Evaluation of Spatial Thinking Ability Based on Exposure to Geographical Information Systems (GIS) Concepts in the Context of Higher Education
Abstract
:1. Introduction
1.1. Definition of Spatial Thinking
1.2. Spatial Thinking in Geographical Information System (GIS)
1.3. Measurement of Spatial Thinking Abilities
1.4. Educational Approaches
1.5. Factors That Influence the Spatial Thinking
1.6. Objective of the Work
2. Materials and Methods
2.1. Curricular Units and Credits in Portugal Higher Education
2.2. Curricular Units and Course Background
- Introduction to GIS;
- Vector data acquisition and manipulation;
- Open source applications within the scope of GIS;
- Vector data analysis operations;
- Storage and handling of alphanumeric data;
- Acquisition, manipulation, and analysis of data in raster form;
- Digital terrain models and terrain analysis;
- Some GIS applications;
- Development of plugins;
- WebGIS and GIS mobile;
- GIS principles and applications.
- Introduction to GIS;
- Vector data acquisition and manipulation;
- Vector data analysis operations;
- Storage and handling of alphanumeric data;
- Open source applications within the scope of GIS;
- Acquisition, manipulation, and analysis of data in raster form;
- Digital terrain models and terrain analysis;
- Notions of geostatistics;
- WebGIS, GIS mobile and geomarketing applications;
- Applications of GIS to natural sciences.
2.3. Participants
2.4. Instrument (STAT) for the Evaluation of Spatial Thinking Ability
2.5. Application of the STAT Instrument
2.5.1. Portuguese Translation and Validation of the STAT
2.5.2. Pilot Study
2.6. Data Scoring and Statistical Analysis
3. Results
4. Discussion
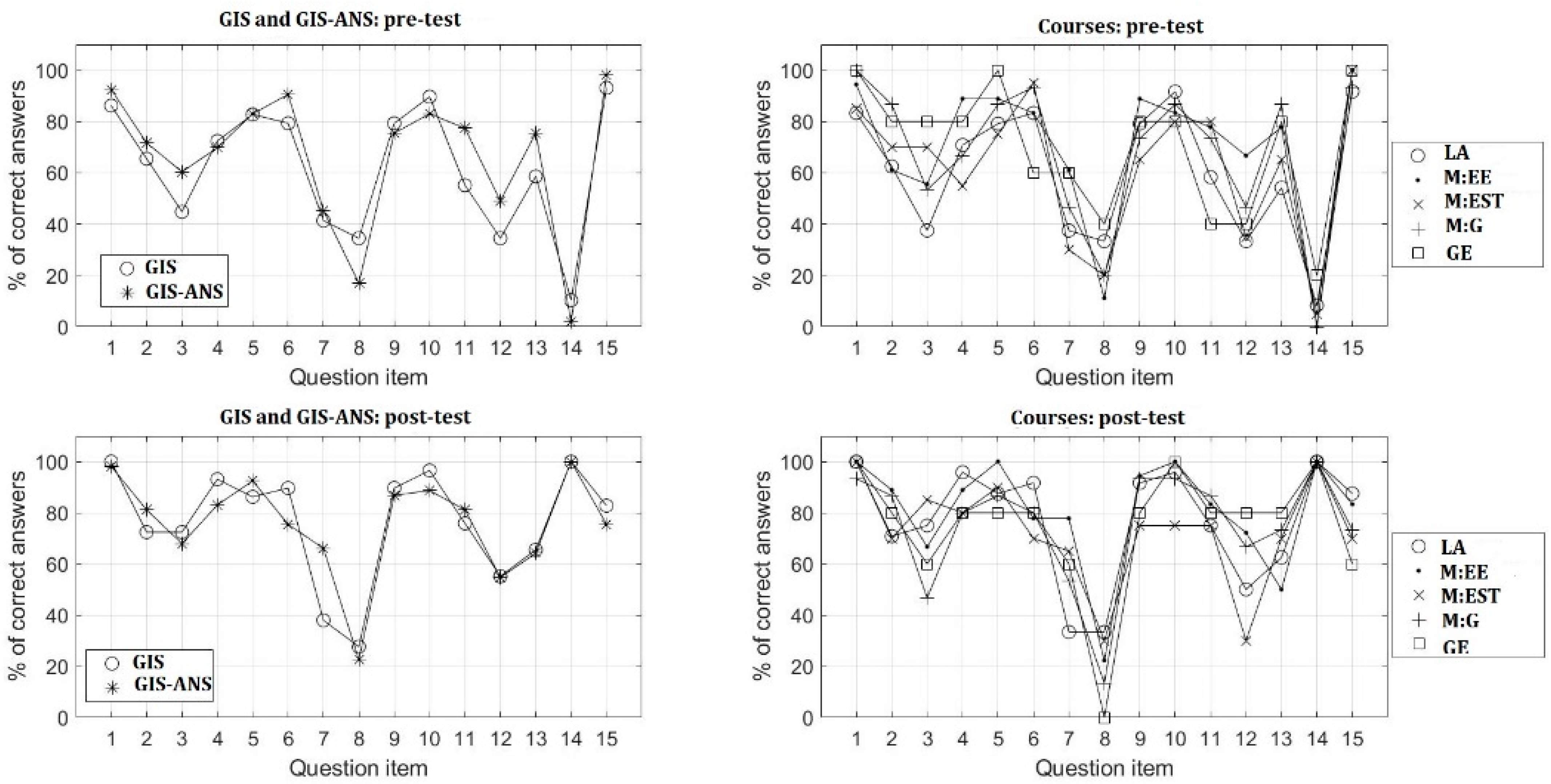
- Question #8, which is about mentally visualizing a 3D image based on 2D information, was that with the worst results (by course and by CU), in pre- and post-test. Hence, we can conclude that the 3D visualization can be a barrier to students, and the results did not improve even when using GIS software;
- On the other hand, question #14, which is related to the comprehension of spatial shapes and patterns (points, lines, and polygons) based on verbal information, provided worse results in the pre-test, but the results of the post-test showed improvement. This improvement can be justified by the exposure to GIS software during the semester;
- The discrepancy between the answers can also be verified in questions #3 and #12, especially in the results provided by the different courses. Question #3 is related to the recognition of map patterns and graphical representation, and question #12 is related to the verification of the map overlay process considering Boolean logic. In these two questions, there were good and bad results when considering the correct answers. Regarding the differences between the CUs (Figure 1, upper left and right), it was verified that there were no significant differences. Considering the differences between the courses (Figure 1, lower, left, and right) in terms of questions #3 and #11 in the pre-test, the results were different between the courses, where the students of the “Landscape Architecture” obtained the worst results for question #3. In the post-test, some discrepancy in question #3 can be verified in addition to question #12.
Limitations
