Abstract
This study introduces a novel modular soft actuator designed for an anthropomorphic robotic finger that addresses the need for adaptive behavior and precise joint-angle control. The key innovation is its modular design, which enables independent pressure regulation in each air chamber, thus achieving superior precision compared to traditional PneuNets soft actuators. A rigid skeleton is integrated to enhance force transmission and measurement capabilities and thus ensure effective force handling and transmission within each module. The versatility of the actuator is demonstrated through its adaptability in various scenarios, and its features include adaptive positional control achieved by modulating the inflation in each air chamber. This research includes kinematic and kinetostatic analyses to ensure precise control of joint angles and forces at the finger’s endpoint. Experimental results confirm the actuator’s excellent performance and adaptability, providing valuable insights for advancing soft-actuator technology. The findings suggest significant potential for this actuator in diverse applications, emphasizing its role in the future development of precise and adaptable robotic systems.
1. Introduction
Robots were initially developed to handle various tasks, but with the rapid development of artificial intelligence, robots are increasingly becoming part of daily life, requiring their adaptation to complex and dynamic environments [1]. This transition necessitates end-effectors capable of adapting to various objects, making adaptive grippers highly popular [2]. Adaptive grippers come in various forms, including spring-enhanced rigid structures [3,4], structures that rely on their deformation [5,6], and actuators made of inflatable soft materials such as silicone rubber [7,8,9] and PDMS [10]. Each type has its unique advantages and limitations. For example, rigid structures provide significant strength but lack the safety advantages of soft, inflatable structures [11]. Conversely, soft actuators face challenges in withstanding forces applied in non-actuated directions [12].
To integrate robots into daily life, robotic hands are often designed to mimic human hands [13,14,15]. In scenarios requiring actions such as pressing buttons, precise fingertip positioning and force sensing [16,17] become crucial for the effective operation of anthropomorphic hands. A common and significant limitation shared by both rigid and soft adaptive grippers is their inability to position fingers precisely at specific locations [18], resulting in a single grasping function.
Among the developments in soft actuators, the design of PneuNets has gained significant attention due to their intuitive structure and superior performance [7]. PneuNets, which are pneumatic networks of chambers that inflate to induce movement, are widely applied to robotic fingers and grippers. Numerous studies have focused on refining and optimizing PneuNets to meet a variety of application-specific requirements. Extensive modeling analyses have been conducted to better understand and predict the behavior of PneuNets actuators. These analyses focus on the positioning and movement patterns [19] of the actuators, providing valuable insights into their operational dynamics. The various modeling approaches include finite element analysis (FEA) [19,20], which is widely used for its accuracy in capturing the complex interactions and mechanical behaviors of soft materials. Additionally, developers have used innovative principles based on the elongation of gap layers [21] and implemented optimization using simplified nonlinear kinematic models [22].
In addition to modeling, there has been considerable discussion on the impact of different chamber shapes and structures on the overall performance of PneuNets. Research has shown that variations in chamber geometry [20] can significantly influence the range of motion. Additionally, different chamber spacings can be used for designing glove joints [23,24], or specialized chamber shapes [19] can enable unique twisting motions. These insights are crucial for tailoring PneuNets to specific applications, ensuring that they can meet the diverse demands of both industrial and service robotics.
Moreover, the exploration of modular reconfiguration strategies has enhanced the versatility and adaptability of soft robotic systems. Modular designs allow for the combination of different actuator units, which can be rearranged or replaced to adapt to various tasks and environments [25]. This modularity simplifies the customization of robotic systems for specific applications, thereby improving the overall efficiency and functionality of the actuators. For instance, Zhang et al. demonstrated the function of a modular soft gripper with combined Pneu-Net actuators, showcasing its adaptability and effectiveness in various gripping tasks [26]. Similarly, the evaluation of fiber-reinforced modular soft actuators for individualized soft rehabilitation gloves has highlighted the potential of modular approaches in medical and therapeutic applications, providing tailored solutions for patient-specific needs [27].
To address the challenges of combining adaptive gripping with precise positioning and the ability to withstand forces applied in non-actuated directions, this study introduces an innovative modular soft actuator (MSA). This actuator inherits the adaptive and safety characteristics of soft actuators and incorporates a modular design, allowing independent pressure control for each module. This study extends previous work [28] presented at the conference, where the capabilities of modular soft actuators in adaptive gripping and precise positioning were initially explored. Building on those findings, further development of inverse kinematics using polynomial fitting and calculation of the forces applied at the end-effector has been conducted. Through the integration of two MSAs to form an anthropomorphic MSA finger, the interphalangeal (IP) and metacarpophalangeal (MCP) joints of a human finger are simulated, as shown in Figure 1. This design offers higher precision compared to traditional elongated fingers [7,29]. Through alterations to the inflation position, the MSA can adapt to a range of scenarios, including adaptive grasping and posture control, mimicking human finger movements and even controlling force by measuring finger posture.
Figure 1.
Comparison between the human finger (left) and the anthropomorphic MSA finger (right).
Additionally, this MSA has the potential to integrate with exoskeleton designs to enhance its ability to withstand lateral forces and to improve its load-bearing capacity when grasping objects like water-filled cups. This paper is structured as follows: the Section 2 provides a detailed explanation of the MSA’s design principles and experimental setup; the Section 3 then presents the experimental findings, demonstrating the actuator’s versatility and performance; finally, the Section 4 reflects on the results and discusses potential future research directions.
2. Methods
The methodology utilized in this study is divided into three main parts. The first part details the composition and design intricacies of the MSA, while the second part presents the derivation of its kinematics. The third part presents a kinetostatic analysis of its mechanical properties.
