Temporal and Spatial Variation of Anthropogenic Heat in the Central Urban Area: A Case Study of Guangzhou, China
Abstract
1. Introduction
2. Materials and Methods
2.1. Study Area
2.2. Data and Preprocessing
2.3. Methods
2.3.1. Inversion of the Land Surface Temperature
2.3.2. Estimating Anthropogenic Heat Flux based on the Surface Energy Balance Model
2.3.3. Transition Matrix
3. Results
3.1. Temporal and Spatial Changes of AHF
3.2. Analysis of the Transition Matrix
3.3. Spatial Migration of Gravity Center
4. Discussion
4.1. Validation of the Estimated Heat Fluxes
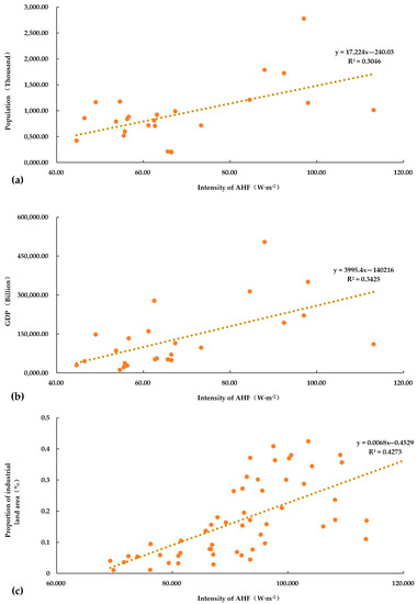
4.2. Analysis of Influencing Factors of AHF
4.3. Limitations
5. Conclusions
Author Contributions
Funding
Data Availability Statement
Acknowledgments
Conflicts of Interest
References
- Deng, J.S.; Wang, K.; Hong, Y.; Qi, J.G. Spatio-temporal dynamics and evolution of land use change and landscape pattern in response to rapid urbanization. Landsc. Urban Plan. 2009, 92, 187–198. [Google Scholar] [CrossRef]
- Zhou, Q. A review of sustainable urban drainage systems considering the climate change and urbanization impacts. Water 2014, 6, 976–992. [Google Scholar] [CrossRef]
- Santamouris, M.; Cartalis, C.; Synnefa, A.; Kolokotsa, D. On the impact of urban heat island and global warming on the power demand and electricity consumption of buildings—A review. Energy Build. 2015, 98, 119–124. [Google Scholar] [CrossRef]
- Voogt, J.A.; Oke, T.R. Thermal remote sensing of urban climates. Remote Sens. Environ. 2003, 86, 370–384. [Google Scholar] [CrossRef]
- Kikegawa, Y.; Genchi, Y.; Kondo, H.; Hanaki, K. Impacts of city-block-scale countermeasures against urban heat-island phenomena upon a building’s energy-consumption for air-conditioning. Appl. Energy 2006, 83, 649–668. [Google Scholar] [CrossRef]
- Ichinose, T.; Shimodozono, K.; Hanaki, K. Impact of anthropogenic heat on urban climate in Tokyo. Atmos. Environ. 1999, 33, 3897–3909. [Google Scholar] [CrossRef]
- Sailor, D.J.; Georgescu, M.; Milne, J.M.; Hart, M.A. Development of a national anthropogenic heating database with an extrapolation for international cities. Atmos. Environ. 2015, 118, 7–18. [Google Scholar] [CrossRef]
- Chen, S.; Hu, D. Parameterizing anthropogenic heat flux with an energy-consumption inventory and multi-source remote sensing data. Remote Sens. 2017, 9, 1165. [Google Scholar] [CrossRef]
- Pigeon, G.; Legain, D.; Durand, P.; Masson, V. Anthropogenic heat release in an old European agglomeration (Toulouse, France). Int. J. Climatol. 2007, 27, 1969–1981. [Google Scholar] [CrossRef]
- Oke, T.; Cleugh, H. Urban heat storage derived as energy balance residuals. Bound. Layer Meteorol. 1987, 39, 233–245. [Google Scholar] [CrossRef]
- Block, A.; Keuler, K.; Schaller, E. Impacts of anthropogenic heat on regional climate patterns. Geophys. Res. Lett. 2004, 31. [Google Scholar] [CrossRef]
- Sailor, D.J. A review of methods for estimating anthropogenic heat and moisture emissions in the urban environment. Int. J. Climatol. 2011, 31, 189–199. [Google Scholar] [CrossRef]
- Lee, S.-H.; Song, C.-K.; Baik, J.-J.; Park, S.-U. Estimation of anthropogenic heat emission in the Gyeong-In region of Korea. Theor. Appl. Clim. 2009, 96, 291–303. [Google Scholar] [CrossRef]
