A Trajectory Ensemble-Compression Algorithm Based on Finite Element Method
Abstract
1. Introduction
2. Related Work
2.1. Distance-Based Compression
2.2. Gesture-Based Compression
2.3. Map-Constrained Compression
2.4. Ensemble Compression
3. Trajectory Ensemble-Compression Algorithm
3.1. Preliminary
3.2. Algorithm Description
| Algorithm 1 Ensemble-Compression |
|
Input: datas: trajectory sequence E: elastic modulus pro: poisson’s ratio density: mass density p: percentage maxit: maximum iterations tol: threshold rf: relaxation factor f: stress factor Output: sim: simplified trajectory appro: approximation range: mapping of points before and after simplification. //1.Intialization 1: ,, 2 //2.Discretization 3: 4: 5: //3.Element Analysis 6: 7: 8: //4.Semantic polymerization 9: 10: 11: 12: for i =1:length(pts) do 13: 14: 15: end for |
3.3. Discretization
3.4. Element Analysis
3.5. Semantic Polymerization
| Algorithm 2 Segmentation algorithm |
| Input: datas: trajectory sequence Output: segs: trajectory segments |
|
4. Experiment
4.1. Experimental Setup
4.2. Results
4.2.1. Comparative Study
4.2.2. Influence of Percentile and Stress Factor on Compression Ratio and Compression Rate
4.2.3. Compression Ratio and Compression Error
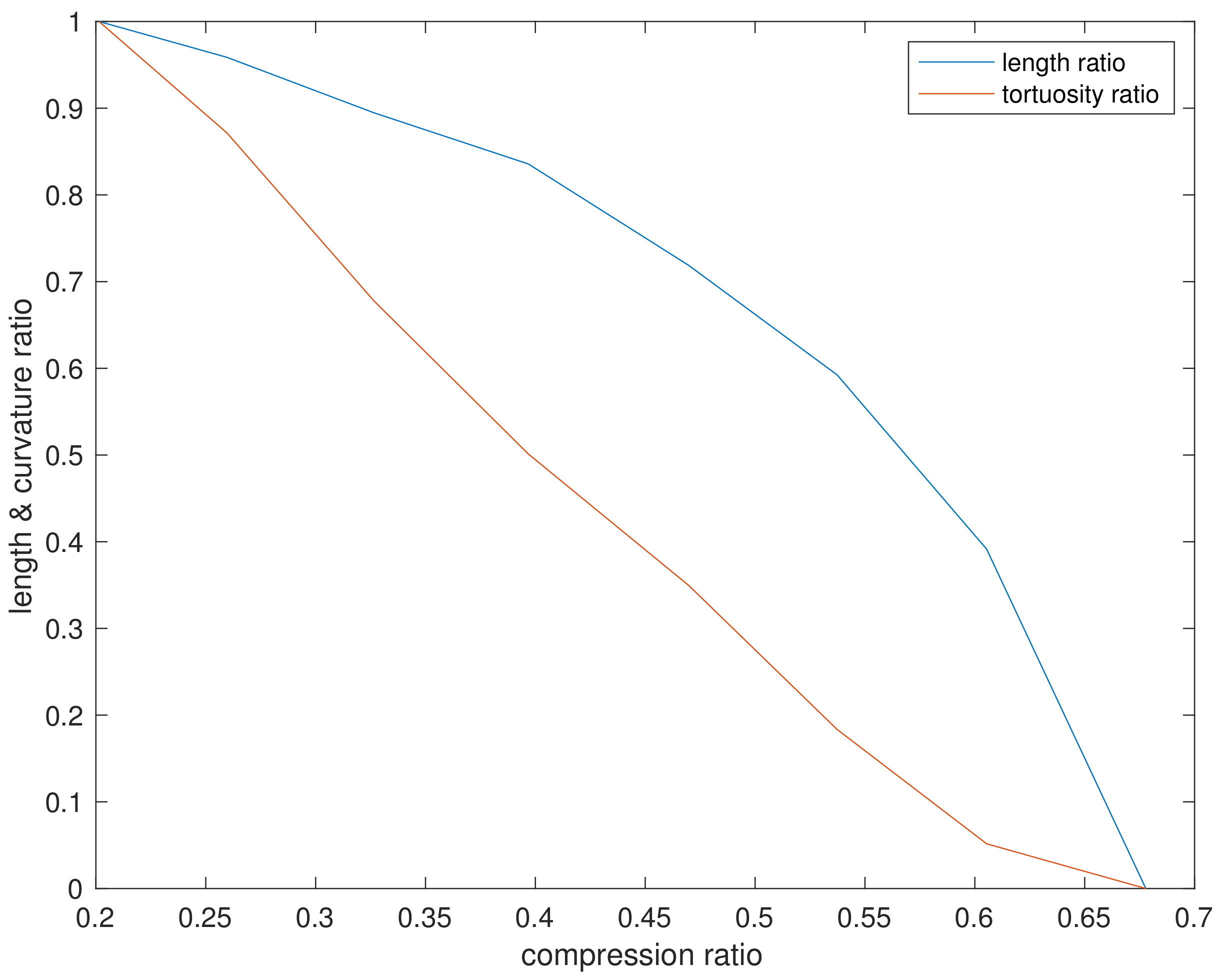
4.2.4. The Influence of Different Parameters on Other Indicators
4.2.5. Application Scenarios
5. Discussion
6. Conclusions
Author Contributions
Funding
Institutional Review Board Statement
Informed Consent Statement
Data Availability Statement
Conflicts of Interest
References
- Sadoun, B.; Al-Bayari, O. LBS and GIS Technology Combination and Applications. In Proceedings of the IEEE/ACS International Conference on Computer Systems & Applications, Amman, Jordan, 13–16 May 2007. [Google Scholar]
- Feng, Z.; Zhu, Y. A Survey on Trajectory Data Mining: Techniques and Applications. IEEE Access 2017, 4, 2056–2067. [Google Scholar] [CrossRef]
- Chen, C.; Ding, Y.; Xie, X.; Zhang, S.; Wang, Z.; Feng, L. TrajCompressor: An Online Map-matching-based Trajectory Compression Framework Leveraging Vehicle Heading Direction and Change. IEEE Trans. Intell. Transp. Syst. 2020, 21, 2012–2028. [Google Scholar] [CrossRef]
- Kellaris, G.; Pelekis, N.; Theodoridis, Y. Map-matched trajectory compression. J. Syst. Softw. 2013, 86, 1566–1579. [Google Scholar] [CrossRef]
- Zuo, Y.M.; Lin, X.L.; Shuai, M.A.; Jiang, J.H. Road Network Aware Online Trajectory Compression. J. Softw. 2018, 29, 734–755. [Google Scholar]
- Fikioris, G.; Patroumpas, K.; Artikis, A. Optimizing Vessel Trajectory Compression. In Proceedings of the 2020 21st IEEE International Conference on Mobile Data Management (MDM), Versailles, France, 30 June–3 July 2020; pp. 281–286. [Google Scholar] [CrossRef]
- Sheng, K.; Liu, Z.; Zhou, D.; He, A.; Feng, C. Research on Ship Classification Based on Trajectory Features. J. Navig. 2017, 71, 1–17. [Google Scholar] [CrossRef]
- Song, X.; Zhu, Z.L.; Gao, Y.P.; Chang, D.F. Vessel AIS Trajectory Online Compression Algorithm Combining Dynamic Thresholding and Global Optimization. Comput. Sci. 2019, 46, 333–338. [Google Scholar]
