An Integrated Framework for Multi-Objective Optimization of Night Lighting in Urban Residential Areas: Synergistic Control of Outdoor Activity Places Lighting and Indoor Light Trespass
Abstract
1. Introduction
2. Literature Review
2.1. Progress in the Study of Night Light Trespass
2.2. Multi-Objective Optimization (MOO) Methods in Lighting Research
2.3. Decision Support for Optimization Schemes
3. Research Methods
3.1. Research Framework
3.2. Field Research Studies
3.3. Parameter Selection and Objective Function Construction
3.3.1. Design Variables
3.3.2. Performance Objective Function
3.4. Evaluation Indicators for Night Lighting
3.4.1. Horizontal Illuminance on the Ground of the Activity Place ()
3.4.2. Vertical Illumination of Building Windows ()
3.5. Parametric Simulation Model and Simulation Optimization
3.5.1. Parametric Simulation Modeling
3.5.2. MOO Simulation
3.6. Analysis of the Correlation Between the Objective Function and the Design Variables
3.6.1. Theoretical Basis of Spearman Correlation Analysis
3.6.2. Operational Steps
3.7. Programmatic Decision Support
4. Results and Discussions
4.1. Feasible Solutions and Pareto Optimal Solution Sets for Multi-Objective Optimization
4.2. Characterization of the Global Optimal Solution
4.3. Results of Spearman Correlation Analysis
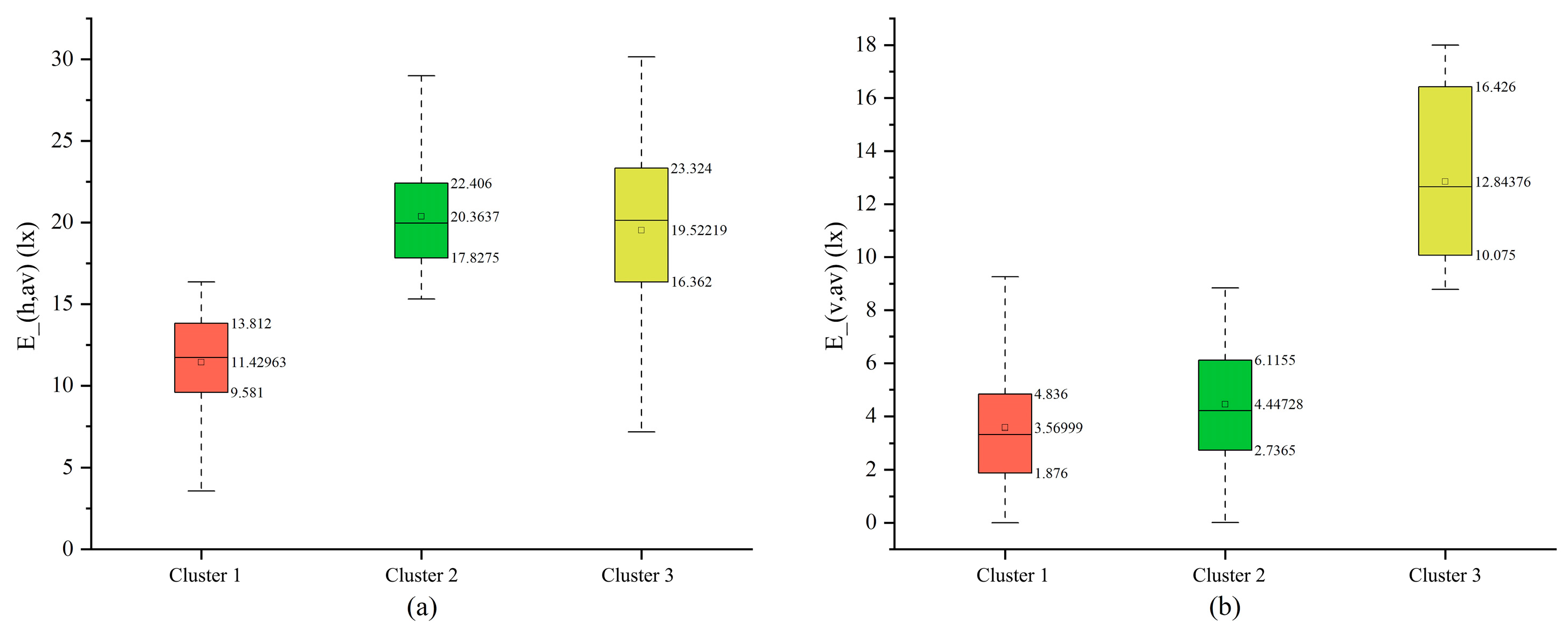
4.4. K-Means Cluster Analysis
4.4.1. Selection of Clustered Data
4.4.2. K-Means Clustering-Driven Screening for Programmatic Decision Making
5. Conclusions
- Combining the sample concentration and performance of SMT in Cluster2, it is concluded that the lighting design of residential areas should prioritize the use of a 2 × 2 SMT.