2.1. Modular Soft Actuator (MSA)
This research introduces a novel design for soft actuators that diverges from traditional continuous structures by segmenting a long actuator into several individual independent chambers. Each chamber is independently fabricated to prevent the entire actuator from becoming inoperative due to the failure of a single chamber. These individual chambers are gripped laterally by a specially designed exoskeleton, which is interconnected by multiple linkages. This structure enables the actuator to withstand lateral forces while maintaining the curvature characteristic of conventional soft actuators. The individual independent chambers can be assembled into different MSAs based on specific needs. Considering the range of motion and overall dimensions, a single MSA in this study is composed of three individual independent chambers. This modular approach not only enhances the actuator’s resilience but also allows for customizable configurations tailored to specific application requirements.
The innovative design employs several individual independent chambers, which were created using a silicone printer (Model SIL50, SanDraw Inc., Taichung, Taiwan), as illustrated in Figure 2. These chambers are precisely fitted into corresponding placement cavities within a custom-engineered exoskeleton. This exoskeleton, a unique aspect of our design rather than a commercial product, securely anchors each rubber chamber cell laterally. The interconnected linkages within the exoskeleton provide structural integrity, enabling the actuator to withstand lateral forces—a common challenge for traditional soft actuators. This design ensures that the actuator retains the desired flexibility and curvature while enhancing its durability and functionality.
Figure 2.
Detailed structure illustrations of the MSA and the anthropomorphic MSA finger.
The modular design shown in Figure 2 features three rubber chamber cells that are fixed within the rigid exoskeleton through four linkages. Additionally, springs are strategically incorporated to ensure the actuator returns to its original form upon deflation. The dimensions and shape changes of the rubber chamber cells before and after inflation are also illustrated on the right side of Figure 2. To allow them to integrate seamlessly into everyday activities, the actuator modules are configured in an anthropomorphic layout. Determining the endpoint is more complex than it is in traditional dual-axis robotic fingers due to the unique architecture of the soft actuator modules. Therefore, this study will conduct an in-depth investigation into this aspect.
2.2. Kinematics
To model the robotic fingers effectively, reference to conventional dual-axis robotic fingers, as illustrated on the left side of Figure 3, is essential. The endpoint position, represented by the coordinates and , is determined by the following matrix. Using and , where subscript f denotes the finger and j being 1 or 2, the equation is expressed as follows:
where is the general expression of the bending angle of the robotic finger’s joints and represents the linkages of the robotic finger. However, the joint structure of the anthropomorphic soft actuator finger is different from that of conventional models, involving four linkages and three elastomeric chamber cells. Inflation of each chamber cell membrane induces movement in both the X and Y directions, as depicted on the right side of Figure 3.
Figure 3.
A linkage representation is provided, illustrating a conventional dual-axis robotic finger (left) and an anthropomorphic finger equipped with the proposed MSAs (right).
This study assumes uniform angular deformation due to air pressure on each membrane, with each membrane contributing an angular influence of . The total angular displacement for and is determined by considering all angular contributions within the four-linkage configuration, treating the anthropomorphic soft actuator finger as a six-axis robotic manipulator for kinematic analysis. The corresponding Denavit–Hatenberg (D–H) coordinates are detailed in Figure 4, with the finger’s endpoint and positions represented by the following matrix.
Figure 4.
The anthropomorphic soft actuator finger is described using D–H coordinates [30].
In (2), represents the repetitive linkages composing the MSA.
Generally, inverse kinematics can be used to deduce the motion angles of each joint. However, as can be seen from the left side of Equation (2), the computation involves the addition and subtraction of trigonometric functions with various angles, leading to a system of nonlinear equations. Solving nonlinear equations is significantly more complex than solving linear ones, and some systems of nonlinear equations may lack analytical solutions, meaning that they cannot be solved using simple algebraic methods. Therefore, this study proposes a mapping approach. By employing additional polynomials to fit within the range of motion, as shown in Equation (3), the solution to inverse kinematics can be achieved.
In (3), and are the polynomial coefficients determined through fitting the experimental data, and and are the degrees of the polynomial.
2.3. Kinetostatic
In addition to purely positional calculations, kinematic analysis is also crucial. In practical applications, the force exerted by a soft actuator on external objects is influenced by its current posture and the supplied air pressure. For example, when the soft robotic finger has not yet touched an object, the applied pressure causes it to bend and change its posture. Once the fingertip contacts the object, its posture becomes fixed, but the applied pressure can continue to increase, converting the pneumatic energy into force output at the fingertip.
To analyze the mechanical relationships, this study divides this part into three steps. First, the output force at various postures under different applied pressures is measured for two MSAs. Next, using the Jacobian matrix, the relationship between the current posture represented by angular orientation , input air pressure , and output force can be calculated. Since each MSA has three equally movable joint angles, this can be transformed into the separate torques , where j = 1, 2 for MSA1 and MSA2 and i = 1, 2, 3, as shown in Figure 5. The third step involves modeling the two MSAs on the robotic finger as a six-axis robot, as shown in Figure 6. Based on the current posture and supplied air pressure, the force exerted at the end of the robotic hand can be determined from , … , which are derived from the previously measured data.
Figure 5.
Treating the robotic finger as a six-axis robot, with each MSA consisting of three axes.
Figure 6.
Graphical illustration of kinematic analyses on each MSA of the robotic finger.