- Liu, J.; Li, H.; Yang, Z.; Wu, K.; Liu, Y.; Liu, R.W. Adaptive Douglas-Peucker Algorithm With Automatic Thresholding for AIS-Based Vessel Trajectory Compression. IEEE Access 2019, 7, 150677–150692. [Google Scholar] [CrossRef]
- Sun, P.; Xia, S.; Yuan, G.; Li, D. An Overview of Moving Object Trajectory Compression Algorithms. Math. Probl. Eng. Theory Methods Appl. 2016, 2016, 6587309.1. [Google Scholar] [CrossRef]
- Muckell, J.; Olsen, P.W.; Hwang, J.H.; Lawson, C.T.; Ravi, S.S. Compression of trajectory data: A comprehensive evaluation and new approach. Geoinformatica 2014, 18, 435–460. [Google Scholar] [CrossRef]
- Muckell, J.; Hwang, J.H.; Lawson, C.T.; Ravi, S.S. Algorithms for compressing GPS trajectory data: An empirical evaluation. ACM 2010. [Google Scholar] [CrossRef]
- Douglas, D.H.; Peucker, T.K. Algorithms for the Reduction of the number of points required to represent a digitized line or its caricature. Can. Cartogr. 2006, 10, 112–122. [Google Scholar] [CrossRef]
- Ding, Y.; Yang, X.; Kavs, A.J.; Li, J. A novel piecewise linear segmentation for time series. In Proceedings of the International Conference on Computer & Automation Engineering, Singapore, 26–28 February 2010. [Google Scholar]
- Meratnia, N.; By, R. Spatiotemporal Compression Techniques for Moving Point Objects. In Proceedings of the International Conference on Advances in Database Technology-Edbt, Heraklion, Greece, 14–18 March 2004. [Google Scholar]
- Brisaboa, N.R.; Gagie, T.; Gómezbrandón, A.; Navarro, G.; Paramá, J. Efficient Compression and Indexing of Trajectories; Springer: Cham, Switzerland, 2017. [Google Scholar]
- Lin, X.; Ma, S.; Zhang, H.; Wo, T.; Huai, J. One-Pass Error Bounded Trajectory Simplification. Proc. Vldb Endow. 2017, 10, 841–852. [Google Scholar] [CrossRef]
- Banerjee, P.; Ranu, S.; Raghavan, S. Inferring Uncertain Trajectories from Partial Observations. In Proceedings of the 2014 IEEE International Conference on Data Mining, Shenzhen, China, 14–17 December 2014. [Google Scholar]
- Keogh, E.; Chu, S.; Hart, D.; Pazzani, M. An Online Algorithm for Segmenting Time Series. In Proceedings of the 2001 IEEE International Conference on Data Mining, San Jose, CA, USA, 29 November–2 December 2002. [Google Scholar]
- Kolesnikov, A. Efficient Online Algorithms for the Polygonal Approximation of Trajectory Data. In Proceedings of the 12th IEEE International Conference on Mobile Data Management, MDM 2011, Luleå, Sweden, 6–9 June 2011; Volume 1. [Google Scholar]
- Deng, Z.; Wei, H.; Wang, L.; Ranjan, R.; Zomaya, A.Y.; Wei, J. An efficient online direction-preserving compression approach for trajectory streaming data. Future Gener. Comput. Syst. 2017, 68, 150–162. [Google Scholar] [CrossRef]
- Chen, M.; Xu, M.; FRnti, P. A Fast O(N) Multiresolution Polygonal Approximation Algorithm for GPS Trajectory Simplification. IEEE Trans. Image Process. 2012, 21, 2770–2785. [Google Scholar] [CrossRef] [PubMed]
