Distributed Temperature Measurement in a Self-Burning Coal Waste Pile through a GIS Open Source Desktop Application
Abstract
:1. Introduction
2. Case Study—ECOAL MGT Project (Ecological Management of Coal Waste Piles in Combustion)
3. Methodology
3.1. Multi-Point Measurement Sensing System
3.2. Open Source GIS Software and Programming Language
3.3. Geographical Information System (GIS)-ECOAL Application
3.3.1. Graphic Interface
3.3.2. Application Architecture
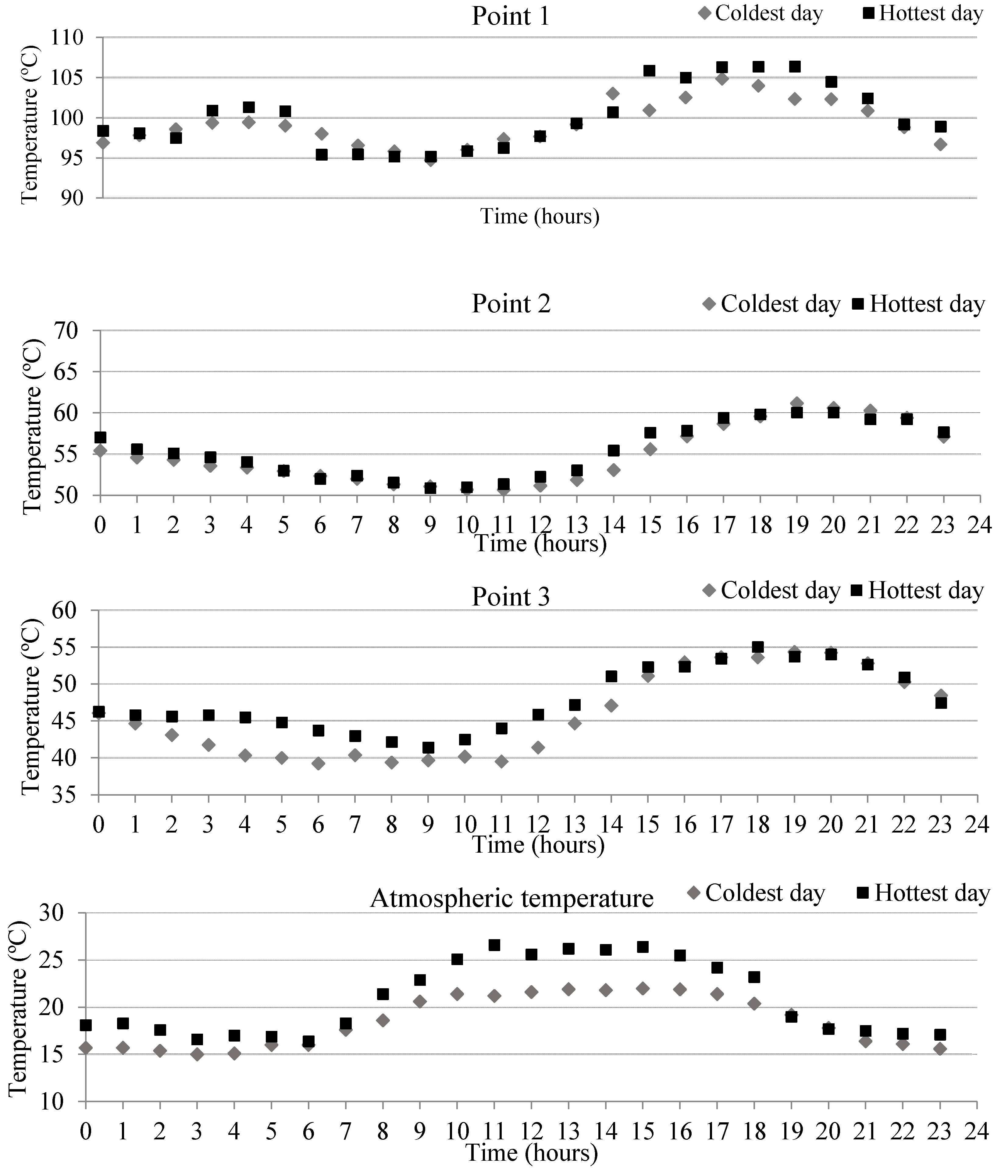
4. Experimental Validation
5. Results and Discussion
6. Conclusions
Acknowledgments
Author Contributions
Conflicts of Interest
References
- Orem, W.H.; Finkelman, R.B. Coal formation and geochemistry. In Treatise on Geochemistry, Sediments Diagenesis and Sedimentary Rocks; Holland, H.D., Turekian, K.K., Mackenzie, F.T., Eds.; Elsevier: Amsterdam, The Netherlands, 2004; Volume 7, pp. 191–222. [Google Scholar]
- Suárez-Ruiz, I.; Crelling, J.C. (Eds.) Applied Coal Petrology: The Role of Petrology in Coal Utilization; Elsevier: Amsterdam, The Netherlands, 2008.
