MiR-223 and MiR-186 Are Associated with Long-Term Mortality after Myocardial Infarction
Abstract
:1. Introduction
2. Materials and Methods
2.1. Study Population
2.2. Total RNA Isolation and Quality Control
2.3. MiRNA Expression Analysis
2.4. Statistical Analysis
3. Results
3.1. Population Characteristics and MiRNA Profile Analysis
3.2. Association of MiRNA Candidates with the Risk of MI
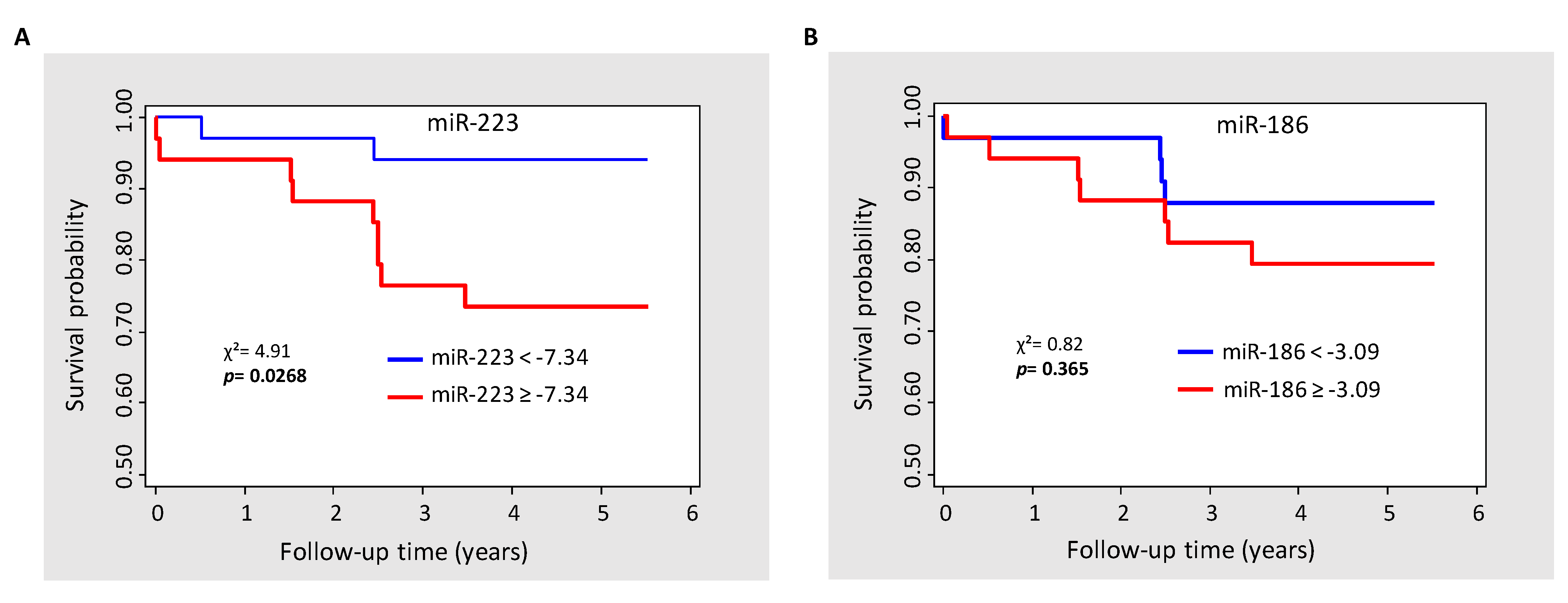
3.3. MiR-223 and MiR-186 Are Associated with Long-Term Mortality after MI
4. Discussion
Author Contributions
Funding
Institutional Review Board Statement
Informed Consent Statement
Data Availability Statement
Acknowledgments
Conflicts of Interest
References
- Timmis, A.; Townsend, N.; Gale, C.; Grobbee, R.; Maniadakis, N.; Flather, M.; Wilkins, E.; Wright, L.; Vos, R.; Bax, J.; et al. European Society of Cardiology: Cardiovascular Disease Statistics 2017. Eur. Heart J. 2018, 39, 508–579. [Google Scholar] [CrossRef] [PubMed]
- Mechanic, O.J.; Gavin, M.; Grossman, S.A.; Ziegler, K. Acute Myocardial Infarction (Nursing). In StatPearls; StatPearls Publishing LLC.: Treasure Island, FL, USA, 2022. [Google Scholar]
- Ibanez, B.; James, S.; Agewall, S.; Antunes, M.J.; Bucciarelli-Ducci, C.; Bueno, H.; Caforio, A.L.P.; Crea, F.; Goudevenos, J.A.; Halvorsen, S.; et al. 2017 ESC Guidelines for the management of acute myocardial infarction in patients presenting with ST-segment elevation: The Task Force for the management of acute myocardial infarction in patients presenting with ST-segment elevation of the European Society of Cardiology (ESC). Eur. Heart J. 2018, 39, 119–177. [Google Scholar] [CrossRef] [PubMed]
- Wang, G.K.; Zhu, J.Q.; Zhang, J.T.; Li, Q.; Li, Y.; He, J.; Qin, Y.W.; Jing, Q. Circulating microRNA: A novel potential biomarker for early diagnosis of acute myocardial infarction in humans. Eur. Heart J. 2010, 31, 659–666. [Google Scholar] [CrossRef] [PubMed]
- Maries, L.; Marian, C.; Sosdean, R.; Goanta, F.; Sirbu, I.O.; Anghel, A. MicroRNAs-The Heart of Post-Myocardial Infarction Remodeling. Diagnostics 2021, 11, 1675. [Google Scholar] [CrossRef]
- Bartel, D.P. MicroRNAs: Genomics, biogenesis, mechanism, and function. Cell 2004, 116, 281–297. [Google Scholar] [CrossRef]
- Welten, S.M.; Goossens, E.A.; Quax, P.H.; Nossent, A.Y. The multifactorial nature of microRNAs in vascular remodelling. Cardiovasc. Res. 2016, 110, 6–22. [Google Scholar] [CrossRef]
- Thum, T.; Condorelli, G. Long noncoding RNAs and microRNAs in cardiovascular pathophysiology. Circ. Res. 2015, 116, 751–762. [Google Scholar] [CrossRef]
