A Data-Driven Quasi-Dynamic Traffic Assignment Model Integrating Multi-Source Traffic Sensor Data on the Expressway Network
Abstract
1. Introduction
- We propose a data-driven quasi-dynamic traffic assignment model (DQ-DTA). This approach is capable of realizing traffic assignment with low computational efficiency, in the same way as traditional STA models, but can achieve higher assignment accuracy in the large-scale expressway network context.
- Utilizing fine-grained temporal segmentation, a dynamic link cost calculation method, named DLC, designed to calculate the dynamic link cost through the use of GPS trajectory data to express the time-dependent link cost. The direct cost expression adequately reflects dynamic traffic congestion and improves the accuracy of link travel cost.
- To model the multipath choice of travelers, a multipath assignment method based on statistical probability (named MSP) is proposed to accurately capture user path choices from historical travel records. It uses massive amounts of travel history data to generate the statistical probability of selected path choices, and thereby achieves more realistic path assignment when compared with pure mathematical logit models.
- We conduct extensive experiments on a real large-scale expressway network. Our experimental results show that the DQ-DTA model can achieve about 6% higher accuracy than the classical STA models.
2. Materials
2.1. The Expressway Network
2.2. The Travel Toll Records
2.3. Real-Time Surveillance Data
2.4. The GPS Trajectory Dataset
3. Methods
3.1. Dynamic Link Cost Calculation
3.2. Multipath Assignment Based on Statistical Probability
4. Results and Discussion
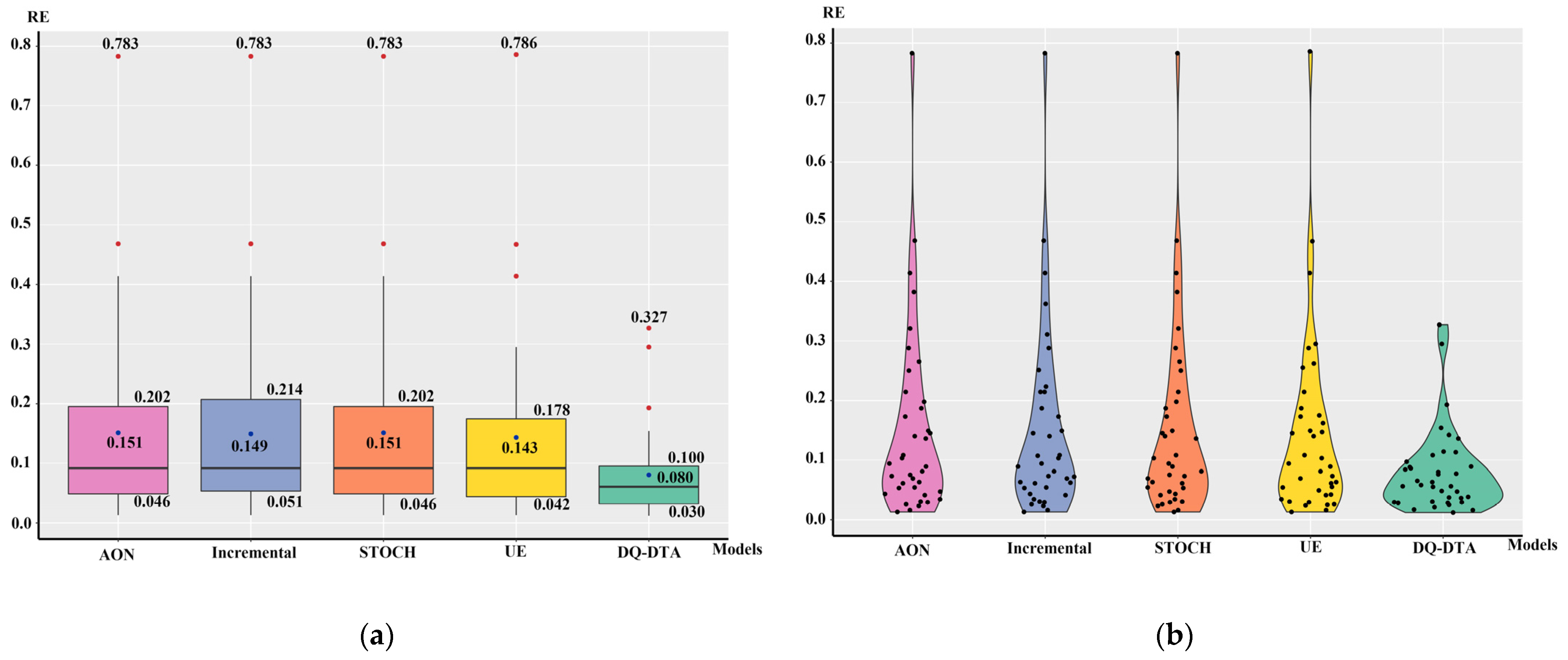
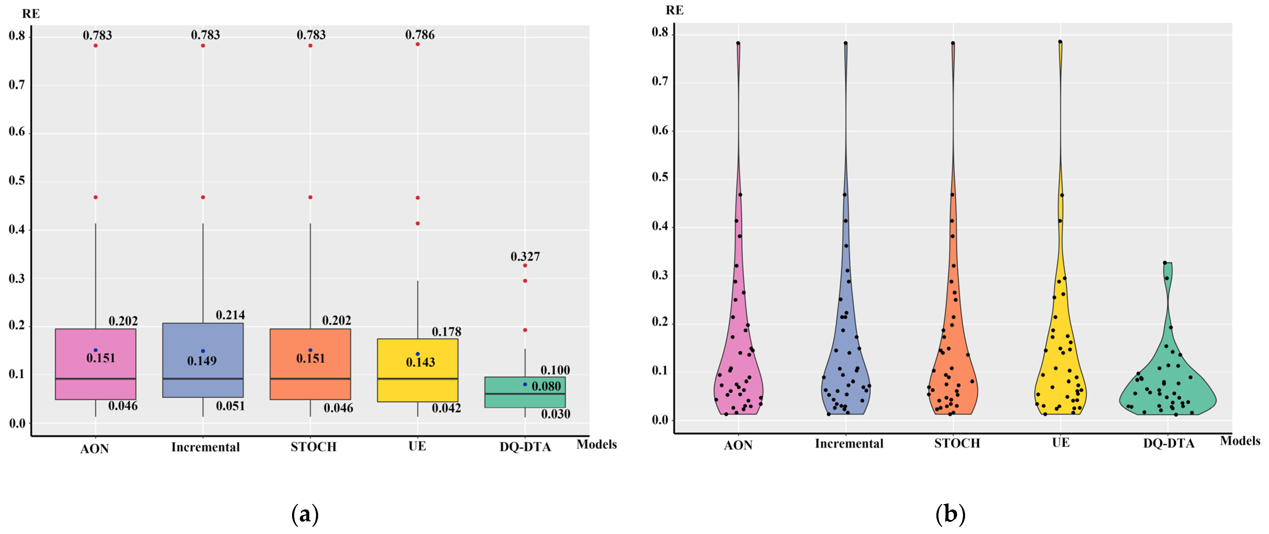
4.1. Performance Comparison with Classical STA Models
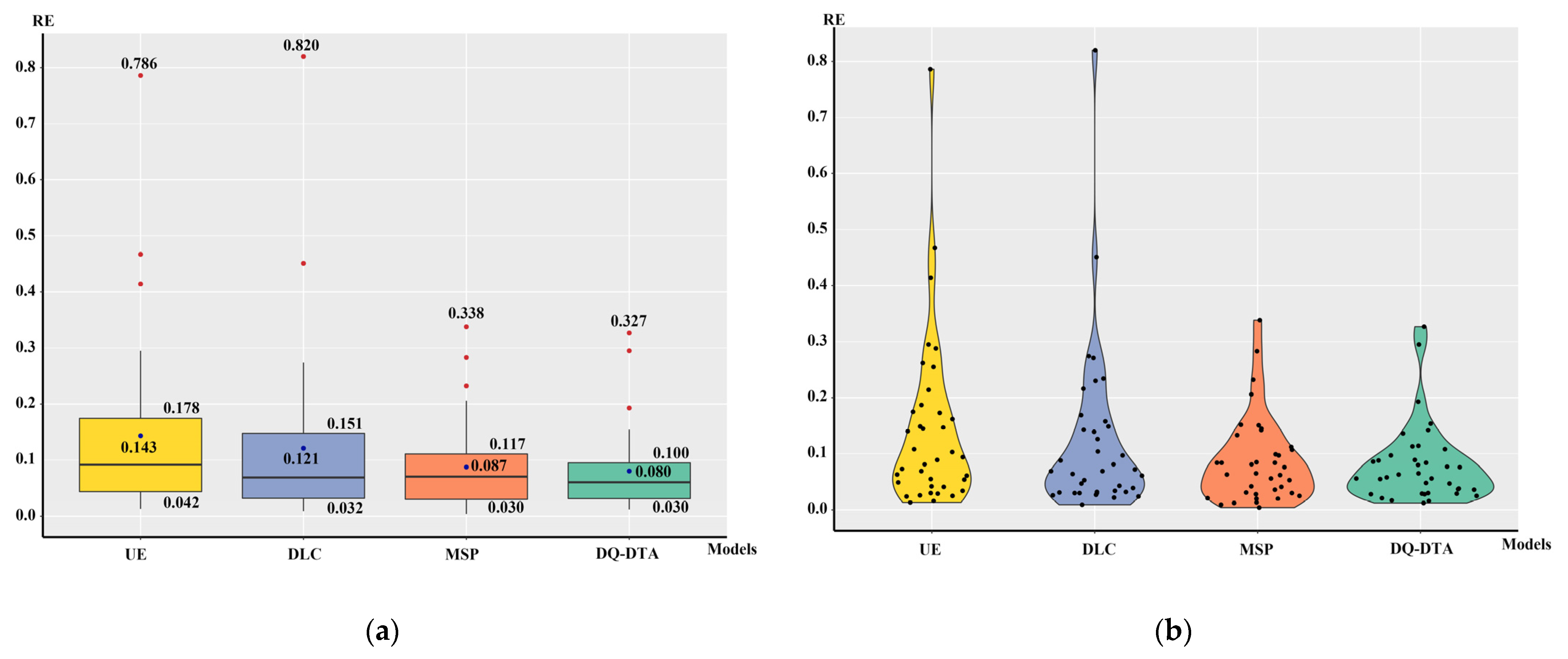
4.2. Ablation Study on the DQ-DTA
4.3. Sensitivity Analysis
5. Conclusions
- Our proposed approach only considers the time cost from traffic congestion during the link cost update. Other factors influencing travel costs, e.g., toll fees [7], weather conditions, and differences between week days/weekends should also be considered later.
