Performance of Winter-Sown Cereal Catch Crops after Simulated Forage Crop Grazing in Southland, New Zealand
Abstract
:1. Introduction
2. Results and Discussion
2.1. Climate and Drainage
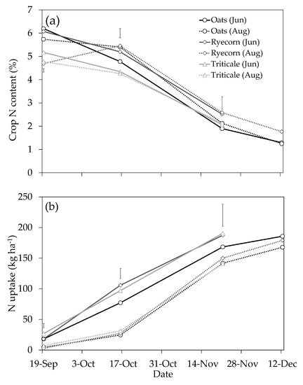
2.2. Crop Development, Nitrogen and Feed Quality
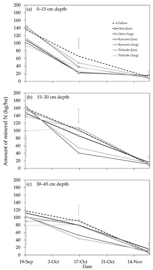
2.3. Soil Mineral Nitrogen
2.4. Net Nitrogen Supply
2.5. Practical Considerations
3. Materials and Methods
3.1. Site Information
3.2. Trial Design and Treatments
3.3. Measurements
3.4. Statistical Analysis
4. Conclusions
- In the cold climate of Southland, New Zealand, winter-sown catch crops of oats, ryecorn or triticale were shown to have potential to establish and remove residual SMN and water from the soil, reducing the risk of N leaching losses after simulated winter forage grazing. One of the challenges ahead for this practice in a working farm system is the ability to sow the catch crops into suitable seedbeds, considering the typically wet and/or pugged conditions that are often associated with winter grazing, particularly in Southland.
- Final green-chop silage maturity yields ranged from 6.6 to 14.6 t DM ha−1, presenting significant productivity opportunities for the use of catch crops in this context. Higher yields were achieved when crops were sown earlier in winter.
- Early sowing in winter was particularly important for capturing N during the high-risk drainage/leaching period, i.e., winter months until approximately mid-spring. Farmers should, therefore, aim to sow cereal catch crops as early as possible following winter forage crop grazing, in order to maximize both the environmental and productive benefits of catch crops.
- When sown in June, oats took up less N than ryecorn and triticale during early growth stages; however, delayed sowings until August resulted in non-significant differences between species.
- High N losses evidently occurred from this simulated winter grazing scenario. Between 19 September and 21 November, there were substantial losses of N within the soil profile (0–45 cm depth) across all treatments. This is unsurprising given the shallow, free-draining nature of the soil, the wet conditions and the large volumes of estimated drainage. The amount of N in the crop at harvest was insufficient to balance the N pools ((N uptake + Residual SMN) − (Initial N + N added)) and the difference was likely to have been a source for significant N loss via leaching.
- This information can be used to validate and improve modeling platforms (e.g., APSIM; https://www.apsim.info/) for future scenario testing to investigate a range of seasonal, soil type and management factors.
Author Contributions
Funding
Institutional Review Board Statement
Informed Consent Statement
Data Availability Statement
Acknowledgments
Conflicts of Interest
References
- Edwards, J.; Mashlan, K.; Dalley, D.; Pinxterhuis, J. A survey of dairy cow wintering practices in Canterbury, New Zealand. Anim. Prod. Sci. 2017, 57, 1323–1329. [Google Scholar] [CrossRef]
- Edwards, G.R.; de Ruiter, J.M.; Dalley, D.E.; Pinxterhuis, J.B.; Cameron, K.C.; Bryant, R.H.; Malcolm, B.J.; Chapman, D.F. Dry matter intake and body condition score change of dairy cows grazing fodder beet, kale and kale-oat forage systems in winter. Proc. N. Z. Grassl. Assoc. 2014, 76, 81–87. [Google Scholar] [CrossRef]
