Different Drought-Tolerant Mechanisms in Quinoa (Chenopodium quinoa Willd.) and Djulis (Chenopodium formosanum Koidz.) Based on Physiological Analysis
Abstract
:1. Introduction
2. Results
2.1. Measurement of Plant Height and Leaf Water Content
2.2. Analysis of Plant Physiological Indices
2.3. Impact of Drought Treatment on Yield Components
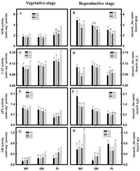
2.4. Analysis of Antioxidant Enzyme Activity
2.5. AsA and GSH Contents Analysis
2.6. Analysis of Proline and Carbohydrate Contents
3. Discussion
4. Materials and Methods
4.1. Plant Material Preparation and Drought Treatments
4.2. Plant Height and Yield Survey
4.3. Analysis of Leaf Water Content and Physiological Parameters
4.4. Analysis of Proline and Carbohydrate Content
4.5. Antioxidant Analysis
4.6. Antioxidant Enzyme Activity Analysis
4.7. Statistical Analysis
5. Conclusions
Author Contributions
Funding
Institutional Review Board Statement
Informed Consent Statement
Data Availability Statement
Conflicts of Interest
References
- Kang, Y.; Khan, S.; Ma, X. Climate change impacts on crop yield, crop water productivity and food security—A review. Prog. Nat. Sci. 2009, 19, 1665–1674. [Google Scholar] [CrossRef]
- Mukherjee, S.; Mishra, A.; Trenberth, K.E. Climate Change and Drought: A Perspective on Drought Indices. Curr. Clim. Chang. Rep. 2018, 4, 145–163. [Google Scholar] [CrossRef]
- Basu, S.; Ramegowda, V.; Kumar, A.; Pereira, A. Plant adaptation to drought stress. F1000Research 2016, 5, 1554. [Google Scholar] [CrossRef]
- Farooq, M.; Wahid, A.; Kobayashi, N.; Fujita, D.; Basra, S.M.A. Plant Drought Stress: Effects, Mechanisms and Management. In Sustainable Agriculture; Lichtfouse, E., Navarrete, M., Debaeke, P., Véronique, S., Alberola, C., Eds.; Springer: Dordrecht, The Netherlands, 2009; pp. 153–188. [Google Scholar] [CrossRef] [Green Version]
- Fang, Y.; Xiong, L. General mechanisms of drought response and their application in drought resistance improvement in plants. Cell. Mol. Life Sci. 2015, 72, 673–689. [Google Scholar] [CrossRef] [PubMed]
- Ahmad, P.; Jamsheed, S.; Hameed, A.; Rasool, S.; Sharma, I.; Azooz, M.M.; Hasanuzzaman, M. Chapter 11—Drought Stress Induced Oxidative Damage and Antioxidants in Plants. In Oxidative Damage to Plants; Ahmad, P., Ed.; Academic Press: San Diego, CA, USA, 2014; pp. 345–367. [Google Scholar] [CrossRef]
- Zivcak, M.; Brestic, M.; Sytar, O. Osmotic Adjustment and Plant Adaptation to Drought Stress. In Drought Stress Tolerance in Plants, Volume 1: Physiology and Biochemistry; Hossain, M.A., Wani, S.H., Bhattacharjee, S., Burritt, D.J., Tran, L.-S.P., Eds.; Springer International Publishing: Cham, Switzerland, 2016; pp. 105–143. [Google Scholar] [CrossRef]
