Next Article in Journal
Impact of Scanning Quality on Deep Learning-Based Contour Vectorization from Topographic Maps
Previous Article in Journal
Street View Image-Based Emotional Perception Modeling of Old Residential Communities: An Explainable Framework Integrating Random Forest and SHAP
 
 
Font Type:
Arial Georgia Verdana
Font Size:
Aa Aa Aa
Line Spacing:
Column Width:
Background:
Article

Assessing the Multidimensionality of the 15-Min City in Seville Through Open Geospatial Data

by
Joaquín Osorio-Arjona
* and
José David Albarrán-Periáñez
Department of Geography, Universidad Nacional de Educación a Distancia, 28008 Madrid, Spain
*
Author to whom correspondence should be addressed.
ISPRS Int. J. Geo-Inf. 2025, 14(12), 472; https://doi.org/10.3390/ijgi14120472 (registering DOI)
Submission received: 23 September 2025 / Revised: 7 November 2025 / Accepted: 30 November 2025 / Published: 1 December 2025

Abstract

This paper aims to map the degree of implementation of the 15-min city model in a medium-sized city like Seville and analyze the demographic, economic, and structural characteristics that affect the varying degree of implementation of the model. To this end, facility density was estimated from 15-min walking isochrones for each census tract, and a synthetic index was calculated from the coefficients obtained for each type of facility using a Geographically Weighted Regression (GWR) model that takes into account the spatial variation in infrastructure availability. A second GWR model was used to study the spatial impact of several demographic, socio-economic and structural variables on the calculated synthetic index. The main results show residential neighborhoods with greater accessibility and infrastructure diversity have a higher degree of compliance with the 15-min city model, while the city’s most marginalized and vulnerable neighborhoods have a negative index. It also highlights the fact that the processes of touristification and gentrification of the city’s historic center contribute to a lack of compliance with the model. These findings provide an empirical basis for designing urban policies aimed at reducing the territorial gap and towards equity in access to basic services.

1. Introduction

1.1. Background and Evolution of Proximity Models

Successive 20th-century urban planning proposals based on short-distance accessibility (e.g., garden cities, neighborhood units) have influenced current discussions on proximity and functional organization of a city [1,2,3]. In recent decades, processes such as functional fragmentation, low-density residential expansion, and the expansion of the automobile have altered access to local services, increasing spatial inequalities [4,5] that often lead to gentrification [6]. In addition, numerous cities have experienced a cycle of accelerated touristification which ultimately displaces resident populations to peripheral areas [7,8]. These processes have ended up eroding the residential functions of many neighborhoods and cities, fostering changes in daily flows and the accessibility of the local population to proximity services, transforming the relationships between space and its residents.
Consequently, there have been successive proposals regarding the ideal form and structure of cities, promoting designs aimed at greater functionality and sustainability [9], emphasizing the relevance of neighborhood life, mixed functions, and pedestrian scale as essential factors for urban vitality [1,10]. The crisis caused by COVID-19 and the mobility restrictions imposed by local governments posed challenges that urgently called for a review of the functionality and structure of cities. In this context, and as part of that long tradition of urban thought that places proximity as a central value in the organization of urban spaces, the 15-min city model has gained significant relevance in the academic agenda and urban policies.

1.2. Definition and Components of the 15-Min City Concepts

The 15-min city posits that residents should be able to access basic functions within a 15-min walk: housing, work, commerce, healthcare, education, and leisure [11,12,13]. This approach responds to a dual dynamic. On the one hand, the global trend of urban growth driven by industrialization processes, rural exodus, and welfare policies has favored the acceleration of urbanization worldwide, in many cases in a dispersed manner or in the form of megalopolises, increasing distances, social inequalities, and the functional segregation of urban spaces [14,15]. On the other hand, the need to contribute to climate change mitigation and adaptation urges the formulation of policies aimed at eliminating greenhouse gas emissions, reducing dependence on the automobile through proximity and multifunctional urban systems [16,17,18].
To achieve this, the 15-min city is based on three interrelated notions: spatial proximity based on short distances to key functions, effective accessibility based on real travel times, and usability capacity [19,20]. Thus, the concept is defined by the ease with which users reach opportunities distributed in space within a limited time frame [21].

1.3. Criticisms and Methodological Challenges

However, the literature warns of certain limitations, such as the risk that the model could become a marketing strategy if the inherited and organic spatial and functional structure of neighborhoods is ignored [18,22]. Another recurring point is the applicability of the model in extensive metropolitan areas or developing cities, where distances and functional fragmentation make it difficult to guarantee proximity to all services [16,23,24,25]. Furthermore, the omission of public transport in the 15-min city theory is another of the most frequently cited critical aspects, as for many authors this service is crucial to avoid the social exclusion of people with mobility difficulties [23,26,27]. On the other hand, it has been pointed out that the 15-min narrative can obscure structural dynamics such as real estate speculation or the museumification of historic neighborhoods [1], as proximity can become a capitalizable market asset, driving and supporting processes of revaluation and socio-residential replacement [7,26,28]. All of this warns of the risk that the novelty of the concept may be exaggerated, proposing unrealistic decentralizations [16,22,23] that may even reinforce existing inequalities [1].
To address these limitations, recent works have proposed various methodologies aimed at evaluating the implementation of 15-min cities. These draw on contributions from geography, sociology, economics, architecture, and spatial planning. Most disaggregate facilities by type of service, adapting the categorization proposed by Moreno [11], including weight density and diversity of uses, and incorporating the target population. However, the lack of precise and comprehensive data from verified sources hinders its implementation in certain territorial contexts, which is why multiple studies have opted to substitute certain variables or segregate others [19,29,30]. Thus, various methodologies have been proposed that focus on measuring access time to certain facilities using Geographic Information Systems [14,31], while others incorporate social variables, such as the socio-economic level of residents, perceived safety during travel, or the capacity of services to meet demand [20,22,32]. Other proposals articulate coefficients or synthetic indices in which various indicators of accessibility, service density, territorial equity, or urban quality are weighted and combined.
Quantifying proximity to basic services, adequate density of facilities, balanced distribution of green spaces, or the availability of public transport networks constitutes a complex phenomenon to address, as very heterogeneous dimensions converge. Likewise, the relative novelty of the concept itself brings certain practical limitations [20]. Therefore, high spatial-detail data is necessary to measure the degree of compliance with its principles [33,34].

1.4. Objective, Contribution, and Research Questions

The objective of this study is to map and analyze the degree of implementation of the 15-min city model in the city of Seville (Spain) and to characterize the demographic, economic, and structural conditions that explain its spatial distribution. The proposed methodology focuses on calculating accessibility indices based on 15-min pedestrian isochrones and constructing a synthetic index that reflects the diversity and availability of local services. To this end, official sources and open geospatial data are used and homogenized, taking advantage of their high volume of information, free availability, ease of updating, or high spatial detail [34,35]. From this data, standardized spatial coefficients are developed based on a Geographically Weighted Regression (GWR) to account for the variability of local character for each type of facility used in the design of the index [36]. Once the synthetic index is calculated, another GWR model is developed to analyze the influence of variables of different kinds on the city, taking into account the diversity of local behaviors it encompasses.
The research questions guiding the study are the following: (i) which urban areas meet the criteria of the 15-min city and how are these areas characterized? (ii) What demographic, economic, and structural variables are spatially associated with the different values of the synthetic index? (iii) To what extent do tourist concentration and functional change processes explain the absence of services geared toward the resident population? (iv) How reliable are data from open and massive data sources such as OpenStreetMap or Overture Maps when applied to urban studies? These questions will be revisited in the discussion when comparing the empirical results with the methodological limitations derived from the use of open data and the exclusion of variables such as the precise location of employment and housing.
Beyond its analytical value, a synthetic index has practical implications for urban management, as it allows for reorienting the location of services, prioritizing investments, or identifying inequalities. Its design and application pose a methodological challenge, as it requires precise, comparable, and scalable indicators [22].

