Guanidinylation of Chitooligosaccharides Involving Internal Cyclization of the Guanidino Group on the Reducing End and Effect of Guanidinylation on Protein Binding Ability
Abstract
1. Introduction
2. Materials and Methods
2.1. Materials
2.2. Instruments
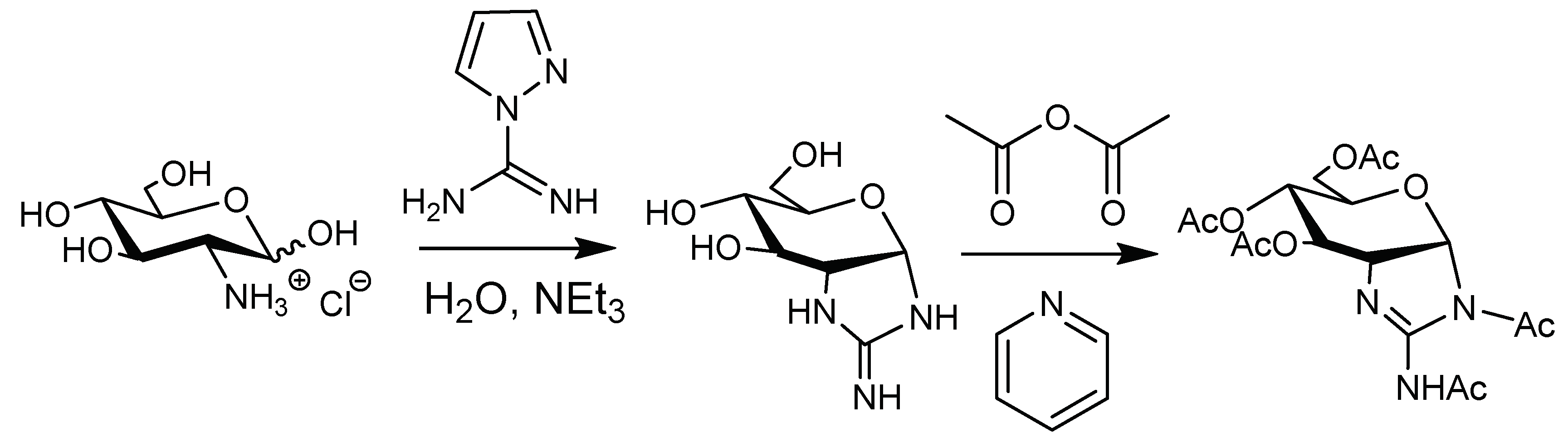
2.3. Preparation of Guanidinylated Chitooligosaccharides
2.4. Preparation of Guanidinylated Chitooligosaccharides Sulfate Salt
2.5. Guanidinylation and Subsequent Acetylation of d-Glucosamine
2.6. Fluorescence Analysis on Interaction between Guanidinylated Chitooligosaccharides and Bovine Serum Albumin
3. Results and Discussion
3.1. Preparation of Guanidinylated Chitooligosaccharides
3.2. Fluorescence Analysis on Interaction between Guanidinylated Chitooligosaccharides and Bovine Serum Albumin
4. Conclusions
Supplementary Materials
Author Contributions
Funding
Conflicts of Interest
References
- Younes, I.; Rinaudo, M. Chitin and Chitosan Preparation from Marine Sources. Structure, Properties and Applications. Mar. Drugs 2015, 13, 1133–1174. [Google Scholar] [CrossRef] [PubMed]
- Mourya, V.K.; Inamdar, N.N.; Choudhari, Y.M. Chitooligosaccharides: Synthesis, Characterization and Applications. Polym. Sci. Ser. A 2011, 53, 583–612. [Google Scholar] [CrossRef]
- Muanprasat, C.; Chatsudthipong, V. Chitosan oligosaccharide: Biological activities and potential therapeutic applications. Pharm. Ther. 2017, 170, 80–97. [Google Scholar] [CrossRef]
- Zou, P.; Yang, X.; Wang, J.; Li, Y.F.; Yu, H.L.; Zhang, Y.X.; Liu, G.Y. Advances in characterisation and biological activities of chitosan and chitosan oligosaccharides. Food Chem. 2016, 190, 1174–1181. [Google Scholar] [CrossRef] [PubMed]
- Kristensen, M.; Nielsen, H.M. Cell-Penetrating Peptides as Carriers for Oral Delivery of Biopharmaceuticals. Basic Clin. Pharmacol. Toxicol. 2016, 118, 99–106. [Google Scholar] [CrossRef] [PubMed]
- Khafagy, E.S.; Morishita, M. Oral biodrug delivery using cell-penetrating peptide. Adv. Drug Deliv. Rev. 2012, 64, 531–539. [Google Scholar] [CrossRef] [PubMed]
- Uusna, J.; Langel, K.; Langel, U. Toxicity, Immunogenicity, Uptake, and Kinetics Methods for CPPs. Methods Mol. Biol. 2015, 1324, 133–148. [Google Scholar] [CrossRef] [PubMed]
- Kamei, N.; Shigei, C.; Hasegawa, R.; Takeda-Morishita, M. Exploration of the Key Factors for Optimizing the in Vivo Oral Delivery of Insulin by Using a Noncovalent Strategy with Cell-Penetrating Peptides. Biol. Pharm. Bull. 2018, 41, 239–246. [Google Scholar] [CrossRef]
- Izawa, H.; Kinai, M.; Ifuku, S.; Morimoto, M.; Saimoto, H. Guanidinylated chitosan inspired by arginine-rich cell-penetrating peptides. Int. J. Biol. Macromol. 2019, 125, 901–905. [Google Scholar] [CrossRef]
- Murayama, T.; Masuda, T.; Afonin, S.; Kawano, K.; Takatani-Nakase, T.; Ida, H.; Takahashi, Y.; Fukuma, T.; Ulrich, A.S.; Futaki, S. Loosening of Lipid Packing Promotes Oligoarginine Entry into Cells. Angew. Chem. Int. Ed. 2017, 56, 7644–7647. [Google Scholar] [CrossRef]
