Indoor Positioning Algorithm Based on Reconstructed Observation Model and Particle Filter
Abstract
:1. Introduction
2. Kernel Extreme Learning Machine
3. Indoor Positioning Algorithm Based on Reconstructed Observation Model and PF
3.1. Principle of Indoor Positioning Algorithm Based on Fingerprint Location
3.2. Particle Filter Localization and Receiving Factor Control Strategy
| Algorithm 1. PF-Based Indoor Positioning. |
| Prediction: ; Predicted measurement: ; Input: set a threshold ; for particle do Gaussian sampling: ; Calculate the weight for each particle ; end for Normalizing: ; Important sampling: ; If , important sampling; end if State estimation: . |
3.3. Steps of Iterative Indoor Location Based on KELM-PF
| Algorithm 2. KELM-PF Based Indoor Positioning |
| Inputs:, , , , , , , ; Step 1: Training the weight parameters and of the hidden layer and output layer of KELM; Step 2: Use the receiving factors to make decisions: calculate . If , it will perform next step of the KELM-PF algorithm; if , jump to step 4 and execute the PF of the previous step; Step 3: Execute the KELM-PF algorithm, reconstruct the observation model, obtain the observation value, and output the estimated value: put into the KELM network for training and obtain the observations. If , put the signal strength vector obtained by real time detection into the KELM network for testing, and obtain the observed value. Then execute the particle algorithm of Algorithm 1 and output ; if , set the signal strength of the unreceived node to 1, and then perform KELM testing. Then, execute the particle algorithm of Algorithm 1 and output . Step 4: Executes the PF of the previous step. |
4. Experimental Results and Analysis
4.1. Verification of Validity
4.2. Reference Node Density and Positioning Accuracy Experiments
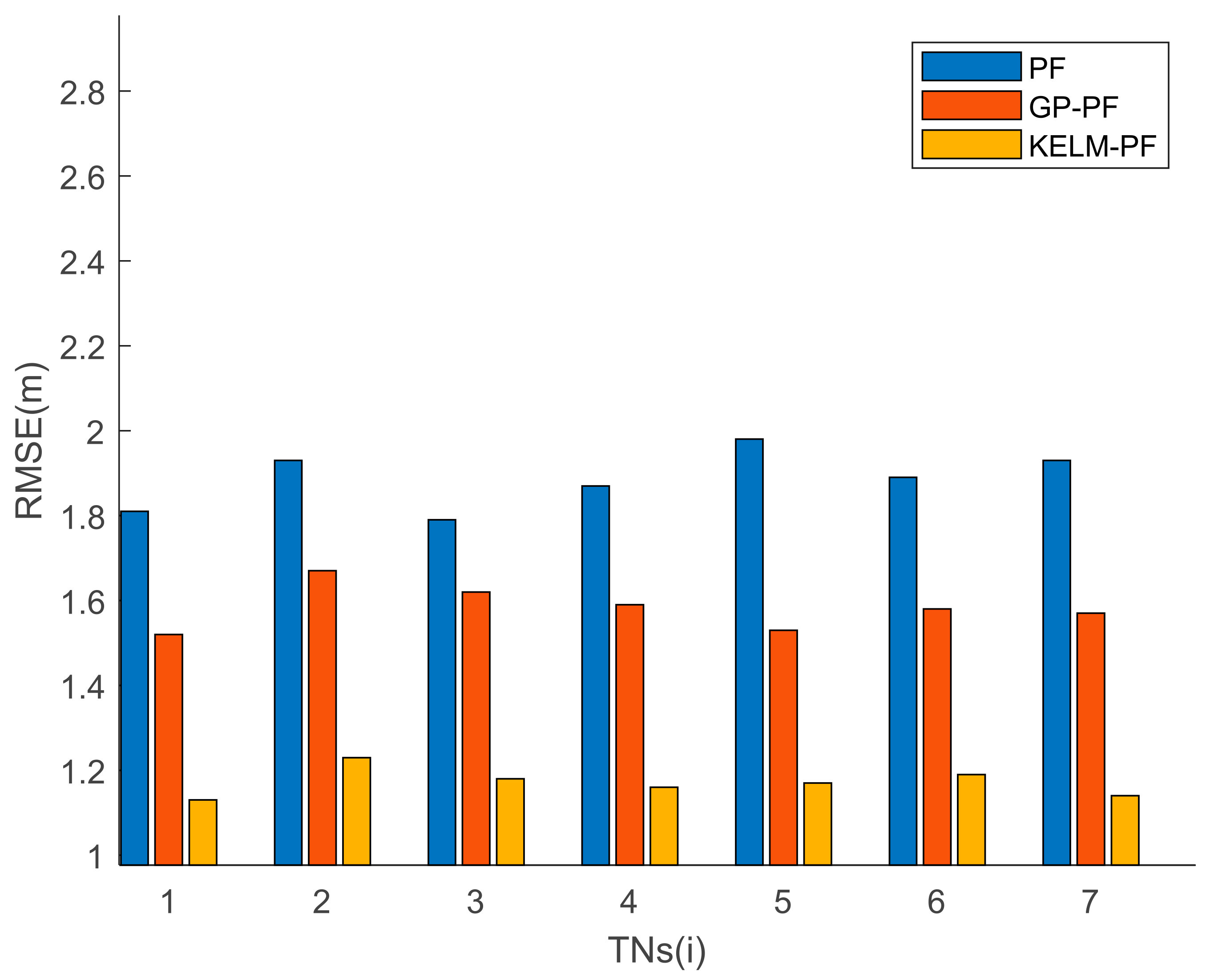
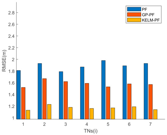
4.3. Comparison of Positioning Errors When PF Adopts Different Observation Models
4.4. Analysis of Computational Complexity of Different Algorithms
5. Conclusions
Author Contributions
Funding
Institutional Review Board Statement
Informed Consent Statement
Data Availability Statement
Conflicts of Interest
References
- Figureiel, S.; Specht, C.; Moszyński, M.; Stateczny, A.; Specht, M. Testing of Software for the Planning of a Linear Object GNSS Measurement Campaign under Simulated Conditions. Energies 2021, 14, 7896. [Google Scholar]
