Passenger Flow Prediction of Scenic Spots in Jilin Province Based on Convolutional Neural Network and Improved Quantile Regression Long Short-Term Memory Network
Abstract
:1. Introduction
- (1).
- This study extends the proposed sparse Laplacian quantile loss function to LSTM, adopts the network structure constraint as the penalty term of the objective function, and smoothens the deviation degree of the network weights in the iterative correction process according to the sparse Laplacian in order to improve the robustness of the prediction.
- (2).
- An IQRLSTM deep network framework model combined with CNN is proposed for point prediction and interval prediction for scenic tourist passenger flow data in Jilin Province, providing a reliable basis for uncertainty analysis of passenger flow.
- (3).
- Four relevant data features are added for the date attribute, combined with the sliding window extracted features as input data to obtain more information about the passenger flow, providing a new perspective and idea for the accurate prediction of tourism passenger flow.
- (4).
- The CNN-IQRLSTM is critically evaluated on four scenic spot passenger flow datasets, and by comparing multiple tree models and neural network models, it is shown that the method in this paper significantly outperforms other baseline models.
2. Materials and Methods
2.1. Materials
2.2. Methods
2.2.1. CNN Model
2.2.2. Long Short-Term Memory Network (LSTM)
2.2.3. Quantile Regression (QR)
2.2.4. QRLSTM Model
2.2.5. Improved QRLSTM Model
2.3. Algorithm Implementation
2.4. Evaluation Metric
2.4.1. Evaluation Metric of Point Prediction
2.4.2. Evaluation Metric of Interval Prediction
3. Results
3.1. Point Prediction Results Evaluation
3.2. Interval Prediction Results Evaluation
4. Discussion of the Proportion of Datasets
5. Discussion and Conclusions
Author Contributions
Funding
Institutional Review Board Statement
Informed Consent Statement
Data Availability Statement
Acknowledgments
Conflicts of Interest
Appendix A

Appendix B


Appendix C
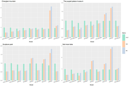
| Scenic Spots | Metric | QRGBDT | QRXGBoost | QRLightGBM | QRRNN | QRLSTM | QRGRU | QRFNN | CNN-QRLSTM | CNN-IQRLSTM |
|---|---|---|---|---|---|---|---|---|---|---|
| Changbai Mountain | PICP | 0.95 | 0.95 | 0.96 | 0.87 | 0.97 | 0.93 | 0.88 | 0.98 | 0.99 |
| WS | 0.70 | 1.15 | 0.78 | 2.72 | 0.81 | 0.82 | 0.62 | 0.58 | 0.49 | |
| MC | 0.74 | 1.21 | 0.82 | 3.13 | 0.84 | 0.88 | 0.71 | 0.59 | 0.49 | |
| The puppet palace museum | PICP | 0.96 | 0.97 | 0.98 | 0.96 | 0.95 | 0.92 | 0.83 | 0.97 | 0.97 |
| WS | 0.69 | 0.64 | 0.80 | 1.70 | 1.33 | 0.67 | 0.46 | 0.61 | 0.41 | |
| MC | 0.72 | 0.66 | 0.82 | 1.77 | 1.40 | 0.73 | 0.56 | 0.63 | 0.42 | |
| Sculpture Park | PICP | 0.96 | 0.97 | 0.98 | 0.87 | 0.98 | 0.98 | 0.92 | 1.00 | 0.99 |
| WS | 0.55 | 0.52 | 0.58 | 1.59 | 1.22 | 1.28 | 0.53 | 0.58 | 0.52 | |
