Next Article in Journal
Geo-Enrichment and Semantic Enhancement of Metadata Sets to Augment Discovery in Geoportals
Next Article in Special Issue
A Dynamic GIS as an Efficient Tool for Integrated Coastal Zone Management
Previous Article in Journal / Special Issue
Habitat Mapping and Change Assessment of Coastal Environments: An Examination of WorldView-2, QuickBird, and IKONOS Satellite Imagery and Airborne LiDAR for Mapping Barrier Island Habitats
 
 
Font Type:
Arial Georgia Verdana
Font Size:
Aa Aa Aa
Line Spacing:
Column Width:
Background:
Article

An Operational Web-Based Indicator System for Integrated Coastal Zone Management

by
Henning Sten Hansen
* and
Morten Fuglsang
Department of Planning and Development, Aalborg University, A.C. Meyers Vaenge 15, Copenhagen DK-2450, Denmark
*
Author to whom correspondence should be addressed.
ISPRS Int. J. Geo-Inf. 2014, 3(1), 326-344; https://doi.org/10.3390/ijgi3010326
Submission received: 5 December 2013 / Revised: 14 February 2014 / Accepted: 5 March 2014 / Published: 14 March 2014
(This article belongs to the Special Issue Coastal GIS)

Abstract

:
Coastal zones are under severe pressure from anthropogenic activities, as well as on-going climate change with associated sea level rise and increased storminess. These challenges call for integrated and forward looking solutions. The concept on Integrated Coastal Zone Management, as defined during the last twenty years, provides the overall policy frames, but tools to support the planning and management efforts are almost lacking. Furthermore, the forward-looking dimension to embrace the effects of climate change is nearly absent in most implementations. The BLAST project, financed by the European Union Regional Fund through the INTERREG IV North Sea Region Programme, aimed at developing a web-based decision support system to assist Integrated Coastal Zone Management from a climate change perspective, and the current paper describes the methods used and the computing platform for implementing a decision support system. The software applied in developing the system is mainly Open Source components, thus, facilitating a more widespread use of the system.

1. Introduction

The coastal zone represents the narrow transitional zone between the land and the sea, and this zone is characterized by highly diverse ecosystems for example beaches, dunes, cliffs, and wetland. Many coastal areas exhibit higher population growth and urbanization rates than national averages. About one third of the EU population lives within 50 km from the coast, and in Denmark, this number is 100% [1]. In the UK and the Netherlands, this proportion is about 75%. Due to the high recreational value of the coastal areas, many coasts experience significant seasonal peaks in the population, and in some areas the tourists even overshadow the permanent population. Contrary, some coastal areas experience depopulation leaving the older people back in the coastal zone. The high population growth and tourism intensity leads to enhanced conversion of non-developed into developed land.
Global warming is a fact, and over the past century the average temperature in Europe has raised by almost 1 °C [2]. Among the frequently mentioned consequences are sea level rise and increased frequency of extreme storms with associated storm surges [3]. Coastal areas are perceived as particularly vulnerable to the impacts of climate change because they are subject to changes both in the marine and terrestrial environments. The coastal areas would be affected by sea level rise as any changes in storm surges and wave heights. In addition, they would be affected by changes inland, including alterations in river flow regimes.
As recognized in several IPCC (Intergovernmental Panel on Climate Change) assessments of the consequences of climate change, a key conclusion is that reactive and standalone efforts to reduce climate-related risks to coastal systems are less effective than responses, which are part of an integrated approach to coastal zone management [4]. However, planning in a climate change perspective is not a straightforward process. Long-term strategic planning and investments may not be recognized as acceptable within the shorter-term political practice, where the challenges of balancing the citizen’s expectations for service and limited financial resources are given highest priority. The difficulties of accepting planning and investments adapting to climate change are furthermore enhanced by the uncertainty related to projections of climate change, as well as the challenges for non-scientist to understand the various projections concerning the future climate.
The coastal zone is susceptible to one of the most certain impacts of anthropogenic induced climate change—the accelerated sea level rise, which leads to flooding and enhanced erosion. Other possible coastal implications of climate change, which will interact with sea-level rise, include changing storm frequency and intensity, changing patterns of run-off, and more intense rainfall events [4]. Thus, the challenges for coastal zone planners and managers are obvious, but handling these challenges requires detailed and integrated information about the state of the coastal zone today as well as the future state.
The BLAST project (www.blast-project.eu) was an INTERREG IVB North Sea Region project aimed for better integration of information across the coastal margins of the North Sea region. During a three years period from 2009 to 2012, 17 partners collaborated on the harmonization and integration of land and sea data for use in navigation and coastal zone management. The current paper focuses on the integrated coastal zone management part of the project, which aimed at developing a decision-support system to assist Integrated Coastal Zone Management (ICZM) under changing climatic conditions. The paper is divided into five parts. The second section presents the background for the research carried out and its theoretical foundation leading to the formulation of the decision support framework. In the third section, the technological platform for the decision support system is described in detail. The fourth section presents some examples from a Danish case area and discusses the strengths and weaknesses regarding the developed system. The last section provides the conclusion of the research carried out and present ideas for subsequent work.

