Pollination and Floral Biology of a Rare Morning Glory Species Endemic to Thailand, Argyreia siamensis
Abstract
1. Introduction
2. Results
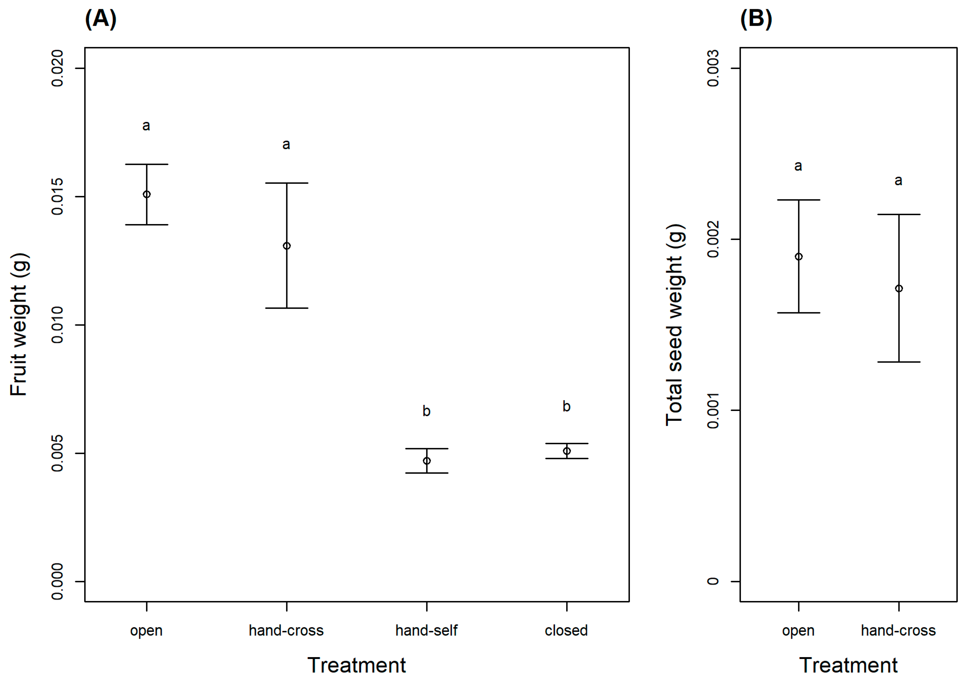
2.1. Mating System
2.2. Pollinator Observations
2.3. Histochemistry
2.4. Floral Nectary Anatomy and Micromorphology
3. Discussion
3.1. Mating System
3.2. Pollinator Observations
3.3. Histochemistry
3.4. Floral Nectary Anatomy and Micromorphology
3.5. Potential Causes of Rarity in A. siamensis
4. Material and Methods
4.1. Study Species and Study Sites
4.2. Mating System
4.3. Pollinator Observations
4.4. Histochemistry
4.5. Floral Nectary Anatomy and Micromorphology
5. Conclusions
Author Contributions
Funding
Institutional Review Board Statement
Data Availability Statement
Acknowledgments
Conflicts of Interest
Ethics Approval
References
- Mittermeier, R.A.; Myers, N.; Thomsen, J.B.; Da Fonseca, G.A.; Olivieri, S. Biodiversity hotspots and major tropical wilderness areas: Approaches to setting conservation priorities. Conserv. Biol. 1998, 12, 516–520. [Google Scholar] [CrossRef]
- Myers, N.; Mittermeier, R.A.; Mittermeier, C.G.; Da Fonseca, G.A.; Kent, J. Biodiversity hotspots for conservation priorities. Nature 2000, 403, 853–858. [Google Scholar] [CrossRef]
- Joppa, L.N.; Roberts, D.L.; Myers, N.; Pimm, S.L. Biodiversity hotspots house most undiscovered plant species. Proc. Natl. Acad. Sci. USA 2011, 108, 13171–13176. [Google Scholar] [CrossRef]
- Morais, A.R.; Siqueira, M.N.; Lemes, P.; Maciel, N.M.; De Marco, P., Jr.; Brito, D. Unraveling the conservation status of Data Deficient species. Biol. Conserv. 2013, 166, 98–102. [Google Scholar] [CrossRef]
- Bland, L.M.; Collen, B.E.N.; Orme, C.D.L.; Bielby, J.O.N. Predicting the conservation status of data-deficient species. Conserv. Biol. 2014, 29, 250–259. [Google Scholar] [CrossRef] [PubMed]
- Parsons, E.C.M. Why IUCN should replace “data deficient” conservation status with a precautionary “assume threatened” status—a cetacean case study. Front. Mar. Sci. 2016, 3, 193. [Google Scholar] [CrossRef]
- Roberts, D.L.; Taylor, L.; Joppa, L.N. Threatened or data deficient: Assessing the conservation status of poorly known species. Divers. Distrib. 2016, 22, 558–565. [Google Scholar] [CrossRef]
- Staples, G.W. New combinations in Thai Convolvulaceae. Thai Forest Bull. (Bot.) 2004, 32, 149–150. [Google Scholar]
- Staples, G.W.; Traiperm, P. A nomenclatural review of Argyreia (Convolvulaceae). Taxon 2017, 66, 445–477. [Google Scholar] [CrossRef]
- Staples, G.W.; Traiperm, P. Argyreia Lour. In Flora of Thailand; Santisuk, T., Larsen, K., Eds.; The Forest Herbarium: Bangkok, Thailand, 2010; Volume 10, pp. 337–371. [Google Scholar]
- Craib, W.G. Contributions to the Flora of Siam. II. List of Siamese plants, with descriptions of new species. Bull. Misc. Inf. 1911, 1911, 385–448. [Google Scholar] [CrossRef]