- Boon, R.A.; Vickers, K.C. Intercellular transport of microRNAs. Arterioscler. Thromb. Vasc. Biol. 2013, 33, 186–192. [Google Scholar] [CrossRef]
- Creemers, E.E.; Tijsen, A.J.; Pinto, Y.M. Circulating microRNAs: Novel biomarkers and extracellular communicators in cardiovascular disease? Circ. Res. 2012, 110, 483–495. [Google Scholar] [CrossRef]
- Colpaert, R.M.W.; Calore, M. MicroRNAs in Cardiac Diseases. Cells 2019, 8, 737. [Google Scholar] [CrossRef] [Green Version]
- Faccini, J.; Ruidavets, J.B.; Cordelier, P.; Martins, F.; Maoret, J.J.; Bongard, V.; Ferrieres, J.; Roncalli, J.; Elbaz, M.; Vindis, C. Circulating miR-155, miR-145 and let-7c as diagnostic biomarkers of the coronary artery disease. Sci. Rep. 2017, 7, 42916. [Google Scholar] [CrossRef]
- Elbaz, M.; Faccini, J.; Laperche, C.; Grousset, E.; Roncalli, J.; Ruidavets, J.B.; Vindis, C. Identification of a miRNA Based-Signature Associated with Acute Coronary Syndrome: Evidence from the FLORINF Study. J. Clin. Med. 2020, 9, 1674. [Google Scholar] [CrossRef]
- Hamm, C.W.; Bassand, J.P.; Agewall, S.; Bax, J.; Boersma, E.; Bueno, H.; Caso, P.; Dudek, D.; Gielen, S.; Huber, K.; et al. ESC Guidelines for the management of acute coronary syndromes in patients presenting without persistent ST-segment elevation: The Task Force for the management of acute coronary syndromes (ACS) in patients presenting without persistent ST-segment elevation of the European Society of Cardiology (ESC). Eur. Heart J. 2011, 32, 2999–3054. [Google Scholar] [CrossRef]
- Hellemans, J.; Mortier, G.; De Paepe, A.; Speleman, F.; Vandesompele, J. qBase relative quantification framework and software for management and automated analysis of real-time quantitative PCR data. Genome Biol. 2007, 8, R19. [Google Scholar] [CrossRef]
- DeLong, E.R.; DeLong, D.M.; Clarke-Pearson, D.L. Comparing the areas under two or more correlated receiver operating characteristic curves: A nonparametric approach. Biometrics 1988, 44, 837–845. [Google Scholar] [CrossRef]
- Gomes, C.P.C.; Schroen, B.; Kuster, G.M.; Robinson, E.L.; Ford, K.; Squire, I.B.; Heymans, S.; Martelli, F.; Emanueli, C.; Devaux, Y. Regulatory RNAs in Heart Failure. Circulation 2020, 141, 313–328. [Google Scholar] [CrossRef]
- Li, Z.; Wu, J.; Wei, W.; Cai, X.; Yan, J.; Song, J.; Wang, C.; Wang, J. Association of Serum miR-186-5p With the Prognosis of Acute Coronary Syndrome Patients After Percutaneous Coronary Intervention. Front. Physiol. 2019, 10, 686. [Google Scholar] [CrossRef]