- Gao, Z.; Ge, M.; Li, Y.; Shen, W.; Zhang, H.; Schuh, H. Railway Irregularity Measuring using Rauch–Tung–Striebel Smoothed Multi-sensors Fusion System: Quad-GNSS PPP, IMU, odometer, and track gauge. GPS Solut. 2018, 22, 36. [Google Scholar] [CrossRef]
- Krasuski, K.; Savchuk, S. Determination of the Precise Coordinates of the GPS Reference Station in of a GBAS System in the Air Transport. Commun.-Sci. Lett. Univ. Zilina 2020, 22, 11–18. [Google Scholar] [CrossRef]
- Caceres Najarro, L.A.; Song, I.; Tomic, S.; Kim, K. Fast Localization with Unknown Transmit Power and Path-Loss Exponent in WSNs Based on RSS Measurements. IEEE Commun. Lett. 2020, 24, 2756–2760. [Google Scholar] [CrossRef]
- Berkvens, R.; Peremans, H.; Weyn, M. Conditional Entropy and Location Error in Indoor Localization Using Probabilistic Wi-Fi Fingerprinting. Sensors 2016, 16, 1636. [Google Scholar] [CrossRef]
- Liu, W.; Cheng, Q.; Deng, Z.; Jia, M. C-GCN: A Flexible CSI Phase Feature Extraction Network for Error Suppression in Indoor Positioning. Entropy 2021, 23, 1004. [Google Scholar] [CrossRef] [PubMed]
- Xiong, W.; Schindelhauer, C.; So, H.C.; Schott, D.J.; Rupitsch, S.J. Robust TDOA Source Localization Based on Lagrange Programming Neural Network. IEEE Signal Process. Lett. 2021, 28, 1090–1094. [Google Scholar] [CrossRef]
- Hsu, H.H.; Peng, W.J.; Shih, T.K.; Pai, T.W.; Man, K.L. Smartphone Indoor Localization with Accelerometer and Gyroscope. In Proceedings of the International Conference on Network Based Information Systems Nbis, Salerno, Italy, 10–12 September 2015. [Google Scholar]
- Zaib, S.; Khusro, S.; Ali, S.; Alam, F. Smartphone Based Indoor Navigation for Blind Persons using User Profile and Simplified Building Information Model. In Proceedings of the 2019 International Conference on Electrical, Communication, and Computer Engineering (ICECCE), Swat, Pakistan, 24–25 July 2019. [Google Scholar]
- Wang, X.; Qin, D.; Guo, R.; Zhao, M.; Ma, L.; Berhane, T.M. The Technology of Crowd-sourcing Landmarks-assisted Smartphone in Indoor Localization. IEEE Access 2020, 8, 57036–57048. [Google Scholar] [CrossRef]
- Lu, J.Y.; Li, X. Robot Indoor Location Modeling and Simulation based on Kalman Filtering. EURASIP J. Wirel. Commun. Netw. 2019, 2019, 140. [Google Scholar] [CrossRef] [Green Version]
- Chen, J.; Ou, G.; Peng, A.; Zheng, L.; Shi, J. An INS/WiFi Indoor Localization System Based on the Weighted Least Squares. Sensors 2018, 18, 1458. [Google Scholar] [CrossRef] [PubMed] [Green Version]
- Lim, J.; Chong, U. Multitarget Tracking by Particle Filtering Based on RSS Measurement in Wireless Sensor Networks. Int. J. Distrib. Sens. Netw. 2015, 11, 837070. [Google Scholar] [CrossRef]
