Free Choice Navigation in the Real World: Giving Back Freedom to Wayfinders
Abstract
1. Introduction
- 1.
- We provide empirical evidence that participants can reach the destination successfully with our novel system approach (FCN);
- 2.
- We show that FCN leads to less navigation instructions (relative to the number of traversed junctions). This gives potentially more time for interaction with the environment;
- 3.
- We provide empirical evidence that FCN in its current form does not impact spatial knowledge acquisition in comparison to TBT;
- 4.
- We show that FCN users have high configuration knowledge, although no map is provided.
- 5.
- We present data demonstrating that people are willing to take longer routes while obtaining more freedom and/or spatial knowledge in return and;
- 6.
- We present the first application of the Route Selection Framework [7] in a real-world study.
2. Related Work
2.1. Turn-by-Turn Navigation and Its Disadvantages
2.2. Alternative Navigation Approaches
3. Research Questions and Hypotheses
- RQ1: Does the FCN approach lead fewer people (%) to their destination than TBT?
- RQ2: Does the FCN approach lead to fewer navigation instructions than TBT?
- RQ3: Does the FCN approach lead to better spatial knowledge acquisition than TBT?
- RQ4: Does the FCN approach yield longer routes or a higher number of route instructions for users with lower spatial abilities than for users with good spatial abilities?
- RQ5: Are people willing to take longer routes if they gain freedom of choice or learn more about the environment?
4. Experimental Design
4.1. Data and Software
4.2. Route Selection
- 1.
- Segment-length-related features: (a) average segment length, (b) median segment length, (c) standard deviation of segment lengths, (d) total route length
- 2.
- Cardinality of junctions: (a) average number of options at junctions, (b) number of n-way junctions (e.g., 3-way and 4-way junctions) along the route
- 3.
- Frequency of turn types: number of right, left and non-turns along the route
- 4.
- Regularity of junctions: average angle for n-way-junctions (deviation from a regular n-way junction, for more details see [39])
- 5.
- Point-of-Interest (POI)-related features: (a) average POI number at junctions, (b) standard deviation of POI number at junctions, (c) average POI uniqueness [41] at junctions, (d) standard deviation of POI uniqueness at junctions, (e) POI per meter along segments, (f) standard deviation of POI per meter along segments
4.2.1. Points of Interest
4.2.2. Choosing Final Routes
- 1.
- Choose the route with the lowest Euclidean distance to target route from the remaining route population (Step 1)
- 2.
- Check if the route follows a main road only. If yes, exclude it and go to Step 1)
- 3.
- Check if the route has enough turning points. If not, exclude it and go to Step 1)
- 4.
- Check if the route has enough POIs (Google Street View and in situ checks). If not, exclude it and go to Step 1)
- 5.
- Check if the route starts/ends in a dead-end. If yes, exclude it and go to Step 1)
- 6.
- Check if the route’s start or end point lies in an area accessible only through one street segment, meaning participants will know a part of the route before the actual experiment starts. If yes, exclude it and go to Step 1)
- 7.
- Check if the route crosses parking areas. If yes, exclude it and go to Step 1)
- 8.
- Check if the route leads through allotments gardens. If yes, exclude it and go to Step 1)
- 9.
- Check if the route leads through subways. If yes, exclude it and go to Step 1)
- 10.
- Add the route to the final route list
- 11.
- Generate two buffers (200 m and 800 m) around all routes in the final route list and create the difference polygon between both buffers. The two buffers are employed to avoid crossing routes and to keep the walking distance between two routes reasonable.
- 12.
- Limit the route population to routes within the difference polygon and not intersecting with the smaller buffer
- 13.
- Repeat until three routes are found.