First, a single MSA is analyzed via a method that treats it as a three-axis robot. The single MSA’s endpoint and , where j = 1, 2 for MSA1 and MSA2, can be defined with forward kinematics as follows:
where the elements of the forward kinematics can be expressed using and , where j = 1, 2 for MSA1 and MSA2, i = 1, 2, 3, indicating each of the three chambers of a MSA, and m refers to the MSA as follows:
Using Equation (4) and the Jacobian matrix can be expressed as follows:
The relationship between the torque , the current posture , and the external force can then be determined as follows:
where the elements of the Jacobian matrix are expressed as follows:
After each individual MSA has been measured, the two MSAs together can be treated as a six-axis robotic finger, as shown in Figure 6, allowing the calculation of Jacobian matrix for the finger through the following equation:
where = and = .
Based on the posture , and input air pressure, the exerted force denoted as on the object can be estimated by multiplying the torque , which is obtained from the data of two MSAs with the inverse of the Jacobian from Equation (7) as follows:
where denotes the Moore-Penrose pseudo-inverse of .
After the hardware architecture, kinematic analysis, and kinetostatic analysis had been established, experimental validation was conducted.
2.4. Experiment
The experiments were divided into four parts. The first set of experiments focused on assessing the robotic finger’s adaptability by assessing the finger as it grasped objects of various shapes. Subsequently, a comparison was made between the lateral force resistances with and without the exoskeleton. Next, the relationship between the MSA’s input pressure and the output angle was examined, along with the control of the endpoint position. Finally, modeling of the MSA’s input pressure, posture, and output force was conducted, and this step was followed by the measurement of the force at the endpoint.
The experimental setup, as illustrated in Figure 7, features an electro-pneumatic regulator to control input pressure and a D435 camera to capture motion positions using April Tag technology (version 1.0.4.post10) [31]. Prior to experimental measurements, the camera was calibrated with a checkerboard pattern to ensure accuracy.
Figure 7.
Photograph showing the experimental setup.
The MSA used in the experiments has specific parameters that are crucial for understanding its performance. The link lengths are = 12 mm, = 20 mm, and = 23 mm. The joint rotation ranges from 0 to 30 degrees. However, due to the structural design of the MSA, there is an inherent base curvature of approximately 38 degrees when the MSA is fabricated. Consequently, the actual bending angle ranges from 38 to 68 degrees. For clarity and consistency, all figures and tables represent the operational range as 0 to 30 degrees.
3. Results and Discussion
The Section 3 is divided into four parts. First, the MSA robotic finger is presented, demonstrating its adaptive capabilities and precise angle control for position regulation. Next, a comparison of lateral force support with and without the exoskeleton is discussed. This discussion is followed by an analysis and calculation of its motion trajectories. Finally, the precision in force output and the differences in calculations are demonstrated.
3.1. Adaptive Capabilities
The innovative design of the modular joint endows the robotic finger with both adaptive capabilities and precise angle control for position regulation. Figure 8a–c display the ability of the proposed adaptive anthropomorphic finger with MSAs to grasp circular, square, and rectangular objects, respectively, demonstrating its adaptive functionality. In contrast, Figure 8d–f show a conventional PneuNets soft actuator employed to grasp the same objects. Furthermore, it is highlighted that when the same input pressure is used for MSA1 and MSA2, the MSA can achieve adaptive effects without needing to individually control each joint degree of freedom, underscoring the inherent adaptive capability of the design. Figure 8g illustrates the position control achieved by angle manipulation, with the red motion trajectories indicating the reachable workspace of the fingertip of the proposed adaptive robotic finger. The violet and green lines in Figure 8g are the robot’s linkage representations at two extreme postures.
Figure 8.
Grasping of circular, square, and rectangular objects was tested using the proposed MSA finger, as shown in (a–c), as well as with the conventional PneuNets soft actuator. In comparison, conventional PneuNets soft actuators grasp the same objects, as shown in (d) for a circular object, (e) for a square object, and (f) for a rectangular object. The reachable workspace of the robot’s fingertip is depicted in (g).
3.2. Lateral Force Comparison
The use of an exoskeleton design allows the proposed actuator to withstand lateral forces up to 1.56 N, as evidenced in Figure 9a. In comparison, a conventional PneuNets actuator can withstand lateral forces only up to 0.50 N, as demonstrated in Figure 9b. The exoskeletal MSA maintains structural integrity even after it has withstood more than three times the force that deforms a conventional PneuNets actuator, making it ideal for applications requiring lateral grasping, such as holding a water-filled cup.
Figure 9.
Lateral-force-resistance test with (a) the proposed exoskeletal MSA and (b) a conventional PneuNets actuator.
3.3. Motion-Trajectories Analysis
Further tests were conducted to establish the relationship between input pressure and output angle for the two MSAs with exactly the same design, namely MSA1 and MSA2. The input pressure ranged from 0 to 100 KPa and was divided into 255 levels. Each test was repeated ten times, and the corresponding output angles were measured. The results, as depicted in Figure 10, indicate that both actuators remain immobile when the input pressure is below 20 KPa. However, when the input pressure exceeds 20 KPa, the output performance demonstrates a satisfactory linear relationship, with output angles ranging from 0 to 28.5 degrees, average standard deviations of 0.68 degrees for MSA1 and 0.55 degrees for MSA2, and maximum standard deviations of 0.94 degrees for MSA1 and 1.04 degrees for MSA2, showcasing their high repeatability.
Figure 10.
The correlation between input pressure and resultant output angle of (a) MSA1 and (b) MSA2. The black dashed lines represent linear fitting.
In our experiments, the pressure was systematically and gradually increased to its maximum limit while the position was measured, following which a deflation process was initiated to release the pressure. This procedure ensured that both inflation and deflation processes were adequately considered. Each inflation-and-deflation cycle was repeated ten times to calculate the repeatability and accuracy. The hysteresis observable in Figure 10 is indeed caused by the frictional forces within the structure at lower pressures.
