2-Arylbenzofurans as Selective Cholinesterase Inhibitors: Design, Synthesis, and Evaluation as Alzheimer’s Disease Agents
Abstract
1. Introduction
2. Materials and Methods
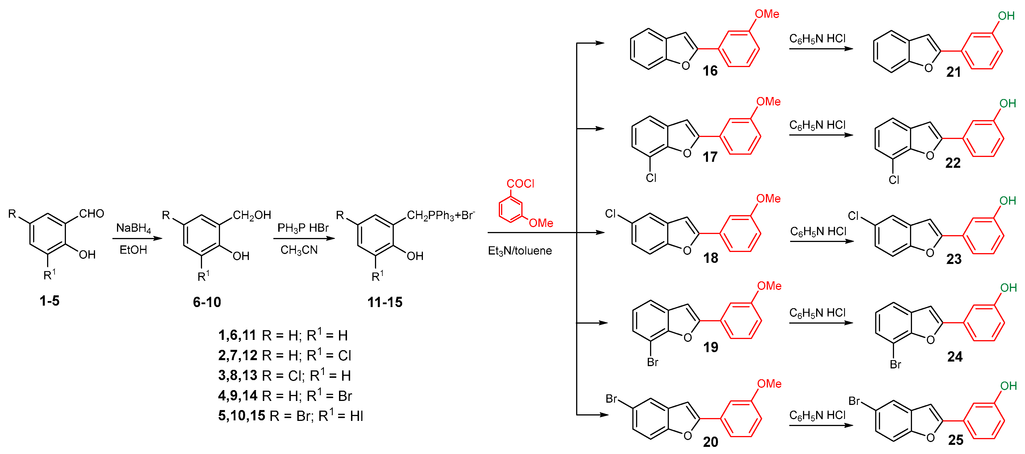
2.1. Chemistry
2.2. Biological Activity
2.2.1. Determination of Cholinesterase’s Inhibition
2.2.2. Cell Viability
2.3. Computational Methods
2.3.1. Calculation of ADME Properties
2.3.2. Molecular Docking
2.4. Statistical Analysis
3. Results and Discussion
3.1. Chemistry
3.2. Biological Activity
3.3. Cell Viability and Cellular Antioxidant Activity
3.4. Absorption, Distribution, Metabolism, and Excretion (ADMET) Studies
3.5. Molecular Docking Study
4. Conclusions
Supplementary Materials
Author Contributions
Funding
Institutional Review Board Statement
Informed Consent Statement
Data Availability Statement
Acknowledgments
Conflicts of Interest
References
- Cavalli, A.; Bolognesi, M.L.; Minarini, A.; Rosini, M.; Tumiatti, V.; Recanatini, M.; Melchiorre, C. Multi-target-Directed Ligands to Combat Neurodegenerative Diseases. J. Med. Chem. 2008, 51, 347–372. [Google Scholar] [CrossRef]
- Almaghrabi, M. Multitarget-Directed Ligands for Alzheimer’s Disease: Recent Novel MTDLs and Mechanistic Insights. Pharmaceuticals 2025, 18, 1685. [Google Scholar] [CrossRef]
- Terry, A.V.; Buccafusco, J.J. The Cholinergic Hypothesis of Age and Alzheimer’s Disease-Related Cognitive Deficits: Recent Challenges and Their Implications for Novel Drug Development. J. Pharmacol. Exp. Ther. 2003, 306, 821–827. [Google Scholar] [CrossRef] [PubMed]
- Villeda-González, J.D.; Gómez-Olivares, J.L.; Baiza-Gutman, L.A. New paradigms in the study of the cholinergic system and metabolic diseases: Acetyl-and-butyrylcholinesterase. J. Cell Physiol. 2024, 239, e31274. [Google Scholar] [CrossRef]
- Yankner, B.A.; Duffy, L.K.; Kirschner, D.A. Neurotrophic and Neurotoxic Effects of Amyloid β Protein: Reversal by Tachykinin Neuropeptides. Science 1990, 250, 279–282. [Google Scholar] [CrossRef]
- U.S. Food and Drug Administration. FDA Approves Leqembi (lecanemab-irmb) Under Accelerated Approval Pathway for the Treatment of Alzheimer’s Disease; FDA: Silver Spring, MD, USA, 2023; Available online: https://www.prnewswire.com/news-releases/fda-approves-leqembi-lecanemab-irmb-under-the-accelerated-approval-pathway-for-the-treatment-of-alzheimers-disease-301715691.html (accessed on 3 January 2026).