- This model is currently applied only to the closed expressway networks. We will further apply our model into urban road networks, in which the openness of the road topology and signal light control [46,47] would increase the difficulty of both travel demand estimation and travel-time cost calculation. In addition, the complexity of road topological structure will also increase the computational complexity of traffic assignment models.
- With the development of the Internet of Things, other complex data-driven methods (e.g., deep learning) can be explored to address traffic assignment problems.
Author Contributions
Funding
Informed Consent Statement
Data Availability Statement
Conflicts of Interest
References
- Nakayama, S.I.; Takayama, J.I.; Nakai, J.; Nagao, K. Semi-dynamic traffic assignment model with mode and route hoices under stochastic travel times. J. Adv. Transp. 2012, 46, 269–281. [Google Scholar] [CrossRef]
- Bliemer, M.C.; Raadsen, M.P.; Smits, E.-S.; Zhou, B.; Bell, M.G. Quasi-dynamic traffic assignment with residual point queues incorporating a first order node model. Transp. Res. Part B Methodol. 2014, 68, 363–384. [Google Scholar] [CrossRef]
- Tajtehranifard, H.; Bhaskar, A.; Nassir, N.; Haque, M.M.; Chung, E. A path marginal cost approximation algorithm for system optimal quasi-dynamic traffic assignment. Transp. Res. Part C Emerg. Technol. 2018, 88, 91–106. [Google Scholar] [CrossRef]
- Smith, M.; Huang, W.; Viti, F.; Tampère, C.M.; Lo, H.K. Quasi-dynamic traffic assignment with spatial queueing, control and blocking back. Transp. Res. Part B Methodol. 2019, 122, 140–166. [Google Scholar] [CrossRef]
- Jayakrishnan, R.; Tsai, W.K.; Chen, A. A dynamic traffic assignment model with traffic-flow relationships. Transp. Res. Part C Emerg. Technol. 1995, 3, 51–72. [Google Scholar] [CrossRef]
- Dijkstra, E.W. A note on two problems in connexion with graphs. Numer. Math. 1959, 1, 269–271. [Google Scholar] [CrossRef]
- Lee, E.; Oduor, P.G. Using multi-attribute decision factors for a modified all-or-nothing traffic assignment. Isprs Int. J. Geo-Inf. 2015, 4, 883–899. [Google Scholar] [CrossRef]
- Ferland, J.A.; Florian, M.; Achim, C. On incremental methods for traffic assignment. Transp. Res. 1975, 9, 237–239. [Google Scholar] [CrossRef]
- Flötteröd, G.; Rohde, J. Operational macroscopic modeling of complex urban road intersections. Transp. Res. Part B Methodol. 2011, 45, 903–922. [Google Scholar] [CrossRef]
- Irwin, N.; Dodd, N.; Von Cube, H. Capacity restraint in assignment programs. Highw. Res. Board Bull. 1961, 297, 109–127. [Google Scholar]