- Appropriate control of the distance between buildings and streetlights (DBS)—an appropriate increase in this distance—can effectively improve the indoor nighttime comfort, with a recommended DBS between 10~14 m.
- Optimize SH to avoid uneven lighting of the activity place; SH should be controlled within 4.9~5 m.
- A reasonable arrangement of horizontal and vertical distances between streetlights can reduce indoor light trespass; SS and SD should be prioritized to take values in the range of 35~41 m and 16~18 m, respectively.
Author Contributions
Funding
Informed Consent Statement
Data Availability Statement
Acknowledgments
Conflicts of Interest
Abbreviations
| ALAN | Artificial Light at Night |
| CIE | International Commission on Illumination |
| IESNA | Illuminating Engineering Society of North America |
| SS | Streetlight Span |
| SD | Streetlight Depth |
| DBS | Distance between Buildings and Streetlights |
| SMT | Streetlight Matrix Type |
| SH | Streetlight Height |
| MOO | Multi-Objective Optimization |
References
- Kyba, C.C.M.; Kuester, T.; Sánchez De Miguel, A.; Baugh, K.; Jechow, A.; Hölker, F.; Bennie, J.; Elvidge, C.D.; Gaston, K.J.; Guanter, L. Artificially Lit Surface of Earth at Night Increasing in Radiance and Extent. Sci. Adv. 2017, 3, e1701528. [Google Scholar] [CrossRef]
- Casciani, D. The Human and Social Dimension of Urban Lightscapes; Springer Briefs in Applied Sciences and Technology; Springer International Publishing: Cham, Switzerland, 2020; pp. 119–140. ISBN 978-3-030-57164-1. [Google Scholar]
- Boyce, P.R. The Benefits of Light at Night. Build. Environ. 2019, 151, 356–367. [Google Scholar] [CrossRef]
- Czarnecka, K.; Błażejczyk, K.; Morita, T. Characteristics of Light Pollution—A Case Study of Warsaw (Poland) and Fukuoka (Japan). Environ. Pollut. 2021, 291, 118113. [Google Scholar] [CrossRef]
- Cao, M.; Xu, T.; Yin, D. Understanding Light Pollution: Recent Advances on Its Health Threats and Regulations. J. Environ. Sci. 2023, 127, 589–602. [Google Scholar] [CrossRef]
- Kang, S.-G.; Yoon, H.-K.; Cho, C.-H.; Kwon, S.; Kang, J.; Park, Y.-M.; Lee, E.; Kim, L.; Lee, H.-J. Decrease in fMRI Brain Activation during Working Memory Performed after Sleeping under 10 Lux Light. Sci. Rep. 2016, 6, 36731. [Google Scholar] [CrossRef]
- Du, J.; Zhang, X.; King, D. An Investigation into the Risk of Night Light Pollution in a Glazed Office Building: The Effect of Shading Solutions. Build. Environ. 2018, 145, 243–259. [Google Scholar] [CrossRef]
- Lunn, R.M.; Blask, D.E.; Coogan, A.N.; Figueiro, M.G.; Gorman, M.R.; Hall, J.E.; Hansen, J.; Nelson, R.J.; Panda, S.; Smolensky, M.H.; et al. Health Consequences of Electric Lighting Practices in the Modern World: A Report on the National Toxicology Program’s Workshop on Shift Work at Night, Artificial Light at Night, and Circadian Disruption. Sci. Total Environ. 2017, 607–608, 1073–1084. [Google Scholar] [CrossRef] [PubMed]
- Kyba, C.C.M.; Altıntaş, Y.Ö.; Walker, C.E.; Newhouse, M. Citizen Scientists Report Global Rapid Reductions in the Visibility of Stars from 2011 to 2022. Science 2023, 379, 265–268. [Google Scholar] [CrossRef] [PubMed]
- Grubisic, M.; Haim, A.; Bhusal, P.; Dominoni, D.M.; Gabriel, K.M.A.; Jechow, A.; Kupprat, F.; Lerner, A.; Marchant, P.; Riley, W.; et al. Light Pollution, Circadian Photoreception, and Melatonin in Vertebrates. Sustainability 2019, 11, 6400. [Google Scholar] [CrossRef]
- Ngarambe, J.; Lim, H.S.; Kim, G. Light Pollution: Is There an Environmental Kuznets Curve? Sustain. Cities Soc. 2018, 42, 337–343. [Google Scholar] [CrossRef]
- Lewin, I. Light Trespass and Light Pollution—Practical Approaches to Dealing with Problems. In Proceedings of the IESNA Street and Area Lighting conference, Minneapolis, MN, USA, 10–13 September 2000. [Google Scholar]
- CIE 150:2017; Guide on the limitation of the Effects of Obtrusive Light from Outdoor Lighting Installations. International Commission on Illumination: Vienna, Austria, 2017.