| MC | 0.57 | 0.54 | 0.59 | 1.82 | 1.25 | 1.30 | 0.57 | 0.58 | 0.52 | |
| Net moon lake | PICP | 0.91 | 0.93 | 0.96 | 0.95 | 0.96 | 0.97 | 0.65 | 0.94 | 0.99 |
| WS | 0.71 | 1.00 | 0.76 | 2.74 | 1.42 | 1.68 | 0.42 | 0.56 | 0.48 | |
| MC | 0.78 | 1.07 | 0.79 | 2.89 | 1.49 | 1.74 | 0.65 | 0.60 | 0.49 |
Appendix D

References
- Fan, X.H. The Evaluation on Tourism Climate Comfort in Chongqing; Southwest University: Chongqing, China, 2017. [Google Scholar]
- Lee, H.; Lee, J.; Chung, N.; Koo, C. Tourists’ happiness: Are there smart tourism technology effects? Asia Pac. J. Tour. Res. 2018, 23, 486–501. [Google Scholar] [CrossRef]
- Chen, N.; Liang, Y. A Tourist Flow Prediction Model for Scenic Areas Based on Particle Swarm Optimization of Neural Network. Rev. D’Intell. Artif. 2020, 34, 395–402. [Google Scholar] [CrossRef]
- Lin, V.S.; Liu, A.; Song, H. Modeling and Forecasting Chinese Outbound Tourism: An Econometric Approach. J. Travel Tour. Mark. 2015, 32, 34–49. [Google Scholar] [CrossRef]
- Gustavsson, P.; Jonas, N. The Impact of Seasonal Unit Roots and Vector ARMA Modelling on Forecasting Monthly Tourism Flows. Tour. Econ. 2001, 7, 117–133. [Google Scholar] [CrossRef]
- Chen, C.; Lai, M.; Yeh, C. Forecasting tourism demand based on empirical mode decomposition and neural network. Knowl. Based Syst. 2012, 26, 281–287. [Google Scholar] [CrossRef]
- Lim, K.H.; Chan, J.; Karunasekera, S.; Leckie, C. Tour recommendation and trip planning using location-based social media: A survey. Knowl. Inf. Syst. 2019, 60, 1247–1275. [Google Scholar] [CrossRef]
- Niu, K.; Long, H.Y.; Yu, X.T.; Liu, M.Y. Railway Passenger Flow Forecast and Ticket Allocation Optimization Based on Time Series. Sci. Technol. Eng. 2020, 20, 9937–9942. [Google Scholar]
- Li, D. Study on the Prediction Model of Tourist Flow in Scenic Spots Based on Big Data Analysis. Microcomput. Appl. 2021, 37, 117–119. [Google Scholar] [CrossRef]
- Cui, H.R.; Yang, X.X.; Yu, Y.L. Prediction of Tourists Flow Based on EMD-GRU Model: A Case Study of Black Valley Scenic Area in Chongqing. J. China West Norm. Univ. (Nat. Sci.) 2022, 43, 1–9. [Google Scholar]
- Lu, W.; Rui, H.; Liang, C.; Jiang, L.; Zhao, S.; Li, K. A Method Based on GA-CNN-LSTM for Daily Tourist Flow Prediction at Scenic Spots. Entropy 2020, 22, 261. [Google Scholar] [CrossRef]
- Xu, J. Design of a Cultural Tourism Passenger Flow Prediction Model in the Yangtze River Delta Based on Regression Analysis. Sci. Program. 2021, 2021, 9913468. [Google Scholar] [CrossRef]
- Chen, X.; Cong, D.T. Application of Improved Algorithm Based on Four-Dimensional ResNet in Rural Tourism Passenger Flow Prediction. J. Sens. 2022, 2022, 9675647. [Google Scholar] [CrossRef]
- Qin, X.W.; Yin, D.M.; Dong, X.G.; Chen, D.X.; Zhang, S. Survival prediction model for right-censored data based on improved composite quantile regression neural network. Math. Biosci. Eng. 2022, 19, 7521–7542. [Google Scholar] [CrossRef]