- Stracher, G.B.; Prakash, A.; Sokol, E.V. Coal and Peat Fires: A Global Perspective. Volume 1: Coal—Geology and Combustion; Elsevier: Amsterdam, The Netherlands, 2011. [Google Scholar]
- Stracher, G.B.; Prakash, A.; Sokol, E.V. Coal and Peat Fires: A Global Perspective. Volume 2: Photographs and Multimedia Tours; Elsevier: Amsterdam, The Netherlands, 2013. [Google Scholar]
- Stracher, G.B.; Prakash, A.; Sokol, E.V. Coal and Peat Fires: A Global Perspective. Volume 3: Case Studies—Coal Fires; Elsevier: Amsterdam, The Netherlands, 2015. [Google Scholar]
- Ribeiro, J.; da Silva, E.F.; Flores, D. Burning of coal waste piles from Douro Coalfield (Portugal): Petrological, geochemical and mineralogical characterization. Int. J. Coal Geol. 2010, 81, 359–372. [Google Scholar] [CrossRef]
- Ribeiro, J.; Moura, R.; Flores, D.; Lopes, D.B.; Gouveia, C.; Mendonça, S.; Frazão, O. The Douro Coalfield fires of Portugal. In Coal and Peat Fires: A Global Perspective. Volume 2 Coal-Fire Atlas of the World; Stracher, G.B., Prakash, A., Sokol, E.V., Eds.; Elsevier: Amsterdam, The Netherlands, 2013; pp. 313–337. [Google Scholar]
- Suárez-Ruiz, I.; Flores, D.; Mendonça Filho, J.G.; Hackley, P.C. Review and update of the applications of organic petrology: Part 2, geological and multidisciplinary applications. Int. J. Coal Geol. 2012, 98, 73–94. [Google Scholar] [CrossRef]
- Papadimitriou, F. Modelling landscape complexity for land use management in Rio de Janeiro, Brazil. Land Use Policy 2012, 29, 855–861. [Google Scholar] [CrossRef]
- Mishra, N.K.; Bahuguna, P.P.; Singh, V.K. Detection of coal mine fire in Jharia Coal Field using Landsat-7 ETM+ data. Int. J. Coal Geol. 2011, 86, 73–78. [Google Scholar] [CrossRef]
- Gangopadhyay, P.K.; Lahiri-Dutt, K.; Saha, K. Application of remote sensing to identify coalfires in the Raniganj Coalbelt, India. Int. J. Appl. Earth Obs. Geoinf. 2006, 8, 188–195. [Google Scholar] [CrossRef]
- Chen, J.; Li, K.; Chang, K.-J.; Sofia, G.; Tarolli, P. Open-pit mining geomorphic feature characterization. Int. J. Appl. Earth Obs. Geoinf. 2015, 42, 76–86. [Google Scholar] [CrossRef]
- Prakash, A.; Vekerdy, Z. Design and implementation of a dedicated prototype GIS for coal fire investigations in North China. Int. J. Coal Geol. 2004, 59, 107–119. [Google Scholar] [CrossRef]
- Voigt, S.; Tetzlaff, A.; Zhang, J.; Künzer, C.; Zhukov, B.; Strunz, G.; Oertel, D.; Roth, A.; van Dijk, P.; Mehl, H. Integrating satellite remote sensing techniques for detection and analysis of uncontrolled coal seam fires in North China. Int. J. Coal Geol. 2004, 59, 121–136. [Google Scholar] [CrossRef]
- Zhang, J.; Wagner, W.; Prakash, A.; Mehl, H.; Voigt, S. Detecting coal fires using remote sensing techniques. Int. J. Remote Sens. 2004, 25, 3193–3220. [Google Scholar] [CrossRef]