2. Background and Theory

Climate-change vulnerability assessment has become frequently employed with the purpose of informing policy-makers attempting to adapt to global change conditions. A majority of people and built-up areas are located in the coastal zone and accordingly vulnerable to climate change with associated sea level rise and increased storminess. In addition, the European nature and agricultural areas are under increasing pressure not only from urbanization, but also from the emerging climate change. Accordingly, spatial and environmental planners have urgent needs for scenario tools analysing the impact of possible land-use changes. Several bodies have called for a more integrated management of the coastal zone as a fundamental prerequisite for sustainable development, and one example is the EU Recommendation for a European Strategy for ICZM [5].

2.1. The Decision Support Framework

About twenty years ago Densham [6] defined a Spatial Decision Support System (SDSS) as a “computer based tool explicitly designed to provide the user with a decision-making environment that enables analysis of geographical information to be carried out in a flexible manner”. This definition was shortly after elaborated by Janssen [7] stating the overall purposes with DSS as (a) assisting individuals or groups in their decision-making process; (b) supporting rather than replacing judgment of these individuals; and (c) improving effectiveness of decision-making rather than its efficiency. Moving into an ICZM context, van Kouwen et al. [8] defined “ICZM-DSS” as computer-based system containing information about ICZM issues, and designed to perform analysis supporting coastal managers in decision-making.
Decision-making is about making plans and decisions for the future—not at least in a climate change perspective, and this process can be supported by forecasting and backcasting techniques. Therefore, we add the future oriented aspect of decision-making, thus, defining our coastal decision-support system as “an information system supporting the assessment of impact and societal response through modeling and scenario building”.
Scenarios are coherent narratives about what the future will look like, and following IPCC [9] “a scenario is defined as a coherent, internal consistent and plausible description of a possible future state of the world—it is not a forecast; rather, each scenario is one alternative image of how the future can unfold”. Models can be used to develop suitable projections for the future and in assessing alternative planning proposals against these [10]. Thus, models can support the decision-making by presenting scientifically grounded numerical results of the quite often vague and general narratives of the future.
The decision-support framework applied in the current research is an extension of the DPSIR (Driver Pressure State Impact Response) causal framework [11] to meet the specific needs of ex ante impact assessment in a climate change perspective. The DPSIR indicator framework has proved useful to address sustainable development issues in environmental policy analysis [11]. Later on, the DPSIR was further adapted to the context of coastal zone management by Pirrone [12].
Putting all parts together, a frame for a scenario-based decision-support system for ICZM in a climate change perspective was developed (Figure 1). The Indicator system plays the central role in the decision-support system providing the information needed for policy and decision-makers as well as a foundation for interaction with the public regarding appropriate responses to the challenges ahead. The scenarios represent the input to the system through various narratives for the future development of the societies. Climate change is put outside the indicator system, although the effects of climate change (e.g., sea level rise) is of high importance for coastal zone planners and managers, but, rather, as a fact to address in the planning process through adaptation measures than through mitigation measures, which requires global actions. However, the coastal zone can contribute significantly to reducing greenhouse gas emissions due to the high potential for renewable energy in the coastal zone from wind energy, wave energy, and tidal energy.
Figure 1. The ICZM decision-support framework.
Figure 1. The ICZM decision-support framework.
Ijgi 03 00326 g001
After having developed the model for the SDSS, the question regarding data availability and accessibility emerges. A data management system or data warehouse containing the needed data has to be developed. During the last 10 years, several initiatives regarding geographic information have been launched. From the global level with Global Spatial Data Infrastructure (GSDI—www.gsdi.org), over the European INSPIRE initiative to national scales. The INSPIRE Directive [13] adopted in 2008 defines the overall framework for establishing a spatial data infrastructure (SDI) for the European Union and its Member States. Therefore, most European countries have now adopted national legislation setting up the frame for the national implementation—e.g., the Danish act on Infrastructure on Geographic Information [14]. Thus, the basic foundation for delivering data to the decision-support systems is provided through the various SDI’s—illustrated as the underlying layer in Figure 1.

2.2. Sustainability Indicators for the Coastal Zone

The EU Expert Group on ICZM established a Working Group on Indicators and Data in 2002 to advise it on ways in which Member States, and the EU as a whole, can assess whether they are moving further towards, or away from, a more sustainable future for their coastal zones. Several indicators have been suggested for monitoring the coasts, but the following criteria were used in the selection: user driven, easy to understand, policy-relevant and scientifically sound. The indicators selected aimed at facilitating the evaluation of the effect that their coastal strategies are having on coastal sustainability. The working group agreed on a list of 27 indicators composed of 46 measurements to monitor sustainable development in the coastal zone [15]. After discussions with stakeholders from the countries involved in the BLAST-project, the 27 indicators were seen as a sound platform for developing the indicator system, although an additional indicator on the potential for renewable energy in the coastal zone was proposed and accepted.
Table 1. Coastal indicators of sustainable development related to climate change.
Table 1. Coastal indicators of sustainable development related to climate change.
GoalsIndicatorsMeasurements
Control further development of the undeveloped coast1—Demand for property on the coastSize, density, and proportion of population
2—Area of built-up landPercentage of built-up land by distance from the coastline
3—Rate of development of undeveloped landArea converted from non-developed to developed land-use
4—Demand for road travel on the coastVolume of traffic on coastal motorways and major roads
Recognize the threat to coastal zones posed by climate change26—Coastal erosion and accretionArea at risk for coastal erosion
27—Natural, human, and economic assets at riskNumber of people living within risk zone
Area of protected sites within risk zone
Value of economic assets within risk zone
Acknowledge the coastal zone as a resource for renewable energy28—Potential for renewable energySuitable off-shore areas for wave energy production
A subset of the indicators is directly or indirectly related to climate change and accordingly relevant for the work carried out in the current research (see Table 1). This subset can be divided into three different groups: (A) Control the development of earlier developed coast; (B) Protect and enhance natural and cultural diversity; and (C) Recognize the threat to coastal zones posed by climate change. Referring back to DPSIR, group A refers to Drivers and Pressures, group B to States, and group C to Impacts. A more detailed description and discussion of the indicators is provided in later in the paper.