5. Conclusions
Author Contributions
Funding
Institutional Review Board Statement
Informed Consent Statement
Data Availability Statement
Conflicts of Interest
References
- Scholz, M.A.; Huynh, N.T.; Brysch, C.P.; Scholz, R.W. An Evaluation of University World Geography Textbook Questions for Components of Spatial Thinking. J. Geogr. 2014, 113, 208–219. [Google Scholar] [CrossRef]
- Gilmartin, P.P.; Patton, J.C. Comparing the sexes on spatial abilities: Map-use skills. Ann. Assoc. Am. Geogr. 1984, 74, 605–619. [Google Scholar] [CrossRef]
- Self, C.M.; Golledge, R.G. Sex-related differences in spatial ability: What every geography educator should know. J. Geogr. 1994, 93, 234–243. [Google Scholar] [CrossRef]
- Gersmehl, P.J. Teaching Geography; Guilford Press: New York, NY, USA, 2005. [Google Scholar]
- Gersmehl, P.J.; Gersmehl, C.A. Wanted: A concise list of neurologically defensible and assessable spatial thinking skills. Res. Geogr. Educ. 2006, 8, 5–38. [Google Scholar]
- National Research Council. Learning to Think Spatially; The National Academies Press: Washington, DC, USA, 2006. [CrossRef]
- Jo, I.; Hong, J.E. Effect of Learning GIS on Spatial Concept Understanding. J. Geogr. 2020, 119, 87–97. [Google Scholar] [CrossRef]
- Gold, A.U.; Pendergast, P.M.; Ormand, C.J.; Budd, D.A.; Stempien, J.A.; Mueller, K.J.; Kravitz, K.A. Spatial skills in undergraduate students—Influence of gender, motivation, academic training, and childhood play. Geosphere 2018, 14, 668–683. [Google Scholar] [CrossRef] [Green Version]
- Carbonell-Carrera, C.; Saorin, J.L.; Hess-Medler, S. A Geospatial Thinking Multiyear Study. Sustainability 2020, 12, 4586. [Google Scholar] [CrossRef]
- Kainz, W. Cartography and the others—Aspects of a complicated relationship. Geo-Spat. Inf. Sci. 2020, 23, 52–60. [Google Scholar] [CrossRef]
- Ridha, S.; Kamil, P.A. The Problems of Teaching Geospatial Technology in Developing Countries: Concepts, Curriculum, and Implementation in Indonesia. J. Geogr. 2021, 120, 72–82. [Google Scholar] [CrossRef]
- Hwang, S. Placing GIS in sustainability education. J. Geogr. High. Educ. 2013, 37, 276–291. [Google Scholar] [CrossRef]
- Walshe, N. Developing trainee teacher practice with geographic information systems (GIS). J. Geogr. High. Educ. 2017, 41, 608–628. [Google Scholar] [CrossRef] [Green Version]
- Jant, E.A.; Uttal, D.H.; Kolvoord, B.; James, K.; Msall, C. Defining and Measuring the Influences of GIS-Based Instruction on Students’ STEM-Relevant Reasoning. J. Geogr. 2019, 119, 22–31. [Google Scholar] [CrossRef]
- Milson, A.J.; Demirci, A.; Kerski, J.J. International Perspectives on Teaching and Learning with GIS in Secondary Schools; Springer Science+Business Media B.V.: Berlin/Heidelberg, Germany, 2012. [Google Scholar] [CrossRef] [Green Version]
- Bednarz, R.S.; Bednarz, S.W. Chapter 16 The Importance of Spatial Thinking in an Uncertain World. In Geospatial Technologies and Homeland Security; The GeoJournal Library, Springer: Dordrecht, The Netherlands, 2008; Volume 94. [Google Scholar] [CrossRef]
- Baker, T.R.; Battersby, S.; Bednarz, S.W.; Bodzin, A.M.; Kolvoord, B.; Moore, S.; Sinton, D.; Uttal, D. A Research Agenda for Geospatial Technologies and Learning. J. Geogr. 2015, 114, 118–130. [Google Scholar] [CrossRef] [Green Version]