- JGJ/T 163-2008; Design specifications for urban night lighting. The Ministry of Housing and Urban Rural Development of the People’s Republic of China: Beijing, China, 2015.
- Law, C.K.; Lai, S.Y.; Lai, J.H.K. Light Pollution Control: Comparative Analysis of Regulations across Civil and Common Law Jurisdictions. Laws 2024, 13, 74. [Google Scholar] [CrossRef]
- Davies, T.W.; Smyth, T. Why Artificial Light at Night Should Be a Focus for Global Change Research in the 21st Century. Glob. Change Biol. 2018, 24, 872–882. [Google Scholar] [CrossRef]
- Shi, K.; Yu, B.; Huang, Y.; Hu, Y.; Yin, B.; Chen, Z.; Chen, L.; Wu, J. Evaluating the Ability of NPP-VIIRS Nighttime Light Data to Estimate the Gross Domestic Product and the Electric Power Consumption of China at Multiple Scales: A Comparison with DMSP-OLS Data. Remote Sens. 2014, 6, 1705–1724. [Google Scholar] [CrossRef]
- Falchi, F.; Cinzano, P.; Duriscoe, D.; Kyba, C.C.M.; Elvidge, C.D.; Baugh, K.; Portnov, B.A.; Rybnikova, N.A.; Furgoni, R. The New World Atlas of Artificial Night Sky Brightness. Sci. Adv. 2016, 2, e1600377. [Google Scholar] [CrossRef]
- Gaston, K.J.; Davies, T.W.; Bennie, J.; Hopkins, J. REVIEW: Reducing the Ecological Consequences of Night-time Light Pollution: Options and Developments. J. Appl. Ecol. 2012, 49, 1256–1266. [Google Scholar] [CrossRef]
- Rozman Cafuta, M. The Sustainability Coefficient of Urban Open Space Illumination Compliance as a Subjective Indicator of Environmental Comfort. Appl. Sci. 2024, 14, 10375. [Google Scholar] [CrossRef]
- Balafoutis, T.; Skandali, C.; Niavis, S.; Doulos, L.T.; Zerefos, S.C. Light Pollution beyond the Visibble: Insights from People’s Perspectives. Urban Science 2025, 9, 251. [Google Scholar] [CrossRef]
- Brons, J.; Bullough, J.; Rea, M. Outdoor Site-Lighting Performance: A Comprehensive and Quantitative Framework for Assessing Light Pollution. Light. Res. Technol. 2008, 40, 201–224. [Google Scholar] [CrossRef]
- Li, X.; Elvidge, C.; Zhou, Y.; Cao, C.; Warner, T. Remote Sensing of Night-Time Light. Int. J. Remote Sens. 2017, 38, 5855–5859. [Google Scholar] [CrossRef]
- Li, J.; Xu, Y.; Cui, W.; Ji, M.; Su, B.; Wu, Y.; Wang, J. Investigation of Nighttime Light Pollution in Nanjing, China by Mapping Illuminance from Field Observations and Luojia 1-01 Imagery. Sustainability 2020, 12, 681. [Google Scholar] [CrossRef]
- Falchi, F.; Cinzano, P.; Elvidge, C.D.; Keith, D.M.; Haim, A. Limiting the Impact of Light Pollution on Human Health, Environment and Stellar Visibility. J. Environ. Manag. 2011, 92, 2714–2722. [Google Scholar] [CrossRef]
- Elsahragty, M.; Kim, J.-L. Assessment and Strategies to Reduce Light Pollution Using Geographic Information Systems. Procedia Eng. 2015, 118, 479–488. [Google Scholar] [CrossRef]
- Hao, Y.; Wang, P.; Zhang, Z.; Xu, Z.; Jia, D. A Review of the Characteristics of Light Pollution: Assessment Technique, Policy, and Legislation. Energies 2024, 17, 2750. [Google Scholar] [CrossRef]
- Zhao, M.; Zhou, Y.; Li, X.; Cao, W.; He, C.; Yu, B.; Li, X.; Elvidge, C.D.; Cheng, W.; Zhou, C. Applications of Satellite Remote Sensing of Nighttime Light Observations: Advances, Challenges, and Perspectives. Remote Sens. 2019, 11, 1971. [Google Scholar] [CrossRef]