4.3. Conditions
4.3.1. Turn-by-Turn and Application Choice
4.3.2. Free Choice Navigation
4.4. Procedure
4.4.1. Online Part
4.4.2. In Situ Part
5. POIs—Data Cleaning
6. Analysis and Results
6.1. Arrival Rate and Number of Instructions
6.2. Spatial Knowledge Acquisition
6.2.1. Pointing to Start Point and Distance Estimation
6.2.2. Abstract Route Drawing
6.2.3. Route Drawing on Map
6.2.4. Points of Interest on Map
6.3. Workload and User Experience
6.3.1. SUS
6.3.2. UEQ
6.3.3. NASA TLX Raw
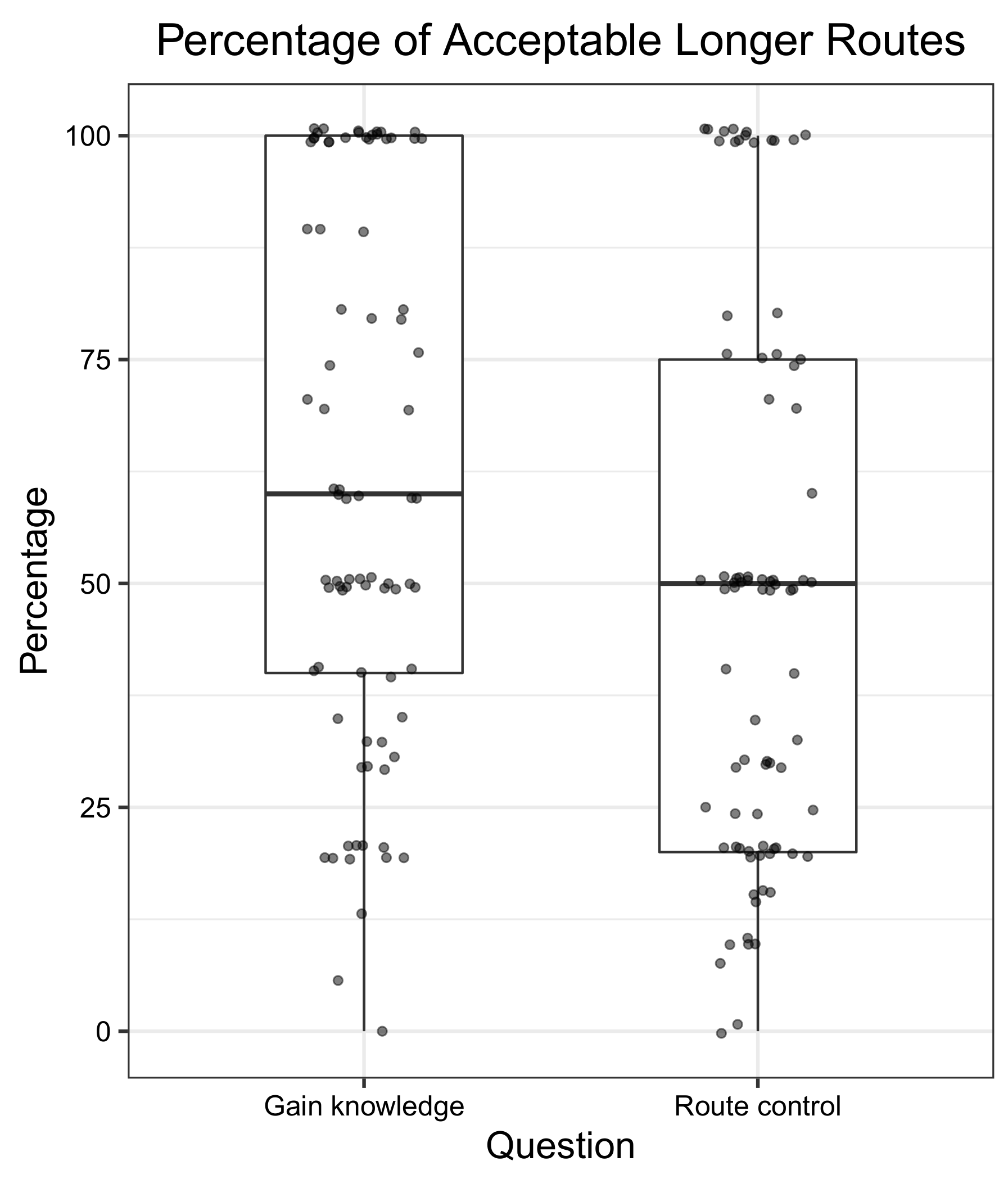
6.4. A Wish for Freedom and Learning
6.5. Environmental Spatial Abilities and Performance in FCN
7. Discussion
8. Limitations
9. Conclusions and Future Work
Author Contributions
Funding
Institutional Review Board Statement
Informed Consent Statement
Data Availability Statement
Conflicts of Interest
Abbreviations
| AR | Augmented Reality |
| FCN | Free Choice Navigation |
| GNSS | Global Navigation Satellite System |
| GPS | Global Positioning System |
| IMU | Inertial Measurement Unit |
| JRD | Judgment of Relative Direction |
| NASA TLX | NASA Task Load Index |
| OSM | Open Street Map |
| POI | Point of Interest |
| PRA | Potential Route Area |
| Q-Q Plot | Quantile-Quantile Plot |
| QGIS | Quantum Geographic Information System |
| RQ | Research Question |
| SBSOD | Santa Barbara Sense of Direction Scale |
| SKA | Spatial Knowledge Acquisition |
| SUS | System Usability Scale |
| TBT | Turn-by-Turn |
| UEQ | User Experience Questionnaire |
References
- Montello, D.R. Navigation. In The Cambridge Handbook of Visuospatial Thinking; Cambridge University Press: New York, NY, USA, 2005; pp. 257–294. [Google Scholar] [CrossRef]
- Schwering, A.; Krukar, J.; Li, R.; Anacta, V.J.; Fuest, S. Wayfinding Through Orientation. Spat. Cogn. Comput. 2017, 17, 273–303. [Google Scholar] [CrossRef]
- Löwen, H.; Krukar, J.; Schwering, A. Spatial Learning with Orientation Maps: The Influence of Different Environmental Features on Spatial Knowledge Acquisition. ISPRS Int. J. Geo. Inf. 2019, 8, 149. [Google Scholar] [CrossRef]
- Liu, B.; Ding, L.; Meng, L. Spatial knowledge acquisition with virtual semantic landmarks in mixed reality-based indoor navigation. Cartogr. Geogr. Inf. Sci. 2021, 48, 305–319. [Google Scholar] [CrossRef]
- Kapaj, A.; Lin, E.; Lanini-Maggi, S. The Effect of Abstract vs. Realistic 3D Visualization on Landmark and Route Knowledge Acquisition. In Proceedings of the 15th International Conference on Spatial Information Theory (COSIT 2022), Kobe, Japan, 5–9 September 2022; Ishikawa, T., Fabrikant, S.I., Winter, S., Eds.; Schloss Dagstuhl—Leibniz-Zentrum für Informatik: Dagstuhl, Germany, 2022; Volume 240, pp. 15:1–15:8. [Google Scholar] [CrossRef]
- Mazurkiewicz, B.; Kattenbeck, M.; Giannopoulos, I. Navigating Your Way! Increasing the Freedom of Choice During Wayfinding. In Proceedings of the 11th International Conference on Geographic Information Science (GIScience 2021)—Part II, Poznań, Poland, 27–30 September 2021; Janowicz, K., Verstegen, J.A., Eds.; Schloss Dagstuhl—Leibniz-Zentrum für Informatik: Dagstuhl, Germany, 2021; Volume 208, pp. 9:1–9:16. [Google Scholar] [CrossRef]
- Mazurkiewicz, B.; Kattenbeck, M.; Kiefer, P.; Giannopoulos, I. Not Arbitrary, Systematic! Average-Based Route Selection for Navigation Experiments. In Proceedings of the 11th International Conference on Geographic Information Science (GIScience 2021)—Part I, Poznań, Poland, 27–30 September 2021; Janowicz, K., Verstegen, J.A., Eds.; Schloss Dagstuhl–Leibniz-Zentrum für Informatik: Dagstuhl, Germany, 2020; Volume 177, pp. 8:1–8:16. [Google Scholar] [CrossRef]