3. Geospatial Modeling

The spatial modeling part addresses three different elements in the indicator system. Land-use is a major issue in spatial planning—including Integrated Coastal Zone Management, and climate change furthermore calls for a forward-looking approach. Most of the indicators listed in Table 1 have a specific relation to land-use. Hence, the scenarios entering the decision-support system are expressed by land-use projections. Climate change is indirectly addressed in the system by considering sea-level rise, which is just one—but important impact of climate change in the coastal zone. The last part of the spatial modeling is related to the geoprocessing involved in calculating the individual indicators.

3.1. Land-Use Modeling

Land-use modeling was a significant component in the current project, making the main input to the scenario part of Figure 1. During the previous 15 years, several land-use models have been developed—for example the SLEUTH model developed by Clarke et al. [16], the MOLAND model from the EU Joint Research Centre [17], and LUCIA (Land Use Change Impact Analysis) developed by Hansen [18], and each model with its own characteristics, but all based on cellular automata. Due to the strong focus on urban development, the LUCIA land-use modeling framework was applied within the current project. The aim of LUCIA is to estimate the future land-use development and analyse the associated impacts [19].
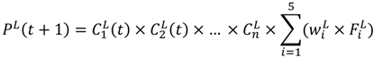
LUCIA has a multi-level structure, where the upper regional level represents drivers, whereas the detailed lower level represents land-use. The driving forces for rural-urban change are population and economic growth. These drivers represent what we call macro-level drivers, being modeled externally to our model in various sector models, and define land demand from each active land-use type. The statistical offices in many European countries make every year national level population projections, and these national figures are afterwards distributed to the local level (municipalities). LUCIA is based on multi-criteria evaluation and constrained cellular automata as defined by White et al. [20]. The drivers define the number of cells to be changed during consecutive time steps, and the potential for each cell to change from one land-use type to another at the next time step is given by the following multi-criteria evaluation:
Ijgi 03 00326 i001
where P = transition potential, C = constraints, F = factors, w = individual factor weights, and L = land-use type. The factors and constraints in LUCIA have dimensionless values between 0.0 and 1.0. By combining the factors and constraints for each active land-use type (L), we can estimate for each cell the transition potential (P) for changing the land-use from one type to another. The internal structure of LUCIA is illustrated on Figure 2.
Figure 2. The dynamics within LUCIA [21].
Figure 2. The dynamics within LUCIA [21].
Ijgi 03 00326 g002
The constraints are defined by existing spatial planning regulations, nature protection, etc., and are not subject for the calibration process, but changing the constraints afterwards and analysing their impacts are the main role for spatial planners. The constraints are dynamic so new plans and policies can be introduced during the simulation process. LUCIA can apply up-to five factors plus an additional random factor representing a stochastic element in land-use change. The main factors are the neighboring effect (proximity), which represents the attractive or repulsive effects of various land-uses within the neighborhood. It is generally well-known that some land-use types, for example private service (shopping), tend to cluster, whereas others—e.g., recreation and industry—tend to repel each other. Using historical data for new built-up areas, this effect may be estimated quantitatively [22]. Suitability, which defines the basic physical preconditions for a cell’s ability to support a given urban land-use, i.e., terrain, soil and existing land-use, is also included in the model. Suitability is in practice fixed. Accessibility trough the transportation network is another important factor to be considered in urban modeling, and contrary to suitability, this factor is dynamic in nature and can be changed during the simulation period. The additional factors included land values, and access to motorway junctions. To perform the calibration of the model, we initialized the model with the land-use map for 1990 and performed several simulations for the calibration period until year 2000 using different sets of factor weights. The accuracy was assessed for the various runs by comparing the simulated development to the observed development aiming at identifying the optimum combination of factor weights.
Using LUCIA, a simulation of the urban development until 2040 was carried out. In order to being able to assess the impact of the worst-case scenario, the A2 scenario of the SRES scenario family was used [23]. The translation of the A2 narrative into land-use was inspired by the work carried out by Solecki and Oliveri [24], who concluded that there will be a growth in per capita land-use conversion with development along road corridors and growth, associated with new sub-urban and peri-urban employment centers as important drivers. Furthermore, the weight associated with the proximity factor was reduced with 50% compared to the baseline scenario in order to impede edge growth. Finally, the effect of the random factor was doubled compared to the baseline scenario to create spontaneous growth. The population drivers are similar to the baseline scenario, but the estimated demands for land were increased by 10% to reflect the expected higher per-capita land consumption as expected in A2.