- Li, L.; Li, S.; Wu, M.; Chi, C.; Hu, D.; Cui, Y.; Song, J.; Lee, C.; Chen, H. Early diagnostic value of circulating microRNAs in patients with suspected acute myocardial infarction. J. Cell Physiol. 2019, 234, 13649–13658. [Google Scholar] [CrossRef]
- Dang, R.Y.; Liu, F.L.; Li, Y. Circular RNA hsa_circ_0010729 regulates vascular endothelial cell proliferation and apoptosis by targeting the miR-186/HIF-1α axis. Biochem. Biophys. Res. Commun. 2017, 490, 104–110. [Google Scholar] [CrossRef]
- Liu, L.; Wang, Y.; Bai, R.; Yang, K.; Tian, Z. MiR-186 inhibited aerobic glycolysis in gastric cancer via HIF-1α regulation. Oncogenesis 2016, 5, e224. [Google Scholar] [CrossRef] [Green Version]
- Wu, R.; Shen, D.; Sohun, H.; Ge, D.; Chen, X.; Wang, X.; Chen, R.; Wu, Y.; Zeng, J.; Rong, X.; et al. miR-186, a serum microRNA, induces endothelial cell apoptosis by targeting SMAD6 in Kawasaki disease. Int. J. Mol. Med. 2018, 41, 1899–1908. [Google Scholar] [CrossRef]
- Zhang, M.W.; Shen, Y.J.; Shi, J.; Yu, J.G. MiR-223-3p in Cardiovascular Diseases: A Biomarker and Potential Therapeutic Target. Front. Cardiovasc. Med. 2020, 7, 610561. [Google Scholar] [CrossRef]
- Fazi, F.; Rosa, A.; Fatica, A.; Gelmetti, V.; De Marchis, M.L.; Nervi, C.; Bozzoni, I. A minicircuitry comprised of microRNA-223 and transcription factors NFI-A and C/EBPalpha regulates human granulopoiesis. Cell 2005, 123, 819–831. [Google Scholar] [CrossRef]
- Johnnidis, J.B.; Harris, M.H.; Wheeler, R.T.; Stehling-Sun, S.; Lam, M.H.; Kirak, O.; Brummelkamp, T.R.; Fleming, M.D.; Camargo, F.D. Regulation of progenitor cell proliferation and granulocyte function by microRNA-223. Nature 2008, 451, 1125–1129. [Google Scholar] [CrossRef]
- Schulte, C.; Molz, S.; Appelbaum, S.; Karakas, M.; Ojeda, F.; Lau, D.M.; Hartmann, T.; Lackner, K.J.; Westermann, D.; Schnabel, R.B.; et al. miRNA-197 and miRNA-223 Predict Cardiovascular Death in a Cohort of Patients with Symptomatic Coronary Artery Disease. PLoS ONE 2015, 10, e0145930. [Google Scholar] [CrossRef] [PubMed]
- van Rooij, E.; Sutherland, L.B.; Thatcher, J.E.; DiMaio, J.M.; Naseem, R.H.; Marshall, W.S.; Hill, J.A.; Olson, E.N. Dysregulation of microRNAs after myocardial infarction reveals a role of miR-29 in cardiac fibrosis. Proc. Natl. Acad. Sci. USA 2008, 105, 13027–13032. [Google Scholar] [CrossRef] [PubMed]
- Wang, K.; Long, B.; Liu, F.; Wang, J.-X.; Liu, C.-Y.; Zhao, B.; Zhou, L.-Y.; Sun, T.; Wang, M.; Yu, T.; et al. A circular RNA protects the heart from pathological hypertrophy and heart failure by targeting miR-223. Eur. Heart J. 2016, 37, 2602–2611. [Google Scholar] [CrossRef]