- Hong, F.; Zhang, Y.; Zhang, Z.; Wei, M.; Feng, Y.; Guo, Z. WaP: Indoor Localization and Tracking using WiFi-Assisted Particle Filter. In Proceedings of the IEEE Conference on Local Computer Networks, Edmonton, AB, Canada, 8–11 September 2014. [Google Scholar]
- Li, D.; Zhang, B.; Li, C. A Feature Scaling based k-Nearest Neighbor Algorithm for Indoor Positioning Systems. IEEE Internet Things J. 2016, 3, 590–597. [Google Scholar] [CrossRef]
- Poulose, A.; Han, D.S. Performance Analysis of Fingerprint Matching Algorithms for Indoor Localization. In Proceedings of the International Conference on Artificial Intelligence in Information and Communication (ICAIIC), Fukuoka, Japan, 19–21 February 2020. [Google Scholar]
- Xia, S.; Liu, Y.; Yuan, G.; Zhu, M.; Wang, Z. Indoor Fingerprint Positioning Based on Wi-Fi: An Overview. Int. J. Geo. Inf. 2017, 6, 135. [Google Scholar] [CrossRef] [Green Version]
- Golenbiewski, J.; Tewolde, G. Implementation of an Indoor Positioning System using the WKNN Algorithm. In Proceedings of the 2019 IEEE 9th Annual Computing and Communication Workshop and Conference (CCWC), Las Vegas, NV, USA, 7–9 January 2019. [Google Scholar]
- Wang, Z.; Zhang, Y.; Song, Y. An Adaptive First-Order Reliability Analysis Method for Nonlinear Problems. Math. Probl. Eng. 2020, 4, 3925689. [Google Scholar] [CrossRef] [Green Version]
- Yang, H.; Zhang, Y.; Huang, Y.; Fu, H.; Wang, Z. WKNN Indoor Location Algorithm based on Zone Partition by Spatial Features and Restriction of Former Location. Pervasive Mob. Comput. 2019, 60, 101085–101098. [Google Scholar] [CrossRef]
- Wang, W.; Marelli, D.; Fu, M. Dynamic Indoor Localization Using Maximum Likelihood Particle Filtering. Sensors 2021, 21, 1090. [Google Scholar] [CrossRef]
- AL-Madani, B.; Orujov, F.; Maskeliūnas, R.; Damaševičius, R.; Venčkauskas, A. Fuzzy Logic Type-2 Based Wireless Indoor Localization System for Navigation of Visually Impaired People in Buildings. Sensors 2019, 19, 2114. [Google Scholar] [CrossRef] [Green Version]
- Rezazadeh, J.; Subramanian, R.; Sandrasegaran, K.; Kong, X.; Moradi, M.; Khodamoradi, F. Novel iBeacon Placement for Indoor Positioning in IoT. IEEE Sens. J. 2018, 18, 10240–10247. [Google Scholar] [CrossRef]
- Guo, X.; Elikplim, N.R.; Ansari, N.; Li, L.; Wang, L. Robust WiFi Localization by Fusing Derivative Fingerprints of RSS and Multiple Classifiers. IEEE Trans. Ind. Inform. 2020, 16, 3177–3186. [Google Scholar] [CrossRef]