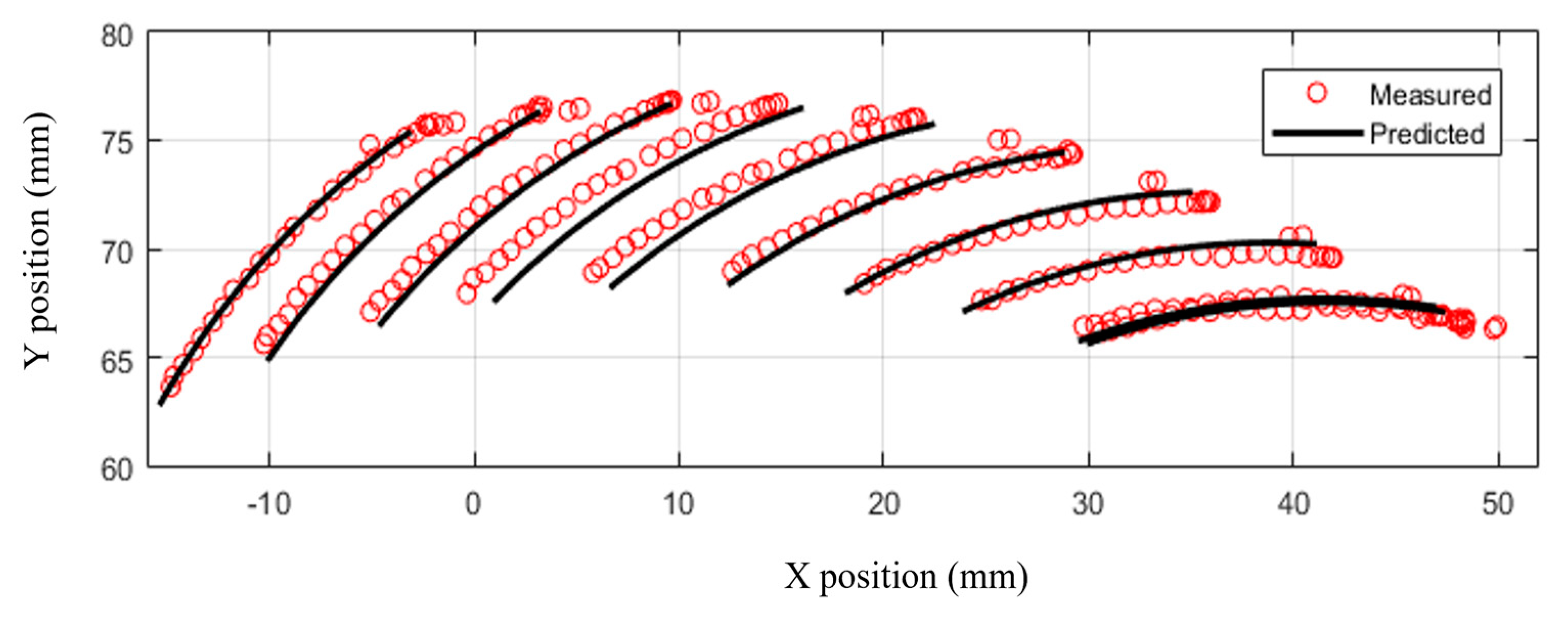
The primary focus of this study is on a soft robotic finger with controllable endpoints. During experiments on endpoint positions, two joints were simultaneously controlled to create a workspace for the finger. The experimentally obtained fingertip positions were then compared to the motion equations derived through kinematic analysis. Figure 11 shows the experimental results overlaid with those predicted by theory, with red circles representing measured values and black solid lines representing theoretical values. The average error between the experiments and theory is 0.98 mm, with a maximum error of 2.60 mm. It is evident that satisfactory agreement between what is predicted by theory and the measurements was achieved with allowable error, showing that the robotic finger can mimic the motion of a human finger.
Figure 11.
Comparison of measured and predicted endpoint positions of the proposed exoskeletal MSA finger.
To calculate the inverse kinematics, this study employed Equation (3) for polynomial fitting and used the value to quantitatively evaluate the fitting quality. Polynomial degrees from 1 to 5 were applied, as shown in Table 1. It can be observed from Table 1 that when the polynomial degree reaches 5, the value almost equals 1.
Table 1.
Polynomial degree and corresponding values for the X and Y positions.
To calculate the inverse kinematics, Equation (3) was employed for polynomial fitting, with the value used to quantitatively evaluate the fitting quality. The coefficient of determination, denoted as , is a statistical measure that indicates the proportion of the variance in the dependent variable that is predictable from the independent variable(s). This metric is commonly used in statistical models, particularly in regression analysis, to assess the goodness of fit. An value ranges from 0 to 1, where an of 0 indicates that the model does not explain any of the variability of the response data around its mean, and an of 1 indicates that the model explains all the variability of the response data around its mean.
In this study, the value was utilized to evaluate the accuracy of the models employed to predict the behavior of the MSA. A higher value signifies a better fit between the predicted values and the actual data, demonstrating the model’s robustness in capturing the underlying dynamics of the actuator’s performance. This measure provides a quantitative assessment of the models’ effectiveness in representing the actual behavior of the MSAs, thus serving as a clear metric for evaluation.
Polynomial degrees from 1 to 5 were applied in the fitting process, as shown in Table 1. It can be observed from Table 1 that when the polynomial degree reaches 5, the value approaches 1, indicating a high-quality fit. This result demonstrates that a fifth-degree polynomial model is highly effective in capturing the complex behaviors of the MSAs.