- Jo, I.; Hong, J.E.; Verma, K. Facilitating spatial thinking in world geography using Web-based GIS. J. Geogr. High. Educ. 2016, 40, 442–459. [Google Scholar] [CrossRef]
- Carbonell, C.; Martín-Dorta, N.; Saorín Pérez, J.L.; De La Torre Cantero, J. Specific Professional Skills Development for Engineering Studies: Spatial Orientation. Int. J. Eng. Educ. 2015, 31, 316–322. [Google Scholar]
- Golledge, R.G.; Stimson, R.J. Spatial Behavior: A Geographic Perspective; Guilford Press: New York, NY, USA, 1997. [Google Scholar]
- Lee, J.; Bednarz, R. Effect of GIS Learning on Spatial Thinking. J. Geogr. High. Educ. 2009, 33, 183–198. [Google Scholar] [CrossRef]
- Bednarz, R.; Lee, J. What improves spatial thinking? Evidence from the Spatial Thinking Abilities Test. Int. Res. Geogr. Environ. Educ. 2019, 28, 262–280. [Google Scholar] [CrossRef]
- Liu, R.; Greene, R.; Li, X.; Wang, T.; Lu, M.; Xu, Y. Comparing Geoinformation and Geography Students’ Spatial Thinking Skills with a Human Geography Pedagogical Approach in a Chinese Context. Sustainability 2019, 11, 5573. [Google Scholar] [CrossRef] [Green Version]
- Kim, M.; Bednarz, R. Development of critical spatial thinking through GIS learning. J. Geogr. High. Educ. 2013, 37, 350–366. [Google Scholar] [CrossRef]
- Lee, J.; Bednarz, R. Components of Spatial Thinking: Evidence from a Spatial Thinking Ability Test. J. Geogr. 2012, 111, 15–26. [Google Scholar] [CrossRef]
- Bednarz, R.; Lee, J. The components of spatial thinking: Empirical evidence. In International Conference: Spatial Thinking and Geographic Information Sciences 2011. Procedia Soc. Behav. Sci. 2011, 21, 103–107. [Google Scholar] [CrossRef]
- Hollenbeck, E. The Role of GIS-Based Spatial Learning for Promoting Spatial Abilities and Spatial Thinking in Context. Ph.D. Dissertation, Northwestern University ProQuest Dissertations Publishing, Evanston, IL, USA, 2018. [Google Scholar]
- Romadlon, R.W.; Yusuf, Y. Effect of learning project model-based learning on GIS spatial thinking skills students. IOP Conf. Ser. Earth Environ. Sci. 2021, 683, 012045. [Google Scholar] [CrossRef]
- Duffy, G.; Sorby, S.; Bowe, B. An investigation of the role of spatial ability in representing and solving word problems among engineering students. J. Eng. Educ. 2020, 109, 424–442. [Google Scholar] [CrossRef]
- Hodza, P.; Berendsen, M.E.; Hamerlinck, J.D. Towards a holistic framework for delivering quality GIS education within and across disciplines. Trans. GIS 2021, 25, 2146–2167. [Google Scholar] [CrossRef]
- Favier, T.T.; van der Schee, J.A. The effects of geography lessons with geospatial technologies on the development of high school students’ relational thinking. Comput. Educ. 2014, 76, 225–236. [Google Scholar] [CrossRef]
- Bearman, N.; Jones, N.; André, I.; Cachinho, A.; DeMers, M. The future role of GIS education in creating critical spatial thinkers. J. Geogr. High. Educ. 2016, 40, 394–408. [Google Scholar] [CrossRef]
- Xie, S.; Zheng, X.; Sun, Y.; Wan, J.; Lu, X. The Factors and Mechanisms That Influence Geospatial Thinking: A Structural Equation Modeling Approach. J. Geogr. 2021, 120, 165–175. [Google Scholar] [CrossRef]
- Shin, E.E.; Milson, A.J.; Smith, T.J. Future Teachers’ Spatial Thinking Skills and Attitudes. J. Geogr. 2016, 115, 139–146. [Google Scholar] [CrossRef]