- Liu, J.; Zhao, K.; Sommer, P.; Shang, S.; Kusy, B.; Lee, J.G.; Jurdak, R. A Novel Framework for Online Amnesic Trajectory Compression in Resource-Constrained Environments. IEEE Trans. Knowl. Data Eng. 2016, 28, 2827–2841. [Google Scholar] [CrossRef]
- Jia-Gao, W.U.; Liu, M.; Wei, G.; Liu, L.F. An Improved Trajectory Data Compression Algorithm of Sliding Window. Comput. Technol. Dev. 2015, 12, 47–51. [Google Scholar]
- Nibali, A.; He, Z. Trajic: An Effective Compression System for Trajectory Data. IEEE Trans. Knowl. Data Eng. 2015, 27, 3138–3151. [Google Scholar] [CrossRef]
- Gotsman, R.; Kanza, Y. A Dilution-matching-encoding compaction of trajectories over road networks. Geoinformatica 2015, 19, 331–364. [Google Scholar] [CrossRef]
- Zhang, D.; Ding, M.; Yang, D.; Yi, L.; Shen, H.T. Trajectory simplification: An experimental study and quality analysis. Proc. VLDB Endow. 2018, 11, 934–946. [Google Scholar] [CrossRef]
- Fazzinga, B.; Flesca, S.; Furfaro, F.; Masciari, E. RFID-data compression for supporting aggregate queries. ACM Trans. Database Syst. 2013, 38, 1–45. [Google Scholar] [CrossRef]
- Fazzinga, B.; Flesca, S.; Masciari, E.; Furfaro, F. Efficient and effective RFID data warehousing. In International Database Engineering and Applications Symposium (IDEAS 2009), 16–18, September 2009, Cetraro, Calabria, Italy; Desai, B.C., Sacc, D., Greco, S., Eds.; ACM International Conference Proceeding Series; Springer: Berlin/Heidelberg, Germany, 2009; pp. 251–258. [Google Scholar] [CrossRef]
- Long, C.; Wong, C.W.; Jagadish, H.V. Trajectory simplification: On minimizing the directionbased error. Proc. VLDB Endow. 2014, 8, 49–60. [Google Scholar] [CrossRef]
- Long, C.; Wong, C.W.; Jagadish, H.V. Direction-preserving trajectory simplification. Proc. VLDB Endow. 2013, 6, 949–960. [Google Scholar] [CrossRef]
- Ying, J.C.; Su, J.H. On Velocity-Preserving Trajectory Simplification. In Proceedings of the Asian Conference on Intelligent Information & Database Systems, Da Nang, Vietnam, 14–16 March 2016. [Google Scholar]
- Qian, H.; Lu, Y. Simplifying GPS Trajectory Data with Enhanced Spatial-Temporal Constraints. ISPRS Int. J. Geo-Inf. 2017, 6, 329. [Google Scholar] [CrossRef]
- Chen, C.; Ding, Y.; Wang, Z.; Zhao, J.; Guo, B.; Zhang, D. VTracer: When Online Vehicle Trajectory Compression Meets Mobile Edge Computing. IEEE Syst. J. 2020, 14, 1635–1646. [Google Scholar] [CrossRef]
- Liu, J.; Zhao, K.; Sommer, P.; Shang, S.; Kusy, B.; Jurdak, R. Bounded Quadrant System: Error-bounded Trajectory Compression on the Go. In Proceedings of the IEEE 31st International Conference on Data Engineering, Seoul, Korea, 13–16 April 2015. [Google Scholar]
- Birnbaum, J.; Meng, H.C.; Hwang, J.H.; Lawson, C. Similarity-Based Compression of GPS Trajectory Data. In Proceedings of the Fourth International Conference on Computing for Geospatial Research & Application, San Jose, CA, USA, 22–24 July 2013. [Google Scholar]
- Meng, Q.; Xiaoqiang, Y.U.; Liu, B.; Shao, L. A contour maintaining oriented trajectory data compression algorithm. J. Dalian Inst. Light Ind. 2018, 2, 139–145. [Google Scholar]