- Bullock, S.H.; Ayala, R.; Baker, I.; Baker, H.G. Reproductive biology of the tree Ipomoea wolcottiana (Convolvulaceae). Madroño 1987, 34, 304–314. [Google Scholar]
- Pick, R.A.; Schlindwein, C. Pollen partitioning of three species of Convolvulaceae among oligolectic bees in the Caatinga of Brazil. Plant Syst. Evol. 2011, 293, 147–159. [Google Scholar] [CrossRef]
- Kowyama, Y.; Tsuchiya, T.; Kakeda, K. Sporophytic self-incompatibility in Ipomoea trifida, a close relative of sweet potato. Ann. Bot. 2000, 85, 191–196. [Google Scholar] [CrossRef]
- Devall, M.S.; Thien, L.B. Self-incompatibility in Ipomoea pes-caprae (Convolvulaceae). Am. Midl. Nat. 1992, 128, 22–29. [Google Scholar] [CrossRef]
- Hull-Sanders, H.M.; Eubanks, M.D.; Carr, D.E. Inbreeding depression and selfing rate of Ipomoea hederacea var. integriuscula (Convolvulaceae). Am. J. Bot. 2005, 92, 1871–1877. [Google Scholar] [CrossRef] [PubMed]
- Da Paz, J.R.L.; Gimenes, M.; Pigozzo, C.M. Three diurnal patterns of anthesis in Ipomoea carnea subsp. fistulosa (Convolvulaceae): Implications for temporal, behavioral and morphological characteristics of pollinators? Flora-Morphol. Distrib. Funct. Ecol. Plants 2013, 208, 138–146. [Google Scholar] [CrossRef]
- Mcmullen, C.K. Pollination biology of a night-flowering Galápagos endemic, Ipomoea habeliana (Convolvulaceae). Bot. J. Linn. Soc. 2009, 160, 11–20. [Google Scholar] [CrossRef][Green Version]
- Ushimaru, A.; Kikuzawa, K. Variation of breeding system, floral rewards, and reproductive success in clonal Calystegia species (Convolvulaceae). Am. J. Bot. 1999, 86, 436–446. [Google Scholar] [CrossRef] [PubMed]
- Raimúndez-Urrutia, E.; Avendaño, L.; Velázquez, D. Reproductive biology of the morning glory Merremia macrocalyx (Ruiz & Pavon) O’Donnell (Convolvulaceae). J. Torrey Bot. Soc. 2008, 135, 299–308. [Google Scholar]
- Whitehouse, H.L. Multiple-allelomorph incompatibility of pollen and style in the evolution of the angiosperms. Ann. Bot. 1950, 14, 199–216. [Google Scholar] [CrossRef]
- Narayanapur, V.B.; Suma, B.; Minimol, J.S. Self-incompatibility: A pollination control mechanism in plants. Int. J. Plant Sci. 2018, 13, 201–212. [Google Scholar] [CrossRef]
- Richards, A.J. Plant Breeding Systems; Chapman & Hall: London, UK, 1997. [Google Scholar]
- Buchmann, S.L.; Nabhan, G.P. The Forgotten Pollinators; Island: Washington, DC, USA, 1996. [Google Scholar]
- Liu, H.; Koptur, S. Breeding system and pollination of a narrowly endemic herb of the Lower Florida Keys: Impacts of the urban-wildland interface. Am. J. Bot. 2003, 90, 1180–1187. [Google Scholar] [CrossRef]
- Knight, T.M.; Steets, J.A.; Vamosi, J.C.; Mazer, S.J.; Burd, M.; Campbell, D.R.; Dudash, M.R.; Johnston, M.O.; Mitchell, R.J.; Ashman, T.L. Pollen limitation of plant reproduction: Pattern and process. Annu. Rev. Ecol. Evol. Syst. 2005, 36, 467–497. [Google Scholar] [CrossRef]
- Larson, B.M.; Barrett, S.C. A comparative analysis of pollen limitation in flowering plants. Biol. J. Linn. Soc. 2000, 69, 503–520. [Google Scholar] [CrossRef]