- Fahad, S.; Bajwa, A.A.; Nazir, U.; Anjum, S.A.; Farooq, A.; Zohaib, A.; Sadia, S.; Nasim, W.; Adkins, S.; Saud, S.; et al. Crop Production under Drought and Heat Stress: Plant Responses and Management Options. Front. Plant Sci. 2017, 8. [Google Scholar] [CrossRef] [PubMed] [Green Version]
- Ruiz, K.B.; Biondi, S.; Oses, R.; Acuña-Rodríguez, I.S.; Antognoni, F.; Martinez-Mosqueira, E.A.; Coulibaly, A.; Canahua-Murillo, A.; Pinto, M.; Zurita-Silva, A.; et al. Quinoa biodiversity and sustainability for food security under climate change. A review. Agron. Sustain. Dev. 2014, 34, 349–359. [Google Scholar] [CrossRef] [Green Version]
- González, J.A.; Gallardo, M.; Hilal, M.B.; Rosa, M.D.; Prado, F.E. Physiological responses of quinoa (Chenopodium quinoa) to drought and waterlogging stresses: Dry matter partitioning. Bot. Stud. 2009, 50, 35–42. [Google Scholar]
- Hinojosa, L.; González, J.A.; Barrios-Masias, F.H.; Fuentes, F.; Murphy, K.M. Quinoa Abiotic Stress Responses: A Review. Plants 2018, 7, 106. [Google Scholar] [CrossRef] [PubMed] [Green Version]
- Bhargava, A.; Shukla, S.; Ohri, D. Chenopodium quinoa—An Indian perspective. Ind. Crop. Prod. 2006, 23, 73–87. [Google Scholar] [CrossRef]
- Bhargava, A.; Shukla, S.; Ohri, D. Implications of direct and indirect selection parameters for improvement of grain yield and quality components in Chenopodium quinoa Willd. Int. J. Plant Prod. 2008, 2, 183–192. [Google Scholar]
- Chao, Y.-Y.; Hsueh, I.-E. Insights into physiological mechanisms of salt stress tolerance in djulis (Chenopodium formosanum koidz.) sprouts. J. Plant Biol. 2019, 62, 263–273. [Google Scholar] [CrossRef]
- Tsai, P.-J.; Chen, Y.-S.; Sheu, C.-H.; Chen, C.-Y. Effect of nanogrinding on the pigment and bioactivity of djulis (Chenopodium formosanum Koidz.). J. Agric. Food Chem. 2011, 59, 1814–1820. [Google Scholar] [CrossRef] [PubMed]
- Iqbal, H.; Yaning, C.; Waqas, M.; Shareef, M.; Raza, S.T. Differential response of quinoa genotypes to drought and foliage-applied H2O2 in relation to oxidative damage, osmotic adjustment and antioxidant capacity. Ecotoxicol. Environ. Saf. 2018, 164, 344–354. [Google Scholar] [CrossRef] [PubMed]
- Miranda-Apodaca, J.; Yoldi-Achalandabaso, A.; Aguirresarobe, A.; del Canto, A.; Pérez-López, U. Similarities and differences between the responses to osmotic and ionic stress in quinoa from a water use perspective. Agric. Water Manag. 2018, 203, 344–352. [Google Scholar] [CrossRef]
- Sánchez-Rodríguez, E.; Rubio-Wilhelmi, M.M.; Cervilla, L.M.; Blasco, B.; Rios, J.J.; Rosales, M.A.; Romero, L.; Ruiz, J.M. Genotypic differences in some physiological parameters symptomatic for oxidative stress under moderate drought in tomato plants. Plant Sci. 2010, 178, 30–40. [Google Scholar] [CrossRef]