2. Study Area, Materials and Methods

2.1. Study Area

Seville is the fourth most populous city in Spain, with 687,488 inhabitants in 2024 according to the National Statistics Institute (INE). Located in the south of the country, in the region of Andalusia, Seville constitutes an urban center of great relevance in historical, cultural, and economic terms. The city has a compact historic center of great heritage value, declared a World Heritage Site by UNESCO. This, coupled with the city’s strong cultural character, makes Seville one of the main tourist destinations in Europe, directly contributing to the city’s economic dynamism. However, this phenomenon also generates problems such as rising housing prices, increased cost and limited availability of basic services, and the development of gentrification and touristification phenomena [37].
Beyond the historic center, the city has a large number of financial, university, or healthcare neighborhoods that emerged throughout the 20th century, and a series of peripheral areas with lower densities and more limited services. These are structured around a mobility system characterized by the coexistence of bus lines and bike lanes, factors that directly impact its urban structure and the daily life of its residents [38]. However, the income levels, employment catchment areas, and service and education infrastructures vary enormously within the city. Consolidated residential areas and new peripheral developments coexist with highly marginalized neighborhoods with very limited levels of employment, education, and infrastructure. Seville is home to the three neighborhoods with the lowest average annual income per inhabitant in all of Spain and seven of the fifteen neighborhoods with the highest poverty rates in the country [39].
Seville is divided into 524 census tracts. This spatial unit of analysis has been chosen based on several methodological and practical considerations. Firstly, this level of disaggregation ensures internal consistency and accuracy, and allows integration of multiple variables under a common spatial framework. Although census tracts are administrative, they are designed to represent internally homogeneous areas in terms of population size (usually 1000–2500 inhabitants) and built-environment characteristics. This makes them suitable for detecting fine-grained spatial patterns that would be obscured if larger units such as neighborhoods were used.
Using neighborhoods as units would also require arbitrary delineation or aggregation of tracts, which could amplify the Modifiable Areal Unit Problem (MAUP) and introduce subjective boundaries. Census tracts, by contrast, provide a standardized, replicable geometry across cities, minimizing interpretation bias. The spatial pattern of census tracts broadly aligns with the morphological and social structure of neighborhoods in Seville. To ensure this, the overlap between census tract boundaries and recognized neighborhood areas was inspected, verifying that the tracts capture meaningful intra-urban variations without distorting functional relationships.

2.2. Data

The categorization of the infrastructures has been structured around the six essential urban functions proposed in the 15-min city model [11,12]. The functions of housing and work were discarded due to the lack of detailed spatial data and lack of specification in the definition of accessibility criteria for these points [29]. Instead, a fifth variable referring to public transport services as essential components for mobility was included. Furthermore, the urban function of commerce was divided into three categories linked to diverse objectives: supermarkets and food shops, other supplies (stationery stores, cleaning supplies stores, hardware stores, bookstores, news-stands, clothing stores, mobile phone shops, etc.), and other basic services (post offices, banks, hairdressers, laundromats, gyms, dentists, opticians, police stations, job centers, social services, etc.). [19]. In turn, parks and green spaces were separated from other leisure spaces, a category which excluded facilities like bars and restaurants due to the distortion they present for measuring accessibility in tourist neighborhoods [30].
The main sources used in the study were official data infrastructures from public organizations, as they are verified and comprehensive sources. All data are updated as of 1 August 2025. The 58,320 address points and the street lines of the city of Seville were downloaded from the Unified Andalusian Street Directory Portal, a platform maintained by the Institute of Statistics and Cartography of Andalusia (IECA). Land parcels were obtained from the Spanish Government Cadastre. The spatial data for the 524 census sections, with added demographical and economical information, come from the Seville City Council Open Spatial Data Portal. From this same portal, the 1267 points corresponding to bus stops and bicycle parkings were also downloaded. The locations included in the health, education, and green-spaces categories were downloaded entirely from the Reference Spatial Data of Andalusia portal, also created by the IECA, obtaining a total of 470 points associated with health centers, hospitals, and pharmacies; 498 points linked to kindergartens, schools, institutes, and university faculties; and 487 parks and green spaces. From the IECA, points for 57 large shopping centers and food markets, 50 infrastructures associated with basic services (job centers, post offices, and police stations), and 71 leisure spaces (libraries, museums, and sports centers) were also downloaded.
To obtain geolocated data for supermarkets, small businesses, and other services and leisure spaces not covered by official data infrastructures, OpenStreetMap and Overture Maps portals were used. The former, created in 2004, is a free and open data platform where volunteers capture, upload, store, and edit geographic information with the goal of providing accessible and up-to-date information that can be freely used by anyone [40,41]. Overture Maps, on the other hand, is a collaborative open map data project launched in 2022 by major technology companies (Meta, Microsoft, Amazon Web Services, and TomTom), which integrates open data with other public and private providers, although this aggregation is incomplete, making it necessary to use both sources for a more detailed analysis. From the initial database of 8470 points of interest located in OpenStreetMap, 1979 facilities linked to the study were selected, obtaining 571 points associated with supermarkets and food shops, 747 points belonging to other supply stores, 617 points representing basic services, and 44 leisure centers such as theaters, nightclubs, cinemas, or art centers. Regarding Overture Maps, the starting point was a database of 18,313 points of interest, from which 3754 locations not available in OpenStreetMap were filtered. These include 598 food shops, 1661 other supply stores, 1431 service points, and 64 leisure spaces.
Once the data from the three sources used were aggregated into a single spatial-point layer, a total of 8558 facilities were counted (Table 1). Finally, data on tourist accommodations downloaded from the Inside Airbnb portal were used to validate the synthetic 15-min city index alongside the previously mentioned information from the census sections of the city of Seville. This data is updated as of 26 March 2025.

2.3. Methodology

The first step consisted of selecting the 48,487 address points located on residential parcels. Next, a transportation network was designed using ArcGIS Pro 3.5.4., utilizing only the street map of Seville. Public transportation lines or road information were not incorporated, based on the premise of analyzing facilities available within a maximum 15-min walking distance. In creating the network, a travel time field t was incorporated for each street c using the following formula, where d c is the distance for each street (previously converted to kilometers), and 4 refers to the average walking speed of a pedestrian in km/h. Once the travel times in hours were obtained, they were converted to minutes.
t c = d c 4
The next step involved the creation of isochrones using the ArcGIS Pro network analysis tool. The chosen parameters were the 48,487 residential address points as origins, the calculated travel times for the street network as impedance, walking as transport mode, and a maximum travel time of 15 min (Figure 1).
The 8558 identified facilities were spatially joined according to their functionality to each calculated isochrone. This filtered out infrastructures located beyond a 15-min walking distance, resulting in 8102 available points (94.67% of the total). Due to frequent overlaps in the isochrones, it was decided to work at the census section scale of the city.
Next, a dual homogenization process was carried out to obtain more robust results. First, both population densities and the number of facilities per category were calculated by dividing their values by the area of each census section measured in km2. This is necessary due to the large size of census sections located on the city’s periphery, where both population and services are concentrated in specific zones, while the remaining area is occupied by industrial estates, technology parks, or transport infrastructures. The second step involved normalizing all the variables, placing different value ranges on the same scale and preparing specific indices to serve as the basis for the final synthetic index. In the followed formula, x is each value obtained for a category c , x c is the mean value of that category, and σ c is the standard deviation.
x n c = x c x c σ c
Once the data were standardized into indices (μ = 0, σ = 1), it was confirmed that the direction of all indices was consistent (negative signs for values indicating a lack of facilities and positive signs for values indicating the presence of infrastructures). Then, an Ordinary Least Squares (OLS) regression was performed to estimate weighting coefficients for the calculation of the final synthetic index. For this purpose, the population density index was used as the explanatory variable, and the density indices of the eight defined facility categories (Table 1) were used as dependent variables. Population density is a key structural determinant of urban accessibility and functional proximity, characteristics inherent to 15-min city models. By using population density as the explanatory variable, the model tests whether areas with higher residential concentration offer greater accessibility to everyday urban functions, which aligns with theoretical and empirical evidence from urban studies.
The Moran’s I test corroborated a strong spatial autocorrelation in the OLS model. Therefore, a Geographically Weighted Regression (GWR) was chosen for accounting the spatial variation in the relationships between variables [42,43]. This model yields local coefficients that reflect the influence of the studied variables on the 15-min city concept and identifies areas where each variable individually has a higher or lower explanatory power [44,45].
The GWR model was applied to the 524 study sections with an optimal bandwidth of 180. The chosen bandwidth balances local sensitivity and model stability, avoiding both overfitting (too small bandwidths) and excessive smoothing (too large ones). Although the model shows a significant improvement in its parameters, it still suffers from spatial autocorrelation issues. While this indicates that there are still spatial patterns not captured, or complex effects at play, the local coefficients are exploratory and descriptive in nature and still reflect spatial variations, providing a valid basis for constructing a weighted synthetic index (SI), which was developed using the following formula, where each variable z refers to one of the eight studied dependent variables. The weighting values used are based on the average coefficients obtained (Table 2).
S I = 0.096 z 1 0.099 z 2 + 0.153 z 3 0.004 z 4 + 0.092 z 5 + 0.027 z 6 0.086 z 7 + 0.002 z 8
Once the 15-min city synthetic index was calculated, its effectiveness was validated using a second GWR model to analyze the spatial effect of the variables listed in Table 3. Unlike the first GWR model, the absence of spatial autocorrelation in the residuals allows this second model to serve as a theoretical basis for explaining the local effects that either facilitate or hinder the fulfillment of the 15-min city concept in different areas of Seville. The variable for density of commercial facilities includes the total of 8558 obtained facilities, meaning this variable acts as a control factor that distinguishes between the quantity of available facilities and their distribution within access times of less than 15 min.