- van Dyck, C.H.; Swanson, C.J.; Aisen, P.; Bateman, R.J.; Chen, C.; Gee, M.; Kanekiyo, M.; Li, D.; Reyderman, L.; Cohen, S.; et al. Lecanemab in Early Alzheimer’s Disease. N. Engl. J. Med. 2023, 388, 9–21. [Google Scholar] [CrossRef]
- Andrews, J.S.; Desai, U.; Kirson, N.Y.; Zichlin, M.L.; Ball, D.E.; Matthews, B.R. Disease severity and minimal clinically important differences in clinical outcome assessments for Alzheimer’s disease clinical trials. Alzheimers Dement. 2019, 5, 354–363. [Google Scholar] [CrossRef] [PubMed]
- Mullane, K.; Williams, M. Alzheimer’s disease beyond amyloid: Can the repetitive failures of amyloid-targeted therapeutics inform future approaches to dementia drug discovery? Biochem. Pharmacol. 2020, 177, 113945. [Google Scholar] [CrossRef] [PubMed]
- Jonsson, T.; Atwal, J.K.; Steinberg, S.; Snaedal, J.; Jonsson, P.V.; Bjornsson, S.; Stefansson, H.; Sulem, P.; Gudbjartsson, D.; Maloney, J.; et al. A mutation in APP protects against Alzheimer’s disease and age-related cognitive decline. Nature 2012, 488, 96–99. [Google Scholar] [CrossRef]
- Howlett, D.R.; Perry, A.E.; Godfrey, F.; Swatton, J.E.; Jennings, K.H.; Spitzfaden, C.; Wadsworth, H.; Wood, S.J.; Markwell, R.E. Inhibition of fibril formation in β-amyloid peptide by a novel series of benzofurans. Biochem. J. 1999, 15, 283–289. [Google Scholar] [CrossRef]
- Nevagi, R.J.; Dighe, S.N.; Dighe, S.N. Biological and medicinal significance of benzofuran. Eur. J. Med. Chem. 2015, 97, 561–581. [Google Scholar] [CrossRef]
- Miao, Y.H.; Hu, Y.H.; Yang, J.; Liu, T.; Sun, J.; Wang, X.J. Natural source, bioactivity and synthesis of benzofuran derivatives. RSC Adv. 2019, 9, 27510–27540. [Google Scholar] [CrossRef] [PubMed]
- Delogu, G.L.; Fais, A.; Pintus, F.; Goyal, C.; Matos, M.J.; Era, B.; Kumar, A. Structural Insight of New Butyrylcholinesterase Inhibitors Based on Benzylbenzofuran Scaffold. Pharmaceuticals 2022, 15, 304. [Google Scholar] [CrossRef]
- Fais, A.; Kumar, A.; Medda, R.; Pintus, F.; Delogu, F.; Matos, M.J.; Era, B.; Delogu, G.L. Synthesis, molecular docking and cholinesterase inhibitory activity of hydroxylated 2-phenylbenzofuran derivatives. Bioorganic Chem. 2019, 84, 302–308. [Google Scholar] [CrossRef]
- Kumar, A.; Pintus, F.; Di Petrillo, A.; Medda, R.; Caria, P.; Matos, M.J.; Viña, D.; Pieroni, E.; Delogu, F.; Era, B.; et al. Novel 2-pheynlbenzofuran derivatives as selective butyrylcholinesterase inhibitors for Alzheimer’s disease. Sci. Rep. 2018, 8, 4424. [Google Scholar] [CrossRef]
- Rampa, A.; Piazzi, L.; Belluti, F.; Gobbi, S.; Bisi, A.; Bartolini, M.; Andrisano, V.; Cavrini, V.; Cavalli, A.; Recanatini, M.; et al. Acetylcholinesterase Inhibitors: SAR and Kinetic Studies on ω-[N-Methyl-N-(3-alkylcarbamoyloxyphenyl)methyl]aminoalkoxyaryl Derivatives. J. Med. Chem. 2001, 44, 3810–3820. [Google Scholar] [CrossRef]