- Khanna-Chopra, R.; Selote, D.S. Acclimation to drought stress generates oxidative stress tolerance in drought-resistant than -susceptible wheat cultivar under field conditions. Environ. Exp. Bot. 2007, 60, 276–283. [Google Scholar] [CrossRef]
- Kendall, A.C.; Keys, A.J.; Turner, J.C.; Lea, P.J.; Miflin, B.J. The isolation and characterisation of a catalase-deficient mutant of barley (Hordeum vulgare L.). Planta 1983, 159, 505–511. [Google Scholar] [CrossRef] [PubMed]
- Nahar, K.; Hasanuzzaman, M.; Alam, M.M.; Fujita, M. Glutathione-induced drought stress tolerance in mung bean: Coordinated roles of the antioxidant defence and methylglyoxal detoxification systems. AoB Plants 2015, 7. [Google Scholar] [CrossRef] [Green Version]
- Labudda, M.; Azam, F. Glutathione-dependent responses of plants to drought: A review. Acta Soc. Bot. Pol. 2014, 83. [Google Scholar] [CrossRef] [Green Version]
- Ratnayaka, H.H.; Molin, W.T.; Sterling, T.M. Physiological and antioxidant responses of cotton and spurred anoda under interference and mild drought. J. Exp. Bot. 2003, 54, 2293–2305. [Google Scholar] [CrossRef] [PubMed] [Green Version]
- Malan, C. Comparing the Photochemical Potential of Quinoa to Maize under Water Stress Conditions. Ph.D. Thesis, North-West University, Potchefstroom, South Africa, 2020. [Google Scholar]
- Verslues, P.E.; Sharma, S. Proline metabolism and its implications for plant-environment interaction. Arab. Book 2010, 8, e0140. [Google Scholar] [CrossRef] [Green Version]
- Sadak, M.S.; El-Bassiouny, H.M.S.; Dawood, M.G. Role of trehalose on antioxidant defense system and some osmolytes of quinoa plants under water deficit. Bull. Natl. Res. Cent. 2019, 43, 5. [Google Scholar] [CrossRef]
- Mostajeran, A.; Rahimi-Eichi, V. Effects of drought stress on growth and yield of rice (Oryza sativa L.) cultivars and accumulation of proline and soluble sugars in sheath and blades of their different ages leaves. Am.-Eurasian J. Agric. Environ. Sci. 2009, 5, 264–272. [Google Scholar]
- Alqudah, A.M.; Samarah, N.H.; Mullen, R.E. Drought Stress Effect on Crop Pollination, Seed Set, Yield and Quality. In Alternative Farming Systems, Biotechnology, Drought Stress and Ecological Fertilisation; Lichtfouse, E., Ed.; Springer: Dordrecht, The Netherlands, 2011; pp. 193–213. [Google Scholar] [CrossRef]
- Zhou, R.; Yu, X.; Ottosen, C.-O.; Rosenqvist, E.; Zhao, L.; Wang, Y.; Yu, W.; Zhao, T.; Wu, Z. Drought stress had a predominant effect over heat stress on three tomato cultivars subjected to combined stress. BMC Plant Biol. 2017, 17, 24. [Google Scholar] [CrossRef] [Green Version]
- Fischer, S.; Wilckens, R.; Jara, J.; Aranda, M. Variation in antioxidant capacity of quinoa (Chenopodium quinoa Will) subjected to drought stress. Ind. Crop. Prod. 2013, 46, 341–349. [Google Scholar] [CrossRef]
