Facile Preparation of Fe3O4/C Nanocomposite and Its Application for Cost-Effective and Sensitive Detection of Tryptophan
Abstract
1. Introduction
2. Materials and Methods
2.1. Reagents and Solution
2.2. Synthesis of Fe3O4/C Composites
2.3. Fabrication of Fe3O4/C Modified Electrode
2.4. Material Characterization
2.5. Electrochemical Experiments
2.6. Detection of Trp in Human Serum
3. Results and Discussion
3.1. Microstructure and Morphology Characterization of Fe3O4/C Composites
3.2. Electrochemical Active Area
3.3. Electrochemical Responses of Trp on Various Modified Electrodes
3.4. Optimization of Voltammetric Conditions
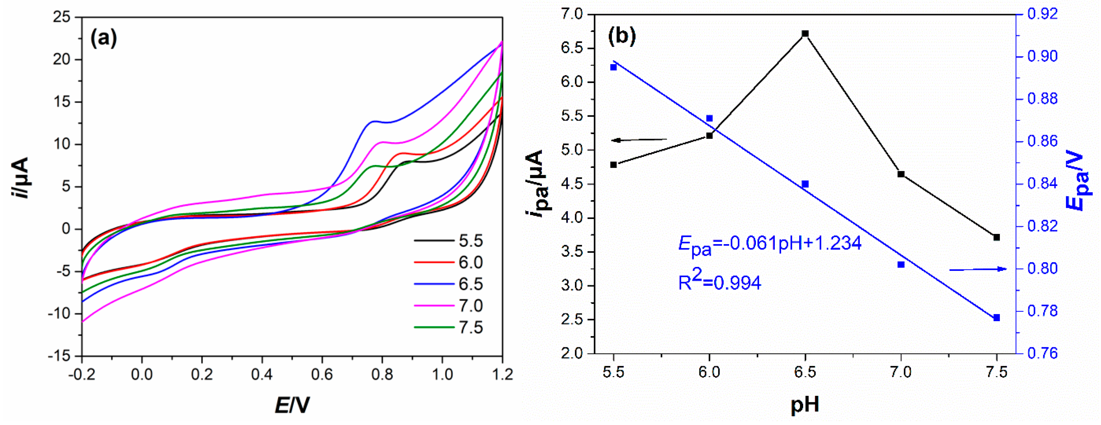
3.4.1. Effect of Solution pH
3.4.2. Effect of Scanning Rate
3.4.3. Effect of Accumulation Parameters
3.5. Calibration Curves, Linear Response Ranges and Limit of Detection
3.6. Repeatability, Reproducibility and Stability Assays
3.7. Detection Trp in Human Serum Samples
4. Conclusions
Author Contributions
Funding
Acknowledgments
Conflicts of Interest
References
- Fernstrom, M.H.; Fernstrom, J.D. Acute tyrosine depletion reduces tyrosine hydroxylation rate in rat central nervous system. Life Sci. 1995, 57, 97–102. [Google Scholar] [CrossRef]
- Wang, L.; Yang, R.; Li, J.; Qu, L.; Harrington, P.D.B. A highly selective and sensitive electrochemical sensor for tryptophan based on the excellent surface adsorption and electrochemical properties of PSS functionalized graphene. Talanta 2019, 196, 309–316. [Google Scholar] [CrossRef] [PubMed]
- Li, J.; Jiang, J.; Xu, Z.; Liu, M.; Tang, S.; Yang, C.; Dong, Q. Facile synthesis of Pd−Cu@Cu2O/N-RGO hybrid and its application for electrochemical detection of tryptophan. Electrochim. Acta 2017, 260, 526–535. [Google Scholar] [CrossRef]
- Wei, L.; Jie, M.D.; Xu, X.; Ying, C.; Lin, W.Y. Rapid high-performance liquid chromatography method for determination of tryptophan in gastric juice. J. Dig. Dis. 2012, 13, 100–106. [Google Scholar]
- Malone, M.A.; Zuo, H.; Lunte, S.M.; Smyth, M.R. Determination of tryptophan and kynurenine in brain microdialysis samples by capillary electrophoresis with electrochemical detection. J. Chromatogr. 1995, 700, 73–80. [Google Scholar] [CrossRef]
- Reynolds, D.M. Rapid and direct determination of tryptophan in water using synchronous fluorescence spectroscopy. Water Res. 2003, 37, 3055–3060. [Google Scholar] [CrossRef]
- Li, H.; Li, F.; Han, C.; Cui, Z.; Xie, G.; Zhang, A. Highly sensitive and selective tryptophan colorimetric sensor based on 4,4-bipyridine-functionalized silver nanoparticles. Sens. Actuators B Chem. 2010, 145, 194–199. [Google Scholar] [CrossRef]
- Qiu, H.; Luo, C.; Sun, M.; Lu, F.; Fan, L.; Li, X. Determination of l-tryptophan based on graphene oxide–magnetite-molecularly imprinted polymers and chemiluminescence. Talanta 2012, 98, 226–230. [Google Scholar] [CrossRef]
