Methodology for Evaluating the Quality of Ecosystem Maps: A Case Study in the Andes
Abstract
:1. Introduction
2. Methods
2.1. Ecosystem Map
2.2. Pilot Study Site
2.3. Sampling Design
2.3.1. First Stage
2.3.2. Second Stage
- Each FSU belonged to a single stratum.
- The sample size for each stratum (n) was proportional to the ecosystem richness in each biome or subsystem.
- To consider each biome/functional subsystem as a stratum, it is required to have a minimum of 3 final sampling units (FSUs) which allows to obtain an estimate of the sampling error.
- The transformed ecosystems were grouped into one stratum for both terrestrial and aquatic domains.
- The selection of FSU (spatial distribution) was based on randomness.
- Each selected FSU had to contain more than 80% of the stratum to be validated. If the first selected FSU did not meet this requirement, a second FSU was selected in order to meet the proposed sample size for each stratum. When a FSU had several ecosystems within the stratum to validate, it was necessary to evaluate each ecosystem and to assign an agreement to the reference unit.
2.4. Sampling Size
- n is the number of FSUs to evaluate
- p is the number of units classified correctly
- q is the proportion of units classified incorrectly
- t is the abscissa of the t distribution for a 95% confidence
- e is the relative error of 5%
2.5. Data Sources and Validation
2.6. Field Data
- -
- Basic Cartography: information on location of paths, roads and rivers to facilitate the location and access to the FSU.
- -
- Cartography corresponding to the selected PSU using Landsat images from 2008 (reference date of the land-cover map used in the original mapping ecosystems) and RapidEye images from 2010 for the location of each FSU.
- -
- Additional cartographic material such as ecosystems in each FSU and map of edaphogenetic environments.
- -
- Field formats.
- -
- GPS Garmin62sc (Garmin, Lenexa, KS, USA), Munsell chart, pH metre and reagents for testing some edaphogenetic characteristics.
- -
- Satellite images: Data obtained from satellite imagery can be relatively inexpensive and an easier alternative application in hard to reach areas, complementing the field validation process. Such an assessment must be performed by an expert in the subject, and the uncertainty and variability of the data should be considered through clear evaluation criteria. Either intermediate resolution images such as Landsat and SPOT or fine resolution images can be used. The images used for the pilot correspond to the Landsat 7-56200801-02, 8-56 and 8-572007/02/232007/02/07, a fine resolution Rapideye of 2010 was also used and in some cases Google Earth consulted.
- -
- Cartographic information and additional data bases: Other supporting data can provide useful sources of reference in the first level of classification of ecosystems, e.g., projects at national and regional level that are being carried out in the country. Available information for Páramos [26], dry forests [27], wetlands [28], fauna and flora inventories was used.
2.7. Analysis