- Rui, L.; Liu, R.; Jiang, H.; Liu, K. Sox9 Promotes Cardiomyocyte Apoptosis After Acute Myocardial Infarction by Promoting miR-223-3p and Inhibiting MEF2C. Mol. Biotechnol. 2022, 64, 902–913. [Google Scholar] [CrossRef]
- Liu, X.; Xu, Y.; Deng, Y.; Li, H. MicroRNA-223 Regulates Cardiac Fibrosis After Myocardial Infarction by Targeting RASA1. Cell Physiol. Biochem. 2018, 46, 1439–1454. [Google Scholar] [CrossRef] [PubMed]
- Shi, L.; Fisslthaler, B.; Zippel, N.; Frömel, T.; Hu, J.; Elgheznawy, A.; Heide, H.; Popp, R.; Fleming, I. MicroRNA-223 antagonizes angiogenesis by targeting β1 integrin and preventing growth factor signaling in endothelial cells. Circ. Res. 2013, 113, 1320–1330. [Google Scholar] [CrossRef]
- Xu, D.; Zhang, X.; Chen, X.; Yang, S.; Chen, H. Inhibition of miR-223 attenuates the NLRP3 inflammasome activation, fibrosis, and apoptosis in diabetic cardiomyopathy. Life Sci. 2020, 256, 117980. [Google Scholar] [CrossRef]
- Qin, D.; Wang, X.; Li, Y.; Yang, L.; Wang, R.; Peng, J.; Essandoh, K.; Mu, X.; Peng, T.; Han, Q.; et al. MicroRNA-223-5p and -3p Cooperatively Suppress Necroptosis in Ischemic/Reperfused Hearts. J. Biol. Chem. 2016, 291, 20247–20259. [Google Scholar] [CrossRef]
- Vickers, K.C.; Landstreet, S.R.; Levin, M.G.; Shoucri, B.M.; Toth, C.L.; Taylor, R.C.; Palmisano, B.T.; Tabet, F.; Cui, H.L.; Rye, K.A.; et al. MicroRNA-223 coordinates cholesterol homeostasis. Proc. Natl. Acad. Sci. USA 2014, 111, 14518–14523. [Google Scholar] [CrossRef]
- Vickers, K.C.; Palmisano, B.T.; Shoucri, B.M.; Shamburek, R.D.; Remaley, A.T. MicroRNAs are transported in plasma and delivered to recipient cells by high-density lipoproteins. Nat. Cell Biol. 2011, 13, 423–433. [Google Scholar] [CrossRef]
- Choteau, S.A.; Cuesta Torres, L.F.; Barraclough, J.Y.; Elder, A.M.M.; Martínez, G.J.; Chen Fan, W.Y.; Shrestha, S.; Ong, K.L.; Barter, P.J.; Celermajer, D.S.; et al. Transcoronary gradients of HDL-associated MicroRNAs in unstable coronary artery disease. Int. J. Cardiol. 2018, 253, 138–144. [Google Scholar] [CrossRef]


| MI Patients (n = 67) | Control Subjects (n = 80) | p Value | ||
|---|---|---|---|---|
| Gender (%) | Male | 78 | 58 | 0.001 |
| Female | 22 | 42 | ||
| Age (years) | 64.9 ± 12.5 | 60.1 ± 7.9 | 0.01 | |
| Obesity (%) | 16.4 | 32 | 0.006 | |
| Dyslipideamia (%) | 56.5 | 77 | 0.005 | |
| Diabetes (%) | 17.9 | 24 | 0.35 | |
| Hypertension (%) | 52.1 | 85 | 0.001 | |
| Current smoker (%) | 38.8 | 15 | 0.001 | |
| Heredity (%) | 30.4 | 34 | 0.79 | |
| Blood glucose (mmol/L) | 7.2 ± 3.3 | 6.28 ± 3.5 | 0.002 | |
| Triglycerides (mg/dL) | 115.9 ± 56.8 | 137.1 ± 70.6 | 0.06 | |