Figure 12a,b demonstrate the verification of the inverse kinematics for the proposed robotic finger’s endpoint X and Y positions using a 5th-degree polynomial fit. The upper colored surfaces represent results derived using theoretical forward kinematics, while the blue meshed surfaces on the bottom represent the calculated positions obtained from the polynomial mapping. The high degree of overlap between the colored surfaces and the blue-color mashed surfaces illustrates the accuracy and consistency of the polynomial fitting method with regard to the actual kinematic behavior of the robotic finger.
Figure 12.
IK verifications for the (a) X (b) Y positions using forward kinematics (top) and with the method using 5th-degree polynomial fitting (bottom).
The specific polynomial coefficients used in the fitting process are presented in the tables below. These coefficients were determined by the MATLAB fitting function and are crucial for understanding the model’s performance, as shown in Table 2.
Table 2.
Polynomial coefficients for 4th- and 5th-degree polynomial fitting of the X and Y positions.
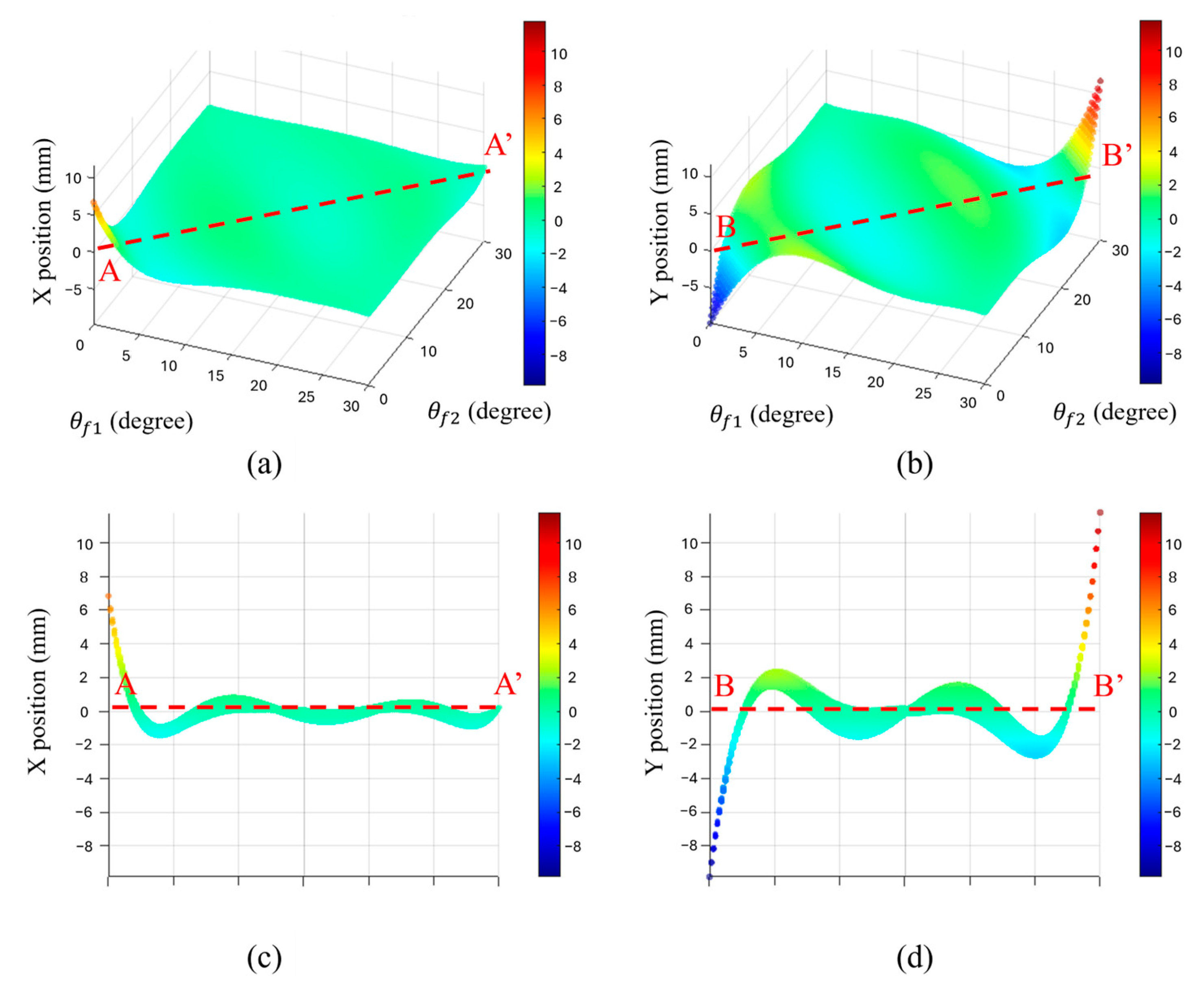
Figure 13 and Figure 14 display the residual analysis for the X and Y positions using 4th- and 5th-degree polynomial fits, respectively. The residuals represent the differences between the actual positions and those predicted by the polynomial models. For the 4th-degree polynomial fit, the maximum error for X is 11.801 mm, with an average error of 0.91122 mm, while the maximum error for Y is 6.8219 mm, with an average error of 0.32729 mm. In Figure 13a,b, the 3D residuals when 4th-degree polynomial fitting was employed are shown for the X and Y positions, respectively. Figure 13c,d present the residuals viewed along the A-A′ line and the Z-axis plane, effectively showing a 2D projection of the residuals for the 4th-degree polynomial fit.
Figure 13.
3D residuals with 4th-degree polynomial fitting for the (a) X and (b) Y positions, respectively. (c,d) are 2D residuals for the X and Y positions, respectively.
Figure 14.