- Takeuchi, T.; Futaki, S. Current Understanding of Direct Translocation of Arginine-Rich Cell-Penetrating Peptides and Its Internalization Mechanisms. Chem. Pharm. Bull. 2016, 64, 1431–1437. [Google Scholar] [CrossRef] [PubMed]
- Mogaki, R.; Hashim, P.K.; Okuro, K.; Aida, T. Guanidinium-based ’molecular glues’ for modulation of biomolecular functions. Chem. Soc. Rev. 2017, 46, 6480–6491. [Google Scholar] [CrossRef] [PubMed]
- Norris, P. Pyranose N-glycosyl amines: Emerging targets with diverse biological potential. Curr. Top. Med. Chem. 2008, 8, 101–113. [Google Scholar] [CrossRef] [PubMed]
- Tanaka, T.; Nagai, H.; Noguchi, M.; Kobayashi, A.; Shoda, S. One-step conversion of unprotected sugars to beta-glycosyl azides using 2-chloroimidazolinium salt in aqueous solution. Chem. Commun. 2009, 3378–3379. [Google Scholar] [CrossRef] [PubMed]
- Alexander, S.R.; Lim, D.; Amso, Z.; Brimble, M.A.; Fairbanks, A.J. Protecting group free synthesis of glycosyl thiols from reducing sugars in water; application to the production of N-glycan glycoconjugates. Org. Biomol. Chem. 2017, 15, 2152–2156. [Google Scholar] [CrossRef] [PubMed]
- Noguchi, M.; Kobayashi, A.; Shoda, S. The One-step Preparation of Sugar Oxazoline Enables the Synthesis of Glycoprotein Having a Definite Structure. Trends Glycosci. Glyc. 2015, 27, E35–E42. [Google Scholar] [CrossRef]
- Noguchi, M.; Tanaka, T.; Gyakushi, H.; Kobayashi, A.; Shoda, S. Efficient Synthesis of Sugar Oxazolines from Unprotected N-Acetyl-2-amino Sugars by Using Chloroformamidinium Reagent in Water. J. Org. Chem. 2009, 74, 2210–2212. [Google Scholar] [CrossRef]
- Ruhaak, L.R.; Steenvoorden, E.; Koeleman, C.A.M.; Deelder, A.M.; Wuhrer, M. 2-Picoline-borane: A non-toxic reducing agent for oligosaccharide labeling by reductive amination. Proteomics 2010, 10, 2330–2336. [Google Scholar] [CrossRef]
- Posakony, J.J.; Ferre-D’Amare, A.R. Glucosamine and Glucosamine-6-phosphate Derivatives: Catalytic Cofactor Analogues for the glmS Ribozyme. J. Org. Chem. 2013, 78, 4730–4743. [Google Scholar] [CrossRef]
- Keizer, J. Non-Linear Fluorescence Quenching and the Origin of Positive Curvature in Stern-Volmer Plots. J. Am. Chem. Soc. 1983, 105, 1494–1498. [Google Scholar] [CrossRef]
- Hu, Y.; Du, Y.M.; Yang, J.H.; Kennedy, J.F.; Wang, X.H.; Wang, L.S. Synthesis, characterization and antibacterial activity of guanidinylated chitosan. Carbohydr. Polym. 2007, 67, 66–72. [Google Scholar] [CrossRef]
- Zhai, X.Y.; Sun, P.; Luo, Y.F.; Ma, C.N.; Xu, J.; Liu, W.G. Guanidinylation: A Simple Way to Fabricate Cell Penetrating Peptide Analogue-Modified Chitosan Vector for Enhanced Gene Delivery. J. Appl. Polym. Sci. 2011, 121, 3569–3578. [Google Scholar] [CrossRef]
- Gottlieb, H.E.; Kotlyar, V.; Nudelman, A. NMR chemical shifts of common laboratory solvents as trace impurities. J. Org. Chem. 1997, 62, 7512–7515. [Google Scholar] [CrossRef] [PubMed]
- Bekale, L.; Agudelo, D.; Tajmir-Riahi, H.A. Effect of polymer molecular weight on chitosan-protein interaction. Colloid Surf. B 2015, 125, 309–317. [Google Scholar] [CrossRef] [PubMed]