| Total cholesterol (mg/dL) | 188.6 ± 63.8 | 199.2 ± 44.5 | 0.11 | |
| LDL-cholesterol (mg/dL) a | 121.2 ± 57 | 119.3 ± 40.3 | 0.73 | |
| HDL-cholesterol (mg/dL) b | 47.4 ± 14.9 | 52.8 ± 15.6 | 0.068 | |
| Medical treatment at admission | ||||
| Beta blocker agents (%) | 26.9 | 27 | 0.61 | |
| ACE inhibitors (%) c | 11.9 | 25 | 0.06 | |
| Antiplatelet agents (%) | 28.2 | 26 | 0.33 | |
| Statins (%) | 34.3 | 48 | 0.08 | |
| Calcium channel blocker (%) | 22.4 | 40 | 0.03 | |
| Angiotensin blocker (%) | 25.5 | 49 | 0.001 | |
| Antidiabetic treatment (%) | 7.5 | 20 | 0.02 | |
| Unadjusted | Adjusted | |||||
|---|---|---|---|---|---|---|
| OR | 95%CI | p Value | OR | 95%CI | p Value | |
| mir_122 | ||||||
| t2 vs. t1 | 1.04 | 0.46–3.32 | 0.93 | 1.68 | 0.49–4.85 | 0.41 |
| t3 vs. t1 | 1.45 | 0.65–3.23 | 0.36 | 3.16 | 0.87–11.4 | 0.08 |
| Tertiles −7.01 and −5.58 | ||||||
| p for trend | 0.36 | 0.08 | ||||
| mir_150 | ||||||
| t2 vs. t1 | 3.04 | 1.59–5.28 | 0.001 | 3.19 | 1.07–6.33 | 0.001 |
| t3 vs. t1 | 6.40 | 4.62–8.91 | 0.001 | 6.67 | 4.10–10.6 | 0.01 |
| Tertiles −3.09 and −1.16 | ||||||
| p for trend | 0.001 | 0.001 | ||||
| mir_16 | ||||||
| t2 vs. t1 | 2.32 | 1.20–3.71 | 0.001 | 3.09 | 1.34–5.45 | 0.002 |
| t3 vs. t1 | 4.47 | 3.22–5.99 | 0.001 | 5.27 | 3.32–7.96 | 0.001 |
| Tertiles 1.90 and 3.13 | ||||||
| p for trend | 0.001 | 0.001 | ||||
| mir_186 | ||||||
| t2 vs. t1 | 2.78 | 1.55–4.44 | 0.001 | 2.33 | 0.76–4.38 | 0.009 |
| t3 vs. t1 | 5.01 | 3.63–6.80 | 0.001 | 4.22 | 2.54–6.46 | 0.001 |
| Tertiles −5.33 and −3.55 | ||||||
| p for trend | 0.001 | 0.001 | ||||
| mir_195 | ||||||
| t2 vs. t1 | 2.59 | 1.36–4.25 | 0.001 | 3.85 | 1.72–7.07 | 0.002 |
| t3 vs. t1 | 5.24 | 3.81–7.08 | 0.001 | 5.9 | 3.74–9.13 | 0.001 |
| Tertiles −4.21 and −2.40 | ||||||
| p for trend | 0.001 | 0.001 | ||||
| mir_223 | ||||||
| t2 vs. t1 | 2.21 | 1.08–3.60 | 0.001 | 1.56 | 0.09–3.36 | 0.06 |
| t3 vs. t1 | 4.91 | 3.58–6.53 | 0.001 | 4.27 | 2.62–6.37 | 0.001 |
| Tertiles −9.95 and −8.10 | ||||||
| p for trend | 0.001 | 0.001 | ||||
| mir_92a | ||||||
| t2 vs. t1 | 4.13 | 2.08–8.99 | 0.005 | 3.66 | 1.21–8.72 | 0.02 |
| t3 vs. t1 | 9.15 | 6.15–14.9 | 0.001 | 8.86 | 5.17–16.1 | 0.001 |
| Tertiles −0.90 and 0.72 | ||||||
| p for trend | 0.001 | 0.001 | ||||
| AUC | 95 % CI | χ2 | p Value | ||
|---|---|---|---|---|---|
| miRNA | |||||
| miR-150 | 0.977 | 0.954–0.999 | |||
| miR-16 | 0.911 | 0.866–0.957 | |||
| miR-186 | 0.922 | 0.877–0.967 | |||
| miR-195 | 0.936 | 0.898–0.973 | |||
| miR-223 | 0.904 | 0.857–0.951 | |||
| miR-92a | 0.988 | 0.975–1.000 | |||
| Clinical model | 0.914 | 0.868–0.959 | |||