- Selbie, D.R.; Buckthought, L.E.; Shepherd, M.A. The challenge of the urine patch for managing nitrogen in grazed pasture systems. Adv. Agron. 2015, 129, 229–292. [Google Scholar]
- Monaghan, R.M.; Wilcock, R.J.; Smith, L.C.; Tikkisetty, B.; Thorrold, B.S.; Costall, D. Linkages between land management activities and water quality in an intensively farmed catchment in southern New Zealand. Agric. Ecosyst. Environ. 2007, 118, 211–222. [Google Scholar] [CrossRef]
- Shepherd, M.; Stafford, A.; Smeaton, D. The use of a nitrification inhibitor (DCnTM) to reduce nitrate leaching under a winter-grazed forage crop in the Central Plateau. Proc. N. Z. Grassl. Assoc. 2012, 74, 103–107. [Google Scholar]
- Monaghan, R.M.; Smith, L.C.; de Klein, C.A.M. The effectiveness of the nitrification inhibitor dicyandiamide (DCD) in reducing nitrate leaching and nitrous oxide emissions from a grazed winter forage crop in southern New Zealand. Agric. Ecosyst. Environ. 2013, 175, 29–38. [Google Scholar] [CrossRef]
- Smith, L.C.; Orchiston, T.; Monaghan, R.M. The effectiveness of the nitrification inhibitor dicyandiamide (DCD) for mitigating nitrogen leaching losses from a winter grazed forage crop on a free draining soil in northern Southland. Proc. N. Z. Grassl. Assoc. 2012, 74, 39–44. [Google Scholar]
- Malcolm, B.; Cameron, K.; Edwards, G.; Di, H.; de Ruiter, J.; Dalley, D. Nitrate leaching losses from lysimeters simulating winter grazing of fodder beet by dairy cows. N. Z. J. Agric. Res. 2016, 59, 194–203. [Google Scholar] [CrossRef]
- Teixeira, E.; Johnstone, P.; Chakwizira, E.; de Ruiter, J.; Malcolm, B.; Shaw, N.; Zyskowski, R.; Khaembah, E.; Sharp, J.; Meenken, E.; et al. Sources of variability in the effectiveness of winter cover crops for mitigating N leaching. Agric. Ecosyst. Environ. 2016, 220, 226–235. [Google Scholar] [CrossRef]
- Carey, P.L.; Cameron, K.C.; Di, H.J.; Edwards, G.R.; Chapman, D.F. Sowing a winter catch crop can reduce nitrate leaching losses from winter-applied urine under simulated forage grazing: A lysimeter study. Soil Use Manag. 2016, 32, 329–337. [Google Scholar] [CrossRef]
- Malcolm, B.J.; de Ruiter, J.M.; Dalley, D.E.; Carrick, S.; Waugh, D.; Arnold, N.P.; Dellow, S.J.; Beare, M.H.; Johnstone, P.R.; Wohlers, M.; et al. Catch crops and feeding strategy can reduce the risk of nitrogen leaching in late lactation fodder beet systems. N. Z. J. Agric. Res. 2020, 63, 44–64. [Google Scholar] [CrossRef]
- Malcolm, B.; Carey, P.; Teixeira, E.; Johnstone, P.; Maley, S.; de Ruiter, J. Potential of catch crops to reduce nitrogen leaching in New Zealand winter grazing systems. J. N. Z. Grass. 2018, 80, 207–214. [Google Scholar] [CrossRef]
- Malcolm, B.; Teixeira, E.; Johnstone, P.; Maley, S.; de Ruiter, J.; Chakwizira, E. Catch crops after winter grazing for production and environmental benefits. Proc. Agron. Soc. N. Z. 2016, 46, 99–108. [Google Scholar]
- Caradus, J.R.; Russell, A.; Chapman, T.J.; Wood, L.; Bowater, P. A new winter active crop to improve soil nitrogen uptake. J. N. Z. Grass. 2018, 80, 185–190. [Google Scholar] [CrossRef]
- Carey, P.; Cameron, K.; Di, H.; Edwards, G. Comparison of nitrate leaching from oats and Italian ryegrass catch crops following simulated winter forage grazing: A field lysimeter study. N. Z. J. Agric. Res. 2017, 60, 298–318. [Google Scholar] [CrossRef]