3. Results

3.1. Spatial Behavior of the Equipment Categories

The mapping of the population index values shows a higher density in the census tracts that make up the northern and eastern neighborhoods of the historic center, and in the neighborhoods located west of the river (Triana district). An average population density is also identified in the center and southeast of Seville, while population density is particularly low in the southern and eastern neighborhoods of the city (with the exception of a small number of localized census tracts that form an isolated suburb in the far east) (Figure 2).
All variables have a mean value greater than their median, showing a rightward bias toward high values, as confirmed by the skewness values. Kurtosis values are especially high in the variables related to food, other utilities, and green areas, indicating highly localized concentrations in these variables; while the health and transportation variables show a more even distribution of their data. Three categories (education, leisure, and green areas) have a value of 0 in both the mode and median, indicating that half of the census tracts in Seville do not have these facilities (Table 4).
Food stores are concentrated in the center and north of Seville’s historic quarter, in the Triana district, and in certain neighborhoods in the northeast and east of the city. Non-food supply stores are even more obviously concentrated in these same areas. Service establishments exhibit a similar spatial pattern, but with a positive density index that extends more broadly into eastern neighborhoods near the historic quarter (the Nervión district) and into specific areas in southern Seville. Education, health, and public transport facilities are distributed more unevenly across the city, covering more areas in the north, east, and south. In contrast, their distribution within the historic quarter is negative. Leisure establishments are highly concentrated in the city’s historic core. Green spaces are located in sectors to the east of the historic quarter and in the north of the city, while the western part of the historic quarter shows a negative density index (Figure 3).
The relationship between the different types of facilities is generally weak and positive, although a high positive correlation is observed between non-food retail and services (r = 0.66), and a moderate correlation between food stores and services (r = 0.51) and between food stores and other types of retail (r = 0.45) (Figure 4).
The results from the OLS model indicate that all study variables are statistically significant, with the exception of the educational facilities density index. The p-values for the services and health indices (p = 0.000) and the retail index (p = 0.001) are particularly notable. These first two variables also show the largest coefficients of change, which is negative in the case of the retail index. The model shows no issues of multicollinearity (Table 5). However, the R2 value of the OLS model is very low, with a 0.18 score. The global F-test value is 13.78, which, along with a p-value of 0.00, indicates that the model is globally significant. The Jarque–Bera test value is 161.63, which, with a p-value of 0.00, rejects the hypothesis that the residuals follow a normal distribution. The Koenker coefficient has a score of 15.60 and a p-value of 0.04, indicating the presence of heteroscedasticity. Finally, the Moran’s I index has a value of 0.25 and an observed z-value of 9.51, indicating strong spatial autocorrelation in the residuals.
The average coefficients obtained for all variables in the GWR model are low, and none have an average p-value below 0.05, meaning no variable is statistically significant across the entire territory. The density indices for retail and, to a lesser extent, health centers and leisure facilities show some significance in specific areas of Seville. In contrast, the density of educational centers and green spaces exhibit very little global and local influence, as their effect is not widespread (Table 2). The R2 value for this first GWR model is 0.41, indicating a moderate level of fit. The Moran’s I index has decreased to 0.16, but combined with its z-value of 5.93, it still indicates the presence of spatial autocorrelation.
The local coefficients from the first GWR model indicate that the spatial distribution of most facility categories is statistically significant in areas of the eastern part of the city and the Triana district. The density of health centers is also significant in northern Seville, while services and leisure areas are significant in the city center. Educational centers and green spaces do not show statistical significance (Figure 5).

3.2. Exploratory Analysis of the 15-Min Synthetic City Index

The synthetic index used to observe the degree of adaptation to the 15-min city model has a mode of −0.20, indicating a general tendency toward non-compliance with the model in the city of Seville. The median value of −0.06 is lower than the mean (standardized value of 0.00), suggesting a concentration of positive values in a limited number of census sections. This is further confirmed by the skewness value of 1.08. The low interquartile range value (0.29) demonstrates high data homogeneity. This concentration is validated by the kurtosis value (4.78), which also indicates the presence of extreme values.
Positive values of this index are spatially concentrated in the Triana district to the west and in specific areas of the central-eastern part of the city. However, the density index of major residential neighborhoods tends to be neutral, and the most widespread values across Seville are negative, particularly in the historic center and on the periphery (Figure 6).