- Tomaszewski, B.; Vodacek, A.; Parody, R.; Holt, N. Spatial Thinking Ability Assessment in Rwandan Secondary Schools: Baseline Results. J. Geogr. 2015, 114, 39–48. [Google Scholar] [CrossRef]
- Collins, L. The Impact of Paper Versus Digital Map Technology on Students’ Spatial Thinking Skill Acquisition. J. Geogr. 2018, 117, 137–152. [Google Scholar] [CrossRef]
- Verma, K. Influence of Academic Variables on Geospatial Skills of Undergraduate Students: An Exploratory Study. Geogr. Bull. 2014, 56, 41–55. [Google Scholar]
- Perugini, S.; Bodzin, A.M. Using Web-Based GIS to Assess Students’ Geospatial Knowledge of Hurricanes and Spatial Habits of Mind. J. Geogr. 2020, 119, 63–73. [Google Scholar] [CrossRef]
- QGIS. QGIS Project. Available online: https://qgis.org/en/site/ (accessed on 10 March 2020).
- ArcGIS. Available online: https://www.arcgis.com/index.html (accessed on 10 March 2020).
- AutoCAD Map. Available online: https://www.autodesk.pt/products/autocad-map-3d/overview (accessed on 10 March 2020).
- Copernicus. Available online: https://www.copernicus.eu/en (accessed on 10 March 2020).
- Earth Explorer. Available online: https://earthexplorer.usgs.gov/ (accessed on 10 March 2020).
- DGT. Direção-Geral do Território. Available online: http://www.dgterritorio.pt/ (accessed on 10 March 2020).
- Mayalagu, G.; Jaafar, M.; Choy, L.K.; Mahmud, M.I. Reliability of Geographic Information System Spatial Thinking Skills (GIS STS) Module. Int. J. Recent Technol. Eng. 2019, 7, 512–518. [Google Scholar]
- Yuan, L.; Kong, F.; Luo, Y.; Zeng, S.; Lan, J.; You, X. Gender Differences in Large-Scale and Small-Scale Spatial Ability: A Systematic Review Based on Behavioral and Neuroimaging Research. Syst. Rev. 2019, 13, 128. [Google Scholar] [CrossRef] [Green Version]
- DeMers, M.N.; Kerski, J.J.; Sroka, C.J. The Teachers Teaching Teachers GIS Institute: Assessing the Effectiveness of a GIS Professional Development Institute. Ann. Am. Assoc. Geogr. 2021, 111, 1160–1182. [Google Scholar] [CrossRef]
- Havelková, L.; Hanus, M. Upper-Secondary Students’ Strategies for Spatial Tasks. J. Geogr. 2021, 120, 176–190. [Google Scholar] [CrossRef]







| CU/Course | Students: n (%) | Gender: M/F |
|---|---|---|
| GIS/GE 1 | 5 (6.0) | 2/3 |
| GIS/LA 2 | 25 (30.1) | 9/16 |
| GIS-ANS/M:EE 3 | 18 (21.7) | 8/10 |
| GIS-ANS/M:EST 4 | 20 (24.1) | 6/14 |
| GIS-ANS/M:G 5 | 15 (18.1) | 7/8 |
| Item nr: Domain (#Question nr) | Item Description | Components to Measure (Spatial Thinking) |
|---|---|---|
| i (#1, #2) | Visual navigation in road maps using verbal information (current location, directions to destination, street information). | Evaluate the orientation and direction (using tools for spatial representation for navigation to places). |
| ii (#3) | Recognition of map patterns and graphical representation. | Assess the discerning, reasoning and graphing of spatial patterns. |
| iii (#4) | Selection of an ideal location for a facility based on spatial factors such as elevation, proximity, and land use. | Mentally visualize, overlay and manipulate spatial objects, inferring a spatial influence. |
| iv (#5) | Creation of graph profiles based on topography and along a proposed line on a contour map. | Recognize spatial forms, orientating and graphing of different dimensions (2D and 3D) based on topography maps. |