3.2. Climate Change and Sea Level Rise

A highly accurate digital elevation model is required to produce reliable inundation maps. The Danish Mapping Agency produced a new high-resolution digital terrain model in a Public-Private-Partnership with leading national surveying companies. According to the metadata, grid cell size of the terrain model is 1.6 m. The horizontal accuracy is 1.0 m and the vertical accuracy is 0.1 m (http://www.geodatainfo.dk). The original digital terrain model is resampled to 10 m cell size, in order to make the model manageable, and being compatible with digital elevation models from the other partner countries, such as Belgium and Norway.
Inundation modeling can be carried out in several ways, but currently we applied a methodology presented by Poulter and Halpin [25], where a cell is flooded, if its elevation is below sea level, and if it is connected to an adjacent cell, which is an open-water cell or an already flooded cell. However, connectivity can basically be defined in two different ways: (a) the so-called four-side rule where a grid cell is connected if any of its cardinal cells are adjacent to a water filled cell; and (b) the so-called eight-side rule where a cell is connected if its cardinal or diagonal neighbor cells are water filled. The first approach generally underestimates the flooded area, whereas the second approach tends to overestimate the area. Within the current research, the second approach is chosen in order to be sure to include all potential flooded cells. This method has also been used in a similar study for the Aalborg area [21].
Based on this methodology, and a local digital elevation model, the spatial extent of inundation and flooding were estimated for all sea levels ranging from 10 cm to 400 cm using 10 cm intervals. This was done for Denmark and Flanders (Belgium). Thus, the difficult problem of assigning specific sea level rise to the various years is avoided. Instead, the user has the possibility to choose among the 40 flooding maps and use them in the impact assessment calculations.

3.3. Indicator Calculations

The indicators listed in Table 1 were partly pre-calculated and uploaded to the Coastal Indicator System, and partly calculated on-line while using the Coastal Indicator System (see Paragraph 4). Below, a deeper description of the calculation processes is provided:
  • Indicator 1 represents the population density recorded at municipality level, and available throughout the North Sea Region based on data from Eurostat and national statistical offices.
  • Regarding Indicator 2, two buffer zones of width 1 km and 10 km, respectively, were calculated for the coastal zone around the North Sea. Next, these buffer zones were split along the administrative boundaries. According to the original definition, Local Administrative Units (LAU), as defined by Eurostat (epp.eurostat.ec.europa.eu), was used. Then, the percentage Built-up land was calculated for each buffer zone for the historical year 1990, the simulation start year (2006), and the end year for the simulation (2040).
  • Indicator 3 has one measure—the Area converted from non-developed to developed land-use expressed as the average yearly increase (%) of Built-up areas (CLC code 1) for coastal NUTS-5 units. Due to the rather large Danish municipalities, we have used parishes as the administrative units, to be spatially more comparable with the other North Sea Region countries. The calculations are based on historical data for the years 1990, 2000, and 2006.
  • Indicator 4 requires detailed traffic data, which were only available for Denmark. These data are provided from traffic censuses for some major roads and interpolated for the remaining roads.
  • Indicator 26 concerning coastal erosion is based on the well-known Bruun Rule [26] and applying different levels of sea level rise. This indicator is only available for selected coasts, due to lack of availability of detailed near shore bathymetry data.
  • Indicator 27 on natural, human, and economic assets at risk has three measurements regarding the impact of flooding hazards. The measures are the “Number of people living within risk zone”, the “Area of protected sites within risk zone”, and the “Value of economic assets within risk zone”. Risk zone is here defined as flood hazard zone, with contributions from sea level rise and storm surges.
  • The last, Indicator 28, is concerned with the Potential for renewable energy production in the coastal zone and beyond. Renewable energy here considered being wind energy and wave energy.
Providing the required data for calculating the indicators was a challenge, and this will be discussed in the next paragraph.

4. Implementation

Based on the overall principles described above an operational decision support system for Integrated Coastal Zone Management was established. A basic principle has been to rely on Open Source system development and to use open and freely available data. This principle was seen as the only way of making the developed system useful in a post-project context. Whereas Open Source software has been a major trend during the last five years and accordingly an obvious possibility, the free access to data is not so widespread yet. Below, the provided data, as well as the implementation of the web-based decision-support system, is described.

4.1. Data

The lowest layer named SDI in Figure 1 represents the Spatial Data Infrastructure, which is needed to run the system. Data acquisition has always been a difficult task, and this was clearly reflected in the BLAST project. Although the INSPIRE Directive [13] has been under implementation in the EU since 2008, even in Non-EU European countries like Norway, it is still a challenge to acquire data. Even for the rather wealthy countries around the North Sea, many differences regarding data availability exist. The number of data sets used in the SDSS is not long at all, but challenging to provide for some data. Below, a short description and discussion of the most obvious challenges is presented:
  • Administrative boundaries at municipality level exist for the whole Europe in form of Local Administrative Units (LAU), which can be downloaded freely from Eurostat (http://epp.eurostat.ec.europa.eu). The lower level LAU-2 consists of municipalities in the EU. A similar data set is available for Norway. However, two challenges exist. The first one is related to the fact that administrative reforms always are in operation somewhere in Europe. A second challenge concerns the rather different spatial extent of municipalities between various countries making it difficult to make comparisons. Thus, the municipalities in Denmark cover much larger areas than for example municipalities in Germany.
  • Population data for different spatial scales down to municipality level, and even lower, can be downloaded from Eurostat, but population projections at municipality level are not available for all countries in the North Sea Region.
  • CORINE Land cover data is freely available for download from the European Environment Agency for the years 2000 and 2006, and the data is harmonized for the whole Europe. Similar to the EU CORINE Land Cover map Norway has produced land cover maps for the years 2000 and 2006 in various scales. For some EU countries like Denmark, Belgium and Germany, CORINE Land Cover is even available for the year 1990.
  • The coastline is perhaps the most challenging data set. First, its definition. Due to the tide, the coastline varies over time, and therefore the coastline is normally defined as the mean sea level over a longer period. Secondly, the lack of coincidence between the coastline, the administrative boundaries, and the land-use will inevitably lead to errors in geoprocessing involving these layers. In order to reduce errors the so-called CORINE land cover 2000 coastline from the European Environment Agency was applied in the BLAST project.
  • Elevation data is the most diverse data set—ranging from high-resolution Digital Elevation Models (1-m resolution) in Denmark and the Netherlands to lower resolution models (up to 30 m) in, for example, Norway. This is a serious obstacle for estimating potential flooding due to sea level rise. Another problem related to the elevation data is difficulties getting access to the data.
  • Appropriate data for modeling coastal erosion in a climate change perspective was only available for Denmark—and only for a minor part of the country, but data is expected to be available for the whole country by 2014.
The data are acquired from a long list of data providers in the participating countries. When possible and appropriate—the data is inserted into the system as WMS services directly from the data providers. In order to cope with data restrictions, several WMS services have been passed through the projection Geoserver instance. This enables the COINS system to handle and store the login and security information in the services, without exposing them to the world through the application.