- Al-Naggar, A.; Abd El-Salam, R.; Badran, A.; El-Moghazi, M.M. Drought tolerance of Five Quinoa (Chenopodium quinoa Willd.) Genotypes and Its Association with Other Traits under Moderate and Severe Drought Stress. Asian J. Adv. Agric. Res. 2017, 1–13. [Google Scholar] [CrossRef]
- Sade, N.; Galkin, E.; Moshelion, M. Measuring Arabidopsis, tomato and barley leaf relative water content (RWC). Bio-Protocol 2015, 5, e1451. [Google Scholar] [CrossRef] [Green Version]
- Wintermans, J.; De Mots, A. Spectrophotometric characteristics of chlorophylls a and b and their phenophytins in ethanol. Biochim. Et Biophys. Acta (BBA)-Biophys. Incl. Photosynth. 1965, 109, 448–453. [Google Scholar] [CrossRef]
- Jana, S.; Choudhuri, M.A. Glycolate metabolism of three submersed aquatic angiosperms: Effect of heavy metals. Aquat. Bot. 1981, 11, 67–77. [Google Scholar] [CrossRef]
- Heath, R.L.; Packer, L. Photoperoxidation in isolated chloroplasts: I. Kinetics and stoichiometry of fatty acid peroxidation. Arch. Biochem. Biophys. 1968, 125, 189–198. [Google Scholar] [CrossRef]
- Bates, L.S.; Waldren, R.P.; Teare, I. Rapid determination of free proline for water-stress studies. Plant Soil 1973, 39, 205–207. [Google Scholar] [CrossRef]
- Dubois, M.; Gilles, K.A.; Hamilton, J.K.; Rebers, P.t.; Smith, F. Colorimetric method for determination of sugars and related substances. Anal. Chem. 1956, 28, 350–356. [Google Scholar] [CrossRef]
- Law, M.; Charles, S.A.; Halliwell, B. Glutathione and ascorbic acid in spinach (Spinacia oleracea) chloroplasts. The effect of hydrogen peroxide and of paraquat. Biochem. J. 1983, 210, 899–903. [Google Scholar] [CrossRef] [PubMed] [Green Version]
- Smith, I.K. Stimulation of glutathione synthesis in photorespiring plants by catalase inhibitors. Plant Physiol. 1985, 79, 1044–1047. [Google Scholar] [CrossRef] [Green Version]
- Paoletti, F.; Aldinucci, D.; Mocali, A.; Caparrini, A. A sensitive spectrophotometric method for the determination of superoxide dismutase activity in tissue extracts. Anal. Biochem. 1986, 154, 536–541. [Google Scholar] [CrossRef]
- Nakano, Y.; Asada, K. Hydrogen peroxide is scavenged by ascorbate-specific peroxidase in spinach chloroplasts. Plant Cell Physiol. 1981, 22, 867–880. [Google Scholar] [CrossRef]
- Kato, M.; Shimizu, S. Chlorophyll metabolism in higher plants. VII. Chlorophyll degradation in senescing tobacco leaves; phenolic-dependent peroxidative degradation. Can. J. Bot. 1987, 65, 729–735. [Google Scholar] [CrossRef]
- Foster, J.G.; Hess, J.L. Responses of superoxide dismutase and glutathione reductase activities in cotton leaf tissue exposed to an atmosphere enriched in oxygen. Plant Physiol. 1980, 66, 482–487. [Google Scholar] [CrossRef]