- Huang, H.; Schmidt, M.; Gartner, G. Spatial Knowledge Acquisition with Mobile Maps, Augmented Reality and Voice in the Context of GPS-based Pedestrian Navigation: Results from a Field Test. Cartogr. Geogr. Inf. Sci. 2012, 39, 107–116. [Google Scholar] [CrossRef]
- Yount, Z.F.; Kass, S.J.; Arruda, J.E. Route learning with augmented reality navigation aids. Transp. Res. Part Traffic Psychol. Behav. 2022, 88, 132–140. [Google Scholar] [CrossRef]
- Xu, Y.; Qin, T.; Wu, Y.; Yu, C.; Dong, W. How do voice-assisted digital maps influence human wayfinding in pedestrian navigation? Cartogr. Geogr. Inf. Sci. 2022, 49, 271–287. [Google Scholar] [CrossRef]
- Rümelin, S.; Rukzio, E.; Hardy, R. NaviRadar: A Novel Tactile Information Display for Pedestrian Navigation. In Proceedings of the 24th Annual ACM Symposium on User Interface Software and Technology, Association for Computing Machinery, New York, NY, USA, 16–19 October 2011; pp. 293–302. [Google Scholar] [CrossRef]
- Giannopoulos, I.; Kiefer, P.; Raubal, M. GazeNav: Gaze-Based Pedestrian Navigation. In Proceedings of the 17th International Conference on Human–Computer Interaction with Mobile Devices and Services, Copenhagen, Denmark, 2–6 September 2019; Association for Computing Machinery: New York, NY, USA, 2015; pp. 337–346. [Google Scholar] [CrossRef]
- Hejtmánek, L.; Oravcová, I.; Motýl, J.; Horáček, J.; Fajnerová, I. Spatial knowledge impairment after GPS guided navigation: Eye-tracking study in a virtual town. Int. J. Hum. Comput. Stud. 2018, 116, 15–24. [Google Scholar] [CrossRef]
- Ishikawa, T. Satellite Navigation and Geospatial Awareness: Long-Term Effects of Using Navigation Tools on Wayfinding and Spatial Orientation. Prof. Geogr. 2019, 71, 197–209. [Google Scholar] [CrossRef]
- Ruginski, I.T.; Creem-Regehr, S.H.; Stefanucci, J.K.; Cashdan, E. GPS use negatively affects environmental learning through spatial transformation abilities. J. Environ. Psychol. 2019, 64, 12–20. [Google Scholar] [CrossRef]
- Vandenberg, S.G.; Kuse, A.R. Mental Rotations, a Group Test of Three-Dimensional Spatial Visualization. Percept. Mot. Ski. 1978, 47, 599–604. [Google Scholar] [CrossRef]
- Kozhevnikov, M.; Hegarty, M. A dissociation between object manipulation spatial ability and spatial orientation ability. Mem. Cogn. 2001, 29, 745–756. [Google Scholar] [CrossRef] [PubMed]
- Dahmani, L.; Bohbot, V.D. Habitual use of GPS negatively impacts spatial memory during self-guided navigation. Sci. Rep. 2020, 10, 6310. [Google Scholar] [CrossRef] [PubMed]
- Gardony, A.L.; Brunyé, T.T.; Taylor, H.A. Navigational Aids and Spatial Memory Impairment: The Role of Divided Attention. Spat. Cogn. Comput. 2015, 15, 246–284. [Google Scholar] [CrossRef]
- Brügger, A.; Richter, K.F.; Fabrikant, S.I. How does navigation system behavior influence human behavior? Cogn. Res. Princ. Implic. 2019, 4, 5. [Google Scholar] [CrossRef]
- Ben-Elia, E. An exploratory real-world wayfinding experiment: A comparison of drivers’ spatial learning with a paper map vs. turn-by-turn audiovisual route guidance. Transp. Res. Interdiscip. Perspect. 2021, 9, 100280. [Google Scholar] [CrossRef]