4.2. The Technological Platform for the Decision-Support System

The decision support system is designed and developed to be compliant with the INSPIRE standards and recommendations. The overall architecture of the system with the individual components is illustrated in Figure 3. The backbone of the spatial data exchange is a PostGIS database storing and serving data from shape-files and raster images, and a GeoServer for data service creation and cascading.
A single installation of GeoServer [27] is utilized to create the spatial services for the application. The system architecture, based on GeoServer, is the backbone of a variety of web-based GI systems [28], and the software has gained a solid reputation as a trusted OGC GIS server solution—with the aim of making geospatial data as accessible as possible [29]. The GeoServer is furthermore cascading data from restricted WMS sources available for the BLAST project from governmental bodies in the participating countries.
Serving the application is conducted through a Tomcat application server, and a web-server configured to retrieve data from GeoWebCache (www.geowebcache.org), tiling the GeoServer WMS data to increase performance. On the client side, the system operates on the user’s computers without any requirement for pre-installed software. The user interface is built to operate in any modern browser environment, and the development focus has been on providing a system with minimal load and wait times. The client application is at its core based on OpenLayers [30,31] and GeoExt (www.geoext.org), to create a clean and easily accessible application interface with high degrees of flexibility and interoperability based on the Sencha ExtJs JavaScript framework for rich desktop applications (https://www.sencha.com/products/extjs/). The overall user interface of the Coastal Indicator System (COINS) is illustrated at Figure 4.
Figure 3. System diagram for the Coastal Indicator System.
Figure 3. System diagram for the Coastal Indicator System.
Ijgi 03 00326 g003
Figure 4. The user interface of the Costal Indicator System—COINS.
Figure 4. The user interface of the Costal Indicator System—COINS.
Ijgi 03 00326 g004

4.3. Indicator Implementation

The implementation of the indicator functions relies on parametric view services from GeoServer, which can be seen in Figure 5. Using this framework, the services are dynamically generated based on the input from the users of the Coastal Indicator System. The user specified values for flooding and land-use scenario are selected in a popup window associated with each indicator. Data are passed from the application within the GetMap request directly to GeoServer as parameters. The server combines the input parameters into SQL requests to the PostGIS database. After calculation, the results are presented as a map or as a table.
Figure 5. Data flow in the parametric view functions.
Figure 5. Data flow in the parametric view functions.
Ijgi 03 00326 g005
The Erosion indicator can serve as the simplest example of the implementation. The indicator is mainly based on pre-calculated data, as the only dynamic inputs are the sea-level rise. In the practical execution, the client submits the value for the sea-level rise to GeoServer and the PostGIS database. The database returns the selected polygons to GeoServer and the application adds the layer to the application as a service. The new layer is passed through the tree filtering process, placing it in the corresponding node on the layer tree, and creating a sub node for the indicator.
However, where a non-parametric implementation in this case would require existing WMS services for all available sea level rise layers, the data for erosion in the COINS systems is gathered in one service. Each polygon in the erosion datasets has a value attribute, describing the sea level rise. The data is then stored into one table in the PostGIS database, enabling a query between all layers. The implementation of the parametric view approach is designed—applying a similar technical approach as in other Open-Source-based solutions, such as, for example, [32].
The natural, human and economic assets at risk’ indicator is the more advanced example of the use of the parametric view setup. Here, data for the assets are pre-calculated for points in a 100-m grid. The PostGIS database receives the value for the desired sea-level rise, and based on this layer, a spatial selection of points within the sea-level rise polygon is summarized for each administrative boundary. This means, that to update the data in the indicator, only the data in the point grid should be updated, and the results will be available immediately.
Through the work with the Coastal Indicator System, the users will directly and indirectly apply several OGC standards and components. The system is capable of retrieving GetCapabilities requests from WMS servers, making it possible for the users to add their own data to the map display. The key requirement for this functionality is that the user-specified server must be able to reproject its data to the Lambert Equal Area projection, which is applied in the COINS application. Metadata is handled by the GeoNetwork Open Source software, providing standardized metadata descriptions according to ISO and OGC directly as pop-up windows in the application (Figure 6).
Finally, the user is capable of saving and restoring session in COINS, using the Web Mapping Context (WMC) standard, creating a local XML file on the user’s computer. The file stores the settings concerning layers, views, etc., at the time of save, and this information is later on applied to restore the previous application layout. The use of WMC is used in many similar web based systems [33].
Figure 6. A Metadata view from the COINS system based on GeoNetwork.
Figure 6. A Metadata view from the COINS system based on GeoNetwork.
Ijgi 03 00326 g006