- Haldorai, Y.; Yeon, S.H.; Yun, S.H.; Han, Y.K. Electrochemical determination of tryptophan using a glassy carbon electrode modified with flower-like structured nanocomposite consisting of reduced graphene oxide and SnO2. Sens. Actuators B Chem. 2017, 239, 1221–1230. [Google Scholar] [CrossRef]
- Han, J.; Jing, Z.; Li, Z.; Zhang, H.; Yan, Y.; Cao, D.; Wang, G. Nanoporous carbon derived from dandelion pappus as an enhanced electrode material with low cost for amperometric detection of tryptophan. J. Electroanal. Chem. 2018, 818, 149–156. [Google Scholar] [CrossRef]
- Liu, B.; Ouyang, X.; Ding, Y.; Luo, L.; Xu, D.; Ning, Y. Electrochemical preparation of nickel and copper oxides-decorated graphene composite for simultaneous determination of dopamine, acetaminophen and tryptophan. Talanta 2016, 146, 114–121. [Google Scholar] [CrossRef] [PubMed]
- Chen, J.; He, P.; Bai, H.; He, S.; Zhang, T.; Zhang, X.; Dong, F. Poly(β-cyclodextrin)/carbon quantum dots modified glassy carbon electrode: Preparation, characterization and simultaneous electrochemical determination of dopamine, uric acid and tryptophan. Sens. Actuators B Chem. 2017, 252, 9–16. [Google Scholar] [CrossRef]
- Jin, G.P.; Lin, X.Q. The electrochemical behavior and amperometric determination of tyrosine and tryptophan at a glassy carbon electrode modified with butyrylcholine. Electrochem. Commun. 2004, 6, 454–460. [Google Scholar] [CrossRef]
- Raoof, J.B.; Ojani, R.; Karimi-Maleh, H. Carbon paste electrode incorporating 1-[4-(ferrocenyl ethynyl) phenyl]-1-ethanone for electrocatalytic and voltammetric determination of tryptophan. Electroanalysis 2010, 20, 1259–1262. [Google Scholar] [CrossRef]
- Xu, C.X.; Huang, K.J.; Fan, Y.; Wu, Z.W.; Li, J.; Gan, T. Simultaneous electrochemical determination of dopamine and tryptophan using a TiO2-graphene/poly(4-aminobenzenesulfonic acid) composite film based platform. Mater. Sci. Eng. C 2012, 31, 969–974. [Google Scholar] [CrossRef]
- Fan, Y.; Liu, J.H.; Lu, H.T.; Zhang, Q. Electrochemistry and voltammetric determination of L-tryptophan and L-tyrosine using a glassy carbon electrode modified with a Nafion/TiO2-graphene composite film. Microchim. Acta 2011, 173, 241–247. [Google Scholar] [CrossRef]
- Xia, X.; Zheng, Z.; Yan, Z.; Zhao, X.; Wang, C.J.S.; Chemical, A.B. Synthesis of Ag-MoS2/chitosan nanocomposite and its application for catalytic oxidation of tryptophan. Sens. Actuators B Chem. 2014, 192, 42–50. [Google Scholar] [CrossRef]
- Mao, S.; Li, W.; Long, Y.; Tu, Y.; Deng, A. Sensitive electrochemical sensor of tryptophan based on Ag@C core–shell nanocomposite modified glassy carbon electrode. Anal. Chim. Acta 2012, 738, 35–40. [Google Scholar] [CrossRef]
- Li, C.; Ya, Y.; Zhan, G.J.C.; Biointerfaces, S.B. Electrochemical investigation of tryptophan at gold nanoparticles modified electrode in the presence of sodium dodecylbenzene sulfonate. Colloids Surf. B 2010, 76, 340–345. [Google Scholar] [CrossRef]