- Saini, N.; Saha, S. Multi-Objective Optimization Techniques: A Survey of the State-of-the-Art and Applications. Eur. Phys. J. Spec. Top. 2021, 230, 2319–2335. [Google Scholar] [CrossRef]
- Giagkiozis, I.; Fleming, P.J. Methods for Multi-Objective Optimization: An Analysis. Inf. Sci. 2015, 293, 338–350. [Google Scholar] [CrossRef]
- Gunantara, N. A Review of Multi-Objective Optimization: Methods and Its Applications. Cogent Eng. 2018, 5, 1502242. [Google Scholar] [CrossRef]
- Gómez-Lorente, D.; Rabaza, O.; Espín Estrella, A.; Peña-García, A. A New Methodology for Calculating Roadway Lighting Design Based on a Multi-Objective Evolutionary Algorithm. Expert Syst. Appl. 2013, 40, 2156–2164. [Google Scholar] [CrossRef]
- Peña-García, A.; Sędziwy, A. Optimizing Lighting of Rural Roads and Protected Areas with White Light: A Compromise among Light Pollution, Energy Savings, and Visibility. LEUKOS 2020, 16, 147–156. [Google Scholar] [CrossRef]
- Hammad, A.; Akbarnezhad, A.; Rey, D. A Multi-Objective Mixed Integer Programming Model for Minimising Obtrusive Effects and Installation Costs of Night-Time Lighting on Construction Sites. In Proceedings of the International Symposium on Automation and Robotics in Construction (ISARC), Auburn, AL, USA, 21 July 2016; International Association for Automation and Robotics in Construction (IAARC): Oulu, Finland, 2016. [Google Scholar] [CrossRef]
- Hancer, E. A New Multi-Objective Differential Evolution Approach for Simultaneous Clustering and Feature Selection. Eng. Appl. Artif. Intell. 2020, 87, 103307. [Google Scholar] [CrossRef]
- Tiwari, A.; Jha, B.K.; Pindoriya, N.M. Multi-Objective Optimization Based Demand Response Program with Network Aware Peer-to-Peer Energy Sharing. Int. J. Electr. Power Energy Syst. 2024, 157, 109887. [Google Scholar] [CrossRef]
- Bejarano, L.A.; Espitia, H.E.; Montenegro, C.E. Clustering Analysis for the Pareto Optimal Front in Multi-Objective Optimization. Computation 2022, 10, 37. [Google Scholar] [CrossRef]
- Wikaisuksakul, S. A Multi-Objective Genetic Algorithm with Fuzzy c-Means for Automatic Data Clustering. Appl. Soft Comput. 2014, 24, 679–691. [Google Scholar] [CrossRef]
- Wang, L.; Cui, G.; Zhou, Q.; Li, K. A Multi-Clustering Method Based on Evolutionary Multiobjective Optimization with Grid Decomposition. Swarm Evol. Comput. 2020, 55, 100691. [Google Scholar] [CrossRef]
- Yuan, C.; Yang, H. Research on K-Value Selection Method of K-Means Clustering Algorithm. J. 2019, 2, 226–235. [Google Scholar] [CrossRef]
- Prakash, J.; Singh, P.K. Gravitational Search Algorithm and K-Means for Simultaneous Feature Selection and Data Clustering: A Multi-Objective Approach. Soft Comput. 2019, 23, 2083–2100. [Google Scholar] [CrossRef]
- Anusha, M.; Sathiaseelan, J.G.R. Feature Selection Using K-Means Genetic Algorithm for Multi-Objective Optimization. Procedia Comput. Sci. 2015, 57, 1074–1080. [Google Scholar] [CrossRef]
- Qiu, C.; Wang, C.; Zuo, X. A Novel Multi-Objective Particle Swarm Optimization with K-Means Based Global Best Selection Strategy. Int. J. Comput. Intell. Syst. 2013, 6, 822–835. [Google Scholar] [CrossRef]