| + | miR-150 | 0.996 | 0.990–1.000 | 12.9 | 0.001 |
| + | miR-16 | 0.981 | 0.965–0.997 | 10.3 | 0.0013 |
| + | miR-186 | 0.973 | 0.953–0.994 | 8.5 | 0.0036 |
| + | miR-195 | 0.986 | 0.973–0.998 | 11.3 | 0.001 |
| + | miR-223 | 0.968 | 0.945–0.991 | 8.01 | 0.0045 |
| + | miR-92a | 0.999 | 0.998–1.000 | 14.1 | 0.001 |
| Alive (n = 56; 83.6%) | Dead (n = 11; 16.4%) | p Value | |
|---|---|---|---|
| miRNA | |||
| miR-150 | 1.271 (0.292) | 1.653 (0.380) | 0.578 |
| miR-16 | 1.488 (0.233) | 2.241 (1.054) | 0.283 |
| miR-186 | 1.493 (0.216) | 4.64 (2.549) | 0.010 |
| miR-195 | 1.908 (0.457) | 3.306 (2.425) | 0.345 |
| miR-223 | 1.806 (0.272) | 7.096 (3.394) | 0.001 |
| miR-92a | 1.326 (0.154) | 1.397 (0.454) | 0.859 |
| Unadjusted | Adjusted for LVEF | |||||
|---|---|---|---|---|---|---|
| HR | 95% CI | p Value | HR | 95% CI | p Value | |
| miRNA | ||||||
| miR-150 | 0.92 | 0.58–1.46 | 0.71 | |||
| miR-16 | 0.82 | 0.50–1.34 | 0.43 | |||
| miR-186 | 1.56 | 1.06–2.29 | 0.025 | 1.41 | 0.98–2.04 | 0.065 |
| miR-195 | 0.84 | 0.55–1.30 | 0.44 | |||
| miR-223 | 1.75 | 1.19–2.57 | 0.0045 | 1.57 | 1.07–2.29 | 0.02 |
| miR-92a | 0.99 | 0.57–1.75 | 0.99 | |||
Publisher’s Note: MDPI stays neutral with regard to jurisdictional claims in published maps and institutional affiliations. |
© 2022 by the authors. Licensee MDPI, Basel, Switzerland. This article is an open access article distributed under the terms and conditions of the Creative Commons Attribution (CC BY) license (https://creativecommons.org/licenses/by/4.0/).
Share and Cite
Elbaz, M.; Faccini, J.; Laperche, C.; Grazide, M.-H.; Ruidavets, J.-B.; Vindis, C. MiR-223 and MiR-186 Are Associated with Long-Term Mortality after Myocardial Infarction. Biomolecules 2022, 12, 1243. https://doi.org/10.3390/biom12091243
Elbaz M, Faccini J, Laperche C, Grazide M-H, Ruidavets J-B, Vindis C. MiR-223 and MiR-186 Are Associated with Long-Term Mortality after Myocardial Infarction. Biomolecules. 2022; 12(9):1243. https://doi.org/10.3390/biom12091243
Chicago/Turabian StyleElbaz, Meyer, Julien Faccini, Clémence Laperche, Marie-Hélène Grazide, Jean-Bernard Ruidavets, and Cécile Vindis. 2022. "MiR-223 and MiR-186 Are Associated with Long-Term Mortality after Myocardial Infarction" Biomolecules 12, no. 9: 1243. https://doi.org/10.3390/biom12091243
APA StyleElbaz, M., Faccini, J., Laperche, C., Grazide, M.-H., Ruidavets, J.-B., & Vindis, C. (2022). MiR-223 and MiR-186 Are Associated with Long-Term Mortality after Myocardial Infarction. Biomolecules, 12(9), 1243. https://doi.org/10.3390/biom12091243