5. Results and Discussion

The results of the development efforts are the Coastal Indicator System, and this paragraph presents the system, and discusses the strength and weaknesses, as well as the opportunities and threats for such systems. The COINS system is comparatively easy to use and a draft version of the system was presented at a two-day stakeholder workshop, in Copenhagen, Spring 2012, for practical coastal planners and managers aiming at receiving feedback and ideas to be included in the final version of COINS. Afterwards, the system was tested in some municipalities around the North Sea Region, and the feedback was generally positive, but regional and local authorities have different practices for carrying out ICZM and accordingly having different requirements to a decision-support system. The system loads rather fast, although the background topographic map may be a little slow using lower-speed connections. The left hand side of the Coastal Indicator System has a table of contents in its upper part, and the indicator selection in its lower part. Associated legends are shown in the right hand side of the application window. Standard functionality as pan, zoom, getting information, etc., is provided through buttons using well-known icons. The Figure 7 and Figure 8 show how the indicators are presented in the Coastal Indicator System. The first example (Figure 7) illustrates indicator 2—“Area of built-up land” in the year 2006. The map contains two buffer zones—a buffer-zone 1 km from the coastline and a buffer-zone 10 km from the coastline. As shown in the legend on the right side, the percentage built-up land increases from the low level (green color) to high level (red color).
Figure 7. Indicator example—Built-up land in 2006.
Figure 7. Indicator example—Built-up land in 2006.
Ijgi 03 00326 g007
Figure 8. Indicator example—Extent of flooding due to combined effect of 100 cm sea-level rise and 150 cm storm surge.
Figure 8. Indicator example—Extent of flooding due to combined effect of 100 cm sea-level rise and 150 cm storm surge.
Ijgi 03 00326 g008
From the case area, it is obvious that the coastal zone represented by the 1-km buffer zone generally has higher percentage built-up area than the hinterland represented by the 10-km buffer. The second example (Figure 8) illustrates the potential flooding from a 300 cm combined effect of sea-level rise and a major storm surge. This layer is required to estimate indicator 27, representing the magnitudes of natural, human, and economic assets at risk. This indicator is presented as a table, where Table 2 illustrates the possible impacts of different flooding events in the year 2040, as envisaged by two different scenarios A and B for the societal development. However, most of the indicators are illustrated visually by maps given a fast overview of the sustainability within the North Sea coastal areas.
Table 2. Built-up areas (in hectares) inundated under various land-use scenarios (A and B) and water levels due to sea level rise 1 and the combinations of sea level rise and storm surges 2.
Table 2. Built-up areas (in hectares) inundated under various land-use scenarios (A and B) and water levels due to sea level rise 1 and the combinations of sea level rise and storm surges 2.
Municipality50 cm 1A 100 cm 1200 cm 2250 cm 250 cm 1B 100 cm 1200 cm 2250 cm 2
Brønderslev001328001328
Frederikshavn625206503625206503
Hjørring71245717124470
Jammerbugt003777003676
Læsø0212190121219
Mariagerfjord943148234943149233
Morsø1189613811997138
Thisted7179215471792154
Vesthimmerland3117914331178142
Aalborg77894319017779381898
The strengths of systems like the Coastal Indicator System are the use of Open Source and freeware components, enhancing the ability for everyone to build similar systems without having to spend a lot of money acquiring the licenses. Another strength is the possibility to use the system independent on operating systems, although some compatibility problems were observed using Internet Explorer.
The weaknesses are mainly related to the pure foundation on fast Internet connection—meaning that without Internet connection, there will be no system. This is particularly a problem for fieldwork operations in areas without or with low quality mobile Internet connection.
The opportunities for further development and use are based on two important directions. First, the emerging concepts regarding sea-use (in parallel to land-use) and marine spatial planning will inevitably lead to enhanced requests for knowledge based tools to support spatial planning at the sea. Second, the on-going efforts for opening up public data—like the Danish Basic Data initiative [34]—will dramatically change the foundation for developing transnational geospatial technology software—like the COINS decision support system.
The threats are mainly concerned with the continuously changing standards within the information and communication technology sector, where not at least the Open Source community rapidly adopts new technological opportunities.

6. Conclusions

The challenges for coastal zone planners and managers are increasing due to the population and urbanization pressure along the European coasts, and the on-going climate change and associated consequences like sea-level rise will inevitably enhance these challenges. To handle these challenges in a sustainable way requires an integrated approach, and information about the current state, as well as knowledge about the future situation. Various policies on ICZM, like the EU Recommendation on Integrated Coastal Zone Management [5], provide the overall frame for an integrated approach but less attention has been given to information and tools. During the BLAST project, a Coastal Indicator System has been designed and developed using a set of indicators, which is generally accepted in the ICZM planning community. Through the application of land-use and climate change scenarios, the future orientated aspect was guaranteed within the Coastal Indicator System. Overall, the developed Coastal Indicator System serves as a promising approach to assessing the coastal zone development—today and in the future. The main obstacles for establishing a full system, covering the whole North Sea Region, were related to data. Although the INSPIRE Directive [13] is under implementation in most of Europe, access to data, lack of harmonization and problems of integrating land and sea data set limitations for a full implementation of the system in all countries around the North Sea.
Currently, the European Commission has proposed a new directive establishing a framework for maritime spatial planning and integrated coastal management promoting a sustainable growth of maritime and coastal activities and a sustainable use of coastal and marine resources (http://ec.europa.eu/environment/iczm/prop_iczm.htm). The proposed directive aims at assessing plans and strategies at an early stage to mitigate risks related to climate change and natural hazards, to which coastal areas are extremely vulnerable. The developed Coastal Indicator System can be considered as a first attempt to support the proposed directive by emphasizing the forward-looking approach in integrated coastal zone management and providing methods and tools for putting real numbers into a coastal indicator system.