3.3. Validation of the 15-Min Synthetic City Index

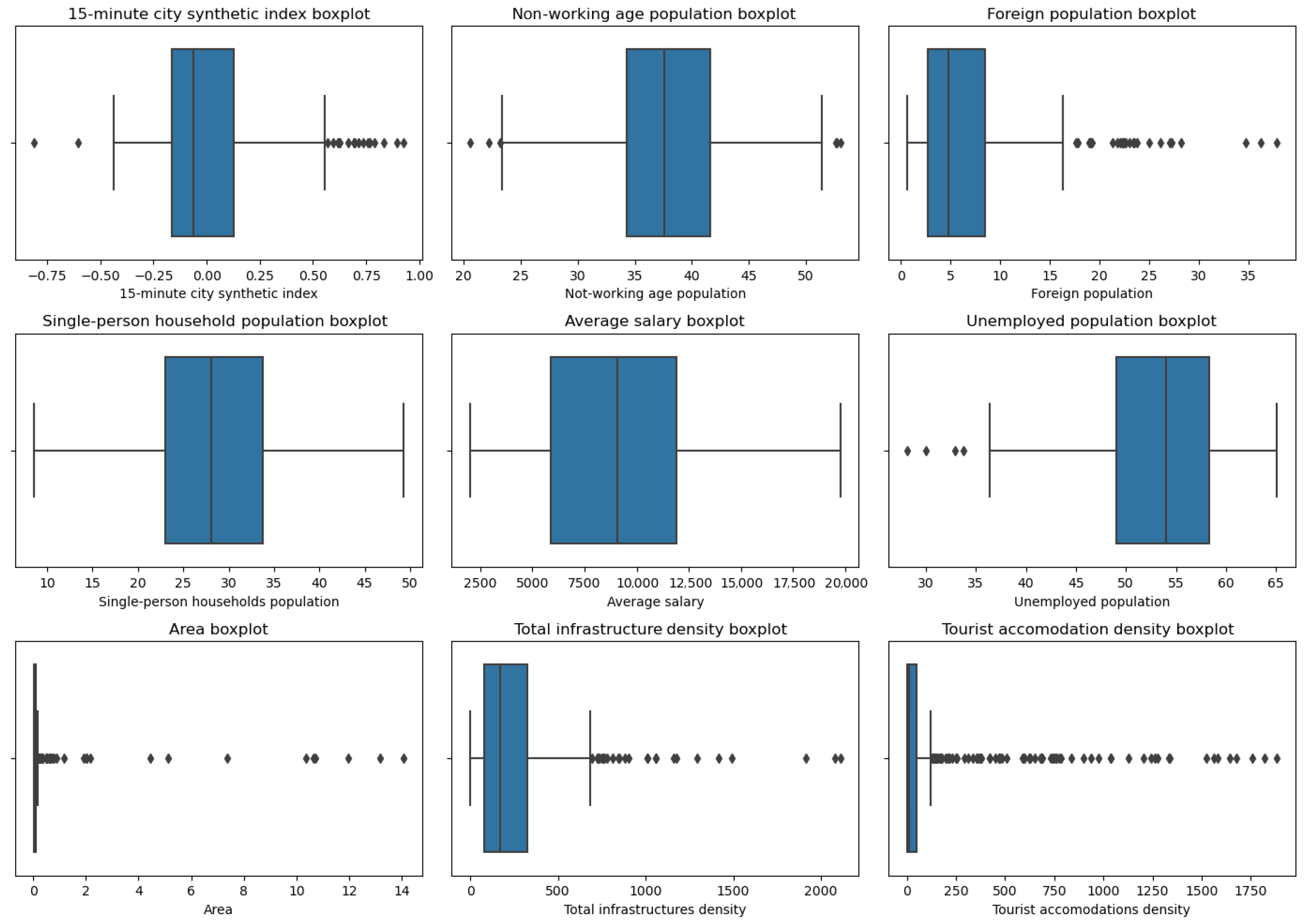
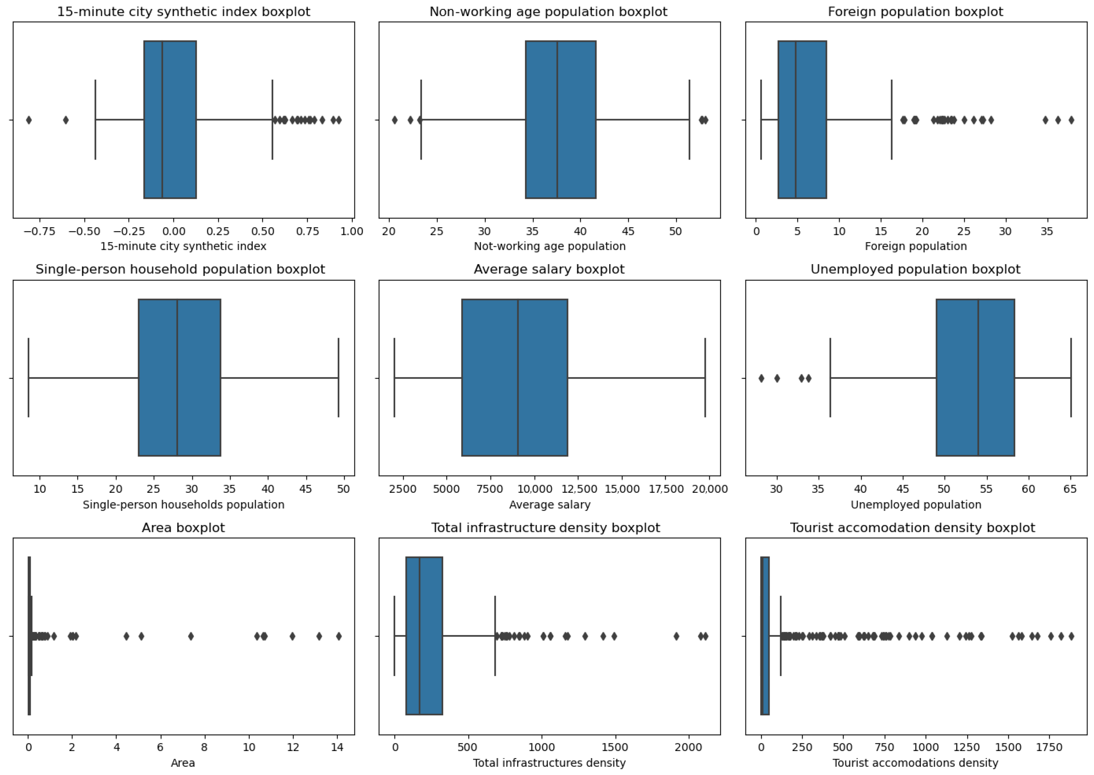
Most of the study variables have a mean value greater than their median, with skewness being particularly strong in the two infrastructure categories. The skewness and kurtosis indicate a higher concentration of extreme values in these categories, in the percentage of foreign population, and very strongly in the area of the census sections. In contrast, demographic variables (except for the percentage of foreign population) and economic variables show broad homogeneity across the city (Table 6). The boxplots and histograms reveal the strong spatial concentration present in the area and tourist-accommodation categories (Figure 7).
The most notable positive relationship is found between the calculated 15-min city index and the total density of facilities (r = 0.52), indicating the influence of infrastructure not accessible within a 15-min walking distance. Other moderate positive relationships worth highlighting are those between tourist accommodations and the population living alone (r = 0.50), and between the density of infrastructure and tourist accommodation (r = 0.45). The main negative relationship, also moderate in strength, is observed between the foreign population and the average salary (r = −0.43) (Figure 8).
The results of the second OLS model indicate that the variables which are statistically significant across the entire city are the two facility indices (p = 0.001), the non-working-age population index, and, marginally, the population-living-alone index. The coefficients suggest that an increase in these variables leads to an increase in compliance with the 15-min city criterion (with the exception of the tourist accommodation index, whose coefficient is negative and would therefore cause a decrease in the 15-min city synthetic index). The model shows no issues of multicollinearity (Table 7).
The R2 value of the OLS model is low (0.36). The global F-test value is 22.51, which, with a p-value of 0.00, indicates that the model is globally significant. The Jarque–Bera test value is 2448.83, which, with a p-value of 0.00, rejects the hypothesis that the residuals follow a normal distribution. The Koenker coefficient has a score of 204.04 and a p-value of 0.04, indicating the presence of heteroscedasticity. The Moran’s I index has a value of 0.08 and an observed z-value of 3.25, indicating the presence of spatial autocorrelation in the residuals.
Based on the GWR model, the total density of commercial facilities is the most relevant variable for the 15-min city index, both in terms of coefficient magnitude and the percentage of significant observations. Other variables, such as economic indicators, area, and tourist accommodations, exhibit localized effects within the city but hold little global relevance. In contrast, demographic variables do not contribute significant spatial information, due to their high spatial heterogeneity (Table 8).
The R2 value of the GWR model is moderate (0.56), indicating a better fit than the R2 obtained in the OLS model. The Akaike Information Criterion (AIC) is lower, further confirming its superior fit. The global F-test value is 22.51, which, with a p-value of 0.00, indicates that the model is globally significant. The Jarque–Bera test value of 235.70 suggests that the GWR model captures patterns that the OLS model leaves in the residuals, while the Koenker test value of 225.63 indicates the presence of expected heteroscedasticity due to the spatial variation of the coefficients. The Moran’s I index has a value of 0.01 and an observed z-value of 0.78, indicating no spatial autocorrelation in the residuals (Table 9).
Almost all variables used to analyze the 15-min city index are statistically significant only in the city center, with the exception of the total commercial index, which exhibits the opposite behavior. Local significance of salary, area, and tourist accommodation density is also observed in the western part of the city, with the latter variable showing local significance in northern Seville (Figure 9).
The local coefficients indicate that the degree of implementation of the 15-min city model is linked to an increase in unemployed population and infrastructure density, and a decrease in foreign population, population living alone, salary, area, and, to a lesser extent, tourist accommodation (Figure 10). The GWR model exhibits higher R2 values in the eastern part of the city, while the model’s explanatory power is low in the center and west (Figure 11).
The median of the residuals (−0.03) is lower than the mean (0.00), indicating a concentration of residuals toward lower values. The standard deviation of the residuals is generally low, though there is an underestimation of the effect of the variables used on the 15-min city index in the northwest of the city, in some sections of the Triana district, and in areas south and east of the historic center. Conversely, there is an overestimation of this effect in the western part of the historic center, in the sections of Triana adjacent to the river, and in areas of the southern part of the city (Figure 12).