- Porifreva, A.V.; Gorbatchuk, V.V.; Evtugyn, V.G.; Stoikov, I.I.; Evtugyn, G.A. Glassy carbon electrode modified with silver nanodendrites implemented in polylactide-thiacalix[4]arene copolymer for the electrochemical determination of tryptophan. Electroanalysis 2017, 30, 641–649. [Google Scholar] [CrossRef]
- Mukdasai, S.; Poosittisak, S.; Ngeontae, W.; Srijaranai, S. A highly sensitive electrochemical determination of l-tryptophan in the presence of ascorbic acid and uric acid using in situ addition of tetrabutylammonium bromide on the β-cyclodextrin incorporated multi-walled carbon nanotubes modified electrode. Sens. Actuators B Chem. 2018, 272, 518–525. [Google Scholar] [CrossRef]
- Ghanbari, K.; Bonyadi, S. An electrochemical sensor based on reduced graphene oxide decorated with polypyrrole nanofibers and zinc oxide–copper oxide p–n junction heterostructures for the simultaneous voltammetric determination of ascorbic acid, dopamine, paracetamol, and trypt. New J. Chem. 2018, 42, 8512–8523. [Google Scholar] [CrossRef]
- Güney, S.; Yıldız, G. Determination of tryptophan using electrode modified with poly(9-aminoacridine) functionalized multi-walled carbon nanotubes. Electrochim. Acta 2011, 57, 290–296. [Google Scholar] [CrossRef]
- Shahrokhian, S.; Fotouhi, L. Carbon paste electrode incorporating multi-walled carbon nanotube/cobalt salophen for sensitive voltammetric determination of tryptophan. Sens. Actuators B Chem. 2007, 123, 942–949. [Google Scholar] [CrossRef]
- Friedman, M. Analysis, Nutrition, and health benefits of tryptophan. Int. J. Tryptophan Res. 2018, 11. [Google Scholar] [CrossRef] [PubMed]
- Shanmugasundaram, K.; Sai-Anand, G.; Gopalan, A.I.; Lee, H.G.; Yeo, H.K.; Kang, S.W.; Lee, K.P. Direct electrochemistry of cytochrome c with three-dimensional nanoarchitectured multicomponent composite electrode and nitrite biosensing. Sens. Actuators B Chem. 2016, 228, 737–747. [Google Scholar] [CrossRef]
- Haldorai, Y.; Hwang, S.K.; Gopalan, A.I.; Huh, Y.S.; Han, Y.K.; Voit, W.; Sai-Anand, G.; Lee, K.P. Direct electrochemistry of cytochrome c immobilized on titanium nitride/multi-walled carbon nanotube composite for amperometric nitrite biosensor. Biosensors Bioelectron. 2016, 79, 543–552. [Google Scholar] [CrossRef] [PubMed]
- Sai-Anand, G.; Gopalan, A.I.; Kang, S.W.; Komathi, S.; Lee, K.P. One pot synthesis of new gold nanoparticles dispersed poly(2-aminophenyl boronic acid) composites for fabricating an affinity based electrochemical detection of glucose. Sci. Adv. Mater. 2014, 6, 1356–1364. [Google Scholar] [CrossRef]
- Gopalan, A.I.; Komathi, S.; Muthuchamy, N.; Lee, K.P.; Whitcombe, M.J.; Lakshmi, D.; Sai-Anand, G. Functionalized conjugated polymers for sensing and molecular imprinting applications. Prog. Polym. Sci. 2018, 88, 1–129. [Google Scholar]