- Willmott, A.P.; Burquez, A. The pollination of Merremia palmeri (Convolvulaceae): Can hawk moths be trusted? Am. J. Bot. 1996, 83, 1050–1056. [Google Scholar] [CrossRef]
- Wolf, A.T.; Harrison, S.P. Effects of habitat size and patch isolation on reproductive success of the serpentine morning glory. Conserv. Biol. 2001, 15, 111–121. [Google Scholar] [CrossRef]
- Delgado-Dávila, R.; Martén-Rodríguez, S.; Huerta-Ramos, G. Variation in floral morphology and plant reproductive success in four Ipomoea species (Convolvulaceae) with contrasting breeding systems. Plant Biol. 2016, 18, 903–912. [Google Scholar] [CrossRef]
- Garwood, N.C.; Horvitz, C.C. Factors limiting fruit and seed production of a temperate shrub, Staphylea trifolia L. (Staphyleaceae). Am. J. Bot. 1985, 72, 453–466. [Google Scholar] [CrossRef]
- Byers, D.L. Pollen quantity and quality as explanations for low seed set in small populations exemplified by Eupatorium (Asteraceae). Am. J. Bot. 1995, 82, 1000–1006. [Google Scholar] [CrossRef]
- Kiill, L.H.P.; Ranga, N.T. Pollination ecology of Ipomoea asarifolia (Ders.) Roem. & Schult.(Convolvulaceae) in the semi-arid area of Pernambuco. Acta Bot. Bras. 2003, 17, 355–362. [Google Scholar]
- Keeler, K.H. Ipomoea carnea Jacq. (Convolvulaceae) in Costa Rica. Fac. Publ. Biol. Sci. 1975, 5, 1–6. [Google Scholar]
- Parra-Tabla, V.; Bullock, S.H. Factors limiting fecundity of the tropical tree Ipomoea wolcottiana (Convolvulaceae) in a Mexican tropical dry forest. J. Trop. Ecol. 1998, 14, 615–627. [Google Scholar] [CrossRef]
- Maimoni-Rodella, R.C.S.; Yanagizawa, Y.A.N.P. Floral biology and breeding system of three Ipomoea weeds. Planta Daninha 2007, 25, 35–42. [Google Scholar] [CrossRef]
- Paz, J.R.L.; Pigozzo, C.M. Floral biology and pollination of Merremia dissecta var. edentada (Meisn.) O’Donnell (Convolvulaceae) in an urban fragment of Atlantic Forest, Bahia. Lundiana 2013, 11, 9–16. [Google Scholar]
- Ketjarun, K.; Traiperm, P.; Suddee, S.; Watthana, S.; Gale, S.W. Labellar anatomy of the Nervilia plicata complex (Orchidaceae: Epidendroideae) in tropical Asia. Kew Bull. 2019, 74, 1–13. [Google Scholar] [CrossRef]
- Santos, S.K.; Gimenes, M. The efficiency of bees in pollinating ephemeral flowers of Jacquemontia bracteosa (Convolvulaceae). Iheringia. Série Zool. 2016, 106, 467–497. [Google Scholar] [CrossRef]
- Araujo, L.S.; Medina, A.M.; Gimenes, M. Pollination efficiency on Ipomoea bahiensis (Convolvulaceae): Morphological and behavioural aspects of floral visitors. Iheringia. Série Zool. 2018, 108, 1–5. [Google Scholar] [CrossRef]
- Chitchak, N.; Traiperm, P.; Staples, G.; Rattanakrajang, P.; Sumanon, P. Species delimitation of some Argyreia (Convolvulaceae) using phenetic analyses: Insights from leaf anatomical data reveal a new species. Botany 2018, 96, 217–233. [Google Scholar] [CrossRef]