4. Discussion

The results highlight the capacity of the methodology based on open geospatial data, isochrone analysis and spatial regression to measure and compare the implementation of the 15-min city model across different urban contexts. This is achieved by using Seville as a validation laboratory through which to corroborate the viability of the proposed methodology. In this way, the results confirm previous research identifying density, mixed land use and service distribution as fundamental components of urban proximity [11]. These findings suggest that proximity projects are not merely a matter of urban design, but also of distributive policy, the prioritization of mobility modes, and the regulation of the land and housing market [20].
In this regard, the literature has emphasized that the 15-min city model cannot be understood as a mere planning technique, but as a political tool that challenges historical dynamics of zoning and urban fragmentation [2,6]. The evidence from Seville reinforces the idea that proximity is closely tied to structural inequalities, which directly connects with criticisms regarding the limits of urban compactness models [5]. By reproducing patterns described in the literature, the analysis validates the feasibility of using geospatial data infrastructures to operationalize the 15-min city concept.
In this regard, the combined use of open data from OpenStreetMap and Overture Maps has provided significant value for the study and measurement of the 15-min city model, by providing detailed, updatable and freely accessible geospatial information on the location of urban services, facilities and mobility networks. These platforms enable the identification and classification of key urban functions—such as food retail, education, health care, and mobility infrastructures—with high spatial resolution and interoperability across datasets. Their integration strengthens the reliability of isochrone-based accessibility models and supports the spatial regression analysis by ensuring consistent spatial coverage of urban amenities. This methodological synergy confirms that open geospatial data infrastructures can effectively capture the complexity of proximity patterns in contemporary cities, providing a scalable and reproducible approach to measure the implementation of the 15-min city model across diverse urban contexts, and helping to cover blind spots serving as a quantitative risk proxy for different functional spaces [46,47].
From a planning perspective, the integration of spatial optimization techniques within the methodological framework opens the door to simulating alternative service configurations aimed at improving proximity and reducing accessibility gaps. By combining isochrone analysis with optimization models, it becomes possible to identify areas where the location or reallocation of public facilities would maximize coverage with minimal travel times, particularly for vulnerable populations. This approach contributes to a more evidence-based and equitable implementation of the 15-min city principles, transforming open geospatial data not only into a diagnostic tool, but also into a foundation for strategic spatial design and policy-oriented urban planning [46,47].
Analysis of the spatial distribution of different services also emphasizes the role of public facility accessibility as a central dimension of the 15-min city framework. Accessibility to education, health care, and everyday services not only determines the functional efficiency of urban areas, but also reflects the fact that broader patterns of spatial justice are a prominent factor affecting people’s livelihood [46]. In Seville, food stores, retail, and services form the main functional cluster of the urban system, concentrating in in areas with higher centrality. Regarding the other categories, the accessibility disparities reveal that while these central and intermediate districts benefit from dense and diversified public facilities, peripheral neighborhoods experience structural deficits that limit residents’ ability to meet daily needs locally. These findings are consistent with studies that link uneven facility accessibility to patterns of socio-spatial inequality and urban polarization, underscoring the need to integrate accessibility planning into broader strategies of social cohesion and inclusive urban development [46].
Regarding zonification, the results identified three urban typologies that the methodology is capable of distinguishing: highly touristified cores with service specialization; mixed-function districts with balanced accessibility; and peripheral self-contained neighborhoods with infrastructural deficits. Thus, the historic center combines low population density with a strong orientation towards commerce and tourist consumption. Consequently, the majority of the city’s leisure facilities are concentrated almost exclusively in this area, but a lack of basic infrastructure such as education, public transport, and, to a lesser extent, healthcare, is also observed. This finding aligns with recent studies which indicate how the concentration of services in central areas of European cities can intensify social segregation and gentrification [19,29,48,49].
The second area, comprised of districts surrounding the historic center, combines residential and tourist functions. Although its urban typology is similar to that of the historic center (the commerce and tourism-oriented area, with a large number of restaurants), it also has basic facilities such as educational and health centers that serve the local population. However, its low population density produces the presence of a wide range of specialized retail and services, which results in a lower density of shops and basic retail targeting middle-income populations who cannot afford to live in this area of the city.
In the most remote districts, education, health, and public-transport centers show a broader distribution, with positive densities, which responds to the isolated nature of outer neighborhoods, configured as small self-sufficient towns within the municipal boundary, though disconnected from the main urban core. This pattern is also repeated in residential neighborhoods in the north, east, and south of the city, where vulnerable neighborhoods with greater service deficits are concentrated.
The mapping of the 15-min city synthetic index indicates that districts surrounding the historic center (the Triana and Nervión districts in the case of Seville) are those that best adapt to this model, primarily due to their wide availability of retail and services for their population. In contrast, the historic center generally shows negative indices, due to the specialization of retail and leisure spaces targeting the tourist market and a gradual decline in basic establishments, which, combined with low population density, has led to processes of gentrification [37]. For their part, residential and isolated peripheral neighborhoods show neutral values, with a certain degree of self-sufficiency in services which, however, are not always sufficient to meet the population’s needs. Although southeastern and eastern neighborhoods follow this pattern, they contain large areas with low infrastructure density and limited access to essential services for the most vulnerable populations. This differentiation aligns with previous findings [27,47], suggesting that the method accurately captures common spatial hierarchies of service accessibility observed in compact European cities.
The regression analysis demonstrates that the model effectively captures correlations between accessibility and socio-economic indicators, consistent with the literature linking variables such as income, land-use diversity, and walkability [19,29,30]. When analyzing the case of Seville, it is observed that neighborhoods with a greater variety of facilities show low R2 coefficients and positive significance in most variables, which indicates that factors such as income level or demographic characteristics influence the index, though the total variation is reduced due to the consolidation and homogeneity of some of these areas. In contrast, areas further away from the center show low R2 coefficients and positive significance only in the variable of total infrastructure density, showcasing greater inequality in these neighborhoods. This indicates low sensitivity of the model to uniform areas and higher responsiveness in heterogeneous contexts.
In Seville, the central districts show positive associations between the 15-min city index, foreign population, and service density, reflecting compact areas with strong accessibility but also emerging processes of gentrification and rising housing costs [37]. Conversely, higher unemployment and the concentration of tourist accommodation in the historic center point to ongoing touristification and residential displacement. In peripheral neighborhoods, the index remains low, despite adequate infrastructure levels, underscoring persistent deficits in everyday services and the need to strengthen proximity facilities in socio-economically disadvantaged areas.
Residual analysis identifies over- and underestimation patterns related to morphological and functional factors not explicitly modeled, such as street layout or non-residential land uses (particularly in the city center and surroundings, due to tourist saturation or loss of residential services; and zones in the south of the city corresponding to university campuses). These patterns confirm the model’s ability to detect spatial anomalies and its dependence on data granularity. Such sensitivity represents both a limitation and a potential diagnostic advantage when applied to cities with diverse urban fabrics.
The ability to replicate well-documented urban patterns using open and standardized data confirms that the approach is suitable for conducting comparative analyses to assess the spatial coherence and equity dimensions of the 15-min city model in other European and Latin American cities.

5. Conclusions

This study advances understanding of the 15-min city model by highlighting how contextual factors shape its implementation, and provides an empirical basis for designing urban policies aimed at reducing territorial disparities and improving equity in access to services. The results emphasize the shortage of citizen-oriented facilities and the impact of touristification in Seville’s historic center, together with limited accessibility in peripheral and vulnerable neighborhoods. Proximity depends not only on infrastructure provision, but also on demographic, socio-economic, and urban dynamics such as touristification and gentrification. The information obtained can guide governance strategies integrating demographic, economic, and infrastructural dimensions to reduce internal inequalities. In conclusion, the study reinforces the need to address the 15-min city from a comprehensive perspective, combining accessibility and proximity criteria with redistributive policies in housing, mobility, and urban services [8].
The findings underscore three points. First, the 15-min city must be assessed considering urban processes, such as tourism pressure or land valorization, which reshape accessibility. Second, the presence of facilities does not ensure equitable access, as market dynamics, commercial specialization, and mobility constraints condition their use. Finally, synthetic models are useful for mapping territorial inequalities and guiding public policies, provided they are complemented by qualitative studies that capture citizen practices and perceptions.
This work has also demonstrated the potential of combining open geospatial and official data to map the degree of the 15-min city model compliance in a heterogeneous city like Seville. Open, geolocated datasets enable the analysis of socio-demographic and infrastructural variables explaining spatial variability. This approach leverages the advantages of these new data sources, such as their high volume, periodicity, and spatial detail, providing a complementary perspective to traditional data-based approaches. The methodology is reproducible and easily applicable to other cities and scales.
However, several limitations must be acknowledged. Although open datasets such as OpenStreetMap and Overture Maps integrate diverse facilities, they still show inconsistencies and uneven data quality, requiring careful validation. This reveals biases towards leisure-related establishments and limits coverage of basic infrastructures. Regarding official data, the main limitation is the dependency on the availability of specific data, which required integration with new geospatial data sources to mitigate this constraint.
Other limitations are theoretical. Applying proximity as the main organizing principle of urban space involves the task of redistributing functions based on various geographic, economic, and social principles, such as threshold population and market coverage. It also requires prioritization and relocation of public functions [1]. Implementing the 15-min city model requires legislative provisions, a governance structure focused on the city’s unique characteristics, and the promotion of housing policies.
Future work should integrate open data with human mobility sources, like GTFS public transport files or origin–destination travel matrices, build temporal datasets to track morphological and structural change, and explore touristification through specific variables; it might integrate the concept of the 45-min territory into the 15-min city theoretical framework, which posits that workplaces should be within a maximum of 45 min by public transport from one’s residence.