- Prakash, A.; Schaefer, K.; Witte, W.K.; Collins, K.; Gens, R.; Goyette, M.P. A remote sensing and GIS based investigation of a boreal forest coal fire. Int. J. Coal Geol. 2011, 86, 79–86. [Google Scholar] [CrossRef]
- Ali, M.M.; Youhei, K.; Mostafa, S.; Knox, C.E.; Markus, W.; Hyongdoo, J.; Hirokazu, O. Development of underground mine monitoring and communication system integrated ZigBee and GIS. Int. J. Min. Sci. Technol. 2015, 25, 811–818. [Google Scholar]
- Wu, J.; Liu, X. Risk assessment of underground coal fire development at regional scale. Int. J. Coal Geol. 2011, 86, 87–94. [Google Scholar] [CrossRef]
- Ozdeniz, A.H.; Corumluoglu, O.; Kalayci, I.; Sensogut, C. 3.5 D temperature model of a coal stockpile. Energy Sources Part A Recovery Util. Environ. Effect 2008, 30, 1085–1097. [Google Scholar] [CrossRef]
- Bui, D.T.; Le, K.-T.T.; Nguyen, V.C.; Le, H.D.; Revhaug, I. Tropical forest fire susceptibility mapping at the Cat Ba National Park Area, Hai Phong City, Vietnam, using GIS-based Kernel Logistic Regression. Remote Sens. 2016, 8, 347. [Google Scholar]
- Bui, D.T.; Buib, Q.T.; Nguyenc, Q.-P.; Pradhand, B.; Nampakd, H.; Trinh, P.T. A hybrid artificial intelligence approach using GIS-based neural-fuzzyinference system and particle swarm optimization for forest firesusceptibility modeling at a tropical area. Agric. For. Meteorol. 2017, 233, 32–44. [Google Scholar]
- Teodoro, A.C.; Duarte, L. Forest fire risk maps: A GIS open source application—A case study in Norwest of Portugal. Int. J. Geogr. Inf. Sci. 2013, 27, 699–720. [Google Scholar] [CrossRef]
- Duarte, L.; Teodoro, A.C.; Gonçalves, J.A.; Guerner Dias, A.J.; Espinha Marques, J. A dynamic map application for the assessment of groundwater vulnerability to pollution. Environ. Earth Sci. 2015, 74, 2315–2327. [Google Scholar] [CrossRef]
- Gharechelou, S.; Tateichi, R.; Sharma, R.C.; Alan Jonhson, B. Soil moisture mapping in an arid area using a Land Unit Area (LUA) sampling approach and geostatistical interpolation techniques. Int. J. Geo-Inf. 2016, 5, 35. [Google Scholar] [CrossRef]
- Lee, S.; Park, I. Application of decision tree model for the ground subsidence hazard mapping near abandoned underground coal mines. J. Environ. Manag. 2013, 127, 166–176. [Google Scholar] [CrossRef] [PubMed]
- Song, J.; Han, C.; Li, P.; Zhang, J.; Liu, D.; Jiang, M.; Zheng, L.; Zhang, J.; Song, J. Quantitative prediction of mining subsidence and its impact on the environment. Int. J. Min. Sci. Technol. 2012, 22, 69–73. [Google Scholar]
- Meng, L.; Feng, Q.; Wu, K.; Meng, Q. Quantitative evaluation of soil erosion of land subsided by coal mining using RUSLE. Int. J. Min. Sci. Technol. 2012, 22, 7–11. [Google Scholar] [CrossRef]
- Duarte, L.; Teodoro, A.C.; Gonçalves, J.A.; Soares, D.; Cunha, M. Assessing soil erosion risk using RUSLE through a GIS open source desktop and web application. Environ. Monit. Assess. 2016, 188, 351. [Google Scholar] [CrossRef] [PubMed]