- Illuminating Engineering Society of Beijing. Beijing City Landscape Lighting Design Guidelines; Beijing Municipal Commission of Urban Management: Beijing, China, 2022. [Google Scholar]
- Jin, X.; Li, Y.; Zhang, J.; Zheng, J.; Liu, H. An Approach to Evaluating Light Pollution in Residential Zones: A Case Study of Beijing. Sustainability 2017, 9, 652. [Google Scholar] [CrossRef]
- Valiullin, K.R. The System of Indicators of Street Lighting Systems Energy Efficiency. IOP Conf. Ser. Mater. Sci. Eng. 2020, 791, 012048. [Google Scholar] [CrossRef]
- Wänström Lindh, U.; Jägerbrand, A.K. Perceived Lighting Uniformity on Pedestrian Roads: From an Architectural Perspective. Energies 2021, 14, 3647. [Google Scholar] [CrossRef]
- Hsieh, C.-C.; Tsai, C.-L.; Li, T.-C. The Research for Designing the LED Tunnel Light for Highway Tunnels. Heliyon 2024, 10, e26305. [Google Scholar] [CrossRef]
- Chen, S.; Zhang, B.; Zeng, X.; Lin, Y.; Zhao, H. Methods to Reduce Flicker and Light Pollution of Low-Mounting-Height Luminaires in Urban Road Lighting. Sustainability 2023, 15, 8185. [Google Scholar] [CrossRef]
- Zielińska-Dabkowska, K.M.; Xavia, K.; Bobkowska, K. Assessment of Citizens’ Actions against Light Pollution with Guidelines for Future Initiatives. Sustainability 2020, 12, 4997. [Google Scholar] [CrossRef]
- GB 55038-2025; Residential Project Standards. Ministry of Housing and Urban-Rural Development of the People’s Republic of China: Beijing, China, 2025.
- GB/T 35626-2017; Specification for Limitation to Obtrusive Light of Outdoor Lighting. China National Institute of Standardization: Beijing, China, 2017.
- Deb, K.; Pratap, A.; Agarwal, S.; Meyarivan, T. A Fast and Elitist Multiobjective Genetic Algorithm: NSGA-II. IEEE Trans. Evol. Comput. 2002, 6, 182–197. [Google Scholar] [CrossRef]
- Li, L.; Zhuo, Y.; Meng, W.; Chen, Z.; Wei, H. A Fault and Capacity Loss Prediction Method of Wind Power Station under Extreme Weather. Math. Probl. Eng. 2023, 2023, 8763185. [Google Scholar] [CrossRef]
- Atasever, Ü.H.; Abbas, H.H. Drought Monitoring in Burdur Lake Using Sentinel-2 Images. Ömer Halisdemir Üniversitesi Mühendis. Bilim. Derg. 2024, 13, 882–891. [Google Scholar] [CrossRef]
- Guanglei, W.; Ngarambe, J.; Kim, G. A Comparative Study on Current Outdoor Lighting Policies in China and Korea: A Step toward a Sustainable Nighttime Environment. Sustainability 2019, 11, 3989. [Google Scholar] [CrossRef]
- Wachta, H.; Baran, K.; Różowicz, S. Impact of Street Lighting Level on Floodlights. Energies 2023, 16, 5726. [Google Scholar] [CrossRef]
- Castillo, A.A.; Dizon, K.; Pascual, S.; Ramos, R.V. Identifying Illumination Coverage in up Diliman Campus Using Gis. Int. Arch. Photogramm. Remote Sens. Spat. Inf. Sci. 2024, 48, 129–134. [Google Scholar] [CrossRef]
- Lou, S.; Luo, X.; Chen, Z.; Gao, Z.; Wang, R.; Feng, L.; Zhang, G.; Zhang, Y.; Zhao, Y.; Li, B. Multi-Objective Optimization of Daylighting Performance and Solar Radiation for Building Geometry Using a Hybrid Evolutionary Algorithm. Sci. Rep. 2025, 15, 26644. [Google Scholar] [CrossRef] [PubMed]