- Sugimoto, M.; Kusumi, T.; Nagata, N.; Ishikawa, T. Online mobile map effect: How smartphone map use impairs spatial memory. Spat. Cogn. Comput. 2022, 22, 161–183. [Google Scholar] [CrossRef]
- Wunderlich, A.; Gramann, K. Eye movement-related brain potentials during assisted navigation in real-world environments. Eur. J. Neurosci. 2021, 54, 8336–8354. [Google Scholar] [CrossRef]
- Gallo, D.; Shreepriya, S.; Willamowski, J. RunAhead: Exploring Head Scanning Based Navigation for Runners. In Proceedings of the 2020 CHI Conference on Human Factors in Computing Systems, Honolulu, HI, USA, 25–30 April 2020; Association for Computing Machinery: New York, NY, USA, 2020; pp. 1–13. [Google Scholar] [CrossRef]
- Liu, J.; Singh, A.K.; Lin, C.T. Using virtual global landmark to improve incidental spatial learning. Sci. Rep. 2022, 12, 6744. [Google Scholar] [CrossRef]
- Duckham, M.; Kulik, L. “Simplest” Paths: Automated Route Selection for Navigation. In Proceedings of the Spatial Information Theory, Foundations of Geographic Information Science, Ittingen, Switzerland, 24–28 September 2003; Kuhn, W., Worboys, M.F., Timpf, S., Eds.; Springer: Berlin/Heidelberg, Germany, 2003; pp. 169–185. [Google Scholar]
- Hochmair, H.; Frank, A.U. Influence of estimation errors on wayfinding-decisions in unknown street networks—Analyzing the least-angle strategy. Spat. Cogn. Comput. 2000, 2, 283–313. [Google Scholar] [CrossRef]
- Robinson, S.; Jones, M.; Eslambolchilar, P.; Murray-Smith, R.; Lindborg, M. “I Did It My Way”: Moving Away from the Tyranny of Turn-by-Turn Pedestrian Navigation. In Proceedings of the 12th International Conference on Human Computer Interaction with Mobile Devices and Services, Singapore, 11–14 September 2007; Association for Computing Machinery: New York, NY, USA, 2010; pp. 341–344. [Google Scholar] [CrossRef]
- Dobbelstein, D.; Henzler, P.; Rukzio, E. Unconstrained Pedestrian Navigation Based on Vibro-Tactile Feedback around the Wristband of a Smartwatch. In Proceedings of the 2016 CHI Conference Extended Abstracts on Human Factors in Computing Systems, San Jose, CA, USA, 7–12 May 2016; Association for Computing Machinery: New York, NY, USA, 2016; pp. 2439–2445. [Google Scholar] [CrossRef]
- Savino, G.L.; Meyer, L.; Schade, E.E.S.; Tenbrink, T.; Schöning, J. Point Me In the Right Direction: Understanding User Behaviour with As-The-Crow-Flies Navigation. In Proceedings of the 22nd International Conference on Human–Computer Interaction with Mobile Devices and Services, Oldenburg, Germany, 5–8 October 2020; Association for Computing Machinery: New York, NY, USA, 2020; pp. 1–11. [Google Scholar] [CrossRef]
- Clemenson, G.D.; Maselli, A.; Fiannaca, A.J.; Miller, A.; Gonzalez-Franco, M. Rethinking GPS navigation: Creating cognitive maps through auditory clues. Sci. Rep. 2021, 11, 7764. [Google Scholar] [CrossRef]
- Albrecht, R.; Väänänen, R.; Lokki, T. Guided by music: Pedestrian and cyclist navigation with route and beacon guidance. Pers. Ubiquitous Comput. 2016, 20, 121–145. [Google Scholar] [CrossRef]
- Huang, H.; Mathis, T.; Weibel, R. Choose your own route—Supporting pedestrian navigation without restricting the user to a predefined route. Cartogr. Geogr. Inf. Sci. 2022, 49, 95–114. [Google Scholar] [CrossRef]
- Krukar, J.; Münzer, S.; Lörch, L.; Anacta, V.J.; Fuest, S.; Schwering, A. Distinguishing Sketch Map Types: A Flexible Feature-Based Classification. In Proceedings of the Spatial Cognition XI, Tübingen, German, 5–8 September 2018; Creem-Regehr, S., Schöning, J., Klippel, A., Eds.; Springer International Publishing: Cham, Switzerland, 2018; pp. 279–292. [Google Scholar]