- Yenilmez, F.; Kuter, N.; Emil, N.K.; Aksoy, A. Evaluation of pollution levels at an abandoned coal mine site in Turkey with the aid of GIS. Int. J. Coal Geol. 2011, 86, 12–19. [Google Scholar] [CrossRef]
- Hannemann, W.; Brock, T.; Busch, W. GIS for combined storage and analysis of data from terrestrial and synthetic aperture radar remote sensing deformation measurements in hard coal mining. Int. J. Coal Geol. 2011, 86, 54–57. [Google Scholar] [CrossRef]
- Oh, H.J.; Lee, S. Integration of ground subsidence hazard maps of abandoned coal mines in Samcheok, Korea. Int. J. Coal Geol. 2011, 86, 58–72. [Google Scholar] [CrossRef]
- Lemos de Sousa, M.J.; Wagner, R.H. General description of the terrestrial Carboniferous basins in Portugal and history of investigations. In The Carboniferous of Portugal; Lemos de Sousa, M.J., Oliveira, J.T., Eds.; Memórias dos Serviços Geológicos de Portugal: Lisboa, Portugal, 1983; Volume 29, pp. 117–126. [Google Scholar]
- Wagner, R.H.; Lemos de Sousa, M.J. The Carboniferous Megafloras of Portugal—A revision of identifications and discussion of stratigraphic ages. In The Carboniferous of Portugal; Lemos de Sousa, M.J., Oliveira, J.T., Eds.; Memórias dos Serviços Geológicos de Portugal: Lisboa, Portugal, 1983; Volume 29, pp. 127–152. [Google Scholar]
- Pinto de Jesus, A. Génese e Evolução da Bacia Carbonífera do Douro (Estefaniano C Inferior, NW de Portugal): Um Modelo. Ph.D. Thesis, Universidade do Porto, Porto, Portugal, 2001. [Google Scholar]
- Pinto de Jesus, A. Evolução Sedimentar e Tectónica da Bacia Carbonífera do Douro (Estefaniano C Inferior, NW de Portugal); Cadernos do Laboratorio Xeolóxico de Laxe: Coruna, Spain, 2003; Volume 28, pp. 107–125. [Google Scholar]
- ISO 11760. Classification of Coals, 1st ed.; International Organization for Standardization: Geneva, Switzerland, 2005; p. 9. [Google Scholar]
- Ribeiro, J.; Flores, D.; Ward, C.; Silva, L.F.O. Identification of nanominerals and nanoparticles in burning coal waste piles from Portugal. Sci. Total Environ. 2010, 408, 6032–6041. [Google Scholar] [CrossRef] [PubMed]
- Ribeiro, J.; Ferreira da Silva, E.; Pinto de Jesus, A.; Flores, D. Petrographic and geochemical characterization of coal waste piles from Douro Coalfield. Int. J. Coal Geol. 2011, 87, 226–236. [Google Scholar] [CrossRef]
- Ribeiro, J.; Viveiros, D.; Ferreira, J.; Santos, J.L.; Baptista, J.M.; Flores, D. Monitorização Ambiental da escombreira de S. Pedro da Cova: Temperatura de combustão. Comunicação Geol. 2014, 101, 1063–1065. [Google Scholar]
- Ribeiro, J.; Sant’Ovaia, H.; Gomes, C.; Ward, C.; Flores, D. Mineralogy and magnetic parameters of materials resulting from mining and consumption of coal from Douro Coalfield (NW Portugal). In Coal and Peat Fires: A Global Perspective. Volume 3 Case Studies—Coal Fires; Stracher, G.B., Prakash, A., Sokol, E.V., Eds.; Elsevier: Amsterdam, The Netherlands, 2015; pp. 493–507. [Google Scholar]