- Li, G.; Huang, J.Y.; Chen, T.; Wang, X.Y.; Zhang, H.J.; Chen, Q. Insight into the interaction between chitosan and bovine serum albumin. Carbohydr. Polym. 2017, 176, 75–82. [Google Scholar] [CrossRef] [PubMed]
- Rabbani, G.; Baig, M.H.; Jan, A.T.; Lee, E.J.; Khan, M.V.; Zaman, M.; Farouk, A.E.; Khan, R.H.; Choi, I. Binding of erucic acid with human serum albumin using a spectroscopic and molecular docking study. Int. J. Biol. Macromol. 2017, 105, 1572–1580. [Google Scholar] [CrossRef] [PubMed]
- Rabbani, G.; Lee, E.J.; Ahmad, K.; Baig, M.H.; Choi, I. Binding of Tolperisone Hydrochloride with Human Serum Albumin: Effects on the Conformation, Thermodynamics, and Activity of HSA. Mol. Pharm. 2018, 15, 1445–1456. [Google Scholar] [CrossRef] [PubMed]
- Daimon, Y.; Izawa, H.; Kawakami, K.; Zywicki, P.; Sakai, H.; Abe, M.; Hill, J.P.; Ariga, K. Media-dependent morphology of supramolecular aggregates of beta-cyclodextrin-grafted chitosan and insulin through multivalent interactions. J. Mater. Chem. B 2014, 2, 1802–1812. [Google Scholar] [CrossRef]
- Hirose, T.; Sunazuka, T.; Omura, S. Recent development of two chitinase inhibitors, Argifin and Argadin, produced by soil microorganisms. Proc. Jpn. Acad. B Phys. Biol. Sci. 2010, 86, 85–102. [Google Scholar] [CrossRef]
- Verlee, A.; Mincke, S.; Stevens, C.V. Recent developments in antibacterial and antifungal chitosan and its derivatives. Carbohydr. Polym. 2017, 164, 268–283. [Google Scholar] [CrossRef]







© 2019 by the authors. Licensee MDPI, Basel, Switzerland. This article is an open access article distributed under the terms and conditions of the Creative Commons Attribution (CC BY) license (http://creativecommons.org/licenses/by/4.0/).
Share and Cite
Izawa, H.; Kinai, M.; Ifuku, S.; Morimoto, M.; Saimoto, H. Guanidinylation of Chitooligosaccharides Involving Internal Cyclization of the Guanidino Group on the Reducing End and Effect of Guanidinylation on Protein Binding Ability. Biomolecules 2019, 9, 259. https://doi.org/10.3390/biom9070259
Izawa H, Kinai M, Ifuku S, Morimoto M, Saimoto H. Guanidinylation of Chitooligosaccharides Involving Internal Cyclization of the Guanidino Group on the Reducing End and Effect of Guanidinylation on Protein Binding Ability. Biomolecules. 2019; 9(7):259. https://doi.org/10.3390/biom9070259
Chicago/Turabian StyleIzawa, Hironori, Mizuki Kinai, Shinsuke Ifuku, Minoru Morimoto, and Hiroyuki Saimoto. 2019. "Guanidinylation of Chitooligosaccharides Involving Internal Cyclization of the Guanidino Group on the Reducing End and Effect of Guanidinylation on Protein Binding Ability" Biomolecules 9, no. 7: 259. https://doi.org/10.3390/biom9070259
APA StyleIzawa, H., Kinai, M., Ifuku, S., Morimoto, M., & Saimoto, H. (2019). Guanidinylation of Chitooligosaccharides Involving Internal Cyclization of the Guanidino Group on the Reducing End and Effect of Guanidinylation on Protein Binding Ability. Biomolecules, 9(7), 259. https://doi.org/10.3390/biom9070259