- is the sample proportion of FSUs correctly classified in the map
- is the proportion of PSUs correctly classified in stratum
- is the FSU proportion that belong to the stratum
- H is the weight associated with each stratum
- Wh and H are determined by the relationship between the number of FSU in each stratum and the total number of FSU in the map (proportion of units classified incorrectly)
- standard error
- Z: 1.96 (95% confident)
- N: total number of UFM in the map
- Nh: total number of PSU in stratum h
- nh: number of PSU in stratum h of the sample
- qh: represents the proportion of PSU classified incorrectly in stratum
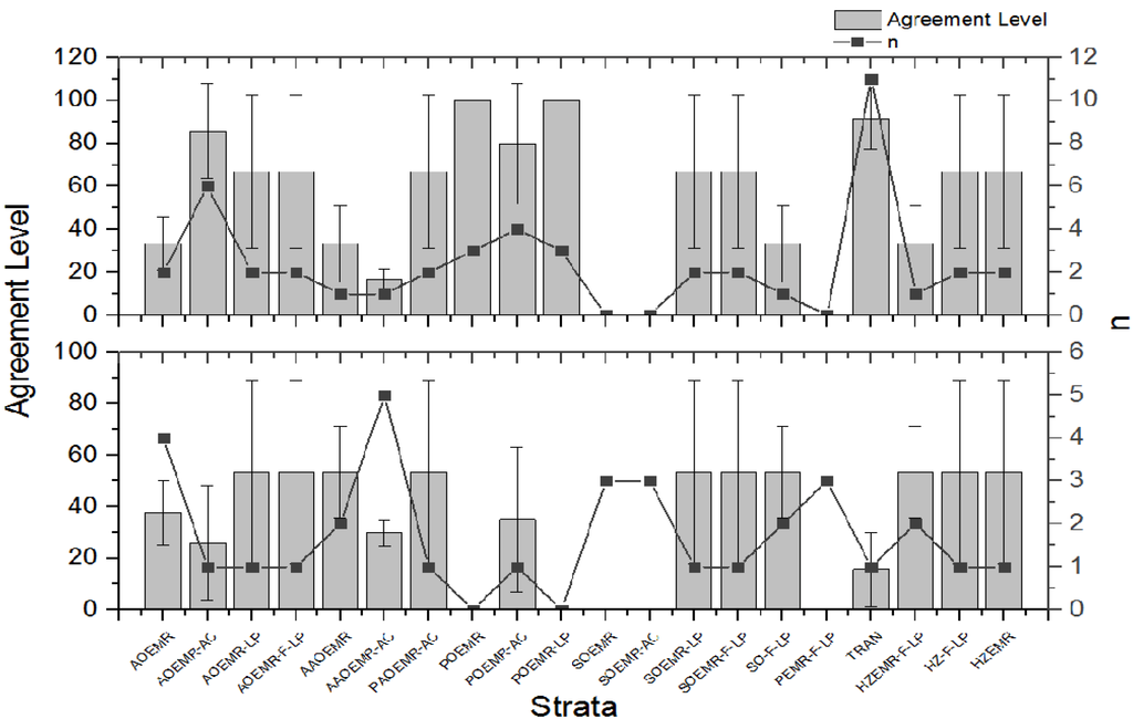
3. Results and Discussion
Supplementary Files
Supplementary File 1Acknowledgments
Author Contributions
Conflicts of Interest
References
- Keith, D.A.; Rodríguez, J.P.; Rodríguez-Clark, K.M.; Nicholson, E.; Aapala, K.; Alonso, A.; Asmussen, M.; Bachman, S.; Basset, A.; Barrow, E.G.; et al. Scientific foundations for an IUCN red list of ecosystems. PLoS ONE 2013, 8, e62111. [Google Scholar] [CrossRef] [PubMed]
- Egoh, B.; Reyers, B.; Rouget, M.; Bode, M.; Richardson, D.M. Spatial congruence between biodiversity and ecosystem services in South Africa. Biol. Conserv. 2008, 142, 553–562. [Google Scholar] [CrossRef]
- Egoh, B.; Reyers, B.; Rouget, M.; Richardson, D.M.; Le Maitre, D.C.; van Jaarsveld, A.S. Mapping ecosystem services for planning and management. Agric. Ecosyst. Environ. 2008, 127, 135–140. [Google Scholar] [CrossRef]
- Crossman, N.D.; Burkhard, B.; Nedkov, S. Quantifying and mapping ecosystem services. Int. J. Biodivers. Sci. Ecosyst. Serv. Manag. 2012, 8, 1–4. [Google Scholar] [CrossRef]
- Stehman, S.V.; Czaplewski, R.L. Design and analysis for thematic map accuracy assessment—An application of satellite imagery. Remote Sens. Environ. 1998, 64, 331–344. [Google Scholar] [CrossRef]
- Meidinger, D.V. Protocol for Accuracy Assessment of Ecosystem Maps; Technical Report 011; Ministry of Forests: Victoria, BC, USA, 2003; p. 23. [Google Scholar]
- Rocchini, D.; Foody, G.M.; Nagendra, H.; Ricotta, C.; Anand, M.; He, K.S.; Amici, V.; Kleinschmit, B.; Förster, M.; Schmidtlein, S.H.; et al. Uncertainty in ecosystem mapping by remote sensing. Comput. Geosci. 2013, 50, 128–135. [Google Scholar] [CrossRef]
- Foody, G.M.; Atkinson, P.M. Uncertainty in Remote Sensing and GIS; John Wiley & Sons, Ltd.: Chichester, UK, 2002. [Google Scholar]
- De Badts, E.P.J. Global Land Cover 2000: Evaluation of the Spot Vegetation Sensor for Land Use Mapping; Wageningen, Alterra, Green World Research: Wagenigen, The Netherlands, 2002; p. 49. [Google Scholar]
- Olofsson, P.; Stehman, S.V.; Woodcock, C.E.; Sulla-Menashe, D.; Sibley, A.M.; Newell, J.D.; Friedl, M.A.; Herold, M. A global land-cover validation data set, part I: fundamental design principles. Int. J. Remote Sens. 2012, 33, 5768–5788. [Google Scholar] [CrossRef]
- Mayaux, P.; Eva, H.; Gallego, J.; Strahler, A.H.; Herold, M.; Agrawal, S.; Naumov, S.; De Miranda, E.E.; Di Bella, C.M.; Ordoyne, C.; et al. Validation of the global land cover 2000 map. IEEE Trans. Geosci. Remote Sens. 2006, 44, 1728–1739. [Google Scholar] [CrossRef]
