Measuring Selection Diversity of Emergency Medical Service for Metro Stations: A Case Study in Beijing
Abstract
1. Introduction
- How many ambulance stations are available or can serve the rescue of metro stations in emergency?
- Which ambulance stations are most vulnerable?
2. Literature Review
3. Methodology
3.1. Framework of Method
- Data preparation: Because the number of origin-destinations is vary large due to the large number of ambulance stations and metro stations, the common survey method cannot be used to the obtain the travel time data between any ambulance station and metro stations because of the financial and staff cost. Therefore, the crawler method [39] is used to obtain the travel time data from the electronic map.
- Selection diversity analysis: First the definition of available ambulance station is given and the proposed selection diversity is formulated. The selection diversity is analyzed from three aspects: distribution of number of available ambulance stations, spatial distribution of metro stations without EMS support and the most vulnerable ambulance stations. Finally, the discussion and suggestions are given based on the analysis results.
3.2. Available Ambulance Station
3.3. Selection Diversity of EMS for Metro Stations
4. Numerical Example
4.1. Metro Stations and EMS in Beijing
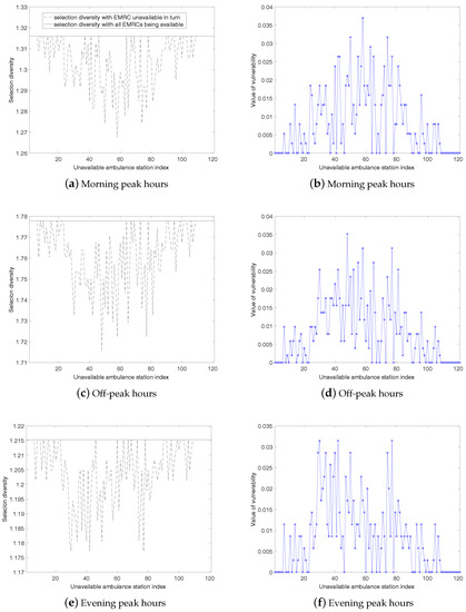
4.2. Model Results and Discussion
5. Conclusions and Extension
Author Contributions
Funding
Acknowledgments
Conflicts of Interest
References
- Yang, Y.; Liu, Y.; Zhou, M.; Li, F.; Sun, C. Robustness assessment of urban rail transit based on complex network theory: A case study of the Beijing Subway. Saf. Sci. 2015, 79, 149–162. [Google Scholar] [CrossRef]
- Jiang, C.; Deng, Y.; Hu, C.; Ding, H.; Chow, W.K. Crowding in platform staircases of a subway station in China during rush hours. Saf. Sci. 2009, 47, 931–938. [Google Scholar] [CrossRef]
- Ma, T.; Xu, X.; Ning, J. Research on propagation laws of explosion shock wave inside metro station. J. Loss Prev. Process Ind. 2017, 46, 54–68. [Google Scholar] [CrossRef]
- Zhao, D.; Jiang, J.; Zhou, R.; Tong, Y.; Wu, F.; Shi, L. Numerical study on the optimisation of smoke ventilation mode for interchange subway station fire. Int. J. Vent. 2016, 15, 79–93. [Google Scholar] [CrossRef]
- Daskin, M.S. Application of an expected covering model to emergency medical service system design. Decis. Sci. 1982, 13, 416–439. [Google Scholar] [CrossRef]
- Johnson, C.W. Using evacuation simulations for contingency planning to enhance the security and safety of the 2012 olympic venues. Saf. Sci. 2008, 46, 302–322. [Google Scholar] [CrossRef]
- Schmid, M.; Deisenberg, M.; Strauss, H.; Schüttler, J.; Birkholz, T. Equipment of a land-based emergency medical service in Bavaria: A questionnaire. Der Anaesthesist 2006, 55, 1051–1057. [Google Scholar] [CrossRef] [PubMed]
- Reilly, M.J.; Markenson, D.; DiMaggio, C. Comfort level of emergency medical service providers in responding to weapons of mass destruction events: Impact of training and equipment. Prehosp. Disaster Med. 2007, 22, 297–303. [Google Scholar] [CrossRef] [PubMed]
- Toro-DíAz, H.; Mayorga, M.E.; Chanta, S.; Mclay, L.A. Joint location and dispatching decisions for emergency medical services. Comput. Ind. Eng. 2013, 64, 917–928. [Google Scholar] [CrossRef]