- Koenker, R.; Bassett, G.W. Regression Quantiles. Econometrica 1978, 46, 33–50. [Google Scholar] [CrossRef]
- Zou, H.; Yuan, M. Composite Quantile Regression and the Oracle Model Selection Theory. Ann. Stat. 2008, 36, 1108–1126. [Google Scholar] [CrossRef]
- Rodrigues, F.; Pereira, F.C. Beyond Expectation: Deep Joint Mean and Quantile Regression for Spatiotemporal Problems. IEEE Trans. Neural Netw. Learn. Syst. 2020, 12, 5377–5389. [Google Scholar] [CrossRef]
- Yu, Y.; Han, X.; Yang, M.; Yang, J. Probabilistic Prediction of Regional Wind Power Based on Spatiotemporal Quantile Regression. IEEE Trans. Ind. Appl. 2020, 56, 6117–6127. [Google Scholar] [CrossRef]
- Ni, T.; Wang, L.; Zhang, P.; Wang, B.; Li, W. Daily tourist flow forecasting using SPCA and CNN-LSTM neural network. Concurr. Comput. Pract. Exp. 2021, 33, e5980. [Google Scholar] [CrossRef]
- LeCun, Y.; Bottou, L.; Bengio, Y.; Haffner, P. Gradient-based learning applied to document recognition. Proc. IEEE 1998, 86, 2278–2324. [Google Scholar] [CrossRef]
- Yu, Y.; Wang, M.; Yan, F.; Yang, M.; Yang, J. Improved convolutional neural network-based quantile regression for regional photovoltaic generation probabilistic forecast. IET Renew. Power Gener. 2020, 14, 2712–2719. [Google Scholar] [CrossRef]
- Li, D.; Zhang, Y.H.; Yang, B.H.; Wang, Q. Short Time Power Load Probabilistic Forecasting Based on Constrained Parallel-LSTM Neural Network Quantile Regression Mode. Power Syst. Technol. 2021, 45, 1356–1363. [Google Scholar] [CrossRef]
- Dai, J.J.; Song, H.; Sheng, G.H. Study on the operation state prediction method of power transformer based on LSTM network. High Volt. Eng. 2018, 44, 1099–1106. [Google Scholar] [CrossRef]
- Jia, Y.; Jeong, J.H. Deep learning for quantile regression under right censoring: DeepQuantreg. Comput. Stat. Data Anal. 2022, 165, 107323. [Google Scholar] [CrossRef]
- Qin, X.W.; Sheng, H.; Dong, X.G. Interval Wind-Speed Forecasting Model Based on Quantile Regression Bidirectional Minimal Gated Memory Network and Kernel Density Estimation. Arab. J. Sci. Eng. 2022, 47, 1–15. [Google Scholar] [CrossRef]
- Yi, S.Z.; Liu, Y.K.; Yang, F.; Zhang, J.W.; Jia, H.J.; Peng, X.G. Short-term Load Probability Forecasting Based on Improved Quantile Regression of Gated Recurrent Unit. Smart Power 2021, 49, 84–90. [Google Scholar]
- Huang, J.; Ma, S.; Li, H.; Zhang, C.H. The Sparse Laplacian Shrinkage Estimator for High-Dimensional Regression. Ann. Stat. 2011, 39, 2021–2046. [Google Scholar] [CrossRef] [PubMed]
- Deng, C.; He, X.; Hu, Y. Learning a Spatially Smooth Subspace for Face Recognition. In Proceedings of the 2007 IEEE Conference on Computer Vision and Pattern Recognition, Minneapolis, MN, USA, 17–22 June 2007; pp. 1–7. [Google Scholar] [CrossRef]