- Chow, W.T.; Salamanca, F.; Georgescu, M.; Mahalov, A.; Milne, J.M.; Ruddell, B.L. A multi-method and multi-scale approach for estimating city-wide anthropogenic heat fluxes. Atmos. Environ. 2014, 99, 64–76. [Google Scholar] [CrossRef]
- Wang, S.; Hu, D.; Yu, C.; Chen, S.; Di, Y. Mapping China’s time-series anthropogenic heat flux with inventory method and multi-source remotely sensed data. Sci. Total Environ. 2020, 139457. [Google Scholar] [CrossRef] [PubMed]
- Heiple, S.; Sailor, D.J. Using building energy simulation and geospatial modeling techniques to determine high resolution building sector energy consumption profiles. Energy Build. 2008, 40, 1426–1436. [Google Scholar] [CrossRef]
- Christen, A.; Vogt, R. Energy and radiation balance of a central European city. Int. J. Climatol. 2004, 24, 1395–1421. [Google Scholar] [CrossRef]
- Oke, T.R. The urban energy balance. Prog. Phys. Geogr. 1988, 12, 471–508. [Google Scholar] [CrossRef]
- Kato, S.; Yamaguchi, Y. Analysis of urban heat-island effect using ASTER and ETM+ Data: Separation of anthropogenic heat discharge and natural heat radiation from sensible heat flux. Remote Sens. Environ. 2005, 99, 44–54. [Google Scholar] [CrossRef]
- Zhou, Y.; Weng, Q.; Gurney, K.R.; Shuai, Y.; Hu, X. Estimation of the relationship between remotely sensed anthropogenic heat discharge and building energy use. Isprs J. Photogramm. Remote Sens. 2012, 67, 65–72. [Google Scholar] [CrossRef]
- Wong, M.S.; Yang, J.; Nichol, J.; Weng, Q.; Menenti, M.; Chan, P.W. Modeling of anthropogenic heat flux using HJ-1B Chinese small satellite image: A study of heterogeneous urbanized areas in Hong Kong. IEEE Geosci. Remote Sens. Lett. 2015, 12, 1466–1470. [Google Scholar] [CrossRef]
- Hu, D.; Yang, L.; Zhou, J.; Deng, L. Estimation of urban energy heat flux and anthropogenic heat discharge using aster image and meteorological data: Case study in Beijing metropolitan area. J. Appl. Remote Sens. 2012, 6, 063559. [Google Scholar] [CrossRef]
- Dong, Y.; Varquez, A.; Kanda, M. Global anthropogenic heat flux database with high spatial resolution. Atmos. Environ. 2017, 150, 276–294. [Google Scholar] [CrossRef]
- Chen, B.; Wu, C.; Liu, X.; Chen, L.; Wu, J.; Yang, H.; Luo, T.; Wu, X.; Jiang, Y.; Jiang, L. Seasonal climatic effects and feedbacks of anthropogenic heat release due to global energy consumption with CAM5. Climate Dyn. 2019, 52, 6377–6390. [Google Scholar] [CrossRef]
- Smith, C.; Lindley, S.; Levermore, G. Estimating spatial and temporal patterns of urban anthropogenic heat fluxes for UK cities: The case of Manchester. Theor. Appl. Clim. 2009, 98, 19–35. [Google Scholar] [CrossRef]
- ICHINOSE, T.; HANAKI, K.; MATSUO, T. Analyses on geographical distribution of urban anthropogenic heat based on very precise geographical information. Environ. Eng. Res. 1994, 31, 263–273. [Google Scholar]
- He, C.; Zhou, L.; Yao, Y.; Ma, W.; Kinney, P.L. Estimating temporal-spatial effects of anthropogenic heat emissions upon the urban thermal environment in an urban agglomeration area in East China. Sustain. Cities Soc. 2020, 102046. [Google Scholar] [CrossRef]
- Chen, Q.; Yang, X.; Ouyang, Z.; Zhao, N.; Jiang, Q.; Ye, T.; Qi, J.; Yue, W. Estimation of anthropogenic heat emissions in China using Cubist with points-of-interest and multisource remote sensing data. Environ. Pollut. 2020, 266, 115183. [Google Scholar] [CrossRef] [PubMed]