- He, Q.; Liu, J.; Liu, X.; Li, G.; Chen, D.; Deng, P.; Liang, J. A promising sensing platform toward dopamine using MnO2 nanowires/electro-reduced graphene oxide composites. Electrochim. Acta 2019, 296, 683–692. [Google Scholar] [CrossRef]
- He, Q.; Liu, J.; Liu, X.; Li, G.; Deng, P.; Liang, J. Manganese dioxide nanorods/electrochemically reduced graphene oxide nanocomposites modified electrodes for cost-effective and ultrasensitive detection of Amaranth. Colloids Surf. B 2018, 172, 565–572. [Google Scholar] [CrossRef] [PubMed]
- He, Q.; Liu, J.; Liu, X.; Li, G.; Deng, P.; Liang, J.; Chen, D. Sensitive and selective detection of tartrazine based on TiO2-electrochemically reduced graphene oxide composite-modified electrodes. Sensors 2018, 18, 1911. [Google Scholar] [CrossRef] [PubMed]
- He, Q.; Liu, J.; Liu, X.; Li, G.; Deng, P.; Liang, J. Preparation of Cu2O-reduced graphene nanocomposite modified electrodes towards ultrasensitive dopamine detection. Sensors 2018, 18, 199. [Google Scholar] [CrossRef] [PubMed]
- Zhou, S.; Deng, Z.; Wu, Z.; Xie, M.; Tian, Y.; Wu, Y.; Liu, J.; Li, G.; He, Q. Ta2O5/rGO nanocomposite modified electrodes for detection of tryptophan through electrochemical route. Nanomaterials 2019, 9, 811. [Google Scholar] [CrossRef] [PubMed]
- Canevari, T.C.; Cincotto, F.H.; Gomes, D.; Landers, R.; Toma, H.E. Magnetite nanoparticles bonded carbon quantum dots magnetically confined onto screen printed carbon electrodes and their performance as electrochemical sensor for NADH. Electroanalysis 2017, 29, 1968–1975. [Google Scholar] [CrossRef]
- Satvekar, R.K.; Rohiwal, S.S.; Tiwari, A.P.; Raut, A.V.; Tiwale, B.M.; Pawar, S.H. Sol-gel derived silica/chitosan/Fe3O4 nanocomposite for direct electrochemistry and hydrogen peroxide biosensing. Mater. Res. Express 2015, 2, 015402. [Google Scholar] [CrossRef]
- Huang, Y.; Zhang, Y.; Liu, D.; Li, M.; Yu, Y.; Yang, W.; Li, H. Facile synthesis of highly ordered mesoporous Fe3O4 with ultrasensitive detection of dopamine. Talanta 2019, 201, 511–518. [Google Scholar] [CrossRef] [PubMed]
- Yin, H.; Zhou, Y.; Meng, X.; Tang, T.; Ai, S.; Zhu, L. Electrochemical behaviour of Sudan I at Fe3O4 nanoparticles modified glassy carbon electrode and its determination in food samples. Food Chem. 2011, 127, 1348–1353. [Google Scholar] [CrossRef]
- Ali, A.; Zafar, H.; Zia, M.; Haq, I.U.; Phull, A.R.; Ali, J.S.; Hussain, A. Synthesis, characterization, applications, and challenges of iron oxide nanoparticles. Nanotech. Sci. Appl. 2016, 9, 49–67. [Google Scholar] [CrossRef]
- Arvand, M.; Hemmati, S. Magnetic nanoparticles embedded with graphene quantum dots and multiwalled carbon nanotubes as a sensing platform for electrochemical detection of progesterone. Sens. Actuators B Chem. 2017, 238, 346–356. [Google Scholar] [CrossRef]