- Dial, R.B. A probabilistic multipath traffic assignment model which obviates path enumeration. Transp. Res. 1971, 5, 83–111. [Google Scholar] [CrossRef]
- Florian, M.; Fox, B. On the probabilistic origin of dial’s multipath traffic assignment model. Transp. Res. 1976, 10, 339–341. [Google Scholar] [CrossRef]
- Wardrop, J.G. Road paper. Some theoretical aspects of road traffic research. Proc. Inst. Civ. Eng. 1952, 1, 325–362. [Google Scholar] [CrossRef]
- Brederode, L.; Pel, A.; Wismans, L.; de Romph, E.; Hoogendoorn, S. Static traffic assignment with queuing: Model properties and applications. Transp. A: Transp. Sci. 2019, 15, 179–214. [Google Scholar] [CrossRef]
- Flügel, S.; Flötteröd, G. Traffic assignment for strategic urban transport model systems. In Proceedings of the ITEA Conference, Oslo, Norway, 15–19 June 2015. [Google Scholar]
- Marshall, N.L. Forecasting the impossible: The status quo of estimating traffic flows with static traffic assignment and the future of dynamic traffic assignment. Res. Transp. Bus. Manag. 2018, 29, 85–92. [Google Scholar] [CrossRef]
- Systematics, C. Travel Demand Forecasting: Parameters and Techniques; Transportation Research Board: Washington, DC, USA, 2012; Volume 716. [Google Scholar]
- Saw, K.; Katti, B.; Joshi, G. Literature review of traffic assignment: Static and dynamic. Int. J. Transp. Eng. 2015, 2, 339–347. [Google Scholar]
- Han, L.; Sun, H.; Wang, D.Z.; Zhu, C. A stochastic process traffic assignment model considering stochastic traffic demand. Transp. B Transp. Dyn. 2018, 6, 169–189. [Google Scholar] [CrossRef]
- Cascetta, E.; Nuzzolo, A.; Russo, F.; Vitetta, A. A modified logit route choice model overcoming path overlapping problems. Specification and some calibration results for interurban networks. In Proceedings of the 13th International Symposium on Transportation And Traffic Theory, Lyon, France, 24–26 July 1996. [Google Scholar]
- Cascetta, E.; Russo, F.; Viola, F.A.; Vitetta, A. A model of route perception in urban road networks. Transp. Res. Part B Methodol. 2002, 36, 577–592. [Google Scholar] [CrossRef]
- Bovy, P.H.; Bekhor, S.; Prato, C.G. The factor of revisited path size: Alternative derivation. Transp. Res. Rec. 2008, 2076, 132–140. [Google Scholar] [CrossRef]
- Vitetta, A. A quantum utility model for route choice in transport systems. Travel Behav. Soc. 2016, 3, 29–37. [Google Scholar] [CrossRef]