- Zhang, Z.D.; Qin, H.; Liu, Y.Q.; Yao, L.Q.; Yu, X.; Lu, J.T.; Jiang, Z.Q.; Feng, Z.K. Wind speed forecasting based on quantile regression minimal gated memory network and kernel density estimation. Energy Convers. Manag. 2019, 196, 1395–1409. [Google Scholar] [CrossRef]
- Khosravi, A.; Nahav, S.; Creighton, D. A prediction interval based approach to determine optimal structures of neural network metamodels. Expert Syst. Appl. 2010, 37, 2377–2387. [Google Scholar] [CrossRef]
- Zhou, L. GBDT-SVM Credit Risk Assessment Model and Empirical Analysis of Peer-to-Peer Borrowers under Consideration of Audit Information. Open J. Bus. Manag. 2018, 6, 362–372. [Google Scholar] [CrossRef]
- Chen, T.Q.; Carlos, G. XGBoost: A Scalable Tree Boosting System. In Proceedings of the 22nd ACM SIGKDD International Conference on Knowledge Discovery and Data Mining, San Francisco, CA, USA, 13–17 August 2016; pp. 785–794. [Google Scholar] [CrossRef]
- Qi, M. LightGBM: A Highly Efficient Gradient Boosting Decision Tree. In Neural Information Processing Systems; Curran Associates Inc.: Red Hook, NY, USA, 2017; pp. 3149–3157. [Google Scholar]
- Kyunghyun, C.; Bart, V.M.; Caglar, G.; Dzmitry, B.; Fethi, B.; Holger, S.; Yoshua, B. Learning Phrase Representations using RNN Encoder–Decoder for Statistical Machine Translation. In Proceedings of the 2014 Conference on Empirical Methods in Natural Language Processing (EMNLP), Doha, Qatar, 25–29 October 2014; pp. 1724–1734. [Google Scholar] [CrossRef]
- Zhang, W.; Du, T.; Wang, J. Deep Learning over Multi-Field Categorical Data-A Case Study on User Response Prediction; ECIR: Welcome, NC, USA, 2016. [Google Scholar] [CrossRef]
- Wang, X.R.; Wang, W.L.; Zhang, W.L. Digital Dissemination of Scene Art in Changbai Mountain Area of Visual Sensor Images. Wirel. Commun. Mob. Comput. 2022, 2, 2468799. [Google Scholar] [CrossRef]















| Date | Flow | Weekday | Week | Weekend | Holiday |
|---|---|---|---|---|---|
| 10 August 2017 | 24,206 | 4 | 2 | 0 | 0 |
| 11 August 2017 | 24,169 | 5 | 2 | 0 | 0 |
| 12 August 2017 | 30,449 | 6 | 2 | 1 | 0 |
| 13 August 2017 | 28,578 | 7 | 2 | 1 | 0 |
| 14 August 2017 | 24,091 | 1 | 2 | 0 | 0 |
| 15 August 2017 | 22,634 | 2 | 3 | 0 | 0 |
| 16 August 2017 | 22,485 | 3 | 3 | 0 | 0 |
| 17 August 2017 | 23,082 | 4 | 3 | 0 | 0 |
| 18 August 2017 | 22,862 | 5 | 3 | 0 | 0 |
| 19 August 2017 | 26,855 | 6 | 3 | 1 | 0 |
| 20 August 2017 | 18,084 | 7 | 3 | 1 | 0 |
| 21 August 2017 | 20,733 | 1 | 3 | 0 | 0 |
| 22 August 2017 | 19,343 | 2 | 4 | 0 | 0 |
| 23 August 2017 | 18,161 | 3 | 4 | 0 | 0 |
| 24 August 2017 | 17,948 | 4 | 4 | 0 | 0 |
| Scenic Spots | Metric | GBDT | XGBoost | LightGBM | RNN | LSTM | GRU | FNN | CNN-LSTM |
|---|---|---|---|---|---|---|---|---|---|
| Changbai Mountain | MAE | 889.95 | 934.99 | 958.52 | 1224.88 | 1432.78 | 1454.47 | 1076.79 | 973.77 |
| RMSE | 2034.23 | 1943.64 | 1963.18 | 2105.74 | 2608.47 | 2502.48 | 2114.24 | 2029.40 | |