- Horiguchi, T.; Tateda, M. BOTDA-nondestructive measurement of single-mode optical fiber attenuation characteristics using Brillouin interaction: Theory. J. Lightwave Technol. 1989, 7, 1170–1176. [Google Scholar] [CrossRef]
- Niklés, M.; Thévenaz, L.; Robert, P.A. Simple distributed fiber sensor based on Brillouin gain spectrum analysis. IEEE J. Lightwave Technol. 1996, 21, 758–760. [Google Scholar] [CrossRef]
- Li, W.; Bao, X.; Li, Y.; Chen, L. Differential pulse-width pair BOTDA for high spatial resolution sensing. Opt. Express 2008, 16, 21616–21625. [Google Scholar] [CrossRef] [PubMed]
- Dominguez-Lopez, A.; Lopez-Gil, A.; Martin-Lopez, S.; Gonzalez-Herraez, M. Signal-to-noise ratio improvement in BOTDA using balanced detection. IEEE Photonics Technol. 2014, 26, 338–341. [Google Scholar] [CrossRef]
- Lopez-Gil, A.; Dominguez-Lopez, A.; Martin-Lopez, S.; Gonzalez-Herraez, M. Simple method for the elimination of polarization noise in BOTDA using balanced detection and orthogonal probe sidebands. J. Lightwave Technol. 2015, 33, 2605–2610. [Google Scholar] [CrossRef]
- Viveiros, D.; Ribeiro, J.; Ferreira, J.; Lopez-Aldaba, A.; Pinto, A.M.R.; Perez-Herrera, R.A.; Diaz, S.; Lopez-Gil, A.; Dominguez-Lopez, A.; Esteban, O.; et al. Fiber optic sensing system for temperature and gas monitoring in coal waste pile combustion environments. Proc. SPIE 2015, 24, 87943P:1–87943P:4. [Google Scholar]
- DGT. Direção Geral do Território. 2015. Available online: http://www.dgterritorio.pt/ (accessed on 10 June 2015).
- Duarte, L.; Teodoro, A.C. An easy, accurate and efficient procedure to create Forest Fire Risk Maps using Modeler (SEXTANTE plugin). J. For. Res. 2016, 27, 1361–1372. [Google Scholar] [CrossRef]
- Duarte, L.; Teodoro, A.C.; Maia, D.; Barbosa, D. Radio astronomy demonstrator: Assessment of the appropriate sites through a GIS open source application. ISPRS Int. J. Geo-Inf. 2016, 5, 209. [Google Scholar] [CrossRef]
- Python. Available online: https://www.Python.org (accessed on 13 May 2015).
- PyQt4 API. PyQt Class Reference. Available online: http://pyqt.sourceforge.net/Docs/PyQt4/classes.html (accessed on 13 February 2015).
- QGIS API. QGIS API Documentation. Available online: http://www.qgis.org/api/ (accessed on 14 August 2015).
- Qt API Reference. Qt API Documentation. Available online: http://doc.qt.io/qt-4.8/qdir.html (accessed on 14 August 2015).
- SAGA GIS Module Library Documentation. Available online: http://www.saga-gis.org/saga_module_doc/2.1.3/statistics_kriging_0.html (accessed on 14 August 2015).
- Ffmpeg. Ffmpeg Documentation. Available online: https://www.ffmpeg.org (accessed on 2 September 2015).
- Phonon Class Reference. Available online: http://pyqt.sourceforge.net/Docs/PyQt4/phonon.html (accessed on 2 September 2015).
- Matplotlib. Available online: http://matplotlib.org/ (accessed on 2 September 2015).