Author Contributions

Conceptualization, Joaquín Osorio-Arjona; methodology, Joaquín Osorio-Arjona; software, Joaquín Osorio-Arjona; validation, Joaquín Osorio-Arjona and José David Albarrán-Periáñez; formal analysis, Joaquín Osorio-Arjona and José David Albarrán-Periáñez; investigation, José David Albarrán-Periáñez; resources, Joaquín Osorio-Arjona and José David Albarrán-Periáñez; data curation; Joaquín Osorio-Arjona; writing—original draft preparation, Joaquín Osorio-Arjona and José David Albarrán-Periáñez; writing—review and editing, José David Albarrán-Periáñez; visualization, Joaquín Osorio-Arjona; supervision, Joaquín Osorio-Arjona; project administration, Joaquín Osorio-Arjona and José David Albarrán-Periáñez; funding acquisition, Joaquín Osorio-Arjona. All authors have read and agreed to the published version of the manuscript.

Funding

This research received no external funding.

Data Availability Statement

The data presented in the study are openly available at https://osf.io/jcak9/(accessed on 16 September 2025).

Conflicts of Interest

The authors declare no conflicts of interest.

Abbreviations

The following abbreviations are used in this manuscript:
OLSOrdinary Least Squares
GWRGeographically Weighted Regression
INENational Statistics Institute
IECAInstitute of Statistics and Cartography of Andalusia