- Li, C.; Anavatti, S.G.; Ray, T. A path-based solution algorithm for dynamic traffic assignment. Netw. Spat. Econ. 2017, 17, 841–860. [Google Scholar] [CrossRef]
- Hu, T.Y.; Tong, C.C.; Liao, T.Y.; Chen, L.W. Dynamic route choice behaviour and simulation-based dynamic traffic assignment model for mixed traffic flows. Ksce J. Civ. Eng. 2018, 22, 813–822. [Google Scholar] [CrossRef]
- Zhang, L.; Liu, J.; Yu, B.; Chen, G. A dynamic traffic assignment method based on connected transportation system. IEEE Access 2019, 7, 65679–65692. [Google Scholar] [CrossRef]
- Javani, B.; Babazadeh, A.; Ceder, A. Path-based capacity-restrained dynamic traffic assignment algorithm. Transp. B Transp. Dyn. 2019, 7, 741–764. [Google Scholar] [CrossRef]
- Peeta, S.; Ziliaskopoulos, A.K. Foundations of dynamic traffic assignment: The past, the present and the future. Netw. Spat. Econ. 2001, 1, 233–265. [Google Scholar] [CrossRef]
- Szeto, W.; Lo, H.K. Dynamic traffic assignment: Properties and extensions. Transportmetrica 2006, 2, 31–52. [Google Scholar] [CrossRef]
- Chiu, Y.; Bottom, J.; Mahut, M.; Paz, A.; Balakrishna, R.; Waller, T.; Hicks, J. Transportation Research Circular e-c153: Dynamic Traffic Assignment: A Primer; Transportation Research Board of the National Academies: Washington, DC, USA, 2011. [Google Scholar]
- Huang, W.; Song, G.; Hong, H.; Xie, K. Deep architecture for traffic flow prediction: Deep belief networks with multitask learning. IEEE Trans. Intell. Transp. Syst. 2014, 15, 2191–2201. [Google Scholar] [CrossRef]
- Lv, Y.; Duan, Y.; Kang, W.; Li, Z.; Wang, F. Traffic flow prediction with big data: A deep learning approach. IEEE Trans. Intell. Transp. Syst. 2014, 16, 865–873. [Google Scholar] [CrossRef]
- Chao, K.H.; Chen, P.Y. An intelligent traffic flow control system based on radio frequency identification and wireless sensor networks. Int. J. Distrib. Sens. Netw. 2014, 10, 694545. [Google Scholar] [CrossRef]
- Xia, Y.; Shi, X.; Song, G.; Geng, Q.; Liu, Y. Towards improving quality of video-based vehicle counting method for traffic flow estimation. Signal Process. 2016, 120, 672–681. [Google Scholar] [CrossRef]
- Heilmann, B.; El Faouzi, N.E.; de Mouzon, O.; Hainitz, N.; Koller, H.; Bauer, D.; Antoniou, C. Predicting motorway traffic performance by data fusion of local sensor data and electronic toll collection data. Comput. Aided Civ. Infrastruct. Eng. 2011, 26, 451–463. [Google Scholar] [CrossRef]