- Feng, Z.; Cao, Y.; Yan, J. A Received Signal Strength Based Indoor Localization Algorithm Using ELM Technique and Ridge Regression. In Proceedings of the 2019 IEEE 2nd International Conference on Electronic Information and Communication Technology (ICEICT), Harbin, China, 20–22 January 2019. [Google Scholar]
- Song, B.; Wang, H.; Xiao, W.; Huang, S.; Shi, L. Gaussian Process Model enabled Particle Filter for Device-free Localization. In Proceedings of the 2017 20th International Conference on Information Fusion (Fusion), Xi’an, China, 10–13 July 2017. [Google Scholar]
- Bai, Y.B.; Wu, S.; Retscher, G.; Kealy, A.; Holden, L.; Tomko, M.; Borriak, A.; Hu, B.; Wu, H.R.; Zhang, K. A New Method for Improving Wi-Fi-based Indoor Positioning Accuracy. J. Locat. Based Serv. 2014, 8, 135–147. [Google Scholar] [CrossRef]
- Li, M.; Zhao, L.; Tan, D.; Tong, X. BLE Fingerprint Indoor Localization Algorithm Based on Eight-Neighborhood Template Matching. Sensors 2019, 19, 4859. [Google Scholar] [CrossRef] [PubMed] [Green Version]
- Huang, G.B.; Zhu, Q.Y.; Siew, C.K. Extreme Learning Machine: Theory and Applications. Neurocomputing 2006, 70, 489–501. [Google Scholar] [CrossRef]
- Liang, N.Y.; Huang, G.B.; Saratchandran, P.; Sundararajan, N. A fast and Accurate Online Sequential Learning Algorithm for Feedforward Networks. IEEE Trans. Neural Netw. 2006, 17, 1411–1423. [Google Scholar] [CrossRef] [PubMed]
- Huang, G.B. An Insight into Extreme Learning Machines: Random Neurons, Random Features and Kernels. Cogn. Comput. 2014, 6, 376–390. [Google Scholar] [CrossRef]
- Huang, G.; Huang, G.B.; Song, S.; You, K. Trends in Extreme Learning Machines: A Review. Neural Netw. 2015, 61, 32–48. [Google Scholar] [CrossRef]
- Seymour, L.; Lipson, M.L. Schaum’s Outline of Linear Algebra; McGraw-Hill Education: New York, NY, USA, 2018. [Google Scholar]
- Vanderbei, R.J. The KKT System. In Linear Programming; Springer Nature: Basingstoke, UK, 2020. [Google Scholar]
- Wibowo, A.; Desa, M.I. Nonlinear Robust Regression Using Kernel Principal Component Analysis and R-Estimators. Int. J. Comput. Sci. Issues 2011, 8, 75–82. [Google Scholar]
- Xue, W.; Qiu, W.; Hua, X.; Yu, K. Improved Wi-Fi RSSI Measurement for Indoor Localization. IEEE Sens. J. 2017, 17, 2224–2230. [Google Scholar] [CrossRef]
- Jiang, P.; Zhang, Y.; Fu, W.; Liu, H.; Su, X. Indoor Mobile Localization Based on Wi-Fi Fingerprint’s Important Access Point. Int. J. Distrib. Sens. Netw. 2015, 11, 429104–429120. [Google Scholar] [CrossRef]