- Mu, J.; Chen, B.; Guo, Z.; Zhang, M.; Zhang, Z.; Zhang, P.; Shao, C.; Liu, Y. Highly dispersed Fe3O4 nanosheets on one-dimensional carbon nanofibers: Synthesis, formation mechanism, and electrochemical performance as supercapacitor electrode materials. Nanoscale 2011, 3, 5034–5040. [Google Scholar] [CrossRef]
- He, Q.; Liu, J.; Liu, X.; Li, G.; Chen, D.; Deng, P.; Liang, J. Fabrication of amine-modified magnetite-electrochemically reduced graphene oxide nanocomposite modified glassy carbon electrode for sensitive dopamine determination. Nanomaterials 2018, 8, 194. [Google Scholar] [CrossRef] [PubMed]
- He, Q.; Wu, Y.; Tian, Y.; Li, G.; Chen, D. Facile electrochemical sensor for nanomolar rutin detection based on magnetite nanoparticles and reduced graphene oxide decorated electrode. Nanomaterials 2019, 9, 115. [Google Scholar] [CrossRef] [PubMed]
- Amir, M.; Tunesi, M.M.; Soomro, R.A.; Baykal, A.; Kalwar, N.H. Sensitive determination of 6-thioguanine using caffeic acid-functionalized Fe3O4 nanoparticles as an electrochemical sensor. J. Electron. Mater. 2018, 47, 2198–2208. [Google Scholar] [CrossRef]
- Arvand, M.; Abbasnejad, S.; Ghodsi, N. Graphene quantum dots decorated with Fe3O4 nanoparticles/functionalized multiwalled carbon nanotubes as a new sensing platform for electrochemical determination of L-DOPA in agricultural products. Anal. Methods 2016, 8, 5861–5868. [Google Scholar] [CrossRef]
- Bard, A.J.; Faulkner, L.R.; Bard, A.; Faulkner, L. Electrochemical Methods: Fundamentals and Applications; Wiley: New York, NY, USA, 2001; pp. 669–676. [Google Scholar]
- Cai, Z.; Ye, Y.; Wan, X.; Liu, J.; Yang, S.; Xia, Y.; Li, G.; He, Q. Morphology–dependent electrochemical sensing properties of iron oxide–graphene oxide nanohybrids for dopamine and uric acid. Nanomaterials 2019, 9, 835. [Google Scholar] [CrossRef] [PubMed]
- Wan, X.; Yang, S.; Cai, Z.; He, Q.; Ye, Y.; Xia, Y.; Li, G.; Liu, J. Facile synthesis of MnO2 nanoflowers/N-doped reduced graphene oxide composite and its application for simultaneous determination of dopamine and uric acid. Nanomaterials 2019, 9, 847. [Google Scholar] [CrossRef]
- Gooding, J.J.; Praig, V.G.; Hall, E.A. Platinum-catalyzed enzyme electrodes immobilized on gold using self-assembled layers. Anal. Chem. 1998, 70, 2396–2402. [Google Scholar] [CrossRef]
- Yogeswaran, U.; Chen, S. Multi walled carbon nanotubes with poly (methylene blue) composite film for the enhancement and separation of electroanalytical responses of catecholamine and ascorbic acid. Sens. Actuators B Chem. 2008, 130, 739–749. [Google Scholar] [CrossRef]
- Laviron, E. Adsorption, autoinhibition and autocatalysis in polarography and in linear potential sweep voltammetry. J. Electroanal. Chem. Interfacial Electrochem. 1974, 52, 355–393. [Google Scholar] [CrossRef]
- Hu, S.; Wu, K.; Yi, H.; Cui, D. Voltammetric behavior and determination of estrogens at Nafion-modified glassy carbon electrode in the presence of cetyltrimethylammonium bromide. Anal. Chim. Acta 2002, 464, 209–216. [Google Scholar] [CrossRef]