- Piazzi, L.; Belluti, F.; Bisi, A.; Gobbi, S.; Rizzo, S.; Bartolini, M.; Andrisano, V.; Recanatini, M.; Rampa, A. Cholinesterase inhibitors: SAR and enzyme inhibitory activity of 3-[ω-(benzylmethylamino)alkoxy]xanthen-9-ones. Bioorg Med. Chem. 2007, 15, 575–585. [Google Scholar] [CrossRef] [PubMed]
- Belluti, F.; Rampa, A.; Piazzi, L.; Bisi, A.; Gobbi, S.; Bartolini, M.; Andrisano, V.; Cavalli, A.; Recanatini, M.; Valenti, P. Cholinesterase Inhibitors: Xanthostigmine Derivatives Blocking the Acetylcholinesterase-Induced β-Amyloid Aggregation. J. Med. Chem. 2005, 48, 4444–4456. [Google Scholar] [CrossRef] [PubMed]
- Rizzo, S.; Cavalli, A.; Ceccarini, L.; Bartolini, M.; Belluti, F.; Bisi, A.; Andrisano, V.; Recanatini, M.; Rampa, A. Structure–Activity Relationships and Binding Mode in the Human Acetylcholinesterase Active Site of Pseudo-Irreversible Inhibitors Related to Xanthostigmine. ChemMedChem 2009, 4, 670–679. [Google Scholar] [CrossRef]
- Rizzo, S.; Riviere, C.; Piazzi, L.; Bisi, A.; Gobbi, S.; Bartolini, M.; Andrisano, V.; Morroni, F.; Tarozzi, A.; Monti, J.P.; et al. Benzofuran-Based Hybrid Compounds for the Inhibition of Cholinesterase Activity, Amyloid Aggregation, and A Neurotoxicity. J. Med. Chem. 2008, 51, 2883–2886. [Google Scholar] [CrossRef]
- Ellman, G.L.; Courtney, K.D.; Andres, V.; Featherstone, R.M. A New and Rapid Colorimetric Determination of Acetylcholinesterase Activity. Biochem. Pharmacol. 1961, 7, 88–95. [Google Scholar] [CrossRef] [PubMed]
- Era, B.; Floris, S.; Sogos, V.; Porcedda, C.; Piras, A.; Medda, R.; Fais, A.; Pintus, A. Anti-Aging Potential of Extracts from Washingtonia filifera Seeds. Plants 2021, 10, 151. [Google Scholar] [CrossRef] [PubMed]
- Daina, A.; Michielin, O.; Zoete, V. SwissADME: A free web tool to evaluate pharmacokinetics, drug-likeness and medicinal chemistry friendliness of small molecules. Sci. Rep. 2017, 7, 42717. [Google Scholar] [CrossRef]
- Xiong, G.; Wu, Z.; Yi, J.; Fu, L.; Yang, Z.; Hsieh, C.; Yin, M.; Zeng, X.; Wu, C.; Lu, A.; et al. ADMETlab 2.0: An integrated online platform for accurate and comprehensive predictions of ADMET properties. Nucleic Acids Res. 2021, 49, W5–W14. [Google Scholar] [CrossRef]
- Eberhardt, J.; Santos-Martins, D.; Tillack, A.F.; Forli, S. AutoDock Vina 1.2.0: New Docking Methods, Expanded Force Field, and Python Bindings. J. Chem. Inf. Model. 2021, 61, 3891–3898. [Google Scholar] [CrossRef]
- Delogu, G.L.; Matos, M.J.; Fanti, M.; Era, B.; Medda, R.; Pieroni, E.; Fais, A.; Kumar, A.; Pintus, F. 2-Phenylbenzofuran derivatives as butyrylcholinesterase inhibitors: Synthesis, biological activity and molecular modeling. Bioorg Med. Chem. Lett. 2016, 26, 2308–2313. [Google Scholar] [CrossRef]
- Delogu, G.L.; Era, B.; Floris, S.; Medda, R.; Sogos, V.; Pintus, F.; Gatto, G.; Kumar, A.; Torstensdotter Westermark, G.; Fais, A. A new biological prospective for the 2-phenylbenzofurans as inhibitors of α-glucosidase and of the islet amyloid polypeptide formation. Int. J. Biol. Macromol. 2021, 169, 428–435. [Google Scholar] [CrossRef]