| MAPE | 0.07 | 0.08 | 0.08 | 0.12 | 0.12 | 0.13 | 0.09 | 0.08 | |
| SMAPE | 7.43 | 8.04 | 7.89 | 12.52 | 12.60 | 12.32 | 9.32 | 8.25 | |
| Rsquare | 0.86 | 0.88 | 0.87 | 0.85 | 0.78 | 0.79 | 0.85 | 0.86 | |
| The puppet palace museum | MAE | 152.28 | 164.87 | 156.04 | 270.05 | 355.66 | 326.05 | 318.31 | 221.47 |
| RMSE | 218.33 | 237.84 | 230.12 | 385.64 | 573.94 | 480.37 | 425.60 | 316.54 | |
| MAPE | 0.06 | 0.07 | 0.06 | 0.11 | 0.14 | 0.13 | 0.13 | 0.09 | |
| SMAPE | 6.28 | 6.76 | 5.89 | 10.89 | 13.88 | 12.53 | 12.45 | 8.80 | |
| Rsquare | 0.95 | 0.94 | 0.95 | 0.85 | 0.67 | 0.77 | 0.82 | 0.09 | |
| Sculpture Park | MAE | 300.79 | 260.36 | 263.34 | 482.05 | 393.04 | 368.62 | 294.36 | 266.24 |
| RMSE | 443.91 | 358.09 | 364.12 | 624.44 | 486.56 | 512.22 | 392.87 | 362.43 | |
| MAPE | 0.08 | 0.07 | 0.07 | 0.12 | 0.11 | 0.09 | 0.08 | 0.07 | |
| SMAPE | 7.80 | 7.02 | 7.02 | 13.19 | 10.68 | 9.61 | 7.99 | 7.21 | |
| Rsquare | 0.89 | 0.93 | 0.92 | 0.78 | 0.86 | 0.85 | 0.91 | 0.92 | |
| Net moon lake | MAE | 668.21 | 688.44 | 785.90 | 1362.14 | 2337.98 | 2593.19 | 1461.58 | 727.35 |
| RMSE | 957.48 | 962.71 | 1094.55 | 1973.83 | 3289.31 | 4092.60 | 2092.17 | 942.36 | |
| MAPE | 0.07 | 0.07 | 0.07 | 0.13 | 0.21 | 0.22 | 0.14 | 0.08 | |
| SMAPE | 6.92 | 7.12 | 7.40 | 13.29 | 21.32 | 22.99 | 13.55 | 8.04 | |
| Rsquare | 0.97 | 0.97 | 0.96 | 0.87 | 0.63 | 0.43 | 0.85 | 0.97 |
| Scenic Spots | Metric | QRGBDT | QRXG Boost | QRLightGBM | QRRNN | QRLSTM | QRGRU | QRFNN | CNN-QRLSTM | CNN-IQRLSTM |
|---|---|---|---|---|---|---|---|---|---|---|
| Changbai Mountain | MAE | 881.51 | 859.14 | 906.92 | 1248.90 | 1315.31 | 1452.75 | 1024.65 | 879.72 | 819.19 |
| RMSE | 2179.63 | 2043.63 | 2206.63 | 2285.87 | 2800.54 | 3481.84 | 2103.18 | 2020.03 | 1913.09 | |
| MAPE | 0.07 | 0.07 | 0.07 | 0.11 | 0.10 | 0.10 | 0.09 | 0.07 | 0.07 | |
| SMAPE | 6.80 | 6.91 | 6.96 | 11.00 | 11.02 | 11.18 | 8.99 | 7.10 | 6.68 | |
| Rsquare | 0.84 | 0.86 | 0.84 | 0.83 | 0.74 | 0.60 | 0.85 | 0.87 | 0.88 | |
| The puppet palace museum | MAE | 153.79 | 192.24 | 179.81 | 244.59 | 323.53 | 361.61 | 308.16 | 209.21 | 117.33 |
| RMSE | 318.09 | 414.62 | 431.95 | 413.19 | 639.92 | 757.30 | 458.70 | 333.04 | 168.02 | |
| MAPE | 0.06 | 0.06 | 0.05 | 0.09 | 0.11 | 0.12 | 0.12 | 0.08 | 0.05 | |
| SMAPE | 5.85 | 6.57 | 5.73 | 8.99 | 11.43 | 12.80 | 11.84 | 8.05 | 5.04 | |
| Rsquare | 0.90 | 0.83 | 0.82 | 0.83 | 0.59 | 0.43 | 0.79 | 0.89 | 0.97 | |
| Sculpture Park | MAE | 256.10 | 270.87 | 265.50 | 412.51 | 368.69 | 366.88 | 280.02 | 255.59 | 248.89 |
| RMSE | 371.24 | 398.90 | 377.31 | 551.00 | 484.73 | 481.49 | 370.22 | 360.82 | 354.04 | |
| MAPE | 0.07 | 0.07 | 0.07 | 0.10 | 0.10 | 0.10 | 0.08 | 0.07 | 0.07 | |
| SMAPE | 6.77 | 6.94 | 6.98 | 10.83 | 9.63 | 9.65 | 7.70 | 6.77 | 6.53 | |
| Rsquare | 0.92 | 0.91 | 0.92 | 0.83 | 0.87 | 0.87 | 0.92 | 0.93 | 0.93 | |