Acknowledgments

The BLAST project was co-financed by the European Union through the INTERREG IV B North Sea Region Programme. Particular thanks to Gent University, The Danish Coastal Authority, The Norwegian Coastal Authority, The Danish Geodata Agency, The Norwegian Coastal Authority, The Norwegian Mapping Authority, and last but not at least T-Kartor. These partners all contributed to the development of the BLAST Coastal Indicator System.

Author Contributions

The preparation and editing of this manuscript was mainly performed by Henning Sten Hansen with significant contributions from Morten Fuglsang to Section 4. The authors exchanged ideas and discussed the development of the paper throughout the writing process.

Conflicts of Interest

The authors declare no conflict of interest.

References

  1. Nicholls, R.J.; Klein, R.J.T. Climate Change and Coastal Management on Europe’s Coast. In Managing European Coasts; Vermaat, J., Bouwer, L., Turner, K., Salomons, W., Eds.; Springer: Berlin/Heidelberg, Germany, 2005; pp. 199–226. [Google Scholar]
  2. European Environment Agency. Impacts of Europe’s Changing Climate; EEA Report No. 4/2008; European Environment Agency: Copenhagen, Denmark, 2008. [Google Scholar]
  3. IPCC. Climate Change 2007: The Physical Science Basis. Contribution of Working Group I to the Fourth Assessment Report of the Intergovernmental Panel on Climate Change; Solomon, S., Qin, D., Manning, M., Chen, Z., Marquis, M., Averyt, K.B., Tignor, M., Miller, H.L., Eds.; Cambridge University Press: Cambridge, UK, 2007; p. 996. [Google Scholar]
  4. Kay, R.; Adler, J. Coastal Planning and Management, 2nd ed.; Taylor and Francis: London, UK/New York, NY, USA, 2005. [Google Scholar]
  5. European Commission. Recommendation of the European Parliament and of the Council of 30 May 2002 concerning the implementation of integrated coastal zone management in Europe. Off. J. Eur. Commun. 2002, 148, 24–27. [Google Scholar]
  6. Densham, P.J. Spatial Decision Support Systems. In Geographical Information Systems: Principles and Applications; Maguire, D.J., Goodchild, M.F., Rhind, D.W., Eds.; Longman Scientific & Technical: Essex, UK, 1991. [Google Scholar]
  7. Janssen, R. Multiobjective Decision Support for Environmental Problems; Kluwer Academic Publishers: Dordrecht, The Netherlands, 1992. [Google Scholar]
  8. Van Kouwen, F.; Dieperink, C.; Schot, P.; Wassen, M. Applicability of decision support systems for integrated coastal zone management. Coast. Manag. 2008, 36, 19–34. [Google Scholar]
  9. IPCC. Climate Change 2007: Impacts, Adaptation and Vulnerability. Contribution of Working Group II to the Fourth Assessment Report of the Intergovernmental Panel on Climate Change; Parry, M., Canziani, O., Palutikof, J., van der Linden, P., Hanson, C., Eds.; Cambridge University Press: Cambridge, UK, 2007; p. 976. [Google Scholar]
  10. Couclelis, H. “Where has the future gone?” Rethinking the role of integrated land-use models in spatial planning. Environ. Plan. A 2005, 37, 1353–1371. [Google Scholar] [CrossRef]
  11. European Environment Agency. Environmental Indictors: Typology and Use in Reporting; EEA Internal working paper; European Environment Agency: Copenhagen, Denmark, 2003. [Google Scholar]
  12. Pirrone, N.; Trombino, G.; Cinnirella, S.; Algieri, A.; Bendoricchio, G.; Palmeri, L. The Driver-Pressure-State-Impact_Response (DPSIR) approach for integrated catschment-coastal zone management: Preliminary application to the Po catschment-Adriatic Sea coastal zone system. Reg. Environ. Chang. 2005, 5, 111–137. [Google Scholar] [CrossRef]
  13. European Commission. Directive 2007/2/EC of the European Parliament and of the Council of 14 March 2007 establishing an Infrastructure for Spatial Information in the European Community (INSPIRE). Off. J. Eur. Union 2007, 108, 1–14. [Google Scholar]
  14. Hansen, H.S.; Schrøder, L.; Hvingel, L.; Christiansen, J.S. Towards spatially enabled e-Governance—A case study on SDI implementation. Int. J. Spat. Data Infrastruct. Res. 2011, 6, 73–96. [Google Scholar]
  15. DEDUCE Consortium. Indicator Guidelines—To Adapt an Indicator Based Approach to Evaluate Coastal Sustainable Development. Government of Catalonia: Barcelona, Spain, 2007. [Google Scholar]
  16. Clarke, K.C.; Hoppen, S.; Gaydos, L. A self-modifying cellular automata model of historical urbanisation in the San Francisco Bay area. Environ. Plan. B 1997, 24, 247–261. [Google Scholar]