References

  1. Pozoukidou, G.; Chatziyiannaki, Z. 15-Minute City: Decomposing the New Urban Planning Eutopia. Sustainability 2021, 13, 928. [Google Scholar] [CrossRef]
  2. Howard, E. To-Morrow: A Peaceful Path to Real Reform; Cambridge University Press: Cambridge, UK, 2010. [Google Scholar]
  3. Perry, C.A. City Planning for Neighborhood Life. Soc. Forces 1929, 8, 98. [Google Scholar] [CrossRef]
  4. Talen, E. Connecting New Urbanism and American Planning: An Historical Interpretation. Urban Des. Int. 2006, 11, 83–98. [Google Scholar] [CrossRef]
  5. Moliní, F.; Salgado, M. Los Impactos Ambientales de la Ciudad de Baja Densidad en Relación con los de la Ciudad Compacta. Biblio 3W-Rev. Bib. Geogr. Cienc. Soc. 2012, 17, 958. Available online: http://www.ub.edu/geocrit/b3w-958.htm (accessed on 21 August 2025).
  6. Prouse, V.; Grant, J.L.; Ramos, H.; Radice, M. Assessing Neighbourhood Change: Gentrification and Suburban Decline in a Mid-Sized City; Dalhousie University: Halifax, NS, Canada, 2015. [Google Scholar]
  7. Röslmaier, M.; Albarrán, D. Local Commitment and Withdrawal in the Wake of Conspicuous Airbnb Place Dynamics on a Cold-Water Island. In Peer-to-Peer Accommodation and Community Resilience: Implications for Sustainable Development; Farmaki, A., Ioannides, D., Kladou, S., Eds.; CABI: Wallingford, UK, 2022; pp. 94–110. [Google Scholar]
  8. Büttner, B.; Silva, C.; Merlin, L.; Karst, G. Just around the Corner: Accessibility by Proximity in the 15-Minute City. J. Urban Mobil. 2024, 6, 100095. [Google Scholar] [CrossRef]
  9. Hosni, J.; Zumelzu, A. Assessing Nodality in Neighbourhoods in Transformation: A Concept of Sustainable Urban Form. The Case Study of Rahue Bajo, Osorno, Chile. Sustain. Dev. 2019, 27, 214–226. [Google Scholar] [CrossRef]
  10. Kissfazekas, K. Circle of Paradigms? Or ‘15-Minute’ Neighbourhoods from the 1950s. Cities 2022, 123, 103587. [Google Scholar] [CrossRef]
  11. Moreno, C.; Allam, Z.; Chabaud, D.; Gall, C.; Pratlong, F. Introducing the “15-Minute City”: Sustainability, Resilience and Place Identity in Future Post-Pandemic Cities. Smart Cities 2021, 4, 93–111. [Google Scholar] [CrossRef]
  12. Moreno, C.; Sennett, R.; Sassen, S.; Gala Valencia, B. La Revolución de la Proximidad: De la “Ciudad Global” a la “Ciudad de los Quince Minutos; Alianza Editorial: Madrid, Spain, 2023. [Google Scholar]
  13. Allam, Z.; Bibri, S.E.; Chabaud, D.; Moreno, C. The Theoretical, Practical, and Technological Foundations of the 15-Minute City Model: Proximity and Its Environmental, Social and Economic Benefits for Sustainability. Energies 2022, 15, 6042. [Google Scholar] [CrossRef]
  14. Wang, Y.P.; Kintrea, K.; Everatt, D.; Kundu, D. (Eds.) Introduction. In New Drivers of Division; Sustainable Development Goals Series; Springer: Singapore, 2025. [Google Scholar]
  15. Kafkalas, G.; Vitopoulou, A.; Gemenetzi, G.; Yiannakou, A.; Tasopoulou, A. Sustainable Cities: Adaptation and Resilience in Times of Crisis; Hellenic Academic Ebooks: Athens, Greece, 2015. [Google Scholar]
  16. Guzmán, L.A.; Arellana, J.; Oviedo, D.; Aristizábal, C.A.M. COVID-19, Activity and Mobility Patterns in Bogotá. Are We Ready for a ‘15-Minute City’? Travel Behav. Soc. 2021, 24, 245–256. [Google Scholar] [CrossRef]
  17. Nieuwenhuijsen, M.J. New Urban Models for More Sustainable, Liveable and Healthier Cities Post COVID-19; Reducing Air Pollution, Noise and Heat Island Effects and Increasing Green Space and Physical Activity. Environ. Int. 2021, 157, 106850. [Google Scholar] [CrossRef]
  18. Khavarian-Garmsir, A.R.; Sharifi, A.; Hajian Hossein Abadi, M.; Moradi, Z. From Garden City to 15-Minute City: A Historical Perspective and Critical Assessment. Land 2023, 12, 512. [Google Scholar] [CrossRef]
  19. Abdelfattah, L.; Deponte, D.; Fossa, G. The 15-Minute City: Interpreting the Model to Bring out Urban Resiliencies. Transp. Res. Procedia 2022, 60, 330–337. [Google Scholar] [CrossRef]
  20. Bruno, M.; Monteiro, H.P.; Campanelli, B.; Loreto, V. A Universal Framework for Inclusive 15-Minute Cities. Nat. Cities 2024, 1, 633–641. [Google Scholar] [CrossRef]
  21. Bocca, A. Public Space and 15-Minute City. TeMA-J. Land Use Mobil. Environ. 2021, 14, 395–410. Available online: https://hdl.handle.net/11564/765714 (accessed on 16 August 2025).
  22. Guzmán, L.A.; Oviedo, D.; Cantillo-Garcia, V.A. Is Proximity Enough? A Critical Analysis of a 15-Minute City Considering Individual Perceptions. Cities 2024, 148, 104882. [Google Scholar] [CrossRef]
  23. Oviedo, D. Making the Links between Accessibility, Social and Spatial Inequality, and Social Exclusion: A Framework for Cities in Latin America. In Advances in Transport Policy and Planning; Pereira, R., Boisjoly, G., Eds.; Elsevier: Amsterdam, The Netherlands, 2021; pp. 135–172. [Google Scholar]
  24. Handy, S. Is Accessibility an Idea Whose Time Has Finally Come? Transp. Res. Part D Transp. Environ. 2020, 83, 102319. [Google Scholar] [CrossRef]
  25. Papadopoulos, E.; Sdoukopoulos, A.; Politis, I. Measuring Compliance with the 15-Minute City Concept: State-of-the-Art, Major Components and Further Requirements. Sustain. Cities Soc. 2023, 99, 104875. [Google Scholar] [CrossRef]
  26. Mouratidis, K. Time to Challenge the 15-Minute City: Seven Pitfalls for Sustainability, Equity, Livability, and Spatial Analysis. Cities 2024, 153, 105274. [Google Scholar] [CrossRef]
  27. Twardzik, E.; Falvey, J.R.; Clarke, P.J.; Freedman, V.A.; Schrack, J.A. Public Transit Stop Density Is Associated with Walking for Exercise among a National Sample of Older Adults. BMC Geriatr. 2023, 23, 596. [Google Scholar] [CrossRef]
  28. Weng, M.; Ding, N.; Li, J.; Jin, X.; Xiao, H.; He, Z.; Su, S. The 15-Minute Walkable Neighborhoods: Measurement, Social Inequalities and Implications for Building Healthy Communities in Urban China. J. Transp. Health 2019, 13, 259–273. [Google Scholar] [CrossRef]
  29. Ferrer-Ortiz, C.; Marquet, O.; Mojica, L.; Vich, G. Barcelona under the 15-Minute City Lens: Mapping the Accessibility and Proximity Potential Based on Pedestrian Travel Times. Smart Cities 2022, 5, 146–161. [Google Scholar] [CrossRef]
  30. Osorio-Arjona, J. Análisis del Desarrollo de las Ciudades de 15 Minutos en Andalucía a partir de Datos de Twitter y OpenStreetMap. Rev. Estud. Andal. 2025, 50, 33–51. [Google Scholar] [CrossRef]
  31. Metwally, E.; Menshway, Y.; Zaki, F.M. The Role of GIS in Promoting the 15-Minute City Concept for Sustainable Urban Using Network Analysis (Case Study: El Rehab City). Mansoura Eng. J. 2025, 50, 1. [Google Scholar] [CrossRef]
  32. Mocák, P.; Matlovicova, K.; Matlovic, R.; Pénzes, J.; Pachura, P.; Mishra, P.K.; Kostilnikova, K.; Demková, M. 15-Minute City Concept as a Sustainable Urban Development Alternative: A Brief Outline of Conceptual Frameworks and Slovak Cities as a Case. Folia Geogr. 2022, 64, 69–89. [Google Scholar]
  33. Gutiérrez, J. Big Data y Nuevas Geografías: La Huella Digital de las Actividades Humanas. Doc. Anàl. Geogr. 2018, 64, 195. [Google Scholar] [CrossRef]
  34. Osorio-Arjona, J. Analyzing Post-COVID-19 Demographic and Mobility Changes in Andalusia Using Mobile Phone Data. Sci. Rep. 2024, 14, 14828. [Google Scholar] [CrossRef]
  35. Allam, Z.; Bibri, S.E.; Jones, D.S.; Chabaud, D.; Moreno, C. Unpacking the ‘15-Minute City’ via 6G, IoT, and Digital Twins: Towards a New Narrative for Increasing Urban Efficiency, Resilience, and Sustainability. Sensors 2022, 22, 1369. [Google Scholar] [CrossRef]
  36. Räsänen, A.; Heikkinen, K.; Piila, N.; Juhola, S. Zoning and Weighting in Urban Heat Island Vulnerability and Risk Mapping in Helsinki, Finland. Reg. Environ. Change 2019, 19, 1481–1493. [Google Scholar] [CrossRef]
  37. Parralejo, J.J.; Díaz, I. Gentrification and Touristification in the Central Urban Areas of Seville and Cádiz. Urban Sci. 2021, 5, 40. [Google Scholar] [CrossRef]
  38. Hernández, V.; Marqués, R. El Impacto del “Carril-Bici” de Sevilla sobre el Espacio Urbano de la Ciudad: Un Análisis Preliminar. Hábitat Soc. 2017, 10, 181–202. [Google Scholar] [CrossRef]
  39. Instituto Nacional de Estadística. Available online: https://www.ine.es/dyngs/Prensa/UA2024.htm (accessed on 20 August 2025).
  40. Bégin, D.; Devillers, R.; Roche, S. The Life Cycle of Contributors in Collaborative Online Communities—The Case of OpenStreetMap. Int. J. Geogr. Inf. Sci. 2018, 32, 1611–1630. [Google Scholar] [CrossRef]
  41. Machado, A.A.; Camboim, S.P. Mapeamento Colaborativo como Fonte de Dados para o Planejamento Urbano: Desafios e Potencialidades. Urbe Rev. Bras. Gest. Urb. 2019, 11, e20180142. Available online: https://periodicos.pucpr.br/Urbe/article/view/24666 (accessed on 1 November 2025).
  42. Brunsdon, C.; Fotheringham, A.S.; Charlton, M.E. Geographically Weighted Regression: A Method for Exploring Spatial Nonstationarity. Geogr. Anal. 1996, 28, 281–298. [Google Scholar] [CrossRef]
  43. LeSage, J.; Pace, R.K. Introduction to Spatial Econometrics, 1st ed.; Chapman and Hall/CRC: Boca Raton, FL, USA, 2009. [Google Scholar]
  44. Fotheringham, A.S.; Brunsdon, C.; Charlton, M. Geographically Weighted Regression: The Analysis of Spatially Varying Relationships; Wiley: Chichester, UK, 2002. [Google Scholar]
  45. Cardozo, O.D.; García-Palomares, J.C.; Gutiérrez, J. Application of Geographically Weighted Regression to the Direct Forecasting of Transit Ridership at Station-Level. Appl. Geogr. 2012, 34, 583–594. [Google Scholar] [CrossRef]
  46. Zhou, L.; Wang, S.; Xu, Z. A Multi-factor Spatial Optimization Approach for Emergency Medical Facilities in Beijing. ISPRS Int. J. Geo-Inf. 2020, 9, 361. [Google Scholar] [CrossRef]
  47. Wang, W.; Xu, Z.; Sun, D.; Land, T. Spatial Optimization of Mega-City Fire Stations Based on Multi-Source Geospatial Data: A Case Study in Beijing. ISPRS Int. J. Geo-Inf. 2021, 10, 282. [Google Scholar] [CrossRef]
  48. Balletto, G.; Ladu, M.; Milesi, A.; Borruso, G. A methodological approach on disused public properties in the 15-minute city perspective. Sustainability 2021, 13, 593. [Google Scholar] [CrossRef]
  49. Gaglione, F.; Gargiulo, C.; Zucaro, F.; Cottrill, C. 15-minute neighbourhood accessibility: A comparison between Naples and London. Eur. Transp. 2021, 85, 1–16. [Google Scholar] [CrossRef]
Figure 1. The 15-min isochrones in Seville.
Figure 1. The 15-min isochrones in Seville.
Ijgi 14 00472 g001
Figure 2. Population density index of Seville.
Figure 2. Population density index of Seville.
Ijgi 14 00472 g002
Figure 3. Density indices of the eight facilities’ categories.
Figure 3. Density indices of the eight facilities’ categories.
Ijgi 14 00472 g003
Figure 4. Correlation matrix between different types of facilities.
Figure 4. Correlation matrix between different types of facilities.
Ijgi 14 00472 g004
Figure 5. Local significance values obtained in the first GWR model for each variable.
Figure 5. Local significance values obtained in the first GWR model for each variable.
Ijgi 14 00472 g005
Figure 6. Synthetic index of compliance with the 15-min city model.
Figure 6. Synthetic index of compliance with the 15-min city model.
Ijgi 14 00472 g006
Figure 7. Boxplots and histograms of the variables used for the validation of the 15-min synthetic city index.
Figure 7. Boxplots and histograms of the variables used for the validation of the 15-min synthetic city index.
Ijgi 14 00472 g007aIjgi 14 00472 g007b
Figure 8. Correlation matrix between different types of variables.
Figure 8. Correlation matrix between different types of variables.
Ijgi 14 00472 g008
Figure 9. Local significance values obtained in the second GWR model.
Figure 9. Local significance values obtained in the second GWR model.
Ijgi 14 00472 g009
Figure 10. Local coefficients obtained in the second GWR model.
Figure 10. Local coefficients obtained in the second GWR model.
Ijgi 14 00472 g010
Figure 11. Local R2 values of the second GWR model.
Figure 11. Local R2 values of the second GWR model.
Ijgi 14 00472 g011
Figure 12. Map and histogram of the residuals from the second GWR model.
Figure 12. Map and histogram of the residuals from the second GWR model.
Ijgi 14 00472 g012
Table 1. Number of facilities used in this study.
Table 1. Number of facilities used in this study.
CategoryOfficial SourcesOpenStreetMapOverture MapsTotal
Food stores57 (4.64%)571 (46.58%)598 (48.78%)1226
Supply stores0 (0.00%)747 (31.02%)1661 (68.98%)2408
Services50 (2.38%)617 (29.41%)1431 (68.21%)2098
Education498 (100.00%)0 (0.00%)0 (0.00%)498
Health466 (100.00%)0 (0.00%)0 (0.00%)466
Public transport1267 (100.00%)0 (0.00%)0 (0.00%)1267
Leisure71 (39.66%)44 (24.59%)64 (35.75%)179
Green spaces416 (100.00%)0 (0.00%)0 (0.00%)416
Table 2. Parameters of the variables used in the GWR model to obtain weighting indices for calculating the synthetic index of the 15-min city.
Table 2. Parameters of the variables used in the GWR model to obtain weighting indices for calculating the synthetic index of the 15-min city.
ModelAverage CoefficientAverage TAverage p-Value% Significant ObservationsVIF
Food stores density index0.0961.300.307.1%1.47
Supply stores density index−0.099−1.300.3113.4%1.88
Services density index0.1532.270.1334.5%2.08
Education density index−0.004−0.150.550.0%1.02
Health density index0.0921.960.1322.7%1.19
Public transport density index0.0270.430.447.4%1.07
Leisure density index−0.086−1.410.3014.7%1.09
Green spaces density index0.0020.260.490.0%1.02
Table 3. Variables used to evaluate the 15-min synthetic city index.
Table 3. Variables used to evaluate the 15-min synthetic city index.
VariableTypeSource
Percentage of non-working-age population (under 18 and over 65)DemographicSpatial Open Data Portal of the Seville City Council
Percentage of foreign populationDemographicSpatial Open Data Portal of the Seville City Council
Percentage of population living in single-person householdsDemographicSpatial Open Data Portal of the Seville City Council
Average salaryEconomicSpatial Open Data Portal of the Seville City Council
Percentage of unemployed populationEconomicSpatial Open Data Portal of the Seville City Council
Area (km2)PhysicalSpatial Open Data Portal of the Seville City Council
Total retail densityStructuralSpatial Open Data Portal of the Seville City Council, IECA, OpenStreetMap and Overture Maps
Tourist accommodation densityStructuralAirBNB open data
Table 4. Exploration measures for the eight facilities’ categories (densities in km2).
Table 4. Exploration measures for the eight facilities’ categories (densities in km2).
CategoryMeanMedianStandard DeviationInterquartile RangeSkewnessKurtosis
Population22.5420.6612.8916.970.723.76
Food stores40.7419.8262.9754.984.4139.69
Supply stores70.9528.16143.2383.836.1251.37
Services65.1434.5783.3591.842.034.81
Education10.920.0015.9419.922.157.36
Health14.589.7817.1524.351.241.23
Public transport27.8022.5627.2735.311.341.99
Leisure3.970.0010.160.002.958.58
Table 5. Parameters of the eight facilities’ categories used in the first OLS model.
Table 5. Parameters of the eight facilities’ categories used in the first OLS model.
ModelCoefficient T p-ValueVIF
Food stores density index0.070.022.621.47
Supply stores density index−0.100.03−3.221.88
Services density index0.140.034.402.08
Education density index0.010.020.141.02
Health density index0.120.024.941.19
Public transport density index0.040.021.721.07
Leisure density index−0.060.02−2.471.09
Green spaces density index0.040.022.031.02
Table 6. Exploratory measures of the variables used for the validation of the synthetic index of the 15-min city.
Table 6. Exploratory measures of the variables used for the validation of the synthetic index of the 15-min city.
CategoryMeanMedianStandard DeviationInterquartile RangeSkewnessKurtosis
15-min city synthetic index0.00−0.060.230.291.091.79
Percentage of non-working-age population37.7337.555.717.300.050.00
Percentage of foreign-born population6.434.752.105.822.176.47
Percentage of population living alone28.1928.107.7510.68−0.04−0.47
Percentage of unemployed population53.3954.056.689.22−0.540.20
Salary90.3190.5236.536.030.12−0.81
Area0.270.051.340.068.1368.36
Total retail density245.15168.93261.93243.903.0214.08
Table 7. Parameters of the validation variables used in the second OLS model.
Table 7. Parameters of the validation variables used in the second OLS model.
ModelCoefficient T p-Value VIF
Percentage of non-working-age population index0.0030.0022.071.26
Percentage of foreign-born population index0.0010.0020.881.80
Percentage of population-living-alone index0.0020.0011.802.86
Percentage of unemployed population index0.0010.0011.541.80
Salary index0.0000.0001.241.22
Area index−0.0010.006−1.571.03
Total retail density index0.0010.00014.121.41
Percentage of non-working-age population index−0.0010.000−6.591.75
Table 8. Parameters of the variables used in the GWR model for the validation of the 15-min synthetic city index.
Table 8. Parameters of the variables used in the GWR model for the validation of the 15-min synthetic city index.
ModelAverage CoefficientAverage TAverage p-Value% Significant ObservationsVIF
Percentage of non-working-age population index0.0050.300.590.0%1.47
Percentage of foreign-born population index0.0190.800.400.8%1.88
Percentage of population-living-alone index−0.002−0.030.500.0%2.08
Percentage of unemployed population index−0.033−1.440.226.5%1.02
Salary index−0.015−0.510.448.8%1.19
Area index−0.112−0.960.4316.6%1.07
Total retail density index0.2087.720.0192.7%1.09
Percentage of non-working-age population index−0.064−1.340.3521.81.02
Table 9. Comparison of the parameters of the OLS model and the GWR model used to validate the 15-min synthetic city index.
Table 9. Comparison of the parameters of the OLS model and the GWR model used to validate the 15-min synthetic city index.
ParameterOLS ModelGWR Model
R20.360.56
AIC−254.17−362.98
Jarque–Bera2622.76235.70
Koenker201.99225.63
Moran I0.080.01
Disclaimer/Publisher’s Note: The statements, opinions and data contained in all publications are solely those of the individual author(s) and contributor(s) and not of MDPI and/or the editor(s). MDPI and/or the editor(s) disclaim responsibility for any injury to people or property resulting from any ideas, methods, instructions or products referred to in the content.