- Eva, H.D.; Belward, A.S.; De Miranda, E.E.; Di Bella, C.M.; Gond, V.; Huber, O.; Jones, S.; Sgrenzaroli, M.; Fritz, S. A land cover map of South America. Glob. Chang. Biol. 2004, 10, 731–744. [Google Scholar] [CrossRef]
- Clark, M.L.; Aide, T.M.; Grau, H.R.; Riner, G. A scalable approach to mapping annual land cover at 250 m using MODIS time series data: A case study in the Dry Chaco ecoregion of South America. Remote Sens. Environ. 2010, 114, 2816–2832. [Google Scholar] [CrossRef]
- Vreugdenhil, D.; Meerman, J.; Meyrat, A.; Gómez, L.D.; Graham, D.J. Map of the Ecosystems of Central America; World Bank: Washington, DC, USA, 2002. [Google Scholar]
- Galeas, R.; Guevara, J. (Eds.) Metodología para la representación cartográfica de los ecosistemas del Ecuador Continental. sistema de clasificación de ecosistemas del Ecuador Continental. In Proyecto Mapa de Vegetación del Ecuador; Dirección Nacional Forestal, Subsecretaría de Patrimonio Natural, Ministerio de Ambiente del Ecuador: Quito, Ecuador, 2012; p. 136.
- Chacón-Moreno, E.J. Mapping savanna ecosystems of the Llanos del Orinoco using multitemporal NOAA satellite imagery. Int. J. Appl. Earth Observ. Geoinform. 2004, 5, 41–53. [Google Scholar] [CrossRef]
- Etter, A. Mapa general de ecosistemas de Colombia. In Informe Nacional Sobre El Estado de La Biodiversidad—Colombia; Chaves, M.E., Arango, N., Eds.; Instituto de Investigación de Recursos Biológicos Alexander von Humboldt, PNUMA y Ministerio del Medio Ambiente: Bogotá, Colombia, 1998. [Google Scholar]
- IDEAM, I.; IAvH, I.; Sinchi, I.I. Ecosistemas Continentales, Costeros y Marinos de Colombia; Instituto de Hidrología, Meteorología y Estudios Ambientales, Instituto Geográfico Agustín Codazzi, Instituto de Investigación de Recursos Biológicos Alexander von Humboldt, Instituto de Investigaciones Marinas y Costeras José Benito Vives de Andréis, Ins: Bogotá, Colombia, 2007. [Google Scholar]
- Rodríguez, N.A.; Morales, D.; Romero, M.M. Ecosistemas de los Andes Colombianos; Instituto de Investigaciones de Recursos Biológicos Alexander von Humboldt: Bogotá, Colombia, 2004. [Google Scholar]
- Romero, R.; Milton Armenteras, P.; Dolors Galindo, G.; Gustavo Otero, J. Ecosistemas de la Cuenca del Orinoco Colombiano; Instituto de Investigaciones de Recursos Biológicos Alexander von Humboldt: Bogotá, Colombia, 2004. [Google Scholar]
- IDEAM; IGAC; IAVH; INVEMAR; SINCHI; IIAP. Mapa de Ecosistemas Continentales de Colombia, Escala 1:100,000; IGACIGAC: Bogotá, Colombia, 2015. [Google Scholar]
- Bailey, R.G. Ecosystem Geography: from Ecoregions to Sites; Springer Science & Business Media: New York, NY, USA, 2009. [Google Scholar]
- IDEAM. Informe de la Metodología Para la Elaboración del Mapa Nacional de Ecosistemas de Colombia, Escala 1:100,000; Primera Versión; IDEAM: Bogotá, Colombia, 2014. [Google Scholar]
- Rangel, J. (Ed.) Colombia, Diversidad Biótica; I. Instituto de Ciencias Naturales, Universidad Nacional de Colombia: Bogotá, Colombia, 1995.