| Net moon lake | MAE | 757.20 | 588.22 | 809.90 | 1402.38 | 2545.55 | 2543.18 | 1297.89 | 608.41 | 447.03 |
| RMSE | 1492.93 | 1065.44 | 1746.62 | 2680.74 | 4311.77 | 4291.96 | 1844.19 | 883.66 | 662.39 | |
| MAPE | 0.07 | 0.05 | 0.06 | 0.11 | 0.21 | 0.22 | 0.13 | 0.06 | 0.05 | |
| SMAPE | 6.89 | 5.38 | 6.09 | 11.65 | 21.59 | 21.53 | 13.00 | 6.47 | 4.83 | |
| Rsquare | 0.92 | 0.96 | 0.90 | 0.75 | 0.36 | 0.37 | 0.88 | 0.97 | 0.99 |
| Scenic Spots | Metric | QRGBDT GBDT | QRXGBoost XGBoost | QRLightGBM LightGBM | QRRNN RNN | QRLSTM LSTM | QRGRU GRU | QRFNN FNN | CNN-LSTM CNN-QRLSTM |
|---|---|---|---|---|---|---|---|---|---|
| Changbai Mountain | MAE | −8.44 | −75.85 | −51.60 | 24.03 | −117.47 | −1.71 | −52.13 | −94.05 |
| RMSE | 145.39 | 99.99 | 243.45 | 180.13 | 192.07 | 979.36 | −11.06 | −9.37 | |
| MAPE | −0.01 | −0.01 | −0.01 | −0.01 | −0.02 | −0.02 | −0.01 | −0.01 | |
| SMAPE | −0.62 | −1.14 | −0.93 | −1.52 | −1.58 | −1.14 | −0.33 | −1.15 | |
| Rsquare | −0.02 | −0.01 | −0.03 | −0.03 | −0.03 | −0.19 | 0.00 | 0.00 | |
| The puppet palace museum | MAE | 1.51 | 27.37 | 23.77 | −25.45 | −32.13 | 35.57 | −10.15 | −12.26 |
| RMSE | 99.76 | 176.79 | 201.84 | 27.55 | 65.99 | 276.94 | 33.10 | 16.50 | |
| MAPE | −0.01 | 0.00 | 0.00 | −0.02 | −0.03 | −0.01 | −0.01 | −0.01 | |
| SMAPE | −0.44 | −0.19 | −0.17 | −1.90 | −2.45 | 0.27 | −0.61 | −0.75 | |
| Rsquare | −0.05 | −0.11 | −0.13 | −0.02 | −0.08 | −0.34 | −0.03 | 0.80 | |
| Sculpture Park | MAE | −44.68 | 10.51 | 2.16 | −69.54 | −24.35 | −1.74 | −14.34 | −10.65 |
| RMSE | −72.67 | 40.81 | 13.19 | −73.44 | −1.83 | −30.73 | −22.65 | −1.62 | |
| MAPE | −0.01 | 0.00 | 0.00 | −0.02 | −0.01 | 0.00 | −0.01 | 0.00 | |
| SMAPE | −1.03 | −0.08 | −0.04 | −2.36 | −1.05 | 0.05 | −0.29 | −0.44 | |
| Rsquare | 0.03 | −0.02 | −0.01 | 0.05 | 0.00 | 0.02 | 0.01 | 0.00 | |
| Net moon lake | MAE | 88.99 | −100.22 | 24.00 | 40.24 | 207.56 | −50.01 | −163.69 | −118.94 |
| RMSE | 535.44 | 102.73 | 652.07 | 706.91 | 1022.46 | 199.36 | −247.98 | −58.70 | |
| MAPE | 0.00 | −0.02 | −0.01 | −0.02 | −0.01 | −0.01 | 0.00 | −0.02 | |
| SMAPE | −0.03 | −1.74 | −1.32 | −1.63 | 0.26 | −1.47 | −0.55 | −1.57 | |
| Rsquare | −0.04 | −0.01 | −0.06 | −0.11 | −0.27 | −0.06 | 0.03 | 0.00 |
| Scenic Spots | Metric | CNN-LSTM | CNN-QRLSTM | CNN-IQRLSTM |
|---|---|---|---|---|
| Changbai Mountain | MAE | 973.77 | 879.72 | 819.19 |
| RMSE | 2029.4 | 2020.03 | 1913.09 | |
| MAPE | 0.08 | 0.07 | 0.07 | |
| SMAPE | 8.25 | 7.1 | 6.68 | |
| Rsquare | 0.86 | 0.87 | 0.88 | |
| The puppet palace museum | MAE | 221.47 | 209.21 | 117.33 |
| RMSE | 316.54 | 333.04 | 168.02 | |
| MAPE | 0.09 | 0.08 | 0.05 | |
| SMAPE | 8.8 | 8.05 | 5.04 | |
| Rsquare | 0.9 | 0.89 | 0.97 | |
| Sculpture Park | MAE | 266.24 | 255.59 | 248.89 |
| RMSE | 362.43 | 360.82 | 354.04 | |
| MAPE | 0.07 | 0.07 | 0.07 | |
| SMAPE | 7.21 | 6.77 | 6.53 | |