| v (#6, #7) | Identification of spatial correlations between maps and plotting that correlation. | Understand spatial association, correlation and comparison of maps and represent graphically and spatially the phenomena. |
| vi (#8) | Mentally visualization of 3D image based on 2D information. | Understand the spatial reasoning in real-world situations and visualize mentally the real-world 3D topography based on 2D information. |
| vii (#9, #10, #11, #12) | Verification of map overlay process (Boolean logic). | Spatial reasoning to maps overlay and Boolean logic. |
| viii (#13, #14, #15) | Comprehension of spatial shapes and patterns (points, lines and polygons) based on verbal information. | Comprehending and integration of geographic features such as points, lines and polygons. |
| CU/Course | ||
|---|---|---|
| CU Components | GIS (GE 1 and LA 2) | GIS-ANS (M:EE 3, M:EST 4 and M:G 5) |
| Introduction to GIS concept and software | i | i |
| Image georeferencing | i | i |
| AutoCAD digitize and creation of topology | ii | NA |
| Digitize points, lines and polygons under GIS software | ii | ii |
| Table joins, calculation of fields, summarize and thematic maps | v | v |
| Summarize, selection by attributes and spatial join | vii | vii |
| Vectorial spatial analysis (clip, merge, dissolve, intersect) and buffer | viii | viii |
| Raster data manipulation: symbology, conversion between formats, raster calculator, statistics, slope, aspect, hillshade analysis, and raster queries | iv, vi, vii | iv, vi, vii |
| DEM creation | iii, vi, iv | iii, vi, iv |
| Geostatistical analysis | - | NA |
| WebGIS, GIS Mobile.applications and Geomarketing. | - | NA |
| Example of GIS applications to natural sciences | - | i, ii, iv, vi, vii, viii |
Publisher’s Note: MDPI stays neutral with regard to jurisdictional claims in published maps and institutional affiliations. |
© 2022 by the authors. Licensee MDPI, Basel, Switzerland. This article is an open access article distributed under the terms and conditions of the Creative Commons Attribution (CC BY) license (https://creativecommons.org/licenses/by/4.0/).
Share and Cite
Duarte, L.; Teodoro, A.C.; Gonçalves, H. Evaluation of Spatial Thinking Ability Based on Exposure to Geographical Information Systems (GIS) Concepts in the Context of Higher Education. ISPRS Int. J. Geo-Inf. 2022, 11, 417. https://doi.org/10.3390/ijgi11080417
Duarte L, Teodoro AC, Gonçalves H. Evaluation of Spatial Thinking Ability Based on Exposure to Geographical Information Systems (GIS) Concepts in the Context of Higher Education. ISPRS International Journal of Geo-Information. 2022; 11(8):417. https://doi.org/10.3390/ijgi11080417
Chicago/Turabian StyleDuarte, Lia, Ana Cláudia Teodoro, and Hernâni Gonçalves. 2022. "Evaluation of Spatial Thinking Ability Based on Exposure to Geographical Information Systems (GIS) Concepts in the Context of Higher Education" ISPRS International Journal of Geo-Information 11, no. 8: 417. https://doi.org/10.3390/ijgi11080417
APA StyleDuarte, L., Teodoro, A. C., & Gonçalves, H. (2022). Evaluation of Spatial Thinking Ability Based on Exposure to Geographical Information Systems (GIS) Concepts in the Context of Higher Education. ISPRS International Journal of Geo-Information, 11(8), 417. https://doi.org/10.3390/ijgi11080417