- Shay, K.R.; Drake, D.R. Pollination Biology of the Hawaiian Coastal Vine Jacquemontia sandwicensis (Convolvulaceae). Pac. Sci. 2018, 72, 485–499. [Google Scholar] [CrossRef]
- Hassa, P.; Traiperm, P.; Stewart, A.B. Pollinator visitation and female reproductive success in two floral color morphs of Ipomoea aquatica (Convolvulaceae). Plant Syst. Evol. 2020, 306, 1–11. [Google Scholar] [CrossRef]
- Inoue, T.; Salmah, S.; Abas, I.; Yusuf, E. Foraging behavior of individual workers and foraging dynamics of colonies of three Sumatran stingless bees. Res. Popul. Ecol. 1985, 27, 373–392. [Google Scholar] [CrossRef]
- Heard, T.A. The role of stingless bees in crop pollination. Annu. Rev. Entomol. 1999, 44, 183–206. [Google Scholar] [CrossRef]
- Slaa, E.J.; Chaves, L.A.S.; Malagodi-Braga, K.S.; Hofstede, F.E. Stingless bees in applied pollination: Practice and perspectives. Apidologie 2006, 37, 293–315. [Google Scholar] [CrossRef]
- Schwarz, H.F. Results of the Oxford University Sarawak (Borneo) expedition: Bornean stingless bees of the genus Trigona. Bull. Am. Mus. Nat. Hist. 1937, 73, 281–328. [Google Scholar]
- Stewart, A.B.; Sritongchuay, T.; Teartisup, P.; Kaewsomboon, S.; Bumrungsri, S. Habitat and landscape factors influence pollinators in a tropical megacity, Bangkok, Thailand. PeerJ 2018, 6, e5335. [Google Scholar] [CrossRef] [PubMed]
- Stewart, A.B.; Waitayachart, P. Year-round temporal stability of a tropical, urban plant-pollinator network. PLoS ONE 2020, 15, e0230490. [Google Scholar] [CrossRef] [PubMed]
- Galetto, L.; Bernardello, G. Floral nectaries, nectar production dynamics and chemical composition in six Ipomoea species (Convolvulaceae) in relation to pollinators. Ann. Bot. 2004, 94, 269–280. [Google Scholar] [CrossRef]
- Kato, M.; Kosaka, Y.; Kawakita, A.; Okuyama, Y.; Kobayashi, C.; Phimminith, T.; Thongphan, D. Plant–pollinator interactions in tropical monsoon forests in Southeast Asia. Am. J. Bot. 2008, 95, 1375–1394. [Google Scholar] [CrossRef] [PubMed]
- Pratheepa, M.; Amala, U.; Shivalingaswamy, T.M. Biodiversity of pollinators in four bee-friendly plant species. J. Biol. Control 2019, 33, 360–364. [Google Scholar] [CrossRef]
- De Souza Pacheco Filho, A.J.; Westerkamp, C.; Freitas, B.M. Ipomoea bahiensis pollinators: Bees or butterflies? Flora-Morphol. Distrib. Funct. Ecol. Plants 2011, 206, 662–667. [Google Scholar] [CrossRef]
- Sandeep, K.J.; Muthuraman, M. Bio-ecology of blue banded bees, Amegilla zonata L. (Apidae: Hymenoptera). J. Entomol. Zool. Stud. 2019, 7, 428–434. [Google Scholar]
- Erhardt, A. Diurnal Lepidoptera: Sensitive indicators of cultivated and abandoned grassland. J. Appl. Ecol. 1985, 223, 849–861. [Google Scholar] [CrossRef]
- Schmitt, T. Influence of forest and grassland management on the diversity and conservation of butterflies and burnet moths (Lepidoptera, Papilionoidea, Hesperiidae, Zygaenidae). Anim. Biodivers. Conserv. 2003, 26, 51–67. [Google Scholar]