3D residuals with 5th-degree polynomial fitting for the (a) X and (b) Y positions, respectively. (c,d) are 2D residuals for the X and Y positions, respectively.
Similarly, for the 5th-degree polynomial fit, the maximum error for X is 1.9058 mm, with an average error of 0.07599 mm, and the maximum error for Y is 3.7569 mm, with an average error of 0.23187 mm. Figure 14a,b illustrate the 3D residuals fitted with the 5th-degree polynomial for the X and Y positions, respectively, while Figure 14c,d display the corresponding 2D projections along the C-C′ line and the Z-axis plane. The low magnitude of residuals in the 5th-degree polynomial fitting indicates the high accuracy of the model. The protrusions at the boundaries are caused by polynomial fitting occurring only at the extreme maximum or minimum angles of the two axes.
These values demonstrate the accuracy of the polynomial-fitting method in comparison to a method of directly solving nonlinear equations, confirming that higher-degree polynomials provide better accuracy in representing the MSA’s behavior.
3.4. Force Output Analysis
In addition to positional calculations, this study also focused on force calculations. For each MSA, the output forces at various postures under different applied pressures were measured, as shown in Figure 15. It can be seen that the pneumatic energy first enables the MSA to move to the expected angles; then, as the pressure increases, the output force also increases.
Figure 15.
Force output as a function of applied pressure at various angles for (a) MSA1 and (b) MSA2.
During the measurement of individual joints, each MSA was fixed independently, ensuring no influence from the other MSA. Due to variations in manufacturing and assembly, some MSAs exhibit greater strength and sensitivity to pressure changes. Consequently, the maximum measurable pressure and the amount of data collected can vary between MSAs. This is why MSA1 shows a higher maximum pressure and more data points compared to MSA2.
After the data were measured for each MSA, the torques produced on each MSA could be calculated using Equation (6), and they are illustrated in Figure 16. , and are derived from MSA1, while , and are derived from MSA2. These should reflect the action angles θ of the MSA, indicating the variations in to under different action angles of the MSA. From the results, it can be observed that and , being the first axes of their respective MSAs, exhibit relatively large torques. With these six torques obtained, one can further use Equation (8) to calculate the force exerted by the finger on the external object.
Figure 16.
The calculated (a) , (b) , (c) , (d) , (e) , and (f) torques as a function of applied pressure and chamber rotating angle.
To validate the force calculations, a force gauge was utilized to measure the normal force exerted by the robotic finger. The setup involved incrementally applying forces from 0.1 N to 0.4 N, with each force level being measured ten times to ensure reliability. Figure 17 shows the experimental setup, where the force direction, finger base, and measurement points are clearly indicated. In Figure 17, the robotic finger is shown, along with the direction of the applied force and the force-gauge readings. The force direction and magnitude are crucial for validating the theoretical calculations with the actual measurements. The comparison between theoretical and measured forces is depicted in Figure 18. The plot shows the measured forces, with error bars representing the standard deviation and a dashed line representing the theoretical forces.
Figure 17.
Photograph showing the experimental apparatus for force measurement.
Figure 18.
Comparison of predicted and measured forces exerted by the proposed robotic finger, with error bars.
The actual measurement conditions, including the input pressures kPa1 and kPa2, which represent the input pressures for MSA1 and MSA2, respectively, along with the corresponding predicted forces, are shown in Table 3. It can be observed that when the predicted force exceeds 0.35 N, kPa1 and kPa2 surpass the upper pressure-measurement limits shown in Figure 15. This is likely one of the factors affecting the accuracy of the results.
Table 3.
Predicted forces and corresponding input pressures for MSA1 and MSA2.
From Figure 18, it can be observed that beyond 0.3 N, the force does not continue to increase. This is primarily because the MSA has reached the limit of its operating range. The close alignment between the measured and theoretical forces indicates the high accuracy of the measurements. This indicates that the robotic finger can reliably exert forces as predicted by the theoretical model, making it suitable for practical applications in which precision and accuracy are critical. The study demonstrates the effectiveness of the method of force measurement and calculation for the robotic finger, providing a robust basis for future research and development in robotic applications. The results highlight the potential for precise force control in robotic systems, which is essential for delicate and precise tasks.
To provide a clear understanding of the measurement precision, the standard deviation analysis is presented in Table 4.
Table 4.
Standard-deviation analysis of force measurements.
The standard deviation of the measured values provides insight into the precision of the measurements. As shown in Table 4, the standard deviation ranges from 0.0074 to 0.0158, indicating relatively high precision in the force measurements. These results highlight the accuracy of the measured forces in comparison to the predicted values, confirming the reliability of the robotic finger’s force output.
From the data, it can be observed that beyond 0.3 N, the force does not continue to increase significantly. This is primarily because the MSA actuator has reached the limit of its operating range. This result demonstrates the system’s reliability and precision in force measurements, which is crucial for applications requiring precise force control.
4. Conclusions
This study introduces a novel MSA design that addresses the limitations of traditional rigid and soft adaptive robotic grippers by combining their strengths while mitigating their weaknesses. The modular design allows for independent pressure control in each module, enhancing precision in joint-angle control and enabling versatile applications ranging from adaptive grasping to posture control; in these ways, its movements are similar to human finger movements.
Experimental validation demonstrated the actuator’s adaptability and precision. The robotic finger with the proposed MSAs was found to be able to effectively grasp objects of various shapes and maintain structural integrity under lateral forces, outperforming those with conventional PneuNets actuators. The correlation between input pressure and output angle showed a satisfactory linear relationship, indicating high repeatability and reliability. Furthermore, the inverse kinematics model using polynomial fitting provided accurate endpoint-position control, with minimal error between theoretical and experimental values. The force analysis conducted in this study confirmed the actuator’s ability to exert forces accurately and precisely, validating the theoretical model. This capability is crucial for practical applications that require delicate and precise force control, such as handling fragile objects.
