ± 1.29 b | 26.6 ± 1.00 d | 23.1 ± 1.47 e | 30.7 ± 0.96 c | 38.2 ± 1.58 a | 35.4 ± 1.53 b |
| NHI | 0.477 ± 0.01 e | 0.507 ± 0.01 d | 0.566 ± 0.01 b | 0.579 ± 0.02 b | 0.540 ± 0.02 c | 0.505 ± 0.01 d | 0.537 ± 0.02 c | 0.632 ± 0.01 a |
| N grain content | 48.9 ± 3.66 d | 41.3 ± 2.19 e | 53.5 ± 2.75 bc | 57.3 ± 4.03 ab | 58.9 ± 3.88 a | 40.9 ± 1.66 e | 53.0 ± 3.87 cd | 53.8 ± 3.65 bc |
| Grain yield | 2.04 ± 0.056 e | 2.37 ± 0.05 d | 3.13 ± 0.07 b | 2.53 ± 0.08 d | 2.38 ± 0.14 d | 2.47 ± 0.10 d | 3.54 ± 0.11 a | 2.89 ± 0.13 c |
| Grain protein concentration | 12.47 ± 0.16 a | 12.05 ± 0.25 b | 11.52 ± 0.36 c | 11.38 ± 0.20 d | 12.47 ± 0.17 a | 12.01 ± 0.25 b | 11.39 ± 0.33 d | 11.30 ± 0.18 e |
| Organic Fertilizer | Sowing | Flag Leaf Sheath Opening | Beginning of Heading |
|---|---|---|---|
| Dry Blood Meal (N14.5%; C44%; C/N3.03) | Bio Sulphur (S = 50%) | Liquid Blood Meal (N = 4%) | |
| CTR | 50 kg ha−1 | - | - |
| CTR + N | 50 kg ha−1 | - | 20 kg ha−1 |
| CTR + S | 50 kg ha−1 | 45 kg ha−1 | - |
| CTR + NS | 50 kg ha−1 | 45 kg ha−1 | 20 kg ha−1 |
Publisher’s Note: MDPI stays neutral with regard to jurisdictional claims in published maps and institutional affiliations. |
© 2021 by the authors. Licensee MDPI, Basel, Switzerland. This article is an open access article distributed under the terms and conditions of the Creative Commons Attribution (CC BY) license (https://creativecommons.org/licenses/by/4.0/).
Share and Cite
Carucci, F.; Gatta, G.; Gagliardi, A.; De Vita, P.; Bregaglio, S.; Giuliani, M.M. Agronomic Strategies to Improve N Efficiency Indices in Organic Durum Wheat Grown in Mediterranean Area. Plants 2021, 10, 2444. https://doi.org/10.3390/plants10112444
Carucci F, Gatta G, Gagliardi A, De Vita P, Bregaglio S, Giuliani MM. Agronomic Strategies to Improve N Efficiency Indices in Organic Durum Wheat Grown in Mediterranean Area. Plants. 2021; 10(11):2444. https://doi.org/10.3390/plants10112444
Chicago/Turabian StyleCarucci, Federica, Giuseppe Gatta, Anna Gagliardi, Pasquale De Vita, Simone Bregaglio, and Marcella Michela Giuliani. 2021. "Agronomic Strategies to Improve N Efficiency Indices in Organic Durum Wheat Grown in Mediterranean Area" Plants 10, no. 11: 2444. https://doi.org/10.3390/plants10112444
APA StyleCarucci, F., Gatta, G., Gagliardi, A., De Vita, P., Bregaglio, S., & Giuliani, M. M. (2021). Agronomic Strategies to Improve N Efficiency Indices in Organic Durum Wheat Grown in Mediterranean Area. Plants, 10(11), 2444. https://doi.org/10.3390/plants10112444