- Lu, Y.; Wang, Q.g.; Zhang, Y.; Sun, P.; Qian, Y. An estimate of anthropogenic heat emissions in China. Int. J. Clim. 2016, 36, 1134–1142. [Google Scholar] [CrossRef]
- Cao, Z.; Wu, Z.; Liu, L.; Chen, Y.; Zou, Y. Assessing the relationship between anthropogenic heat release warming and building characteristics in Guangzhou: A sustainable development perspective. Sci. Total Environ. 2019, 695, 133759. [Google Scholar] [CrossRef] [PubMed]
- Flanner, M.G. Integrating anthropogenic heat flux with global climate models. Geophys. Res. Lett. 2009, 36, 36. [Google Scholar] [CrossRef]
- Sailor, D.J.; Lu, L. A top–down methodology for developing diurnal and seasonal anthropogenic heating profiles for urban areas. Atmos. Environ. 2004, 38, 2737–2748. [Google Scholar] [CrossRef]
- Schwarz, N.; Schlink, U.; Franck, U.; Großmann, K. Relationship of land surface and air temperatures and its implications for quantifying urban heat island indicators—An application for the city of Leipzig (Germany). Ecol. Indic. 2012, 18, 693–704. [Google Scholar] [CrossRef]
- Connors, J.P.; Galletti, C.S.; Chow, W.T. Landscape configuration and urban heat island effects: Assessing the relationship between landscape characteristics and land surface temperature in Phoenix, Arizona. Landsc. Ecol. 2013, 28, 271–283. [Google Scholar] [CrossRef]
- Sobrino, J.A.; Jiménez-Muñoz, J.C.; Paolini, L. Land surface temperature retrieval from LANDSAT TM 5. Remote. Sens. Environ. 2004, 90, 434–440. [Google Scholar] [CrossRef]
- Gu, J.; Pei, L. Retrieval of Chlorophyll Content and Temperature in Taihu Based on Landsat 8-OLI/TIRS and HJ-1B. Geomat. Spat. Inf. Technol. 2017, 40, 146–151, 156. (In Chinese) [Google Scholar]
- Liang, S. Narrowband to broadband conversions of land surface albedo I: Algorithms. Remote Sens. Environ. 2001, 76, 213–238. [Google Scholar] [CrossRef]
- Kato, S.; Yamaguchi, Y. Estimation of storage heat flux in an urban area using ASTER data. Remote Sens. Environ. 2007, 110, 1–17. [Google Scholar] [CrossRef]
- Liu, J.; Zhao, X.; Lin, J. Analysis of anthropogenic heat discharge of urban functional regions based on surface energy balance in Xiamen Island. J. Geo-Inf. Sci. 2018, 20, 1026–1036. (In Chinese) [Google Scholar] [CrossRef]
- Kelliher, F.M.; Leuning, R.; Raupach, M.; Schulze, E.-D. Maximum conductances for evaporation from global vegetation types. Agric. For. Meteorol. 1995, 73, 1–16. [Google Scholar] [CrossRef]
- Noilhan, J.a.; Lacarrere, P. GCM grid-scale evaporation from mesoscale modeling. J. Clim. 1995, 8, 206–223. [Google Scholar] [CrossRef]
- Fan, F.; Fan, W. Understanding spatial-temporal urban expansion pattern (1990–2009) using impervious surface data and landscape indexes: A case study in Guangzhou (China). J. Appl. Remote. Sens. 2014, 8, 083609. [Google Scholar] [CrossRef]
- Xu, J.; Zhao, Y.; Zhong, K.; Zhang, F.; Liu, X.; Sun, C. Measuring spatio-temporal dynamics of impervious surface in Guangzhou, China, from 1988 to 2015, using time-series Landsat imagery. Sci. Total Environ. 2018, 627, 264–281. [Google Scholar] [CrossRef] [PubMed]
- Liu, Y.; Shintaro, G.; Zhuang, D.; Kuang, W. Urban surface heat fluxes infrared remote sensing inversion and their relationship with land use types. J. Geogr. Sci. 2012, 22, 699–715. [Google Scholar] [CrossRef]