- Huang, K.J.; Xu, C.X.; Xie, W.Z.; Wang, W. Electrochemical behavior and voltammetric determination of tryptophan based on 4-aminobenzoic acid polymer film modified glassy carbon electrode. Colloids Surf. B 2009, 74, 167–171. [Google Scholar] [CrossRef] [PubMed]
- Chen, G.N.; Zhao, Z.F.; Wang, X.L.; Duan, J.P.; Chen, H.Q. Electrochemical behavior of tryptophan and its derivatives at a glassy carbon electrode modified with hemin. Anal. Chim. Acta 2002, 452, 245–254. [Google Scholar]










| Electrode | Technique | Linear Range (μM) | LOD (μM) | Ref |
|---|---|---|---|---|
| TBABr-βCD/MWCNTs/GCE | DPV | 1.5~30.5 | 0.07 | [21] |
| NiO–CuO/graphene/GCE | SWV | 0.3~40 | 0.1 | [11] |
| β-CD/carbon QDs/GCE | DPV | 5~270 | 0.16 | [12] |
| Nafion/TiO2-graphene/GCE | DPV | 5.0~140 | 0.7 | [16] |
| PAA-MWCNTs/GCE | DPV | 1~500 | 0.81 | [23] |
| TiO2-graphene/4-ABSA/GCE | DPV | 5~200 | 0.3 | [15] |
| 4FEPEM/CPE | DPV | 0.85~63.4 | 0.56 | [14] |
| Butyrylcholine/GCE | DPV | 2~60.0 | 0.6 | [13] |
| Cobalt Salophen/CNTPE | DPV | 0.5~50.0 | 0.7 | [24] |
| Ta2O5/rGO/GCE | SDLSV | 1~8; 8~80; 80~800 | 0.84 | [34] |
| Nanoporous carbon/GCE | Amperometry | 1~103 | 0.03 | [10] |
| RGO/SnO2/GCE | DPV | 1~100 | 0.04 | [9] |
| Fe3O4/C/GCE | SDLSV | 1~80; 80~800 | 0.26 | This work |
| Sample | Detected (μM) | RSD (%) | Added (μM) | Total Found (μM) | RSD (%) | Recovery (%) |
|---|---|---|---|---|---|---|
| No. 1 | 20.13 | 1.50 | 20.00 | 41.30 | 2.50 | 105% |
| No. 1 | 20.13 | 1.50 | 40.00 | 63.00 | 1.80 | 107% |
© 2019 by the authors. Licensee MDPI, Basel, Switzerland. This article is an open access article distributed under the terms and conditions of the Creative Commons Attribution (CC BY) license (http://creativecommons.org/licenses/by/4.0/).
Share and Cite
Liu, J.; Dong, S.; He, Q.; Yang, S.; Xie, M.; Deng, P.; Xia, Y.; Li, G. Facile Preparation of Fe3O4/C Nanocomposite and Its Application for Cost-Effective and Sensitive Detection of Tryptophan. Biomolecules 2019, 9, 245. https://doi.org/10.3390/biom9060245
Liu J, Dong S, He Q, Yang S, Xie M, Deng P, Xia Y, Li G. Facile Preparation of Fe3O4/C Nanocomposite and Its Application for Cost-Effective and Sensitive Detection of Tryptophan. Biomolecules. 2019; 9(6):245. https://doi.org/10.3390/biom9060245
Chicago/Turabian StyleLiu, Jun, Shuai Dong, Quanguo He, Suchun Yang, Mei Xie, Peihong Deng, Yonghui Xia, and Guangli Li. 2019. "Facile Preparation of Fe3O4/C Nanocomposite and Its Application for Cost-Effective and Sensitive Detection of Tryptophan" Biomolecules 9, no. 6: 245. https://doi.org/10.3390/biom9060245
APA StyleLiu, J., Dong, S., He, Q., Yang, S., Xie, M., Deng, P., Xia, Y., & Li, G. (2019). Facile Preparation of Fe3O4/C Nanocomposite and Its Application for Cost-Effective and Sensitive Detection of Tryptophan. Biomolecules, 9(6), 245. https://doi.org/10.3390/biom9060245