- Ishikawa, T.; Fujiwara, H.; Imai, O.; Okabe, A. Wayfinding with a GPS-based mobile navigation system: A comparison with maps and direct experience. J. Environ. Psychol. 2008, 28, 74–82. [Google Scholar] [CrossRef]
- Laugwitz, B.; Held, T.; Schrepp, M. Construction and Evaluation of a User Experience Questionnaire. In Proceedings of the HCI and Usability for Education and Work, Graz, Austria, 20–21 November 2008; Holzinger, A., Ed.; Springer: Berlin/Heidelberg, Germany, 2008; pp. 63–76. [Google Scholar]
- Hart, S.G.; Staveland, L.E. Development of NASA-TLX (Task Load Index): Results of Empirical and Theoretical Research. In Human Mental Workload; Hancock, P.A., Meshkati, N., Eds.; North-Holland: Amsterdam, The Netherlands, 1988; Volume 52, pp. 139–183. Available online: https://www.sciencedirect.com/science/article/abs/pii/S0166411508623869 (accessed on 16 January 2023). [CrossRef]
- Brooke, J. SUS—A Quick and Dirty Usability Scale. Usability Eval. Ind. 1996, 189, 4–7. [Google Scholar]
- Fogliaroni, P.; Bucher, D.; Jankovic, N.; Giannopoulos, I. Intersections of Our World. In Proceedings of the 10th International Conference on Geographic Information Science (GIScience 2018), Melbourne, Australia, 28–31 August 2018; Winter, S., Griffin, A., Sester, M., Eds.; Schloss Dagstuhl–Leibniz-Zentrum fuer Informatik: Dagstuhl, Germany, 2018; Volume 114, pp. 3:1–3:15. [Google Scholar] [CrossRef]
- Mazurkiewicz, B.; Kattenbeck, M.; Giannopoulos, I. Rethinking Route Choices! On the Importance of Route Selection in Wayfinding Experiments. In Proceedings of the 15th International Conference on Spatial Information Theory (COSIT 2022), Kobe, Japan, 5–9 September 2022; Ishikawa, T., Fabrikant, S.I., Winter, S., Eds.; Schloss Dagstuhl—Leibniz-Zentrum für Informatik: Dagstuhl, Germany, 2022; Volume 240, pp. 6:1–6:13. [Google Scholar] [CrossRef]
- Rousell, A.; Zipf, A. Towards a Landmark-Based Pedestrian Navigation Service Using OSM Data. ISPRS Int. J. Geo. Inf. 2017, 6, 64. [Google Scholar] [CrossRef]
- Yesiltepe, D.; Conroy Dalton, R.; Ozbil Torun, A. Landmarks in wayfinding: A review of the existing literature. Cogn. Process. 2021, 22, 369–410. [Google Scholar] [CrossRef]
- Münzer, S.; Hölscher, C. Entwicklung und Validierung eines Fragebogens zu räumlichen Strategien. Diagnostica 2011, 57, 111–125. [Google Scholar] [CrossRef]
- Hegarty, M.; Richardson, A.E.; Montello, D.R.; Lovelace, K.; Subbiah, I. Development of a self-report measure of environmental spatial ability. Intelligence 2002, 30, 425–447. [Google Scholar] [CrossRef]
- Rammstedt, B.; John, O.P. Measuring personality in one minute or less: A 10-item short version of the Big Five Inventory in English and German. J. Res. Personal. 2007, 41, 203–212. [Google Scholar] [CrossRef]
- Auger, S.D.; Mullally, S.L.; Maguire, E.A. Retrosplenial Cortex Codes for Permanent Landmarks. PLoS ONE 2012, 7, e0043620. [Google Scholar] [CrossRef]
- Roy, C.; Wiebusch, D.; Botsch, M.; Ernst, M.O. Did it move? Humans use spatio-temporal landmark permanency efficiently for navigation. J. Exp. Psychol. Gen. 2022. [Google Scholar] [CrossRef] [PubMed]
- QGIS Development Team. QGIS Geographic Information System. QGIS Association, 2022. Available online: https://qgis.org/en/site/getinvolved/faq/index.html (accessed on 16 January 2023).