- Vicente-Serrano, S.M.; Saz-Sanchez, M.A.; Cuadrat, J.M. Comparative analysis of interpolation methods in the middle Ebro Valley (Spain): Application to annual precipitation and temperature. Clim. Res. 2003, 24, 161–180. [Google Scholar] [CrossRef]
- Journel, A.G.; Huijbregts, C.J. Mining Geostatistics; Academic Press: New York, NY, USA, 1978. [Google Scholar]
- Konan, B.; Slivitzky, M.; Gagnon, P.; Rousseau, A.N. Validation of the meteorological outputs of the Canadian regional climate model using a kriging method: Application to Southern Quebec. Can. Water Resour. J. 2010, 35, 259–280. [Google Scholar] [CrossRef]
- Cressie, N.A.C. Statistics for Spatial Data; John Wiley & Sons: New York, NY, USA, 1991. [Google Scholar]
- GRASS. The World’s Leading Free GIS Software. Available online: http://grass.osgeo.org/ (accessed on 13 February 2015).
- GIS-ECOAL. GIS-ECOAL, An Open Source Application. 2017. Available online: http://www.fc.up.pt/pessoas/liaduarte/GIS-ECOAL.rar (accessed on 15 March 2017).











| IDW 1 | Kriging | Triangulation | |
|---|---|---|---|
| Number of Samples | 327 | 327 | 319 |
| Average (°C) | −0.19 | 0.11 | 0.02 |
| Standard Deviation (°C) | 5.65 | 4.32 | 2.57 |
| RMS 2 (°C) | 5.66 | 4.34 | 2.63 |
| Percentual RMS (%) 3 | 8.04 | 5.56 | 3.23 |
| Minimum (°C) | −22.46 | −17.64 | −22.52 |
| Maximum (°C) | 26.12 | 18.55 | 13.98 |
| Day | Max. Temperature (°C) | Max. Humidity (%) | |
|---|---|---|---|
| Coldest Day | 11 July | 22.0 | 87 |
| Hottest Day | 17 July | 26.6 | 93 |
© 2017 by the authors. Licensee MDPI, Basel, Switzerland. This article is an open access article distributed under the terms and conditions of the Creative Commons Attribution (CC BY) license ( http://creativecommons.org/licenses/by/4.0/).
Share and Cite
Duarte, L.; Teodoro, A.C.; Gonçalves, J.A.; Ribeiro, J.; Flores, D.; Lopez-Gil, A.; Dominguez-Lopez, A.; Angulo-Vinuesa, X.; Martin-Lopez, S.; Gonzalez-Herraez, M. Distributed Temperature Measurement in a Self-Burning Coal Waste Pile through a GIS Open Source Desktop Application. ISPRS Int. J. Geo-Inf. 2017, 6, 87. https://doi.org/10.3390/ijgi6030087
Duarte L, Teodoro AC, Gonçalves JA, Ribeiro J, Flores D, Lopez-Gil A, Dominguez-Lopez A, Angulo-Vinuesa X, Martin-Lopez S, Gonzalez-Herraez M. Distributed Temperature Measurement in a Self-Burning Coal Waste Pile through a GIS Open Source Desktop Application. ISPRS International Journal of Geo-Information. 2017; 6(3):87. https://doi.org/10.3390/ijgi6030087
Chicago/Turabian StyleDuarte, Lia, Ana Cláudia Teodoro, José Alberto Gonçalves, Joana Ribeiro, Deolinda Flores, Alexia Lopez-Gil, Alejandro Dominguez-Lopez, Xabier Angulo-Vinuesa, Sonia Martin-Lopez, and Miguel Gonzalez-Herraez. 2017. "Distributed Temperature Measurement in a Self-Burning Coal Waste Pile through a GIS Open Source Desktop Application" ISPRS International Journal of Geo-Information 6, no. 3: 87. https://doi.org/10.3390/ijgi6030087
APA StyleDuarte, L., Teodoro, A. C., Gonçalves, J. A., Ribeiro, J., Flores, D., Lopez-Gil, A., Dominguez-Lopez, A., Angulo-Vinuesa, X., Martin-Lopez, S., & Gonzalez-Herraez, M. (2017). Distributed Temperature Measurement in a Self-Burning Coal Waste Pile through a GIS Open Source Desktop Application. ISPRS International Journal of Geo-Information, 6(3), 87. https://doi.org/10.3390/ijgi6030087