- Yusoff, M.M.; Moot, D.J.; McKenzie, B.A.; Hill, G.D. Quantification of vegetative development of faba bean, oats, and Italian ryegrass. Crop Pasture Sci. 2012, 63, 1097–1105. [Google Scholar] [CrossRef]
- Forsberg, R.A.; Reeves, D.L. Agronomy of oats. In The Oat Crop; World Crop Series; Springer: Dordrecht, The Netherlands, 1995; pp. 223–251. [Google Scholar]
- Thapa, R.; Mirsky, S.B.; Tully, K.L. Cover crops reduce nitrate leaching in agroecosystems: A global meta-analysis. J. Environ. Qual. 2018, 47, 1400–1411. [Google Scholar] [CrossRef]
- McDondald, R.; Stephen, R. Effect of sowing and harvesting dates on dry matter production of autumn-sown Tama ryegrass, ryecorn, and oats. N. Z. J. Exp. Agric. 1979, 7, 271–275. [Google Scholar] [CrossRef]
- Malcolm, B.; Teixeira, E.; Johnstone, P.; Maley, S.; de Ruiter, J.; Chakwizira, E. Establishment methods of oat catch crops after winter forage grazing. Proc. Agron. Soc. N. Z. 2017, 47, 65–77. [Google Scholar]
- Martini, M.; McKenzie, B.; Moot, D.; Hill, G.; de Ruiter, J. Dry matter accumulation of oats sown at five different sowing dates. Proc. Agron. Soc. N. Z. 2009, 39, 71–80. [Google Scholar]
- Zyskowski, R.F.; Teixeira, E.I.; Malcolm, B.J.; Johnstone, P.R.; de Ruiter, J.M. Effectiveness of winter cover crops to reduce nitrogen leaching losses in cropping systems in Waikato, New Zealand. Proc. Agron. Soc. N. Z. 2016, 46, 109–119. [Google Scholar]
- Millner, J. Yield and quality of cereals grown for silage. Proc. Agron. Soc. N. Z. 2002, 32, 99–105. [Google Scholar]
- Eagles, H.; Lewis, T.; Holland, R.; Haslemore, R. Quality and quantity of forage from winter oats in the Manawatu. N. Z. J. Exp. Agric. 1979, 7, 337–341. [Google Scholar] [CrossRef]
- De Ruiter, J.M.; Hanson, R.; Hay, A.S.; Armstrong, K.W.; Harrison-Kirk, R.D. Whole-crop cereals for grazing and silage: Balancing quality and quantity. Proc. N. Z. Grassl. Assoc. 2002, 64, 181–189. [Google Scholar]
- Carey, P.; Malcolm, B.; Maley, S.; Hu, W. New tillage technology to improve catch crop outcomes in Southland. In Nutrient ManageMent in Farmed Landscapes; Occasional Report No. 33; Christensen, C.L., Horne, D.J., Sing, R., Eds.; Farmed Landscapes Research Centre, Massey University: Palmerston North, New Zealand, 2020; 11p, Available online: https://www.massey.ac.nz/~flrc/workshops/20/Manuscripts/Paper_Carey_2020.pdf (accessed on 3 April 2020).
- Monaghan, R.; Laurenson, S.; Dalley, D.; Orchiston, T. Grazing strategies for reducing contaminant losses to water from forage crop fields grazed by cattle during winter. N. Z. J. Agric. Res. 2017, 60, 333–348. [Google Scholar] [CrossRef]
- Landcare Research. Smap Online [Website]. Available online: http://smap.landcareresearch.co.nz/home (accessed on 4 May 2018).
- Subbarao, G.; Ito, O.; Berry, W.; Wheeler, R. Sodium—A functional plant nutrient. CRC Crit. Rev. Plant. Sci. 2003, 22, 391–416. [Google Scholar]








| Month of Sowing | Catch Crop Species | CP | SSS | Crude Fat | Lignin | NDF | ADF | Hemi-Cellulose | DOMD | ME | Total ME Harvested |
|---|---|---|---|---|---|---|---|---|---|---|---|
| (%) | (%) | (%) | (%) | (%) | (%) | (%) | (%) | (MJ kg−1 DM) | (GJ ha−1) | ||
| June | Oats | 11.8d | 21.5a | 2.25b | 2.20b | 51.8b | 29.5b | 22.3c | 67.1b | 10.73b | 156.4a |
| Ryecorn | 13.7cd | 12.7d | 1.45c | 3.75a | 63.6a | 35.7a | 27.9a | 53.3d | 8.55d | 67.8c | |