- Nacua, A.E.; Mohagan, A.B.; Alejandro, G.J.D. Species Composition and Status of Butterflies in the Sunny and Shady Habitats of Cadaclan, San Fernando, La Union Botanical Garden of North Luzon, Philippines. IAMURE Int. J. Ecol. Conserv. 2015, 13, 63. [Google Scholar] [CrossRef]
- Xing, S.; Bonebrake, T.C.; Tang, C.C.; Pickett, E.J.; Cheng, W.; Greenspan, S.E.; Williams, S.E.; Scheffers, B.R. Cool habitats support darker and bigger butterflies in Australian tropical forests. Ecol. Evol. 2016, 6, 8062–8074. [Google Scholar] [CrossRef] [PubMed]
- Hall, M.A.; Reboud, E.L. High sampling effectiveness for non-bee flower visitors using vane traps in both open and wooded habitats. Austral Entomol. 2019, 58, 836–847. [Google Scholar] [CrossRef]
- Dudareva, N.; Pichersky, E. Biochemical and molecular genetic aspects of floral scents. Plant Physiol. 2000, 122, 627–634. [Google Scholar] [CrossRef] [PubMed]
- Dudareva, N.; Negre, F.; Nagegowda, D.A.; Orlova, I. Plant volatiles: Recent advances and future perspectives. Crit. Rev. Plant Sci. 2006, 25, 417–440. [Google Scholar] [CrossRef]
- Gershenzon, J.; Dudareva, N. The function of terpene natural products in the natural world. Nat. Chem. Biol. 2007, 3, 408–414. [Google Scholar] [CrossRef] [PubMed]
- Knudsen, J.T.; Eriksson, R.; Gershenzon, J.; Stahl, B. Diversity and distribution of floral scent. Bot. Rev. 2006, 72, 1–120. [Google Scholar] [CrossRef]
- Nicolson, S.W.; Thornburg, R.W. Nectar chemistry. In Nectaries and Nectar; Springer: Dordrecht, The Netherlands, 2007; pp. 215–264. [Google Scholar]
- Tholl, D. Terpene synthases and the regulation, diversity and biological roles of terpene metabolism. Curr. Opin. Plant Biol. 2006, 9, 297–304. [Google Scholar] [CrossRef] [PubMed]
- Raguso, R.A.; Light, D.M. Electroantennogram responses of male Sphinx perelegans hawkmoths to floral and “green-leaf volatiles”. Entomol. Exp. Et Appl. 1998, 86, 287–293. [Google Scholar] [CrossRef]
- Shields, V.D.C.; Hildebrand, J.G. Responses of a population of antennal olfactory receptor cells in the female moth Manduca sexta to plant-associated volatile organic compounds. J. Comp. Physiol. A 2001, 186, 1135–1151. [Google Scholar] [CrossRef]
- Wright, G.A.; Lutmerding, A.; Dudareva, N.; Smith, B.H. Intensity and the ratios of compounds in the scent of snapdragon flowers affect scent discrimination by honeybees (Apis mellifera). J. Comp. Physiol. A 2005, 191, 105–114. [Google Scholar] [CrossRef]
- Jung, J.W.; Park, K.W.; Oh, H.W.; Kwon, H.W. Structural and functional differences in the antennal olfactory system of worker honey bees of Apis mellifera and Apis cerana. J. Asia-Pac. Entomol. 2014, 17, 639–646. [Google Scholar] [CrossRef]
- Patricio, E.F.L.R.A.; Cruz-López, L.; Morgan, E.D. Electroantennography in the study of two stingless bee species (Hymenoptera: Meliponini). Braz. J. Biol. 2004, 64, 827–831. [Google Scholar] [CrossRef][Green Version]