- Ramesh, S.; Kannan, S.; Baskar, S. Application of Modified NSGA-II Algorithm to Multi-Objective Reactive Power Planning. Appl. Soft Comput. 2012, 12, 741–753. [Google Scholar] [CrossRef]
- Miao, Y.; Chen, Z.; Chen, Y.; Tao, Y. Sustainable Architecture for Future Climates: Optimizing a Library Building through Multi-Objective Design. Buildings 2024, 14, 1877. [Google Scholar] [CrossRef]
- Wang, C.; Qin, H.; Zhao, K.; Dong, P.; Yang, X.; Zhou, G.; Xi, X. Assessing the Impact of the Built-up Environment on Nighttime Lights in China. Remote Sens. 2019, 11, 1712. [Google Scholar] [CrossRef]
- Rabaza, O.; Molero-Mesa, E.; Aznar-Dols, F.; Gómez-Lorente, D. Experimental Study of the Levels of Street Lighting Using Aerial Imagery and Energy Efficiency Calculation. Sustainability 2018, 10, 4365. [Google Scholar] [CrossRef]
- Valencia Pavón, N.G.; Aguila Téllez, A.; García Torres, M.; Rojas Urbano, J.; Krishnan, N. Optimal Selection of Distribution, Power, and Type of Luminaires for Street Lighting Designs Using Multi-Criteria Decision Model. Energies 2024, 17, 2194. [Google Scholar] [CrossRef]
- Kalechyts, V.N. Features of modeling the operating modes of outdoor lighting lines. Energ. Proc. CIS High. Educ. Inst. Power Eng. Assoc. 2022, 65, 499–510. [Google Scholar] [CrossRef]
- Yoomak, S.; Ngaopitakkul, A. Optimisation of Lighting Quality and Energy Efficiency of LED Luminaires in Roadway Lighting Systems on Different Road Surfaces. Sustain. Cities Soc. 2018, 38, 333–347. [Google Scholar] [CrossRef]
- Feng, X.; Murray, A.T. Spatial Analytics for Enhancing Street Light Coverage of Public Spaces. LEUKOS 2018, 14, 13–23. [Google Scholar] [CrossRef]
- Zhang, X.; Du, J.; Sharples, S. Ground Factors and Lighting Design in an Urban Area: Daylight Availability and Light Pollution Risk. In Proceedings of the 15th IBPSA Conference, San Francisco, CA, USA, 7 August 2017. [Google Scholar] [CrossRef]
- Xie, T.; Liu, R.; Wei, Z. Improvement of the Fast Clustering Algorithm Improved by K -Means in the Big Data. Appl. Math. Nonlinear Sci. 2020, 5, 1–10. [Google Scholar] [CrossRef]
- Dong, M.; Zhang, H.; Tang, D.; Guo, X.; Gu, Y.; Qiao, L.; Guerrero, J.M. Modeling and Optimization of the Air-Supported Membrane Coal Shed Structure in Ports. J. Mar. Sci. Eng. 2024, 12, 962. [Google Scholar] [CrossRef]
- Roy, S.; Chowdhury, I.R. Brighter Nights, Safer Cities? Exploring Spatial Link between VIIRS Nightlight and Urban Crime Risk. Remote Sens. Appl. Soc. Environ. 2025, 37, 101489. [Google Scholar] [CrossRef]
- Roy, S.; Chowdhury, I.R. Cityscapes at Night: Exploring Nightlife Activities on Urban Crime Dynamics Through Bibliometric Lenses. Ann. Am. Assoc. Geogr. 2024, 115, 334–362. [Google Scholar] [CrossRef]
- Notice of the State Council on Issuing the Action Plan for Energy Conservation and Carbon Reduction (2024–2025). Available online: https://www.gov.cn/zhengce/content/202405/content_6954322.htm (accessed on 25 September 2025).
- International Standards for Sustainable Urban Development Support the Achievement of the United Nations Sustainable Development Goals (SDGs). Available online: https://www.cnis.ac.cn/bydt/kydt/202109/t20210918_51969.html (accessed on 25 September 2025).