| Triticale | 13.0cd | 17.0c | 1.43c | 2.40b | 60.8a | 34.0a | 26.7a | 57.4c | 9.20c | 85.0c | |
| August | Oats | 12.7cd | 22.3a | 2.55a | 2.03b | 48.0c | 27.5c | 20.5d | 72.1a | 11.53a | 155.2a |
| Ryecorn | 16.2a | 17.1c | 2.28b | 2.03b | 53.8b | 29.5b | 24.3b | 66.7b | 10.55b | 108.2b | |
| Triticale | 14.0bc | 18.8b | 2.25b | 2.38b | 51.7b | 29.3b | 22.4c | 65.8b | 10.53b | 69.6c | |
| LSD (5%) | 2.2 | 2.4 | 0.22 | 0.49 | 3.1 | 1.8 | 1.6 | 2.7 | 0.44 | 17.3 | |
| P value | 0.500 | 0.097 | 0.003 | <0.001 | 0.021 | 0.01 | 0.079 | 0.002 | 0.003 | <0.001 | |
| Main effect means | |||||||||||
| Sowing date: | |||||||||||
| June | 12.8a | 17.1b | 1.71b | 2.78a | 58.7a | 33.1a | 25.7a | 59.3b | 9.49b | 103.1a | |
| August | 14.3b | 19.4a | 2.36a | 2.14b | 51.2b | 28.8b | 22.4b | 68.0a | 10.88a | 111.0a | |
| LSD (5%) | 1.3 | 1.4 | 0.13 | 0.28 | 1.8 | 1.0 | 0.9 | 1.5 | 0.25 | 10.0 | |
| P value | 0.026 | 0.003 | <0.001 | <0.001 | <0.001 | <0.001 | <0.001 | <0.001 | <0.001 | 0.112 | |
| Species: | |||||||||||
| Oats | 12.2b | 21.9a | 2.40a | 2.11b | 49.9c | 28.5c | 21.4c | 69.6a | 11.13a | 155.8a | |
| Ryecorn | 15.0a | 14.9c | 1.86b | 2.89a | 58.7a | 32.6a | 26.1a | 59.7c | 9.56b | 88.0b | |
| Triticale | 13.5ab | 17.0b | 1.84b | 2.39b | 56.2b | 31.7b | 24.6b | 61.6b | 9.86b | 77.3b | |
| LSD (5%) | 1.6 | 1.7 | 0.16 | 0.35 | 2.2 | 1.3 | 1.1 | 1.9 | 0.31 | 12.2 | |
| P value | 0.007 | <0.001 | <0.001 | <0.001 | <0.001 | <0.001 | <0.001 | <0.001 | <0.001 | <0.001 | |
| Fertility Indicator | Average Site Value | Optimum Range 1 |
|---|---|---|
| pH | 5.7 | 5.7–6.2 |
| Olsen P (mg L−1) | 22 | 20–30 |
| Exchangeable K (QT) | 6 | 5–8 |
| Exchangeable Ca (QT) | 8 | 4–10 |
| Exchangeable Mg (QT) | 11 | ≥9 |
| Exchangeable Na (QT) | 2 | 10–12 |
| CEC (me 100 g−1) | 21 | 12–25 |
Publisher’s Note: MDPI stays neutral with regard to jurisdictional claims in published maps and institutional affiliations. |
© 2021 by the authors. Licensee MDPI, Basel, Switzerland. This article is an open access article distributed under the terms and conditions of the Creative Commons Attribution (CC BY) license (http://creativecommons.org/licenses/by/4.0/).
Share and Cite
Malcolm, B.; Maley, S.; Teixeira, E.; Johnstone, P.; de Ruiter, J.; Brown, H.; Armstrong, S.; Dellow, S.; George, M. Performance of Winter-Sown Cereal Catch Crops after Simulated Forage Crop Grazing in Southland, New Zealand. Plants 2021, 10, 108. https://doi.org/10.3390/plants10010108
Malcolm B, Maley S, Teixeira E, Johnstone P, de Ruiter J, Brown H, Armstrong S, Dellow S, George M. Performance of Winter-Sown Cereal Catch Crops after Simulated Forage Crop Grazing in Southland, New Zealand. Plants. 2021; 10(1):108. https://doi.org/10.3390/plants10010108
Chicago/Turabian StyleMalcolm, Brendon, Shane Maley, Edmar Teixeira, Paul Johnstone, John de Ruiter, Hamish Brown, Stewart Armstrong, Steven Dellow, and Mike George. 2021. "Performance of Winter-Sown Cereal Catch Crops after Simulated Forage Crop Grazing in Southland, New Zealand" Plants 10, no. 1: 108. https://doi.org/10.3390/plants10010108
APA StyleMalcolm, B., Maley, S., Teixeira, E., Johnstone, P., de Ruiter, J., Brown, H., Armstrong, S., Dellow, S., & George, M. (2021). Performance of Winter-Sown Cereal Catch Crops after Simulated Forage Crop Grazing in Southland, New Zealand. Plants, 10(1), 108. https://doi.org/10.3390/plants10010108
