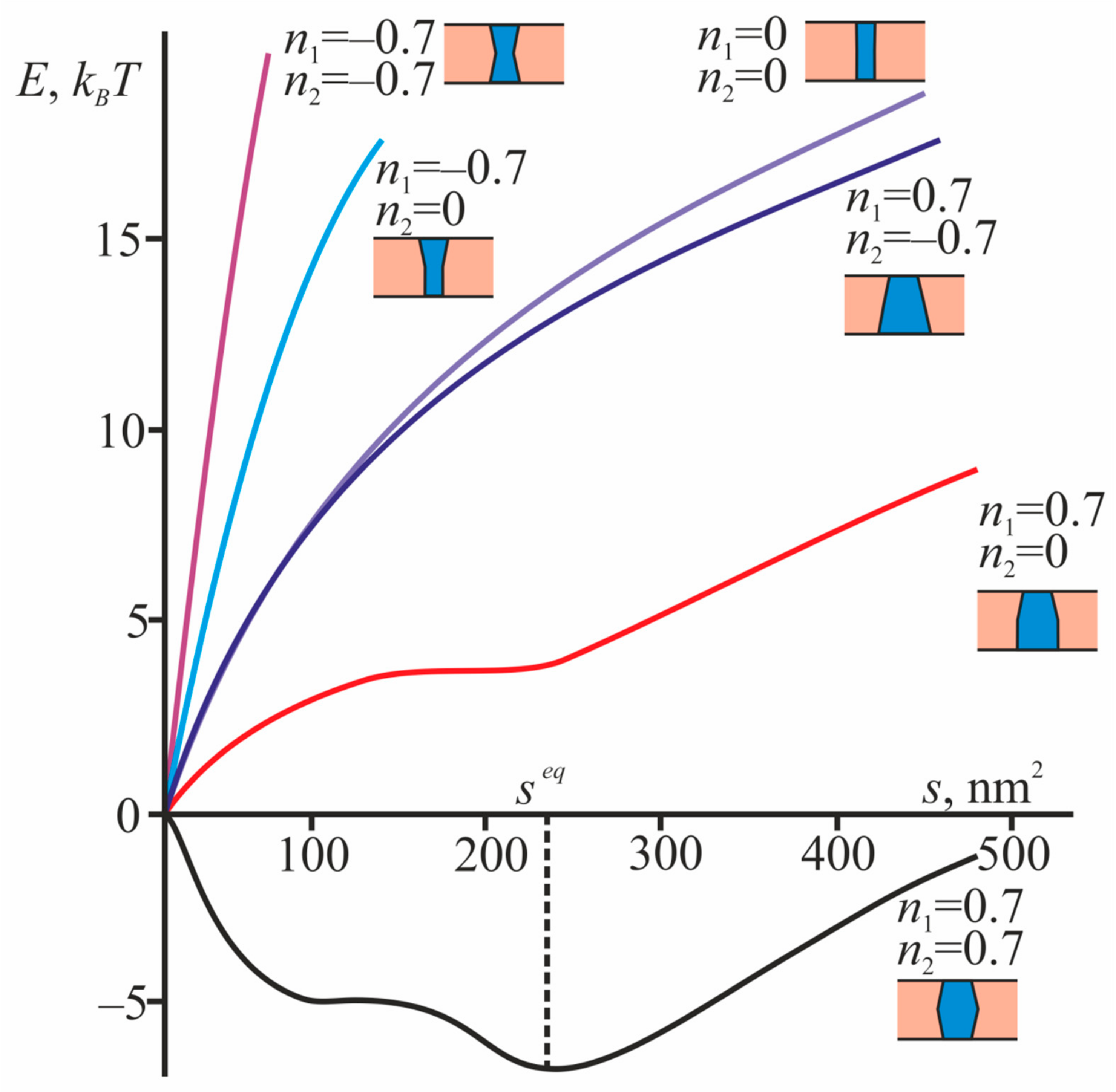
The Effect of Transmembrane Protein Shape on Surrounding Lipid Domain Formation by Wetting
Molotkovsky, R.J.; Galimzyanov, T.R.; Batishchev, O.V.; Akimov, S.A. The Effect of Transmembrane Protein Shape on Surrounding Lipid Domain Formation by Wetting. Biomolecules 2019, 9, 729. https://doi.org/10.3390/biom9110729
Molotkovsky RJ, Galimzyanov TR, Batishchev OV, Akimov SA. The Effect of Transmembrane Protein Shape on Surrounding Lipid Domain Formation by Wetting. Biomolecules. 2019; 9(11):729. https://doi.org/10.3390/biom9110729
Chicago/Turabian StyleMolotkovsky, Rodion J., Timur R. Galimzyanov, Oleg V. Batishchev, and Sergey A. Akimov. 2019. "The Effect of Transmembrane Protein Shape on Surrounding Lipid Domain Formation by Wetting" Biomolecules 9, no. 11: 729. https://doi.org/10.3390/biom9110729