- Rizzo, S.; Tarozzi, A.; Bartolini, M.; Da Costa, G.; Bisi, A.; Gobbi, S.; Belluti, F.; Ligresti, A.; Allarà, M.; Monti, J.P.; et al. 2-Arylbenzofuran-based molecules as multipotent Alzheimer’s disease modifying agents. Eur. J. Med. Chem. 2012, 58, 519–532. [Google Scholar] [CrossRef]
- Onder, S.; Schopfer, L.M.; Jiang, W.; Tacal, O.; Lockridge, O. Butyrylcholinesterase in SH-SY5Y human neuroblastoma cells. Neurotoxicology 2022, 90, 1–9. [Google Scholar] [CrossRef] [PubMed]
- Lipinski, C.A.; Lombardo, F.; Dominy, B.W.; Feeney, P.J. Experimental and computational approaches to estimate solubility and permeability in drug discovery and development settings. Adv. Drug Deliv. Rev. 1997, 23, 3–25. [Google Scholar] [CrossRef]
- Ghose, A.K.; Viswanadhan, V.N.; Wendoloski, J.J. A Knowledge-Based Approach in Designing Combinatorial or Medicinal Chemistry Libraries for Drug Discovery. 1. A Qualitative and Quantitative Characterization of Known Drug Databases. J. Comb. Chem. 1999, 1, 55–68. [Google Scholar] [CrossRef] [PubMed]
- Veber, D.F.; Johnson, S.R.; Cheng, H.Y.; Smith, B.R.; Ward, K.W.; Kopple, K.D. Molecular Properties That Influence the Oral Bioavailability of Drug Candidates. J. Med. Chem. 2002, 45, 2615–2623. [Google Scholar] [CrossRef]
- Egan, W.J.; Merz, K.M.; Baldwin, J.J. Prediction of Drug Absorption Using Multivariate Statistics. J. Med. Chem. 2000, 43, 3867–3877. [Google Scholar] [CrossRef]
- Muegge, I.; Heald, S.L.; Brittelli, D. Simple Selection Criteria for Drug-like Chemical Matter. J. Med. Chem. 2001, 44, 1841–1846. [Google Scholar] [CrossRef]
- Delaney, J.S. ESOL: Estimating Aqueous Solubility Directly from Molecular Structure. J. Chem. Inf. Comput. Sci. 2004, 44, 1000–1005. [Google Scholar] [CrossRef]











| Compounds | IC50 AChE (µM) | IC50 BChE (µM) | Compounds | IC50 AChE (µM) | IC50 BChE (µM) | Compounds | IC50 AChE (µM) * | IC50 BChE (µM) * | Ratio (AChE/ BChE) |
|---|---|---|---|---|---|---|---|---|---|
![]() | >50 | >50 | ![]() | >50 | >50 | ![]() | 43.2 ± 0.9 a | 2.1 ± 0.1 a | 20.6 |
![]() | 28.21 ± 1.26 [15] | 13.42 ± 2.57 [15,16] | ![]() | >50 | >50 | ![]() | >50 | 10.4 ± 2.1 b | - |
![]() | >50 | 10.5 ± 0.4 [14] | ![]() | >50 | >50 | ![]() | >50 | >50 | - |
![]() | 23.96 ± 2.77 [15] | 7.96 ± 0.28 [15] | ![]() | >50 | >50 | ![]() | 27.7 ± 1.48 b | 0.7 ± 0.01 a | 39.6 |
![]() | >100 [14] | 10.6 ± 1.6 [14] | ![]() | >50 | >50 | ![]() | 32.2 ± 1.8 b | 3.5 ± 0.6 a | 9.2 |
| Galantamine | 0.9 ± 0.02 [16] | 28.3 ± 2.1 [16] | |||||||
| Compounds | 26 | 27 | 28 | 29 | 30 | 31 | 32 | 33 | 34 | 35 | |
|---|---|---|---|---|---|---|---|---|---|---|---|
| Physicochemical Properties | MW (g/mol) | 387.31 | 421.76 | 421.76 | 466.21 | 466.21 | 427.58 | 462.02 | 462.02 | 506.47 | 506.47 |
| HBA | 2 | 2 | 2 | 2 | 2 | 3 | 3 | 3 | 3 | 3 | |
| HBD | 0 | 0 | 0 | 0 | 0 | 0 | 0 | 0 | 0 | 0 | |
| TPSA (Å2) | 22.37 | 22.37 | 22.37 | 22.37 | 22.37 | 25.61 | 25.61 | 25.61 | 25.61 | 25.61 | |