| Rsquare | 0.92 | 0.93 | 0.93 | |
| Net moon lake | MAE | 727.35 | 608.41 | 447.03 |
| RMSE | 942.36 | 883.66 | 662.39 | |
| MAPE | 0.08 | 0.06 | 0.05 | |
| SMAPE | 8.04 | 6.47 | 4.83 | |
| Rsquare | 0.97 | 0.97 | 0.99 |
| Scenic Spots | Metric | QRGBDT | QRXGBoost | QRLightGBM | QRRNN | QRLSTM | QRGRU | QRFNN | CNN-QRLSTM | CNN-IQRLSTM |
|---|---|---|---|---|---|---|---|---|---|---|
| Changbai Mountain | PICP | 0.92 | 0.93 | 0.94 | 0.80 | 0.83 | 0.91 | 0.86 | 0.97 | 0.98 |
| WS | 0.41 | 0.43 | 0.47 | 0.40 | 0.56 | 0.50 | 0.48 | 0.39 | 0.37 | |
| MC | 0.45 | 0.46 | 0.50 | 0.50 | 0.67 | 0.55 | 0.55 | 0.41 | 0.38 | |
| The puppet palace museum | PICP | 0.89 | 0.95 | 0.88 | 0.93 | 0.86 | 0.89 | 0.72 | 0.97 | 0.94 |
| WS | 0.43 | 0.42 | 0.51 | 1.58 | 0.47 | 0.47 | 0.31 | 0.49 | 0.36 | |
| MC | 0.48 | 0.44 | 0.57 | 1.70 | 0.55 | 0.53 | 0.43 | 0.50 | 0.39 | |
| Sculpture Park | PICP | 0.91 | 0.92 | 0.95 | 0.79 | 0.90 | 0.97 | 0.85 | 0.95 | 0.97 |
| WS | 0.43 | 0.36 | 0.40 | 1.23 | 0.38 | 0.64 | 0.40 | 0.43 | 0.38 | |
| MC | 0.47 | 0.39 | 0.42 | 1.55 | 0.43 | 0.66 | 0.47 | 0.46 | 0.39 | |
| Net moon lake | PICP | 0.87 | 0.91 | 0.87 | 0.88 | 0.90 | 0.89 | 0.58 | 0.92 | 0.93 |
| WS | 0.50 | 0.60 | 0.53 | 0.63 | 1.06 | 1.31 | 0.31 | 0.56 | 0.32 | |
| MC | 0.58 | 0.66 | 0.61 | 0.71 | 1.18 | 1.47 | 0.53 | 0.61 | 0.34 |
| Scenic Spots | Metric | RNN | LSTM | GRU | CNN-LSTM | QRRNN | QRLSTM | QRGRU | CNN-QRLSTM | CNN-IQRLSTM |
|---|---|---|---|---|---|---|---|---|---|---|
| Changbai Mountain | Point prediction | 143.00 | 235.00 | 208.00 | 58.50 | 248.00 | 203.00 | 204.00 | 65.08 | 92.00 |
| 90% PI | —— | —— | —— | —— | 530.00 | 4679.00 | 601.00 | 45.57 | 42.00 | |
| 95% PI | —— | —— | —— | —— | 459.00 | 2479.00 | 2776.00 | 45.57 | 52.40 | |
| The puppet palace museum | Point prediction | 51.10 | 235.00 | 208.00 | 234.00 | 243.00 | 185.00 | 187.00 | 42.40 | 97.00 |
| 90% PI | —— | —— | —— | —— | 748.00 | 3638.00 | 3119.00 | 118.00 | 82.00 | |
| 95% PI | —— | —— | —— | —— | 775.00 | 3536.00 | 3882.00 | 45.70 | 373.00 | |
| Sculpture Park | Point prediction | 52.00 | 201.00 | 314.00 | 87.60 | 280.00 | 236.00 | 199.00 | 51.40 | 16.90 |
| 90% PI | —— | —— | —— | —— | 960.10 | 4860.80 | 422.00 | 44.10 | 156.00 | |
| 95% PI | —— | —— | —— | —— | 618.00 | 4224.00 | 570.00 | 101.60 | 61.01 | |
| Net moon lake | Point prediction | 42.60 | 168.00 | 153.00 | 275.00 | 227.00 | 227.00 | 202.00 | 43.40 | 96.00 |
| 90% PI | —— | —— | —— | —— | 883.00 | 4348.00 | 816.00 | 44.80 | 106 | |
| 95% PI | —— | —— | —— | —— | 767.00 | 2920.00 | 2682.00 | 150.00 | 118.00 |
| Model | Parameter | Value |
|---|---|---|
| GBDT QRGBDT | Default parameters | —— |
| XGBoost QRXGBoost | Default parameters | —— |
| LightGBM QRLightGBM | Default parameters | —— |
| RNN QRRNN | Number of hidden layer nodes | 32 |
| LSTM QRLSTM | Epochs of training | 100 |
| GRU QRGRU | Number of hidden layers | 1 |