- Leonhardt, S.D.; Zeilhofer, S.; Blüthgen, N.; Schmitt, T. Stingless bees use terpenes as olfactory cues to find resin sources. Chem. Senses 2010, 35, 603–611. [Google Scholar] [CrossRef] [PubMed]
- Chen, F.; Tholl, D.; D’Auria, J.C.; Farooq, A.; Pichersky, E.; Gershenzon, J. Biosynthesis and emission of terpenoid volatiles from Arabidopsis flowers. Plant Cell 2003, 15, 481–494. [Google Scholar] [CrossRef] [PubMed]
- Bohm, B.A. Introduction to Flavonoids; Hardwood Academic Publishers: Amsterdam, The Netherlands, 1998; pp. 365–394. [Google Scholar]
- Iwashina, T. Flavonoid function and activity to plants and other organisms. Biol. Sci. Space 2003, 17, 24–44. [Google Scholar] [CrossRef] [PubMed]
- Griesbach, R.J. Biochemistry and genetics of flower color. Plant Breed. Rev. 2005, 25, 89–114. [Google Scholar]
- Gould, K.S.; Lister, C. Flavonoid functions in plants. In Flavonoids: Chemistry, Biochemistry and Applications; CRC Press: Boca Raton, FL, USA, 2006; pp. 397–441. [Google Scholar]
- Samanta, A.; Das, G.; Das, S.K. Roles of flavonoids in plants. Carbon 2011, 100, 12–35. [Google Scholar]
- Agati, G.; Azzarello, E.; Pollastri, S.; Tattini, M. Flavonoids as antioxidants in plants: Location and functional significance. Plant Sci. 2012, 196, 67–76. [Google Scholar] [CrossRef] [PubMed]
- Iwashina, T. The structure and distribution of the flavonoids in plants. J. Plant Res. 2000, 113, 287. [Google Scholar] [CrossRef]
- Thompson, W.R.; Meinwald, J.; Aneshansley, D.; Eisner, T. Flavonols: Pigments responsible for ultraviolet absorption in nectar guide of flower. Science 1972, 177, 528–530. [Google Scholar] [CrossRef]
- Leonard, A.S.; Papaj, D.R. ‘X’marks the spot: The possible benefits of nectar guides to bees and plants. Funct. Ecol. 2011, 25, 1293–1301. [Google Scholar] [CrossRef]
- Schlindwein, C.; Westerkamp, C.; Carvalho, A.T.; Milet-Pinheiro, P. Visual signalling of nectar-offering flowers and specific morphological traits favour robust bee pollinators in the mass-flowering tree Handroanthus impetiginosus (Bignoniaceae). Bot. J. Linn. Soc. 2014, 176, 396–407. [Google Scholar] [CrossRef]
- Govil, C.M. Morphological studies in the family Convolvulaceae. Proc. Indian Acad. Sci.-Sect. B 1972, 75, 271–282. [Google Scholar] [CrossRef]
- Stucky, J.M.; Beckmann, R.L. Pollination biology, self-incompatibility, and sterility in Ipomoea pandurata (L.) GFW Meyer (Convolvulaceae). Am. J. Bot. 1982, 69, 1022–1031. [Google Scholar] [CrossRef]
- Fahn, A. Secretory Tissues in Plants; Academic Press: London, UK, 1979. [Google Scholar]
- Fahn, A. Secretory tissues in vascular plants. New Phytol. 1988, 108, 229–257. [Google Scholar] [CrossRef]
- Fahn, A. Structure and function of secretory cells. Adv. Bot. Res. 2000, 31, 37–75. [Google Scholar]
- Nepi, M. Nectary structure and ultrastructure. In Nectaries and Nectar; Springer: Dordrecht, The Netherlands, 2007; pp. 129–166. [Google Scholar]