| Variety | Treatment | Spike Number | Inflorescence Length (cm) | Inflorescence Weight (g) | Shoot Fresh Weight (g) | Shoot Dry Weight (g) | Grain Weight (g) | 1000 Seeds Weight (g) |
|---|---|---|---|---|---|---|---|---|
| RP | 90% | ND | 60.0 ± 2.3a | 64.8 ± 4.1a | 132.0 ± 9.6a | 44.5 ± 3.1a | 25.1 ± 2.6a | 1.37 ± 0.03a |
| 75% | ND | 62.3 ± 1.9a | 53.2 ± 3.1b | 98.3 ± 4.7bc | 33.1 ± 1.6b | 19.0 ± 1.5b | 1.26 ± 0.04a | |
| 50% | ND | 61.5 ± 1.3a | 58.4 ± 2.2ab | 116.8 ± 8.5ab | 42.8 ± 4.9ab | 20.4 ± 1.5ab | 1.34 ± 0.10a | |
| 25% | ND | 53.2 ± 1.4b | 40.2 ± 1.9c | 85.1 ± 6.5c | 32.6 ± 3.1b | 13.4 ± 1.3c | 1.35 ± 0.04a | |
| OR | 90% | ND | 65.5 ± 1.0a | 62.3 ± 2.6a | 106.5 ± 5.9a | 40.8 ± 2.2a | 22.9 ± 1.3a | 1.48 ± 0.06a |
| 75% | ND | 62.6 ± 3.3a | 66.1 ± 7.0a | 116.9 ± 11.4a | 46.6 ± 3.3a | 23.4 ± 3.6a | 1.57 ± 0.02a | |
| 50% | ND | 46.5 ± 1.1b | 34.1 ± 2.1b | 75.8 ± 3.6b | 27.9 ± 2.2b | 14.7 ± 1.3b | 1.48 ± 0.03a | |
| 25% | ND | 46.5 ± 1.5b | 42.0 ± 2.3b | 79.4 ± 3.6b | 31.7 ± 1.5b | 16.1 ± 1.5b | 1.55 ± 0.06a | |
| PI | 90% | 20.2 ± 0.9a | 27.4 ± 2.2a | 92.2 ± 4.8a | 119.5 ± 4.5a | 28.5 ± 3.2a | 9.3 ± 2.2a | 1.61 ± 0.07a |
| 75% | 18.7 ± 1.3ab | 29.6 ± 2.0a | 94.7 ± 10.3a | 131.3 ± 14.4a | 32.5 ± 3.1a | 11.3 ± 1.2a | 1.73 ± 0.03a | |
| 50% | 16.7 ± 1.1b | 28.1 ± 0.7a | 79.2 ± 7.3a | 110.3 ± 9.2a | 24.4 ± 3.2ab | 7.9 ± 1.3ab | 1.63 ± 0.05a | |
| 25% | 12.3 ± 0.3b | 29.6 ± 1.0a | 52.5 ± 6.5b | 68.3 ± 8.4b | 20.0 ± 1.1b | 4.5 ± 0.7b | 1.57 ± 0.03a |
| Antioxidant | Variety | Treatment | |||||||
|---|---|---|---|---|---|---|---|---|---|
| Vegetative Stage | Reproductive Stage | ||||||||
| 90% | 75% | 50% | 25% | 90% | 75% | 50% | 25% | ||
| ASA content (μmol g−1 FW) | RP | 9.47 ± 0.65a | 8.33 ± 0.42a | 9.67 ± 0.96a | 9.19 ± 0.71a | 10.07 ± 0.86a | 12.11 ± 0.83a | 10.85 ± 0.56a | 11.46 ± 0.64a |
| OR | 9.73 ± 0.40a | 10.33 ± 0.21a | 10.94 ± 0.60a | 10.72 ± 0.14a | 14.37 ± 0.63a | 13.88 ± 1.30a | 13.20 ± 0.43a | 15.24 ± 1.14a | |
| PI | 1.79 ± 0.56b | 2.26 ± 0.13b | 2.46 ± 0.07b | 4.08 ± 0.27a | 5.33 ± 0.80a | 4.21 ± 0.45a | 4.18 ± 0.22a | 5.88 ± 0.79a | |
| DHA content (μmol g−1 FW) | RP | 6.44 ± 0.32a | 5.51 ± 0.57a | 6.03 ± 0.24a | 6.23 ± 0.29a | 6.85 ± 0.25ab | 7.46 ± 0.28a | 6.19 ± 0.17b | 6.83 ± 0.25ab |
| OR | 6.43 ± 0.38a | 6.97 ± 0.32a | 6.40 ± 0.27a | 6.29 ± 0.21a | 7.17 ± 0.22a | 8.02 ± 0.35a | 7.45 ± 0.17a | 7.25 ± 0.39a | |
| PI | 2.45 ± 0.73b | 3.20 ± 0.12b | 3.27 ± 0.11b | 4.06 ± 0.16a | 5.32 ± 0.58a | 4.66 ± 0.34a | 4.56 ± 0.28a | 4.95 ± 0.16a | |
| ASA/DHA ratio | RP | 1.5 ± 0.2a | 1.6 ± 0.1a | 1.6 ± 0.1a | 1.5 ± 0.1a | 1.5 ± 0.1a | 1.5 ± 0.1a | 1.8 ± 0.1a | 1.7 ± 0.1a |
| OR | 1.5 ± 0.1b | 1.5 ± 0.1b | 1.6 ± 0.1ab | 1.7 ± 0.1a | 2.0 ± 0.1a | 1.7 ± 0.0b | 1.8 ± 0.0b | 2.1 ± 0.1a | |