- Ishikawa, T. Individual differences and skill training in cognitive mapping: How and why people differ. Top. Cogn. Sci. 2022, 15. [Google Scholar] [CrossRef] [PubMed]
- Ishikawa, T. Spatial thinking, cognitive mapping, and spatial awareness. Cogn. Process. 2021, 22, 89–96. [Google Scholar] [CrossRef]
- Wickham, H.; François, R.; Henry, L.; Müller, K. dplyr: A Grammar of Data Manipulation. R Package Version 1.0.9. 2022. Available online: https://CRAN.R-project.org/package=dplyr (accessed on 16 January 2023).
- Wickham, H. stringr: Simple, Consistent Wrappers for Common String Operations. R Package Version 1.4.0. 2019. Available online: https://cran.r-project.org/web/packages/stringr/index.html (accessed on 16 January 2023).
- Hothorn, T.; Hornik, K.; van de Wiel, M.A.; Zeileis, A. Implementing a class of permutation tests: The coin package. J. Stat. Softw. 2008, 28, 1–23. [Google Scholar] [CrossRef]
- Wickham, H.; Henry, L. tidyr: Easily Tidy Data with ‘Spread()’ and ‘Gather()’ Functions. R Package Version 1.2.0. 2022. Available online: https://CRAN.R-project.org/package=tidyr (accessed on 16 January 2023).
- Urbanek, S. Cairo: R Graphics Device Using Cairo Graphics Library for Creating High-Quality Bitmap (PNG, JPEG, TIFF), Vector (PDF, SVG, PostScript) and Display (X11 and Win32) Output. R Package Version 1.6.0. 2019. Available online: https://cran.r-project.org/web/packages/Cairo/index.html (accessed on 16 January 2023).
- Wickham, H. ggplot2: Elegant Graphics for Data Analysis; Springer: New York, NY, USA, 2016. [Google Scholar]
- Van der Loo, M. stringdist: Approximate String Matching, Fuzzy Text Search, and String Distance Functions. R Package Version 0.9.8. 2021. Available online: https://cran.r-project.org/web/packages/stringdist/index.html (accessed on 16 January 2023).
- Toohey, K. SimilarityMeasures: Trajectory Similarity Measures R Package Version 1.4. 2015. Available online: https://cran.r-project.org/web/packages/SimilarityMeasures/index.html (accessed on 16 January 2023).
- Mouselimis, L. geojsonR: A GeoJson Processing Toolkit. R Package Version 1.1.0. 2021. Available online: https://cran.r-project.org/web/packages/geojsonR/index.html (accessed on 16 January 2023).
- Carbon, C.C.; Pastukhov, A. BiDimRegression: Calculates the Bidimensional Regression Between Two 2D Configurations. R Package Version 2.1.0. 2022. Available online: https://cran.r-project.org/web/packages/BiDimRegression/index.html (accessed on 16 January 2023).
- Holm, S. A Simple Sequentially Rejective Multiple Test Procedure. Scand. J. Stat. 1979, 6, 65–70. [Google Scholar]
- Pillac, V.; Gueret, C.; Medaglia, A. Route Consistency Vehicle Routing: A Bi-Objective Approach. In Proceedings of the ROADEF 2012. Available online: https://hal.science/hal-00674440/ (accessed on 16 January 2023).
- Su, H.; Liu, S.; Zheng, B.; Zhou, X.; Zheng, K. A survey of trajectory distance measures and performance evaluation. VLDB J. 2020, 29, 3–32. [Google Scholar] [CrossRef]
- Toohey, K.; Duckham, M. Trajectory Similarity Measures. SIGSPATIAL Spec. 2015, 7, 43–50. [Google Scholar] [CrossRef]
- Tao, Y.; Both, A.; Silveira, R.I.; Buchin, K.; Sijben, S.; Purves, R.S.; Laube, P.; Peng, D.; Toohey, K.; Duckham, M. A comparative analysis of trajectory similarity measures. GISci. Remote Sens. 2021, 58, 643–669. [Google Scholar] [CrossRef]
- Tobler, W.R. Bidimensional Regression. Geogr. Anal. 1994, 26, 187–212. [Google Scholar] [CrossRef]
- Carbon, C.C. BiDimRegression: Bidimensional Regression Modeling Using R. J. Stat. Softw. Code Snippets 2013, 52, 1–11. [Google Scholar] [CrossRef]
- Friedman, A.; Kohler, B. Bidimensional Regression: Assessing the Configural Similarity and Accuracy of Cognitive Maps and Other Two-Dimensional Data Sets. Psychol. Methods 2003, 8, 468–491. [Google Scholar] [CrossRef] [PubMed]
- Nakaya, T. Statistical Inferences in Bidimensional Regression Models. Geogr. Anal. 1997, 29, 169–186. [Google Scholar] [CrossRef]
- Quintero, M.; LeBoulluec, A. Missing data imputation for ordinal data. Int. J. Comput. Appl. 2018, 181, 10–16. [Google Scholar] [CrossRef]