- Yin, S.; Zhu, X. Intelligent Particle Filter and Its Application to Fault Detection of Nonlinear System. IEEE Trans. Ind. Electron. 2015, 62, 3852–3861. [Google Scholar] [CrossRef]
- Pak, J.M.; Ahn, C.K.; Shi, P.; Shmaliy, Y.S.; Lim, M.T. Distributed Hybrid Particle/FIR Filtering for Mitigating NLOS Effects in TOA-based Localization using Wireless Sensor Networks. IEEE Trans. Ind. Electron. 2017, 64, 5182–5191. [Google Scholar] [CrossRef]


AP1~AP8 are the 8 APs deployed;
is the reference point for establishing the fingerprint database; 516~521 are the laboratory room numbers for indoor positioning).
AP1~AP8 are the 8 APs deployed;
is the reference point for establishing the fingerprint database; 516~521 are the laboratory room numbers for indoor positioning).





| 0.5 m Intervals | 1.0 m Intervals | 2.0 m Intervals | |
|---|---|---|---|
| PF | 0.74 | 1.36 | 2.25 |
| GP-PF | 0.65 | 1.12 | 2.08 |
| KELM-PF | 0.52 | 1.06 | 1.87 |
| Algorithm Name | Training Time(s) | Testing Time(s) | ||
|---|---|---|---|---|
| 1.0 m Intervals | 2.0 m Intervals | 1.0 m Intervals | 2.0 m Intervals | |
| PF | —— | —— | 0.096 | 0.083 |
| GP-PF | 0.482 | 0.576 | 0.531 | 0.396 |
| KELM-PF | 0.389 | 0.365 | 0.189 | 0.136 |
Publisher’s Note: MDPI stays neutral with regard to jurisdictional claims in published maps and institutional affiliations. |
© 2022 by the authors. Licensee MDPI, Basel, Switzerland. This article is an open access article distributed under the terms and conditions of the Creative Commons Attribution (CC BY) license (https://creativecommons.org/licenses/by/4.0/).
Share and Cite
Ma, L.; Cao, N.; Feng, X.; Zhang, J.; Yan, J. Indoor Positioning Algorithm Based on Reconstructed Observation Model and Particle Filter. ISPRS Int. J. Geo-Inf. 2022, 11, 71. https://doi.org/10.3390/ijgi11010071
Ma L, Cao N, Feng X, Zhang J, Yan J. Indoor Positioning Algorithm Based on Reconstructed Observation Model and Particle Filter. ISPRS International Journal of Geo-Information. 2022; 11(1):71. https://doi.org/10.3390/ijgi11010071
Chicago/Turabian StyleMa, Li, Ning Cao, Xiaoliang Feng, Jianping Zhang, and Jingjing Yan. 2022. "Indoor Positioning Algorithm Based on Reconstructed Observation Model and Particle Filter" ISPRS International Journal of Geo-Information 11, no. 1: 71. https://doi.org/10.3390/ijgi11010071
APA StyleMa, L., Cao, N., Feng, X., Zhang, J., & Yan, J. (2022). Indoor Positioning Algorithm Based on Reconstructed Observation Model and Particle Filter. ISPRS International Journal of Geo-Information, 11(1), 71. https://doi.org/10.3390/ijgi11010071