- Richter, K.F.; Schmid, F.; Laube, P. Semantic trajectory compression: Representing urban movement in a nutshell. J. Spat. Inf. Sci. 2012, 4, 3–30. [Google Scholar] [CrossRef]
- Dritsas, E.; Kanavos, A.; Trigka, M.; Sioutas, S.; Tsakalidis, A. Storage Efficient Trajectory Clustering and k-NN for Robust Privacy Preserving Spatio-Temporal Databases. Algorithms 2019, 12, 266. [Google Scholar] [CrossRef]
- Dtw, C. Information Retrieval for Music and Motion—Dynamic Time Warping; Springer: Berlin/Heidelberg, Germany, 2007. [Google Scholar]
- Mitchell, A.R. Finite Element Analysis and Applications; Cambridge University Press: Cambridge, UK, 2005. [Google Scholar]
- Jun-Ting, M.A.; Chen, S.Z.; Liu, H.; Zhang, J. Front Advancing Adaptive Triangular Mesh Generation Algorithm. Geogr. Geo-Inf. Sci. 2015, 31, 14–19. [Google Scholar]
- Bai, Z.Z. Modified Block SSOR Preconditioners for Symmetric Positive Definite Linear Systems. Ann. Oper. Res. 2001, 103, 263–282. [Google Scholar] [CrossRef]
- Ye, Y.; Sun, J.; Luo, J. Analyzing Spatio-Temporal Distribution Pattern and Correlation for Taxi and Metro Ridership in Shanghai. J. Shanghai Jiaotong Univ. (Sci.) 2019, 24, 137–147. [Google Scholar] [CrossRef]
- Sun, S.; Chen, Y.; Piao, Z.; Zhang, J. Vessel AIS Trajectory Online Compression based on scan-pick-move Algorithm added Sliding Window. IEEE Access 2020, 8, 109350–109359. [Google Scholar] [CrossRef]
- Zhai, J.; Li, Z.; Wu, F.; Xie, H.; Bo, Z. Quality Assessment Method for Linear Feature Simplification Based on Multi-Scale Spatial Uncertainty. ISPRS Int. J. Geo Inf. 2017, 6, 184. [Google Scholar] [CrossRef]











| Algorithm | Minimum | Average | Maximum |
|---|---|---|---|
| OVTC | 1547.65 Kbps | 8331.35 Kbps | 73,288 Kbps |
| SPM | 485.76 Kbps | 13,775.96 Kbps | 334,872.0 Kbps |
| FMT | 35.339 Kbps | 243.056 Kbps | 267.174 Kbps |
Publisher’s Note: MDPI stays neutral with regard to jurisdictional claims in published maps and institutional affiliations. |
© 2021 by the authors. Licensee MDPI, Basel, Switzerland. This article is an open access article distributed under the terms and conditions of the Creative Commons Attribution (CC BY) license (https://creativecommons.org/licenses/by/4.0/).
Share and Cite
Chen, H.; Chen, X. A Trajectory Ensemble-Compression Algorithm Based on Finite Element Method. ISPRS Int. J. Geo-Inf. 2021, 10, 334. https://doi.org/10.3390/ijgi10050334
Chen H, Chen X. A Trajectory Ensemble-Compression Algorithm Based on Finite Element Method. ISPRS International Journal of Geo-Information. 2021; 10(5):334. https://doi.org/10.3390/ijgi10050334
Chicago/Turabian StyleChen, Haibo, and Xin Chen. 2021. "A Trajectory Ensemble-Compression Algorithm Based on Finite Element Method" ISPRS International Journal of Geo-Information 10, no. 5: 334. https://doi.org/10.3390/ijgi10050334
APA StyleChen, H., & Chen, X. (2021). A Trajectory Ensemble-Compression Algorithm Based on Finite Element Method. ISPRS International Journal of Geo-Information, 10(5), 334. https://doi.org/10.3390/ijgi10050334