- Wang, P.; Lai, J.; Huang, Z.; Tan, Q.; Lin, T. Estimating traffic flow in large road networks based on multi-source traffic data. IEEE Trans. Intell. Transp. Syst. 2020. [Google Scholar] [CrossRef]
- Anda, C.; Erath, A.; Fourie, P.J. Transport modelling in the age of big data. Int. J. Urban Sci. 2017, 21, 19–42. [Google Scholar] [CrossRef]
- Cascetta, E. Transportation Systems Analysis: Models and applications; Springer Science & Business Media: New York, NY, USA, 2009; Volume 29. [Google Scholar]
- Croce, A.I.; Musolino, G.; Rindone, C.; Vitetta, A. Sustainable mobility and energy resources: A quantitative assessment of transport services with electrical vehicles. Renew. Sustain. Energy Rev. 2019, 113, 109236. [Google Scholar] [CrossRef]
- Nie, Y.M.; Zhang, H.M. A variational inequality formulation for inferring dynamic origin–destination travel demands. Transp. Res. Part B Methodol. 2008, 42, 635–662. [Google Scholar] [CrossRef]
- Kim, J.; Kurauchi, F.; Uno, N.; Hagihara, T.; Daito, T. Using electronic toll collection data to understand traffic demand. J. Intell. Transp. Syst. 2014, 18, 190–203. [Google Scholar] [CrossRef]
- Lu, Z.; Meng, Q.; Gomes, G. Estimating link travel time functions for heterogeneous traffic flows on freeways. J. Adv. Transp. 2016, 50, 1683–1698. [Google Scholar] [CrossRef]
- Li, X.; Kurths, J.; Gao, C.; Zhang, J.; Wang, Z.; Zhang, Z. A hybrid algorithm for estimating origin-destination flows. IEEE Access 2017, 6, 677–687. [Google Scholar] [CrossRef]
- Nie, L.; Li, Y.; Kong, X. Spatio-temporal network traffic estimation and anomaly detection based on convolutional neural network in vehicular ad-hoc networks. IEEE Access 2018, 6, 40168–40176. [Google Scholar] [CrossRef]
- Lou, Y.; Zhang, C.; Zheng, Y.; Xie, X.; Wang, W.; Huang, Y. Map-matching for low-sampling-rate gps trajectories. In Proceedings of the 17th ACM SIGSPATIAL International Conference on Advances in Geographic Information Systems, Seattle, WA, USA, 4 November 2009; pp. 352–361. [Google Scholar]
- Webster, F.V. Traffic Signal Settings; Transportation Research Board: Washington, DC, USA, 1958. [Google Scholar]
- Akcelik, R. Traffic Signals: Capacity and Timing Analysis; Transportation Research Board: Washington, DC, USA, 1981. [Google Scholar]











| Vehicle ID | Entry Site Code | Exit Site Code | Entry Time | Exit Time | Class |
|---|---|---|---|---|---|