- IGAC. Mapa Nacional de Suelos 1:100,000; Instituto Geográfico Agustín Codazzi: Bogotá, Colombia, 2014. [Google Scholar]
- IAVH. Identificación Cartográfica de los Páramos de Colombia a Escala 1:100,000 (Versión a Junio de 2012); Instituto de Investigaciones de Recursos Biológicos Alexander von Humboldt y Fondo de Adaptación: Bogotá, Colombia, 2013. [Google Scholar]
- González, -M.R.; Isaacs, P.; García, H.Y.; Pizano, C. Memoria Técnica Para la Verificación en Campo del Mapa de Bosque Seco Tropical en Colombia. Escala 1:100,000; Instituto de Investigaciones de Recursos Biológicos Alexander von Humboldt: Bogotá, Colombia, 2014. [Google Scholar]
- IAVH. Humedales Interiores de Colombia; Instituto de Investigaciones de Recursos Biológicos Alexander von Humboldt y Fondo de Adaptación: Bogotá, Colombia, 2015. [Google Scholar]
- Rodríguez, N.; Armenteras, D.; Retana, J. Land use and land cover change in the Colombian Andes: Dynamics and future scenarios. J. Land Use Sci. 2012, 8, 154–174. [Google Scholar] [CrossRef]
- Sayre, R.G.; Comer, P.; Hak, J.; Josse, C.; Bow, J. A New Map of Standardized Terrestrial Ecosystems of Africa; Association of American Geographers: Washington, DC, USA, 2009. [Google Scholar]











| Stratum | Ecosystem Richness | FSU Size (ha) |
|---|---|---|
| Terrestrial Domain | ||
| Lithobiome of the high plains, Amazonian Plain | 10 | 25 |
| Lithobiome of the high plains, floodplains, Guiana shield | 11 | 25 |
| Transformed | 264 | 25 |
| Stratum | 3582 | 25 |
| THZ of the Magdalena River Delta, Eastern Mountain Range | 57 | 25 |
| THZ of the alluvial valley, the Atrato and San Juan Rivers, the Serranía del Baudó, and the coastal plains of the Pacific | 6 | 25 |
| Aquatic Domain | ||
| Andean Atlantic Lentic | 7 | 5 |
| Andean Atlantic Lotic | 7 | 5 |
| Andean Atlantic Transitional | 24 | 25 |
| Artificial | 3 | 5 |
| Transformed | 84 | 25 |
| Stratum n | 5734 | 25 |
| Old lentic platforms | 1 | 5 |
| Old lotic platforms | 6 | 5 |
| Old transitional platforms | 12 | 25 |
| Data Sources | Characteristics | Example |
|---|---|---|
| Field work | Field data collection to fill validation formats. | ![]() |
| Medium-resolution satellite images | Landsat 7 ETM (30 m) SPOT-4 multispectral (20 m) SPOT-4 panchromatic (10 m) | ![]() |
| Fine resolution satellite images | Ikonos panchromatic (1 m), multispectral (4 m) Aster Airborne multispectral scanners > 0.3 m CBERS 1–3, Geoeye Lidar, QuickBird Worldview | ![]() |
| Thematic cartography | Soil maps of Colombia Scales of 1:100,000 to 1:25,000 [25] Map of Paramos in Colombia, scale 1:100,000 [26] Map of dry forests distribution in Colombia, scale 1:100,000 [27]. Wetland map for Colombia, scale 1:100,000 and 1:25,000 [28] | ![]() |
| Floristic inventories or other data for species | Database of biological records from collections mainly of the Biodiversity Information System for Colombia (SIB), the Global System of Biodiversity Information Facility (GBIF) and specific project data (i.e., inventory of wetlands—MADS). | ![]() |
© 2016 by the authors; licensee MDPI, Basel, Switzerland. This article is an open access article distributed under the terms and conditions of the Creative Commons Attribution (CC-BY) license (http://creativecommons.org/licenses/by/4.0/).
Share and Cite
Armenteras, D.; González, T.M.; Luque, F.J.; López, D.; Rodríguez, N. Methodology for Evaluating the Quality of Ecosystem Maps: A Case Study in the Andes. ISPRS Int. J. Geo-Inf. 2016, 5, 144. https://doi.org/10.3390/ijgi5080144
Armenteras D, González TM, Luque FJ, López D, Rodríguez N. Methodology for Evaluating the Quality of Ecosystem Maps: A Case Study in the Andes. ISPRS International Journal of Geo-Information. 2016; 5(8):144. https://doi.org/10.3390/ijgi5080144
Chicago/Turabian StyleArmenteras, Dolors, Tania Marisol González, Francisco Javier Luque, Denis López, and Nelly Rodríguez. 2016. "Methodology for Evaluating the Quality of Ecosystem Maps: A Case Study in the Andes" ISPRS International Journal of Geo-Information 5, no. 8: 144. https://doi.org/10.3390/ijgi5080144
APA StyleArmenteras, D., González, T. M., Luque, F. J., López, D., & Rodríguez, N. (2016). Methodology for Evaluating the Quality of Ecosystem Maps: A Case Study in the Andes. ISPRS International Journal of Geo-Information, 5(8), 144. https://doi.org/10.3390/ijgi5080144