- Yao, Y.; Liu, X.; Li, X.; Zhang, J.; Liang, Z.; Mai, K.; Zhang, Y. Mapping fine-scale population distributions at the building level by integrating multisource geospatial big data. Int. J. Geogr. Inf. Sci. 2017, 31, 1220–1244. [Google Scholar] [CrossRef]
- Li, L.; Sato, Y.; Zhu, H. Simulating spatial urban expansion based on a physical process. Landsc. Urban Plan. 2003, 64, 67–76. [Google Scholar] [CrossRef]
- Xie, M.; Zhu, G.; Wang, T.; Feng, W.; Zhu, X.; Chen, F.; Ouyang, Y.; Liu, Z. Study on the distribution of anthropogenic heat flux over China. China Environ. Sci. 2015, 35, 728–734. (In Chinese) [Google Scholar]
- Varquez, A.C.G.; Kiyomoto, S.; Khanh, D.N.; Kanda, M. Global 1-km present and future hourly anthropogenic heat flux. Sci. Data 2021, 8, 64. [Google Scholar] [CrossRef]
- Jin, K.; Wang, F.; Chen, D.; Liu, H.; Ding, W.; Shi, S. A new global gridded anthropogenic heat flux dataset with high spatial resolution and long-term time series. Sci. Data 2019, 6, 139. [Google Scholar] [CrossRef] [PubMed]







| Path | Row | Satellite | Sensor | Date | Spatial Resolution | Cloud-Cover (%) |
|---|---|---|---|---|---|---|
| 122 | 044 | Landsat5 | TM | 2004/1/21 | 30 m (multispectral) 120 (infrared) | 2.64 |
| 2009/1/2 | 0.49 | |||||
| 122 | 044 | Landsat8 | OLI/TRS | 2014/1/16 | 30 m (multispectral) 100 m (infrared) | 1.62 |
| 2020/2/18 | 0.05 |
| Date | Meteorological Data | |||||
|---|---|---|---|---|---|---|
| Atmospheric Temperature (°C) | Vapor Pressure (hPa) | Saturated Vapor Pressure (F) | Wind Speed (m/s) | Air Density (kg/m3) | Total Solar Radiation (W/m2) | |
| 2004/1/21 | 7.0 | 6.0 | 12.25 | 4.1 | 1.248 | 896 |
| 2009/1/2 | 11.8 | 4.6 | 17.01 | 2.7 | 1.226 | 681 |
| 2014/1/16 | 9.4 | 8.1 | 19.32 | 4.9 | 1.217 | 863 |
| 2020/2/18 | 10.7 | 6.9 | 19.32 | 4.9 | 1.201 | 863 |
| Parameter | Cultivated Land | Forest Land | Grassland | Water | Construction Land | Bare Soil |
|---|---|---|---|---|---|---|
| 0.3 | 0.13 | 0.3 | 0.9 | 0.2 | 0.3 | |
| (m) | 0.1 | 0.3 | 0.1 | 0.33 | 0.00003 | 0.001 |
| (m) | 0.001 | 0.0003 | 0.001 | 0.0033 | 0.000088 | 0.00002 |
| d (m) | 0.1 | 1.5 | 0.1 | 0.05 | 1.66 | 0.05 |
| Date | Average Value (W/m2) | Main Distribution Range (W/m2) | Max Value (W/m2) |
|---|---|---|---|
| 2004-01-21 | 53.91 | 32.70–90.00 | 245.71 |
| 2009-01-02 | 59.26 | 33.30–97.20 | 245.5 |
| 2014-01-16 | 62.26 | 30.10–105.20 | 228.90 |
| 2020-02-18 | 96.28 | 52.70–131.60 | 397.95 |
| Type | AHD | AHS | AHI | AHIS |
|---|---|---|---|---|
| Area (km2) | 4.58 | 77.54 | 323.44 | 231.7 |
| Percentage (%) | 0.31 | 5.27 | 21.99 | 15.75 |
| Type | 2004 | 2009 | 2014 | 2020 | Area Change from 2004 to 2020 (km2) | ||||
|---|---|---|---|---|---|---|---|---|---|
| Area (km2) | Percentage (%) | Area (km2) | Percentage (%) | Area (km2) | Percentage (%) | Area (km2) | Percentage (%) | ||
| Zero-AHF zone | 936.99 | 63.70% | 865.9 | 58.86% | 838.93 | 57.03% | 833.93 | 56.69% | −103.06 |
| Low-AHF zone | 527.3 | 35.85% | 597.36 | 40.61% | 601.09 | 40.86% | 390.68 | 26.56% | −136.62 |
| Medium-AHF zone | 6.72 | 0.46% | 7.7 | 0.52% | 28.41 | 1.93% | 242.37 | 16.48% | 235.65 |
| High-AHF zone | 0.02 | 0.00% | 0.08 | 0.01% | 2.61 | 0.18% | 4.07 | 0.28% | 4.05 |