| Vid_1 | 304 | 306 | 20180101200937 | 20180101204512 | 1 |
| Vid_2 | 5130 | 6203 | 20180101130836 | 20180101152314 | 2 |
| Vid_3 | 305 | 304 | 20180101100547 | 20180101120529 | 1 |
| Vehicle ID | Site Code | Recorded Time | Direction |
|---|---|---|---|
| Vid_1 | 506 | 20180101201625 | E |
| Vid_2 | 831 | 20180101143254 | W |
| Vid_3 | 1281 | 20180101105526 | E |
| Link | Direction | Travel Time Vector |
|---|---|---|
| E(a, b) | a–b | (T1, T2, ……, Tl) |
| b–a | (T’1,T’2, ……, T’l) |
| OD Pair | Class | LPR Point | Nodes of Edge | Path | Count | Probability |
|---|---|---|---|---|---|---|
| (r, s) | A | S1 | a, b | r, a, b, s | 500 | 0.25 |
| S1, S2 | a, b, c, d | r, a, b, c, d, s | 1000 | 0.5 | ||
| S3 | e, f | r, e, f, s | 500 | 0.25 |
| OD Pair | Class | LPR Point | Count | Path | Restoration Count | Probability |
|---|---|---|---|---|---|---|
| (r, s) | A | N/A | 500 | r, a, b, s | 125 | 0.25 |
| r, a, b, c, d, s | 250 | 0.5 | ||||
| r, e, f, s | 125 | 0.25 |
Publisher’s Note: MDPI stays neutral with regard to jurisdictional claims in published maps and institutional affiliations. |
© 2021 by the authors. Licensee MDPI, Basel, Switzerland. This article is an open access article distributed under the terms and conditions of the Creative Commons Attribution (CC BY) license (http://creativecommons.org/licenses/by/4.0/).
Share and Cite
Zeng, X.; Guan, X.; Wu, H.; Xiao, H. A Data-Driven Quasi-Dynamic Traffic Assignment Model Integrating Multi-Source Traffic Sensor Data on the Expressway Network. ISPRS Int. J. Geo-Inf. 2021, 10, 113. https://doi.org/10.3390/ijgi10030113
Zeng X, Guan X, Wu H, Xiao H. A Data-Driven Quasi-Dynamic Traffic Assignment Model Integrating Multi-Source Traffic Sensor Data on the Expressway Network. ISPRS International Journal of Geo-Information. 2021; 10(3):113. https://doi.org/10.3390/ijgi10030113
Chicago/Turabian StyleZeng, Xing, Xuefeng Guan, Huayi Wu, and Heping Xiao. 2021. "A Data-Driven Quasi-Dynamic Traffic Assignment Model Integrating Multi-Source Traffic Sensor Data on the Expressway Network" ISPRS International Journal of Geo-Information 10, no. 3: 113. https://doi.org/10.3390/ijgi10030113
APA StyleZeng, X., Guan, X., Wu, H., & Xiao, H. (2021). A Data-Driven Quasi-Dynamic Traffic Assignment Model Integrating Multi-Source Traffic Sensor Data on the Expressway Network. ISPRS International Journal of Geo-Information, 10(3), 113. https://doi.org/10.3390/ijgi10030113