- Li, Q.; Deng, Y.; Liu, C.; Zeng, Q.; Lu, Y. Modeling and analysis of subway fire emergency response: An empirical study. Saf. Sci. 2016, 84, 171–180. [Google Scholar] [CrossRef]
- Zhong, M.; Shi, C.; Fu, T.; He, L.; Shi, J. Study in performance analysis of China Urban Emergency Response System based on Petri net. Saf. Sci. 2010, 48, 755–762. [Google Scholar] [CrossRef]
- Rao, A. Counterexamples for the Location of Emergency Service Facilities. Oper. Res. 1974, 22, 1259–1261. [Google Scholar] [CrossRef]
- Li, X.; Zhao, Z.; Zhu, X.; Wyatt, T. Covering models and optimization techniques for emergency response facility location and planning: A review. Math. Methods Oper. Res. 2011, 74, 281–310. [Google Scholar] [CrossRef]
- Başar, A.; Çatay, B.; Ünlüyurt, T. A taxonomy for emergency service station location problem. Optim. Lett. 2012, 6, 1147–1160. [Google Scholar] [CrossRef]
- Cheng, Y.H.; Liang, Z.X. A strategic planning model for the railway system accident rescue problem. Transp. Res. Part E Logist. Transp. Rev. 2014, 69, 75–96. [Google Scholar] [CrossRef]
- Taylor, B.M. Spatial modelling of emergency service response times. J. R. Stat. Soc. Ser. A (Stat. Soc.) 2017, 180, 433–453. [Google Scholar] [CrossRef]
- Goldberg, J.B. Operations research models for the deployment of emergency services vehicles. EMS Manag. J. 2004, 1, 20–39. [Google Scholar]
- Scott, D.W.; Factor, L.E.; Gorry, G.A. Predicting the response time of an urban ambulance system. Health Serv. Res. 1978, 13, 404. [Google Scholar] [PubMed]
- Aringhieri, R.; Carello, G.; Morale, D. Ambulance Location through Optimization and Simulation: The Case of Milano Urban Area; Università Degli Studi di Milano, Polo Didattico e di Ricerca di Crema: Milan, Italiy, 2007. [Google Scholar]
- Inoue, H.; Yanagisawa, S.; Kamae, I. Computer-simulated assessment of methods of transporting severely injured individuals in disaster: Case study of an airport accident. Comput. Methods Prog. Biomed. 2006, 81, 256–265. [Google Scholar] [CrossRef] [PubMed]
- Wang, Y.; Luangkesorn, K.L.; Shuman, L. Modeling emergency medical response to a mass casualty incident using agent based simulation. Soc.-Econ. Plan. Sci. 2012, 46, 281–290. [Google Scholar] [CrossRef]
- Silva, P.M.S.; Pinto, L.R. Emergency medical systems analysis by simulation and optimization. In Proceedings of the Winter Simulation Conference, Baltimore, MD, USA, 5–8 December 2010; pp. 2422–2432. [Google Scholar]
- Van Buuren, M.; van der Mei, R.; Aardal, K.; Post, H. Evaluating dynamic dispatch strategies for emergency medical services: TIFAR simulation tool. In Proceedings of the 2012 Winter IEEE Simulation Conference (WSC), Berlin, Germany, 9–12 December 2012; pp. 1–12. [Google Scholar]
- Lee, T.; Cho, S.H.; Jang, H.; Turner, J.G. A simulation-based iterative method for a trauma center: Air ambulance location problem. In Proceedings of the Winter Simulation Conference, Berlin, Germany, 9–12 December 2012; p. 85. [Google Scholar]
- Zhang, G.; Ma, J.; Lu, J. Emergency management evaluation by a fuzzy multi-criteria group decision support system. Stoch. Environ. Res. Risk Assess. 2009, 23, 517–527. [Google Scholar] [CrossRef]