Share and Cite

MDPI and ACS Style

Osorio-Arjona, J.; Albarrán-Periáñez, J.D. Assessing the Multidimensionality of the 15-Min City in Seville Through Open Geospatial Data. ISPRS Int. J. Geo-Inf. 2025, 14, 472. https://doi.org/10.3390/ijgi14120472

AMA Style

Osorio-Arjona J, Albarrán-Periáñez JD. Assessing the Multidimensionality of the 15-Min City in Seville Through Open Geospatial Data. ISPRS International Journal of Geo-Information. 2025; 14(12):472. https://doi.org/10.3390/ijgi14120472

Chicago/Turabian Style

Osorio-Arjona, Joaquín, and José David Albarrán-Periáñez. 2025. "Assessing the Multidimensionality of the 15-Min City in Seville Through Open Geospatial Data" ISPRS International Journal of Geo-Information 14, no. 12: 472. https://doi.org/10.3390/ijgi14120472

APA Style

Osorio-Arjona, J., & Albarrán-Periáñez, J. D. (2025). Assessing the Multidimensionality of the 15-Min City in Seville Through Open Geospatial Data. ISPRS International Journal of Geo-Information, 14(12), 472. https://doi.org/10.3390/ijgi14120472

Note that from the first issue of 2016, this journal uses article numbers instead of page numbers. See further details here.

Article Metrics

Article metric data becomes available approximately 24 hours after publication online.
Back to TopTop