The proposed MSA represents a significant advancement in the design of adaptive robotic grippers. Its innovative design offers enhanced precision, adaptability, and structural robustness, making it suitable for a wide range of applications. Future research should consider the hysteresis phenomenon observed, which is caused by frictional forces within the structure at lower pressures. Addressing this in feedback-control studies will be essential. Additionally, further refinement of the kinematic and force models can enhance the actuator’s efficiency and effectiveness in various practical scenarios.
Future investigations should also explore the integration of this actuator with other robotic systems and evaluate its performance in more complex and dynamic environments. The consideration of other postures in conjunction with control systems and sensors could potentially yield better performance and more accurate force measurements. Regarding the effectiveness of the MSA control, it is closely related to the design of the controller. Our current research focuses on static kinematics, and we acknowledge that further studies on dynamic control will enhance the MSA’s performance. This comprehensive approach ensures that the proposed MSA can meet the diverse demands of both industrial and service robotics.
Supplementary Materials
The following supporting information can be downloaded at: https://www.mdpi.com/article/10.3390/robotics13080116/s1.
Author Contributions
Conceptualization, S.-G.L. and J.-Y.C.; methodology, S.-G.L.; software, S.-G.L.; validation, S.-G.L. and J.-Y.C.; formal analysis, S.-G.L.; investigation, S.-G.L.; resources, S.-G.L.; data curation, S.-G.L.; writing—original draft preparation, S.-G.L.; writing—review and editing, S.-G.L. and J.-Y.C.; visualization, S.-G.L.; supervision, J.-Y.C.; project administration, S.-G.L.; funding acquisition, J.-Y.C. All authors have read and agreed to the published version of the manuscript.
Funding
This research was funded by the National Science and Technology Council of Taiwan, grant number NSTC 112-2218-E-007-017.
Data Availability Statement
Data is contained within the article or supplementary material.
Conflicts of Interest
The authors declare no conflicts of interest.
References
- Li, M.; Pal, A.; Aghakhani, A.; Pena-Francesch, A.; Sitti, M. Soft actuators for real-world applications. Nat. Rev. Mater. 2022, 7, 235–249. [Google Scholar] [CrossRef] [PubMed]
- Cheng, L.-W.; Liu, S.-W.; Chang, J.-Y. Design of an eye-in-hand smart gripper for visual and mechanical adaptation in grasping. Appl. Sci. 2022, 12, 5024. [Google Scholar] [CrossRef]
- Backus, S.B.; Dollar, A.M. An adaptive three-fingered prismatic gripper with passive rotational joints. IEEE Robot. Autom. Lett. 2016, 1, 668–675. [Google Scholar] [CrossRef]
- Birglen, L. Enhancing versatility and safety of industrial grippers with adaptive robotic fingers. In Proceedings of the 2015 IEEE/RSJ International Conference on Intelligent Robots and Systems (IROS), Hamburg, Germany, 28 September–2 October 2015. [Google Scholar]
- Xu, W.; Zhang, H.; Yuan, H.; Liang, B. A compliant adaptive gripper and its intrinsic force sensing method. IEEE Trans. Robot. 2021, 37, 1584–1603. [Google Scholar] [CrossRef]
- Petković, D.; Pavlović, N.D.; Shamshirband, S.; Anuar, N.B. Development of a new type of passively adaptive compliant gripper. Ind. Robot. Int. J. 2013, 40, 610–623. [Google Scholar] [CrossRef]
- Mosadegh, B.; Polygerinos, P.; Keplinger, C.; Wennstedt, S.; Shepherd, R.; Gupta, U.; Shim, J.; Bertoldi, K.; Walsh, C.J.; Whitesides, G.M. Pneumatic networks for soft robotics that actuate rapidly. Adv. Funct. Mater. 2014, 24, 2163–2170. [Google Scholar] [CrossRef]
- Deimel, R.; Brock, O. A novel type of compliant and underactuated robotic hand for dexterous grasping. Int. J. Robot. Res. 2016, 35, 161–185. [Google Scholar] [CrossRef]
- Till, J.; Aloi, V.; Rucker, C. Real-time dynamics of soft and continuum robots based on Cosserat rod models. Int. J. Robot. Res. 2019, 38, 723–746. [Google Scholar] [CrossRef]
- Jeong, J.; Mitra, A.; Lee, J.B.J. Atomized Liquid Metal Droplet-enabled Enhancement of Sensing Range and Stability for Ultrasensitive Crack-based Sensor. In Proceedings of the 2022 IEEE Sensors, Dallas, TX, USA, 30 October–2 November 2022. [Google Scholar]
- El-Atab, N.; Mishra, R.B.; Al-Modaf, F.; Joharji, L.; Alsharif, A.A.; Alamoudi, H.; Diaz, M.; Qaiser, N.; Hussain, M.M. Soft actuators for soft robotic applications: A review. Adv. Intell. Syst. 2020, 2, 2000128. [Google Scholar] [CrossRef]
- Xu, Q.; Liu, J. Effective enhanced model for a large deformable soft pneumatic actuator. Acta Mech. Sin. 2020, 36, 245–255. [Google Scholar] [CrossRef]