- Blackwell, T.H.; Kaufman, J.S. Response time effectiveness: Comparison of response time and survival in an urban emergency medical services system. Acad. Emerg. Med. 2002, 9, 288–295. [Google Scholar] [CrossRef] [PubMed]
- Wilde, E.T. Do emergency medical system response times matter for health outcomes? Health Econ. 2013, 22, 790–806. [Google Scholar] [CrossRef] [PubMed]
- Fitch, J. Response times: Myths, measurement & management. JEMS J. Emerg. Med. Serv. 2005, 30, 47–56. [Google Scholar]
- Wang, J.W.; Rong, L.L. Robustness of the western United States power grid under edge attack strategies due to cascading failures. Saf. Sci. 2011, 49, 807–812. [Google Scholar] [CrossRef]
- Chen, C.; Huang, G.H.; Li, Y.P.; Zhou, Y. A robust risk analysis method for water resources allocation under uncertainty. Stoch. Environ. Res. Risk Assess. 2013, 27, 713–723. [Google Scholar] [CrossRef]
- Beraldi, P.; Bruni, M.E.; Conforti, D. Designing robust emergency medical service via stochastic programming. Eur. J. Oper. Res. 2004, 158, 183–193. [Google Scholar] [CrossRef]
- Zhang, Z.H.; Jiang, H. A robust counterpart approach to the bi-objective emergency medical service design problem. Appl. Math. Model. 2014, 38, 1033–1040. [Google Scholar] [CrossRef]
- Shishebori, D.; Babadi, A.Y. Robust and reliable medical services network design under uncertain environment and system disruptions. Transp. Res. Part E Logist. Transp. Rev. 2015, 77, 268–288. [Google Scholar] [CrossRef]
- Song, X.; Xie, Z.; Xu, Y.; Tan, G.; Tang, W.; Bi, J.; Li, X. Supporting real-world network-oriented mesoscopic traffic simulation on GPU. Simul. Model. Pract. Theory 2017, 74, 46–63. [Google Scholar] [CrossRef]
- Alonso, B.; Pòrtilla, Á.I.; Musolino, G.; Rindone, C.; Vitetta, A. Network Fundamental Diagram (NFD) and traffic signal control: First empirical evidences from the city of Santander. Transp. Res. Procedia 2017, 27, 27–34. [Google Scholar] [CrossRef]
- Polimeni, A.; Vitetta, A. Dynamic vehicle routing in road evacuation: A model for route design. WIT Trans. Built Environ. 2011, 116, 627–638. [Google Scholar]
- Russo, F.; Rindone, C. Urban exposure: Training activities and risk reduction. WIT Trans. Ecol. Environ. 2014, 191, 991–1001. [Google Scholar]
- Giovanna, C.; Giuseppe, M.; Antonio, P.; Corrado, R.; Francesco, R.; Antonino, V. Transport models and intelligent transportation system to support urban evacuation planning process. IET Intell. Transp. Syst. 2016, 10, 279–286. [Google Scholar] [CrossRef]
- Baeza-Yates, B.V.; Castillo, C. Quality and Freshness in Web Crawling; Center for Web Research, Dept. of Computer Science, University of Chile: Santiago, Chile, 2002; pp. 1–10. [Google Scholar]
- Zaki, A.S.; Cheng, H.K.; Parker, B.R. A simulation model for the analysis and management of an emergency service system. Soc.-Econ. Plan. Sci. 1997, 31, 173–189. [Google Scholar] [CrossRef]
- Al-Ghamdi, A.S. Emergency medical service rescue times in Riyadh. Accid. Anal. Prev. 2002, 34, 499–505. [Google Scholar] [CrossRef]
- Chaiken, J.M.; Larson, R.C. Methods for allocating urban emergency units. Manag. Sci. 1971, 19, P110–P130. [Google Scholar] [CrossRef]
- Griffin, R.; McGwin, G. Emergency Medical Service Providers’ Experiences with Traffic Congestion. J. Emerg. Med. 2013, 44, 398–405. [Google Scholar] [CrossRef] [PubMed]