| Lipophilicity | iLogP | 4.59 | 4.79 | 4.87 | 4.89 | 4.90 | 5.39 | 5.62 | 5.64 | 5.73 | 5.74 |
| Water Solubility | Log S (ESOL) | −6.32 | −6.92 | −6.92 | −7.23 | −7.23 | −6.88 | −7.48 | −7.48 | −7.79 | −7.79 |
| Solubility | PWS | PWS | PWS | PWS | PWS | PWS | PWS | PWS | PWS | PWS | |
| Pharmacokinetics | GI absorption | low | low | low | low | low | low | low | low | low | low |
| BBB permeant | no | no | no | no | no | no | no | no | no | no | |
| Log Kp (cm/s) | −3.91 | −3.68 | −3.68 | −3.90 | −3.90 | −3.61 | −3.37 | −3.37 | −3.60 | −3.60 | |
| Drug-Likeness | Lipinsky violations | 1 | 1 | 1 | 1 | 1 | 1 | 1 | 1 | 2 | 2 |
| Ghose violations | 1 | 1 | 1 | 1 | 1 | 2 | 2 | 2 | 3 | 3 | |
| Veber violations | 0 | 0 | 0 | 0 | 0 | 1 | 1 | 1 | 1 | 1 | |
| Egan violations | 1 | 1 | 1 | 1 | 1 | 1 | 1 | 1 | 1 | 1 | |
| Muegge violations | 1 | 1 | 1 | 1 | 1 | 1 | 1 | 1 | 1 | 1 | |
| Bioavailability Score (F) | 0.55 | 0.55 | 0.55 | 0.55 | 0.55 | 0.55 | 0.55 | 0.55 | 0.17 | 0.17 |
Disclaimer/Publisher’s Note: The statements, opinions and data contained in all publications are solely those of the individual author(s) and contributor(s) and not of MDPI and/or the editor(s). MDPI and/or the editor(s) disclaim responsibility for any injury to people or property resulting from any ideas, methods, instructions or products referred to in the content. |
© 2026 by the authors. Licensee MDPI, Basel, Switzerland. This article is an open access article distributed under the terms and conditions of the Creative Commons Attribution (CC BY) license.
Share and Cite
Delogu, G.L.; Begala, M.; Novás, M.; Matos, M.J.; Piras, F.; Floris, S.; Pintus, F.; Mancinelli, M.; Era, B.; Fais, A. 2-Arylbenzofurans as Selective Cholinesterase Inhibitors: Design, Synthesis, and Evaluation as Alzheimer’s Disease Agents. Biomolecules 2026, 16, 178. https://doi.org/10.3390/biom16010178
Delogu GL, Begala M, Novás M, Matos MJ, Piras F, Floris S, Pintus F, Mancinelli M, Era B, Fais A. 2-Arylbenzofurans as Selective Cholinesterase Inhibitors: Design, Synthesis, and Evaluation as Alzheimer’s Disease Agents. Biomolecules. 2026; 16(1):178. https://doi.org/10.3390/biom16010178
Chicago/Turabian StyleDelogu, Giovanna Lucia, Michela Begala, Manuel Novás, Maria João Matos, Franca Piras, Sonia Floris, Francesca Pintus, Michele Mancinelli, Benedetta Era, and Antonella Fais. 2026. "2-Arylbenzofurans as Selective Cholinesterase Inhibitors: Design, Synthesis, and Evaluation as Alzheimer’s Disease Agents" Biomolecules 16, no. 1: 178. https://doi.org/10.3390/biom16010178
APA StyleDelogu, G. L., Begala, M., Novás, M., Matos, M. J., Piras, F., Floris, S., Pintus, F., Mancinelli, M., Era, B., & Fais, A. (2026). 2-Arylbenzofurans as Selective Cholinesterase Inhibitors: Design, Synthesis, and Evaluation as Alzheimer’s Disease Agents. Biomolecules, 16(1), 178. https://doi.org/10.3390/biom16010178
