- Zhou, J.; Chen, X.; Chang, U.; Lu, J.-T.; Leung, C.C.Y.; Chen, Y.; Hu, Y.; Wang, Z. A Soft-Robotic Approach to Anthropomorphic Robotic Hand Dexterity. IEEE Access 2019, 7, 101483–101495. [Google Scholar] [CrossRef]
- Zhang, Z.; Han, T.; Pan, J.; Wang, Z. Design of Anthropomorphic Fingers with Biomimetic Actuation Mechanism. IEEE Robot. Autom. Lett. 2019, 4, 3465–3472. [Google Scholar] [CrossRef]
- Li, C.S.; Gu, X.; Xiao, X.; Zhu, G.; Prituja, A.V.; Ren, H. Transcend Anthropomorphic Robotic Grasping with Modular Antagonistic Mechanisms and Adhesive Soft Modulations. IEEE Robot. Autom. Lett. 2019, 4, 2463–2470. [Google Scholar] [CrossRef]
- Correll, N.; Kriegman, D.; Otto, S.; Watson, J. A Versatile Robotic Hand with 3D Perception, Force Sensing for Autonomous Manipulation. arXiv 2024, arXiv:2402.06018. [Google Scholar]
- Almassri, A.M.; Hasan, W.Z.W.; Ahmad, S.A.; Ishak, A.J.; Ghazali, A.M.; Talib, D.N.; Wada, C. Pressure sensor: State of the art, design, and application for robotic hand. J. Sens. 2015, 2015, 846487. [Google Scholar] [CrossRef]
- Mutlu, R.; Alici, G.; Panhuis, M.I.H.; Spinks, G.M. 3D Printed Flexure Hinges for Soft Monolithic Prosthetic Fingers. Soft Robot. 2016, 3, 120–133. [Google Scholar] [CrossRef]
- Wang, T.; Ge, L.; Gu, G. Programmable design of soft pneu-net actuators with oblique chambers can generate coupled bending and twisting motions. Sens. Actuators A Phys. 2018, 271, 131–138. [Google Scholar] [CrossRef]
- Yu, Y.; Fu, T. Design and Experimental Study of Cavity Structure of Pneumatic Soft Actuator. Actuators 2023, 12, 314. [Google Scholar] [CrossRef]
- Liu, Z.; Wang, F.; Liu, S.; Tian, Y.; Zhang, D. Modeling and analysis of soft pneumatic network bending actuators. IEEE/ASME Trans. Mechatron. 2020, 26, 2195–2203. [Google Scholar] [CrossRef]
- Yang, W.-T.; Kurkcu, B.; Tomizuka, M. Optimized Design of a Soft Actuator Considering Force/Torque, Bendability, and Controllability via an Approximated Structure. J. Mech. Des. 2024, 146, 123301. [Google Scholar] [CrossRef]
- Zhang, Z.; Calderon, A.D.; Huang, X.; Wu, G.; Liang, C. Design and Driving Performance Study of Soft Actuators for Hand Rehabilitation Training. Med. Devices 2024, 17, 237. [Google Scholar] [CrossRef]
- Wang, J.B.; Fei, Y.Q.; Pang, W. Design, Modeling, and Testing of a Soft Pneumatic Glove with Segmented PneuNets Bending Actuators. IEEE/ASME Trans. Mechatron. 2019, 24, 990–1001. [Google Scholar] [CrossRef]
- Zhang, C.; Zhu, P.; Lin, Y.; Jiao, Z.; Zou, J. Modular soft robotics: Modular units, connection mechanisms, and applications. Adv. Intell. Syst. 2020, 2, 1900166. [Google Scholar] [CrossRef]
- Zhang, X.; Yu, S.; Dai, J.; Oseyemi, A.E.; Liu, L.; Du, N.; Lv, F. A modular soft gripper with combined Pneu-Net actuators. Actuators 2023, 12, 172. [Google Scholar] [CrossRef]
- Zhang, N.; Ge, L.; Xu, H.; Zhu, X.; Gu, G. 3D printed, modularized rigid-flexible integrated soft finger actuators for anthropomorphic hands. Sens. Actuators A Phys. 2020, 312, 112090. [Google Scholar] [CrossRef]
- Lin, S.-G.; Chang, J.-Y. Design of an Adaptive Anthropomorphic Finger with Modular Soft Actuators. In IFToMM World Congress on Mechanism and Machine Science, Proceedings of the 16th IFToMM World Congress 2023, Tokyo, Japan, 5–10 November 2023; Springer: Berlin/Heidelberg, Germany, 2023. [Google Scholar]
- Galloway, K.C.; Polygerinos, P.; Walsh, C.J.; Wood, R.J. Mechanically programmable bend radius for fiber-reinforced soft actuators. In Proceedings of the 2013 16th International Conference on Advanced Robotics (ICAR), Montevideo, Uruguay, 25–29 November 2013. [Google Scholar]
- Denavit, J.; Hartenberg, R.S. A kinematic notation for lower-pair mechanisms based on matrices. J. Appl. Mech. 1955, 22, 215–221. [Google Scholar] [CrossRef]
- Olson, E. AprilTag: A robust and flexible visual fiducial system. In Proceedings of the 2011 IEEE International Conference on Robotics and Automation, Shanghai, China, 9–13 May 2011. [Google Scholar]
Disclaimer/Publisher’s Note: The statements, opinions and data contained in all publications are solely those of the individual author(s) and contributor(s) and not of MDPI and/or the editor(s). MDPI and/or the editor(s) disclaim responsibility for any injury to people or property resulting from any ideas, methods, instructions or products referred to in the content. |
© 2024 by the authors. Licensee MDPI, Basel, Switzerland. This article is an open access article distributed under the terms and conditions of the Creative Commons Attribution (CC BY) license (https://creativecommons.org/licenses/by/4.0/).

