| PI | 0.7 ± 0.1b | 0.7 ± 0.1b | 0.8 ± 0.1b | 1.0 ± 0.1a | 1.0 ± 0.1b | 0.9 ± 0.1b | 0.9 ± 0.1b | 1.2 ± 0.1a | |
| GSH content (nmol g−1 FW) | RP | 7.85 ± 0.91a | 6.18 ± 0.72a | 6.73 ± 0.85a | 6.43 ± 0.69a | 3.78 ± 0.38b | 7.99 ± 0.93a | 4.44 ± 0.47b | 5.40 ± 0.46b |
| OR | 9.98 ± 0.45b | 13.61 ± 0.83a | 9.77 ± 0.80b | 10.30 ± 0.55b | 10.29 ± 0.97a | 4.72 ± 0.59b | 5.40 ± 0.70b | 8.51 ± 1.00a | |
| PI | 3.35 ± 0.30a | 3.05 ± 0.22a | 3.65 ± 0.44a | 2.90 ± 0.31a | 3.30 ± 0.30a | 3.44 ± 0.30a | 2.98 ± 0.53a | 3.18 ± 0.43a | |
| GSSG content (nmol g−1 FW) | RP | 4.61 ± 0.34b | 5.75 ± 0.27b | 5.42 ± 0.51b | 7.28 ± 0.53a | 13.35 ± 0.60c | 22.85 ± 1.53a | 17.65 ± 0.53b | 23.01 ± 1.39a |
| OR | 6.07 ± 0.20b | 5.07 ± 0.36b | 5.83 ± 0.45b | 7.51 ± 0.35a | 28.98 ± 1.65a | 19.87 ± 1.82b | 21.43 ± 1.66b | 24.08 ± 1.22ab | |
| PI | 1.61 ± 0.23a | 1.83 ± 0.39a | 1.70 ± 0.32a | 2.34 ± 0.11a | 2.37 ± 0.07b | 2.48 ± 0.47b | 2.48 ± 0.16b | 4.06 ± 0.28a | |
| GSH/GSS Gratio | RP | 1.6 ± 0.1a | 1.2 ± 0.1b | 1.1 ± 0.1b | 0.9 ± 0.1b | 0.3 ± 0.1b | 0.3 ± 0.1a | 0.3 ± 0.1b | 0.2 ± 0.1b |
| OR | 1.7 ± 0.1ab | 1.8 ± 0.3a | 1.6 ± 0.1ab | 1.2 ± 0.1b | 0.4 ± 0.1a | 0.3 ± 0.1b | 0.2 ± 0.1b | 0.4 ± 0.1a | |
| PI | 2.2 ± 0.2a | 2.1 ± 0.3a | 2.0 ± 0.3a | 1.2 ± 0.1b | 1.4 ± 0.1a | 1.3 ± 0.2a | 1.3 ± 0.1a | 0.7 ± 0.1b | |
Publisher’s Note: MDPI stays neutral with regard to jurisdictional claims in published maps and institutional affiliations. |
© 2021 by the authors. Licensee MDPI, Basel, Switzerland. This article is an open access article distributed under the terms and conditions of the Creative Commons Attribution (CC BY) license (https://creativecommons.org/licenses/by/4.0/).
Share and Cite
Lin, P.-H.; Chao, Y.-Y. Different Drought-Tolerant Mechanisms in Quinoa (Chenopodium quinoa Willd.) and Djulis (Chenopodium formosanum Koidz.) Based on Physiological Analysis. Plants 2021, 10, 2279. https://doi.org/10.3390/plants10112279
Lin P-H, Chao Y-Y. Different Drought-Tolerant Mechanisms in Quinoa (Chenopodium quinoa Willd.) and Djulis (Chenopodium formosanum Koidz.) Based on Physiological Analysis. Plants. 2021; 10(11):2279. https://doi.org/10.3390/plants10112279
Chicago/Turabian StyleLin, Pin-Hua, and Yun-Yang Chao. 2021. "Different Drought-Tolerant Mechanisms in Quinoa (Chenopodium quinoa Willd.) and Djulis (Chenopodium formosanum Koidz.) Based on Physiological Analysis" Plants 10, no. 11: 2279. https://doi.org/10.3390/plants10112279
APA StyleLin, P.-H., & Chao, Y.-Y. (2021). Different Drought-Tolerant Mechanisms in Quinoa (Chenopodium quinoa Willd.) and Djulis (Chenopodium formosanum Koidz.) Based on Physiological Analysis. Plants, 10(11), 2279. https://doi.org/10.3390/plants10112279