- Rattanakrajang, P.; Traiperm, P.; Staples, G.W. Re-evaluation of generic characters for Blinkworthia (Convolvulaceae) based on morphology and reproductive organ development. Plant Syst. Evol. 2018, 304, 415–429. [Google Scholar] [CrossRef]
- Guimarães, E.; Nogueira, A.; Machado, S.R. Floral nectar production and nectary structure of a bee-pollinated shrub from Neotropical savanna. Plant Biol. 2016, 18, 26–36. [Google Scholar] [CrossRef] [PubMed]
- Konarska, A. Comparative micromorphology and anatomy of flowers and floral secretory structures in two Viburnum species. Protoplasma 2017, 254, 523–537. [Google Scholar] [CrossRef] [PubMed]
- Antoń, S.; Komoń-Janczara, E.; Denisow, B. Floral nectary, nectar production dynamics and chemical composition in five nocturnal Oenothera species (Onagraceae) in relation to floral visitors. Planta 2017, 246, 1051–1067. [Google Scholar] [CrossRef]
- Konarska, A.; Masierowska, M. Structure of floral nectaries and female-biased nectar production in protandrous species Geranium macrorrhizum and Geranium phaeum. Protoplasma 2019, 257, 501–523. [Google Scholar] [CrossRef] [PubMed]
- Pacini, E.; Nepi, M. Nectar production and presentation. In Nectaries and Nectar; Springer: Dordrecht, The Netherlands, 2007; pp. 167–214. [Google Scholar]
- Nicolson, S.W. Bee food: The chemistry and nutritional value of nectar, pollen and mixtures of the two. Afr. Zool. 2011, 46, 197–204. [Google Scholar] [CrossRef]
- Baker, H.G.; Baker, I. Amino-acids in nectar and their evolutionary significance. Nature 1973, 241, 543–545. [Google Scholar] [CrossRef]
- Reddi, C.S.; Bai, G.M. Butterflies and pollination biology. Proc. Anim. Sci. 1984, 93, 391–396. [Google Scholar] [CrossRef]
- Crawley, M.J. Seed predators and plant population dynamics. In Seeds: The Ecology of Regeneration in Plant Communities, 2nd ed.; CABI Publishing: Wallingford, UK, 2000; pp. 167–182. [Google Scholar]
- Razi, B.A. A contribution towards the study of the dispersal mechanisms in flowering plants of Mysore (south India). Ecology 1950, 31, 282–286. [Google Scholar] [CrossRef]
- Hebbar, R.; Sashidhar, V.R.; Shaanker, R.U.; Kumar, M.U.; Sudharshana, L. Dispersal mode of species influences the trypsin inhibitor levels in fruits. Naturewissenschaften 1993, 80, 519–521. [Google Scholar] [CrossRef]
- Muthumperumal, C.; Parthasarathy, N. Diversity, distribution and resource values of woody climbers in tropical forests of southern Eastern Ghats, India. J. For. Res. 2013, 24, 365–374. [Google Scholar] [CrossRef]
- Leimu, R.; Mutikainen, P.I.A.; Koricheva, J.; Fischer, M. How general are positive relationships between plant population size, fitness and genetic variation? J. Ecol. 2006, 94, 942–952. [Google Scholar] [CrossRef]
- R Core Team. R: A Language and Environment for Statistical Computing; R Foundation for Statistical Computing: Vienna, Austria, 2020; Available online: https://www.R-project.org/ (accessed on 3 November 2021).