| FNN QRFNN | Number of hidden layer nodes | 128 |
| Activation function | sigmoid | |
| Epochs of training | 100 | |
| Number of hidden layers | 3 | |
| CNN-LSTM CNN-QRLSTM CNN-IQRLSTM | Number of hidden layer nodes | 128 |
| Activation function | elu | |
| Epochs of training | 100 | |
| Number of hidden layers | 2 | |
| Dropout | 0.1 |
| Proportions | Metric | QRGBDT | QRXG Boost | QRLightGBM | QRRNN | QRLSTM | QRGRU | QRFNN | CNN-QRLSTM | CNN-IQRLSTM |
|---|---|---|---|---|---|---|---|---|---|---|
| 9:1 | MAE | 881.51 | 859.14 | 906.92 | 1248.9 | 1315.31 | 1452.75 | 1024.65 | 879.72 | 819.19 |
| RMSE | 2179.63 | 2043.63 | 2206.63 | 2285.87 | 2800.54 | 3481.84 | 2103.18 | 2020.03 | 1913.09 | |
| MAPE | 0.07 | 0.07 | 0.07 | 0.11 | 0.1 | 0.1 | 0.09 | 0.07 | 0.07 | |
| SMAPE | 6.8 | 6.91 | 6.96 | 11 | 11.02 | 11.18 | 8.99 | 7.1 | 6.68 | |
| 8:2 | MAE | 1114.43 | 1138.04 | 1210.61 | 1487.63 | 1619.96 | 1778.79 | 1442.06 | 1198.22 | 1190.85 |
| RMSE | 2274.99 | 2186.64 | 2341.93 | 2468.29 | 3183.739 | 3183.92 | 2444.487 | 2255.28 | 2246.74 | |
| MAPE | 0.07 | 0.08 | 0.08 | 0.11 | 0.1045 | 0.12 | 0.1033 | 0.08 | 0.08 | |
| SMAPE | 7.57 | 7.8 | 8.09 | 11 | 11.2412 | 12.54 | 10.63 | 8.24 | 8.16 |
Publisher’s Note: MDPI stays neutral with regard to jurisdictional claims in published maps and institutional affiliations. |
© 2022 by the authors. Licensee MDPI, Basel, Switzerland. This article is an open access article distributed under the terms and conditions of the Creative Commons Attribution (CC BY) license (https://creativecommons.org/licenses/by/4.0/).
Share and Cite
Qin, X.; Yin, D.; Dong, X.; Chen, D.; Zhang, S. Passenger Flow Prediction of Scenic Spots in Jilin Province Based on Convolutional Neural Network and Improved Quantile Regression Long Short-Term Memory Network. ISPRS Int. J. Geo-Inf. 2022, 11, 509. https://doi.org/10.3390/ijgi11100509
Qin X, Yin D, Dong X, Chen D, Zhang S. Passenger Flow Prediction of Scenic Spots in Jilin Province Based on Convolutional Neural Network and Improved Quantile Regression Long Short-Term Memory Network. ISPRS International Journal of Geo-Information. 2022; 11(10):509. https://doi.org/10.3390/ijgi11100509
Chicago/Turabian StyleQin, Xiwen, Dongmei Yin, Xiaogang Dong, Dongxue Chen, and Shuang Zhang. 2022. "Passenger Flow Prediction of Scenic Spots in Jilin Province Based on Convolutional Neural Network and Improved Quantile Regression Long Short-Term Memory Network" ISPRS International Journal of Geo-Information 11, no. 10: 509. https://doi.org/10.3390/ijgi11100509
APA StyleQin, X., Yin, D., Dong, X., Chen, D., & Zhang, S. (2022). Passenger Flow Prediction of Scenic Spots in Jilin Province Based on Convolutional Neural Network and Improved Quantile Regression Long Short-Term Memory Network. ISPRS International Journal of Geo-Information, 11(10), 509. https://doi.org/10.3390/ijgi11100509