| Design Variable | Abbreviation | Range | Unit | Probability | Basis | Basisline |
|---|---|---|---|---|---|---|
| Streetlight Matrix Type | SMT | 0, 1, 2, 3, 4 | - | Discrete | Field survey, n = 38 | - |
| Distance between Buildings and Streetlights | DBS | 3~15 | m | Continuous | 8 | |
| Streetlight Height | SH | 2~5 | m | Continuous | 2.5 | |
| Streetlight Span | SS | 13~70 | m | Continuous | 10 | |
| Streetlight Depth | SD | 6~25 | m | Continuous | 10 |
| Parameters | Values |
|---|---|
| Crossover Probability | 0.9 |
| Mutation Probability | 1/0.9 |
| Crossover Distribution Index | 20 |
| Mutation Distribution Index | 20 |
| Random Seed | 1 |
| Generation Count | 40 |
| Generation Size | 50 |
| Fitness Objectives | 2 |
| Genes Values | 6 |
| K | SSE | Silhouette | Davies–Bouldin |
|---|---|---|---|
| 2 | 956.024 | 0.395 | 1.041 |
| 3 | 593.027 | 0.406 | 0.851 |
| 4 | 478.320 | 0.365 | 0.927 |
| 5 | 386.303 | 0.365 | 0.871 |
| 6 | 321.908 | 0.343 | 0.859 |
| 7 | 283.797 | 0.343 | 0.863 |
| 8 | 247.050 | 0.346 | 0.874 |
| 9 | 219.304 | 0.332 | 0.892 |
| 10 | 199.204 | 0.335 | 0.886 |
| Program Model | (lx) | (lx) | SMT | DBS (m) | SH (m) | SS (m) | SD (m) |
|---|---|---|---|---|---|---|---|
| Gen.15 Ind.18 | 24.701 | 0.541 | L0 | 14 | 5 | 41 | 16 |
| Gen.31 Ind.42 | 25.644 | 0.939 | 10 | 4.9 | 35 | 18 |
Disclaimer/Publisher’s Note: The statements, opinions and data contained in all publications are solely those of the individual author(s) and contributor(s) and not of MDPI and/or the editor(s). MDPI and/or the editor(s) disclaim responsibility for any injury to people or property resulting from any ideas, methods, instructions or products referred to in the content. |
© 2025 by the authors. Published by MDPI on behalf of the International Society for Photogrammetry and Remote Sensing. Licensee MDPI, Basel, Switzerland. This article is an open access article distributed under the terms and conditions of the Creative Commons Attribution (CC BY) license (https://creativecommons.org/licenses/by/4.0/).
Share and Cite
Wen, F.; Sun, W.; Jiang, L.; Yun, C.; Wang, X. An Integrated Framework for Multi-Objective Optimization of Night Lighting in Urban Residential Areas: Synergistic Control of Outdoor Activity Places Lighting and Indoor Light Trespass. ISPRS Int. J. Geo-Inf. 2025, 14, 397. https://doi.org/10.3390/ijgi14100397
Wen F, Sun W, Jiang L, Yun C, Wang X. An Integrated Framework for Multi-Objective Optimization of Night Lighting in Urban Residential Areas: Synergistic Control of Outdoor Activity Places Lighting and Indoor Light Trespass. ISPRS International Journal of Geo-Information. 2025; 14(10):397. https://doi.org/10.3390/ijgi14100397
Chicago/Turabian StyleWen, Fang, Wenqi Sun, Ling Jiang, Caixia Yun, and Xinzheng Wang. 2025. "An Integrated Framework for Multi-Objective Optimization of Night Lighting in Urban Residential Areas: Synergistic Control of Outdoor Activity Places Lighting and Indoor Light Trespass" ISPRS International Journal of Geo-Information 14, no. 10: 397. https://doi.org/10.3390/ijgi14100397
APA StyleWen, F., Sun, W., Jiang, L., Yun, C., & Wang, X. (2025). An Integrated Framework for Multi-Objective Optimization of Night Lighting in Urban Residential Areas: Synergistic Control of Outdoor Activity Places Lighting and Indoor Light Trespass. ISPRS International Journal of Geo-Information, 14(10), 397. https://doi.org/10.3390/ijgi14100397