  17. Barredo, J.I.; Kasanko, M.; McCormick, N.; Lavalle, C. Modelling dynamic spatial processes: Simulation of urban future scenarios through cellular automata. Landsc. Urban Plann. 2003, 64, 145–160. [Google Scholar] [CrossRef]
  18. Hansen, H.S. An Adaptive Land-Use Simulation Model for Integrated Coastal Zone Planning. In The European Information Society, Lecture Notes in Geoinformation and Cartography; Fabrikant, S., Wachowicz, M., Eds.; Springer-Verlag: Berlin Heidelberg, Germany, 2007; pp. 35–53. [Google Scholar]
  19. Hansen, H.S. LUCIA—A tool for analysing the environmental impact by land-use changes. Kart og Plan 2008, 68, 20–28. [Google Scholar]
  20. White, R.; Engelen, G.; Uljee, I. The use of constrained cellular automata for high-resolution modelling of urban land-use dynamics. Environ. Plan. B 1997, 24, 323–343. [Google Scholar]
  21. Hansen, H.S. Modelling the future coastal zone urban development as implied by the IPCC SRES and assessing the impact from sea level rise. Landsc. Urban Plan. 2010, 98, 141–149. [Google Scholar] [CrossRef]
  22. Hansen, H.S. Empirically derived neighbourhood rules for urban land-use modelling. Environ. Plan. B: Plan. Des. 2012, 39, 213–228. [Google Scholar] [CrossRef]
  23. Special Report on Emission Scenarios: A Special Report of Working Group III of the Intergovernmental Panel on Climate Change; Nakicenovic, N.; Swart, R. (Eds.) Cambridge University Press: Cambridge, UK, 2000.
  24. Solecki, W.D.; Oliveri, C. Downscaling climate change scenarios in an urban land use change model. J. Environ. Manag. 2004, 72, 105–111. [Google Scholar] [CrossRef]
  25. Poulter, B.; Halpin, P.N. Raster modelling of coastal flooding from sea level rise. Int. J. Geogr. Inf. Sci. 2008, 22, 167–182. [Google Scholar] [CrossRef]
  26. Bruun, P. The Bruun Rule of erosion by sea-level rise: A discussion on large scale two- and three-dimensional usages. J. Coast. Res. 1988, 4, 627–648. [Google Scholar]
  27. Iacovella, S.; Youngblood, B. GeoServer—Share and Edit Geospatial Data with This Open Source Software Server; PACKT Publishing: Birmingham, UK, 2013. [Google Scholar]
  28. Bunzel, K.; Ager, A.; Schrader-Patton, C. Up in the Air: Adventures in Serving Geospatial Data Using Open Source Software and the Cloud. In Proceedings of the 1st International Conference and Exhibition on Computing for Geospatial Research & Application (COM.Geo ’10), Bethesda, MD, USA, 21–23 June 2010. Article No. 35.
  29. Deoliveira, J. GeoServer: Uniting the “GeoWeb” and Spatial Data Infrastructures. In Proceedings of the Tenth International Conference for Spatial Data Infrastructure—GSDI 10, St. Augustine, Trinidad, 25–29 February 2008.
  30. Perez, A.S. OpenLayers Cookbook; PACKT Publishing: Birmingham, UK, 2012. [Google Scholar]
  31. Hazzard, E. OpenLayers 2.10—Beginners Guide; PACKT Publishing: Birmingham, UK, 2011. [Google Scholar]
  32. Fujioka, E.; Berghe, E.V.; Donelly, B.; Castillo, J.; Cleary, J.; Holmes, C.; McKnight, S.; Halpin, P. Advancing global marine biogeography research with open-source GIS software and cloud computing. Trans. GIS 2012, 16, 143–160. [Google Scholar] [CrossRef]
  33. Gao, S.; Mioc, D.; Anton, F.; Yi, X.; Coleman, D.J. Online GIS services for mapping and sharing disease information. Int. J. Health Geogr. 2008, 7. [Google Scholar] [CrossRef]
  34. Hansen, H.S.; Hvingel, L.; Schrøder, L. Open government data—A key element in the digital society. Lect. Note. Comput. Sci. 2013, 8061, 167–180. [Google Scholar]

Share and Cite

MDPI and ACS Style

Hansen, H.S.; Fuglsang, M. An Operational Web-Based Indicator System for Integrated Coastal Zone Management. ISPRS Int. J. Geo-Inf. 2014, 3, 326-344. https://doi.org/10.3390/ijgi3010326

AMA Style

Hansen HS, Fuglsang M. An Operational Web-Based Indicator System for Integrated Coastal Zone Management. ISPRS International Journal of Geo-Information. 2014; 3(1):326-344. https://doi.org/10.3390/ijgi3010326

Chicago/Turabian Style

Hansen, Henning Sten, and Morten Fuglsang. 2014. "An Operational Web-Based Indicator System for Integrated Coastal Zone Management" ISPRS International Journal of Geo-Information 3, no. 1: 326-344. https://doi.org/10.3390/ijgi3010326

APA Style

Hansen, H. S., & Fuglsang, M. (2014). An Operational Web-Based Indicator System for Integrated Coastal Zone Management. ISPRS International Journal of Geo-Information, 3(1), 326-344. https://doi.org/10.3390/ijgi3010326

Article Metrics

Back to TopTop