- Sauro, J.; Lewis, J.R. Quantifying the User Experience: Practical Statistics for User Research, 1st ed.; Elsevier/Morgan Kaufmann: Waltham, MA, USA, 2012. [Google Scholar]
- Schrepp, M.; Hinderks, A.; Thomaschewski, J. User Experience Questionnaire; Springer: Berlin/Heidelberg, Germany, 2022. [Google Scholar]
- Brügger, A.; Richter, K.F.; Fabrikant, S.I. Which egocentric direction suffers from visual attention during aided wayfinding? In Proceedings of the Eye Tracking for Spatial Research, Proceedings of the 3rd International Workshop, Switzerland, Zurich, 29–31 August 2012; Kiefer, P., Giannopoulos, I., Göbel, F., Raubal, M., Duchowski, A.T., Eds.; ETH Zurich: Zurich, Switzerland, 2018. [Google Scholar] [CrossRef]
- Parush, A.; Ahuvia, S.; Erev, I. Degradation in Spatial Knowledge Acquisition When Using Automatic Navigation Systems. In Proceedings of the Spatial Information Theory, Scarborough, UK, 2–6 September 2013; Winter, S., Duckham, M., Kulik, L., Kuipers, B., Eds.; Springer: Berlin/Heidelberg, Germany, 2007; pp. 238–254. [Google Scholar]
- May, A.J.; Ross, T.; Bayer, S.H.; Tarkiainen, M.J. Pedestrian navigation aids: Information requirements and design implications. Pers. Ubiquitous Comput. 2003, 7, 331–338. [Google Scholar] [CrossRef]
- Giannopoulos, I.; Kiefer, P.; Raubal, M.; Richter, K.F.; Thrash, T. Wayfinding decision situations: A conceptual model and evaluation. In Proceedings of the International Conference on Geographic Information Science, Montreal, QC, Canada, 27–30 September 2016; Springer: Cham, Switzerland; Heidelberg, Germany; New York, NY, USA; Dordrecht, The Netherlands; London, UK, 2014; pp. 221–234. [Google Scholar]
- Guan, F.; Fang, Z.; Wang, L.; Zhang, X.; Zhong, H.; Huang, H. Modelling people’s perceived scene complexity of real-world environments using street-view panoramas and open geodata. ISPRS J. Photogramm. Remote Sens. 2022, 186, 315–331. [Google Scholar] [CrossRef]
- Trapsilawati, F.; Wijayanto, T.; Jourdy, E.S. Human–computer trust in navigation systems: Google maps vs. Waze. Commun. Sci. Technol. 2019, 4, 38–43. [Google Scholar] [CrossRef]
- Fang, Z.; Li, Q.; Shaw, S.L. What about people in pedestrian navigation? Geo-Spat. Inf. Sci. 2015, 18, 135–150. [Google Scholar] [CrossRef]
- Singh, A.K.; Liu, J.; Tirado Cortes, C.A.; Lin, C.T. Virtual Global Landmark: An Augmented Reality Technique to Improve Spatial Navigation Learning; Association for Computing Machinery: New York, NY, USA, 2021. [Google Scholar] [CrossRef]
- Fogliaroni, P.; Mazurkiewicz, B.; Kattenbeck, M.; Giannopoulos, I. Geographic-Aware Augmented Reality for VGI. Adv. Cartogr. Gisci. ICA 2019, 2, 3. [Google Scholar] [CrossRef]
- Gramann, K.; Hoepner, P.; Karrer–Gauss, K. Modified Navigation Instructions for Spatial Navigation Assistance Systems Lead to Incidental Spatial Learning. Front. Psychol. 2017, 8. [Google Scholar] [CrossRef]
- Klippel, A.; Tappe, H.; Habel, C. Pictorial Representations of Routes: Chunking Route Segments during Comprehension. In Proceedings of the Spatial Cognition III; Freksa, C., Brauer, W., Habel, C., Wender, K.F., Eds.; Springer: Berlin/Heidelberg, Germany, 2003; pp. 11–33. [Google Scholar] [CrossRef]
- Lan, J.; Lu, W.; Sun, P. Effect of the Street Environment on Walking Behavior: A Case Study Using the Route Choice Model in the Chunliu Community of Dalian. Front. Public Health 2022, 10, 874788. [Google Scholar] [CrossRef]




| HG | DV | Alter. Hypoth. | Rationale |
|---|---|---|---|
| Eff2 | Arrival Rate | FCN < TBT | Because of its first implementation and its novelty, we expect a lower arrival rate for the FCN group (in line with our simulation [6]) |
| Eff2 | # instructions | FCN < TBT | As FCN is meant to give the user more freedom, i.e., less instructions are expected. |
| SKA | Judgment of relative direction | FCN < TBT | As in the FCN condition, there is no need to divide the user’s attention between a device and the environment, we expect a smaller error. |
| SKA | Distance Estimation (error) | FCN < TBT | See Judgment of relative direction. |
| SKA | Abstract Route Drawing | FCN < TBT | The map is visible in the TBT condition map and should help with memorizing turns. |