- Schmid, V.; Doerner, K.F. Ambulance location and relocation problems with time-dependent travel times. Eur. J. Oper. Res. 2010, 207, 1293–1303. [Google Scholar] [CrossRef] [PubMed]
- Hu, S. Online mapping service for fire service first responders using google maps api. Pap. Appl. Geogr. Conf. 2012, 35, 52–61. [Google Scholar]
- Hu, S.; Dai, T. Online Map Application Development Using Google Maps API, SQL Database, and ASP.NET. Int. J. Inf. Commun. Technol. Res. 2013, 3, 3. [Google Scholar]
- Xu, Y.; Zhang, Q.; Zheng, S. The rising demand for subway after private driving restriction: Evidence from Beijing’s housing market. Reg. Sci. Urban Econ. 2015, 54, 28–37. [Google Scholar] [CrossRef]
- Center, B.T.R. Beijing Transportation Annual Report; Technical Report; Tsinghua University Press: Beijing, China, 2016. [Google Scholar]
- Zhang, Z.; Jia, L.; Qin, Y.; Yun, T. Optimization-based feedback control of passenger flow in subway stations for improving level of service. Transp. Lett. 2017, 7, 1–12. [Google Scholar] [CrossRef]
- Lu, Y.; Li, Q.; Xiao, W. Case-based reasoning for automated safety risk analysis on subway operation: Case representation and retrieval. Saf. Sci. 2013, 57, 75–81. [Google Scholar] [CrossRef]









| 7:00–9:00 | ||||||||||
| index | 58 | 74 | 50 | 63 | 77 | 65 | 55 | 43 | 42 | 81 |
| 1.267 | 1.274 | 1.274 | 1.278 | 1.281 | 1.281 | 1.281 | 1.281 | 1.281 | 1.285 | |
| 0.037 | 0.032 | 0.032 | 0.029 | 0.026 | 0.026 | 0.026 | 0.026 | 0.026 | 0.024 | |
| 10:00–16:00 | ||||||||||
| index | 48 | 77 | 58 | 65 | 55 | 81 | 52 | 42 | 30 | 74 |
| 1.715 | 1.722 | 1.722 | 1.729 | 1.729 | 1.733 | 1.733 | 1.733 | 1.733 | 1.736 | |
| 0.035 | 0.031 | 0.031 | 0.027 | 0.027 | 0.025 | 0.025 | 0.025 | 0.025 | 0.023 | |
| 17:00–20:00 | ||||||||||
| index | 77 | 42 | 30 | 74 | 50 | 40 | 34 | 29 | 37 | 57 |
| 1.177 | 1.177 | 1.177 | 1.181 | 1.181 | 1.181 | 1.181 | 1.186 | 1.184 | 1.188 | |
| 0.031 | 0.031 | 0.031 | 0.029 | 0.029 | 0.029 | 0.029 | 0.029 | 0.026 | 0.023 | |
© 2018 by the authors. Licensee MDPI, Basel, Switzerland. This article is an open access article distributed under the terms and conditions of the Creative Commons Attribution (CC BY) license (http://creativecommons.org/licenses/by/4.0/).
Share and Cite
Zhang, Z.; Jia, L.; Qin, Y. Measuring Selection Diversity of Emergency Medical Service for Metro Stations: A Case Study in Beijing. ISPRS Int. J. Geo-Inf. 2018, 7, 260. https://doi.org/10.3390/ijgi7070260
Zhang Z, Jia L, Qin Y. Measuring Selection Diversity of Emergency Medical Service for Metro Stations: A Case Study in Beijing. ISPRS International Journal of Geo-Information. 2018; 7(7):260. https://doi.org/10.3390/ijgi7070260
Chicago/Turabian StyleZhang, Zhe, Limin Jia, and Yong Qin. 2018. "Measuring Selection Diversity of Emergency Medical Service for Metro Stations: A Case Study in Beijing" ISPRS International Journal of Geo-Information 7, no. 7: 260. https://doi.org/10.3390/ijgi7070260
APA StyleZhang, Z., Jia, L., & Qin, Y. (2018). Measuring Selection Diversity of Emergency Medical Service for Metro Stations: A Case Study in Beijing. ISPRS International Journal of Geo-Information, 7(7), 260. https://doi.org/10.3390/ijgi7070260