| Type | 2020 | Total 2004 | |||||
|---|---|---|---|---|---|---|---|
| Zero-AHF Zone | Low-AHF Zone | Medium-AHF Zone | High-AHF Zone | ||||
| 2004 | Zero-AHF zone | Area (km2) | 804.80 | 78.80 | 52.22 | 1.16 | 936.99 |
| Percentage in 2004 (%) | 85.89 | 8.41 | 5.57 | 0.12 | 100 | ||
| Percentage in 2020 (%) | 96.51 | 20.17 | 21.55 | 28.58 | |||
| Low-AHF zone | Area (km2) | 28.94 | 310.26 | 185.41 | 2.72 | 527.30 | |
| Percentage in 2004 (%) | 5.49 | 58.84 | 35.16 | 0.52 | 100 | ||
| Percentage in 2020 (%) | 3.47 | 79.41 | 76.50 | 66.81 | |||
| Medium-AHF zone | Area (km2) | 0.2 | 1.63 | 4.74 | 0.18 | 6.72 | |
| Percentage in 2004 (%) | 2.93 | 24.15 | 70.29 | 2.63 | 100 | ||
| Percentage in 2020 (%) | 0.02 | 0.42 | 1.95 | 4.34 | |||
| High-AHF zone | Area (km2) | 0.00 | 0.00 | 0.01 | 0.01 | 0.02 | |
| Percentage in 2004 (%) | 0.00 | 6.06 | 38.97 | 54.97 | 100 | ||
| Percentage in 2020 (%) | 0.00 | 0.00 | 0.00 | 0.27 | |||
| Total percentage in 2020 (%) | 100 | 100 | 100 | 100 | |||
| Total 2020 (km2) | 833.93 | 390.68 | 242.37 | 4.07 | 1471.04 | ||
| Type | Migration Distance (km) | |||
|---|---|---|---|---|
| 2004–2009 | 2009–2014 | 2014–2020 | 2004–2020 | |
| Low-AHF | 0.32 | 0.59 | 0.55 | 1.31 |
| Medium-AHF | 3.26 | 5.3 | 5.7 | 13.19 |
| High-AHF | 2.31 | 12.2 | 16.24 | 19.06 |
| Study Area | Data | H/Rn | L/Rn | |
|---|---|---|---|---|
| Present study | Guangzhou, China | 2004/1/21 | 0.16 | 0.03 |
| 2009/1/2 | 0.19 | 0.09 | ||
| 2014/1/16 | 0.10 | 0.08 | ||
| 2020/2/18 | 0.11 | 0.07 | ||
| Kato et al. (2005) | Nagoya, Japan | 2000/12/8 | 0.46 | 0.02 |
| Moriwaki et al. (2004) | Tokyo, Japan | 2002/1/- | 0.36 | 0.10 |
| 2002/2/- | 0.4 | 0.07 | ||
| Kato et al. (2007) | Nagoya, Japan | 2004/2/2 | 0.08 | 0.00 |
| Liu et al. (2018) | Xiamen Island, China | 2009/3/18 | 0.25 | 0.01 |
Publisher’s Note: MDPI stays neutral with regard to jurisdictional claims in published maps and institutional affiliations. |
© 2021 by the authors. Licensee MDPI, Basel, Switzerland. This article is an open access article distributed under the terms and conditions of the Creative Commons Attribution (CC BY) license (http://creativecommons.org/licenses/by/4.0/).
Share and Cite
Peng, T.; Sun, C.; Feng, S.; Zhang, Y.; Fan, F. Temporal and Spatial Variation of Anthropogenic Heat in the Central Urban Area: A Case Study of Guangzhou, China. ISPRS Int. J. Geo-Inf. 2021, 10, 160. https://doi.org/10.3390/ijgi10030160
Peng T, Sun C, Feng S, Zhang Y, Fan F. Temporal and Spatial Variation of Anthropogenic Heat in the Central Urban Area: A Case Study of Guangzhou, China. ISPRS International Journal of Geo-Information. 2021; 10(3):160. https://doi.org/10.3390/ijgi10030160
Chicago/Turabian StylePeng, Ting, Caige Sun, Shanshan Feng, Yongdong Zhang, and Fenglei Fan. 2021. "Temporal and Spatial Variation of Anthropogenic Heat in the Central Urban Area: A Case Study of Guangzhou, China" ISPRS International Journal of Geo-Information 10, no. 3: 160. https://doi.org/10.3390/ijgi10030160
APA StylePeng, T., Sun, C., Feng, S., Zhang, Y., & Fan, F. (2021). Temporal and Spatial Variation of Anthropogenic Heat in the Central Urban Area: A Case Study of Guangzhou, China. ISPRS International Journal of Geo-Information, 10(3), 160. https://doi.org/10.3390/ijgi10030160