| SKA | Route Drawing (Map) | FCN < TBT | We expect TBT users to draw more accurate routes, because they see the route on a map in this condition. |
| SKA | # Points of Interest | FCN ≠ TBT | On the one hand, FCN users need to actively look around, and on the other, TBT users have a map with POIs, therefore, we expected no difference. |
| SKA | Points of Interest Configuration Similarity | FCN < TBT | As TBT users see POIs on the map, we expect these to have a higher configuration similarity (bidimensional regression). |
| SA-FCN | Route length and # instructions | HIGH < LOW | As FCN users have to use their environmental spatial abilities, we expect participants with low self-report sense of direction to perform worse. |
| UEQ | Attractiveness | FCN > TBT | Due to the novelty of the navigation approach, we expect FCN to be more likeable. |
| UEQ | Depandability | FCN < TBT | As FCN participants have to partially depend on their environmental spatial abilities, they are more likely to feel uncertain. |
| UEQ | Stimulation | FCN > TBT | See Attractiveness. |
| UEQ | Novelty | FCN > TBT | See Attractiveness. |
| NASA | Mental Demand | FCN > TBT | We expect higher mental demand for FCN users, as they need to rely on their environmental spatial abilities. |
| NASA | Physical Demand | FCN > TBT | As FCN participants are expected to walk longer routes, we expect higher physical demand for FCN users. |
| NASA | Temporal Demand | FCN ≠ TBT | As participants in both conditions are instructed to conduct the task at normal pace, we expect no difference. |
| NASA | Performance | FCN > TBT | See Mental Demand (higher performance score means failure). |
| NASA | Effort | FCN > TBT | See Mental Demand. |
| NASA | Frustration | FCN > TBT | Due to the novelty of the wayfinding approach, we expect FCN participants to show an increased level of frustration. |
| NASA | Overall | FCN > TBT | See Mental Demand. |
| SUS | Overall | FCN < TBT | We expect the usability of the FCN system to be lower, because of its first implementation and its novelty. |
| Dimension | p-Value | Z-Value | Alter. Hypoth. |
|---|---|---|---|
| Attractiveness | 0.014 | 2.21 | FCN > TBT |
| Dependability | 0.301 | −0.52 | FCN < TBT |
| Stimulation | 0.001 | 3.07 | FCN > TBT |
| Novelty | <0.001 | 4.66 | FCN > TBT |
| Dimension | p-Value | Z-Value | Alter. Hypoth. |
|---|---|---|---|
| Mental Demand | 0.006 | 2.52 | FCN > TBT |
| Physical demand | 0.853 | −1.05 | FCN > TBT |
| Temporal demand | 0.427 | 0.79 | FCN ≠ TBT |
| Effort | 0.492 | 0.02 | FCN > TBT |
| Performance | 0.168 | 0.96 | FCN > TBT |
| Frustration | 0.074 | 1.44 | FCN > TBT |
| Sum | 0.075 | 1.44 | FCN > TBT |
Disclaimer/Publisher’s Note: The statements, opinions and data contained in all publications are solely those of the individual author(s) and contributor(s) and not of MDPI and/or the editor(s). MDPI and/or the editor(s) disclaim responsibility for any injury to people or property resulting from any ideas, methods, instructions or products referred to in the content. |
© 2023 by the authors. Licensee MDPI, Basel, Switzerland. This article is an open access article distributed under the terms and conditions of the Creative Commons Attribution (CC BY) license (https://creativecommons.org/licenses/by/4.0/).
Share and Cite
Mazurkiewicz, B.; Kattenbeck, M.; Giannopoulos, I. Free Choice Navigation in the Real World: Giving Back Freedom to Wayfinders. ISPRS Int. J. Geo-Inf. 2023, 12, 27. https://doi.org/10.3390/ijgi12020027
Mazurkiewicz B, Kattenbeck M, Giannopoulos I. Free Choice Navigation in the Real World: Giving Back Freedom to Wayfinders. ISPRS International Journal of Geo-Information. 2023; 12(2):27. https://doi.org/10.3390/ijgi12020027
Chicago/Turabian StyleMazurkiewicz, Bartosz, Markus Kattenbeck, and Ioannis Giannopoulos. 2023. "Free Choice Navigation in the Real World: Giving Back Freedom to Wayfinders" ISPRS International Journal of Geo-Information 12, no. 2: 27. https://doi.org/10.3390/ijgi12020027
APA StyleMazurkiewicz, B., Kattenbeck, M., & Giannopoulos, I. (2023). Free Choice Navigation in the Real World: Giving Back Freedom to Wayfinders. ISPRS International Journal of Geo-Information, 12(2), 27. https://doi.org/10.3390/ijgi12020027