- Suwanphak, K. Thailand Butterfly Guide, 1st ed.; Sarakadee: Nonthaburi, Thailand, 2013. [Google Scholar]
- Suwanphak, K. Thailand Insect Guide, 1st ed.; Sarakadee: Nonthaburi, Thailand, 2016. [Google Scholar]
- David, R.; Carde, J.P. Histochimie-coloration differentielle des inclusions lipidiques et terpeniques des pseudophylles du pin maritime au moyen du reactif NADI. Comptes Rendus Hebd. Des Seances De L Acad. Des Sci. 1964, 258, 1338. [Google Scholar]
- Olaranont, Y.; Stauffer, F.; Traiperm, P.; Staples, G.W. Investigation of the black dots on leaves of Stictocardia species (Convolvulaceae) using anatomical and histochemical analyses. Flora Morphol. Distrib. Funct. Ecol. Plants 2018, 249, 133–142. [Google Scholar] [CrossRef]
- Tattini, M.; Gravano, E.; Pinelli, P.; Mulinacci, N.; Romani, A. Flavonoids accumulate in leaves and glandular trichomes of Phillyrea latifolia exposed to excess solar radiation. New Phytol. 2000, 148, 69–77. [Google Scholar] [CrossRef] [PubMed]
- Staples, G.W.; Traiperm, P.; Chow, J. Another new Thai Argyreia species (Convolvulaceae). Phytotaxa 2015, 204, 223–229. [Google Scholar] [CrossRef]
- Johansen, D.A. Plant Microtechnique; McGraw-Hill Publishing Co., Ltd.: London, UK, 1940. [Google Scholar]
- Arthan, W.; Traiperm, P.; Gale, S.W.; Norsaengsri, M.; Kethirun, L. Re-evaluation of the taxonomic status of Hackelochloa (Poaceae) based on anatomical and phenetic analyses. Bot. J. Linn. Soc. 2016, 181, 224–245. [Google Scholar] [CrossRef]
- Traiperm, P.; Chow, J.; Nopun, P.; Staples, G.W.; Swangpol, S.C. Identification among morphologically similar Argyreia (Convolvulaceae) based on leaf anatomy and phenetic analyses. Bot. Stud. 2017, 58, 25. [Google Scholar] [CrossRef] [PubMed]






Publisher’s Note: MDPI stays neutral with regard to jurisdictional claims in published maps and institutional affiliations. |
© 2021 by the authors. Licensee MDPI, Basel, Switzerland. This article is an open access article distributed under the terms and conditions of the Creative Commons Attribution (CC BY) license (https://creativecommons.org/licenses/by/4.0/).
Share and Cite
Jirabanjongjit, A.; Traiperm, P.; Sando, T.; Stewart, A.B. Pollination and Floral Biology of a Rare Morning Glory Species Endemic to Thailand, Argyreia siamensis. Plants 2021, 10, 2402. https://doi.org/10.3390/plants10112402
Jirabanjongjit A, Traiperm P, Sando T, Stewart AB. Pollination and Floral Biology of a Rare Morning Glory Species Endemic to Thailand, Argyreia siamensis. Plants. 2021; 10(11):2402. https://doi.org/10.3390/plants10112402
Chicago/Turabian StyleJirabanjongjit, Awapa, Paweena Traiperm, Tomoki Sando, and Alyssa B. Stewart. 2021. "Pollination and Floral Biology of a Rare Morning Glory Species Endemic to Thailand, Argyreia siamensis" Plants 10, no. 11: 2402. https://doi.org/10.3390/plants10112402
APA StyleJirabanjongjit, A., Traiperm, P., Sando, T., & Stewart, A. B. (2021). Pollination and Floral Biology of a Rare Morning Glory Species Endemic to Thailand, Argyreia siamensis. Plants, 10(11), 2402. https://doi.org/10.3390/plants10112402

