Antioxidant Properties of Novel Lipophilic Fluoroquinolone Compounds Against Oxidative Stress Induced by Acetaminophen and Carbon Tetrachloride in Male Wistar Rats
Abstract
1. Introduction
2. Materials and Methods
2.1. Chemicals
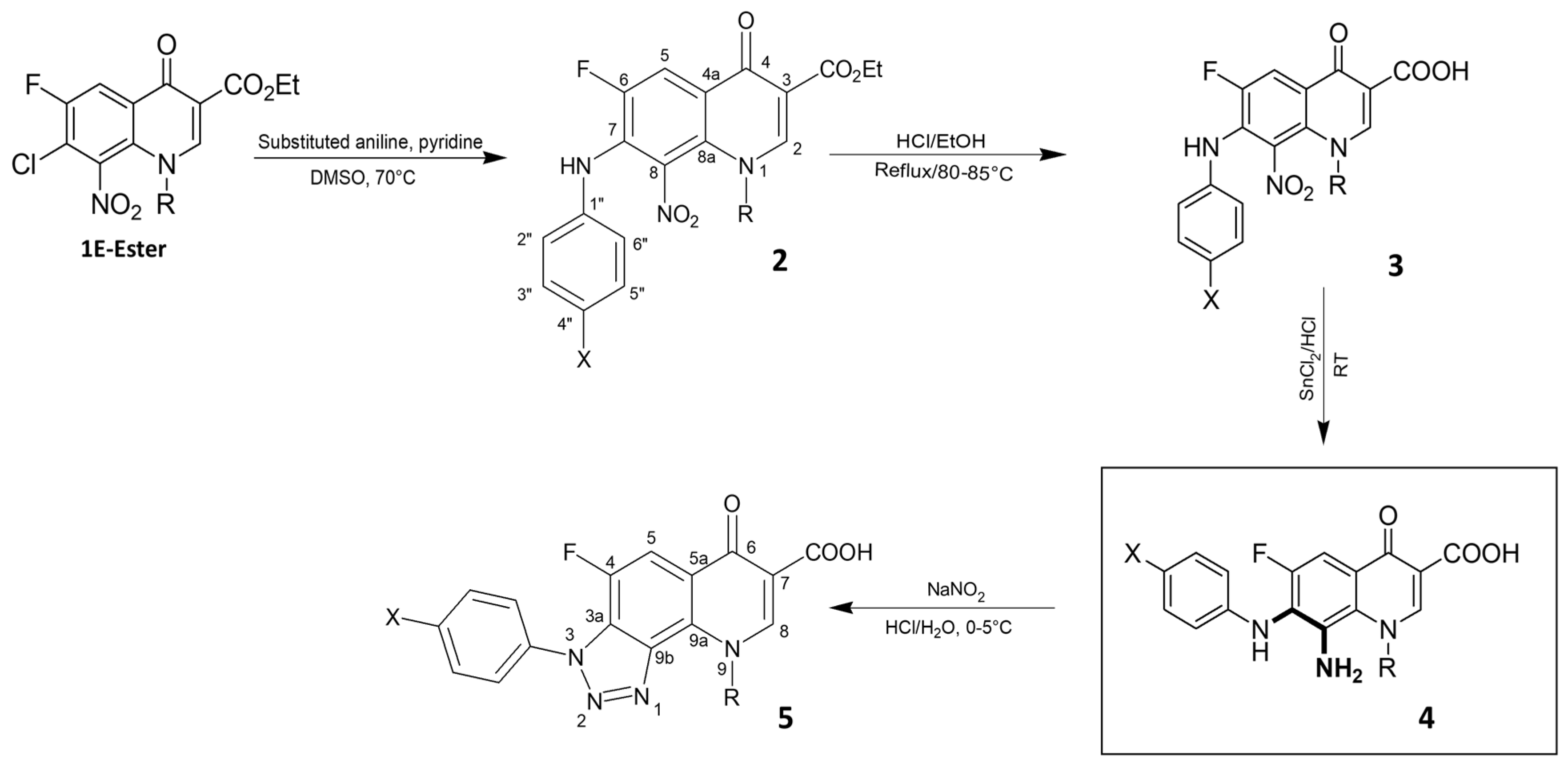
2.2. Synthesis of FQ Derivatives
2.3. Experimental Design
2.4. Blood Biochemistry
2.5. Determination of Reduced-Glutathione Levels
2.6. Determination of Antioxidant Enzymes Activity
2.7. Determination of Total Antioxidant Status
2.8. Molecular Docking
2.9. Statistical Analysis
3. Results
3.1. Effect of FQ Compounds on Liver Injury Markers
3.2. Effect of FQ Compounds on Reduced Glutathione
3.3. Effect of FQ Compounds on Antioxidant Enzymes
3.4. Effect of FQ Compounds on Total Antioxidant Status
3.5. Molecular Docking
4. Discussion
5. Conclusions
Supplementary Materials
Author Contributions
Funding
Institutional Review Board Statement
Data Availability Statement
Acknowledgments
Conflicts of Interest
Abbreviations
| ALT | Alanine aminotransferase |
| APAP | Acetaminophen |
| ARE | Antioxidant response elements |
| AST | Aspartate aminotransferase |
| CAPSO | 3-(Cyclohexylamino)-2-hydroxy-1-propanesulfonic acid |
| CAT | Catalase |
| CCl4 | Carbon tetrachloride |
| CYP450-2E1 | Cytochrome P450 enzyme 2E1 |
| CYP3A4 | Cytochrome P450 3A4 |
| DMSO | Dimethyl sulfoxide |
| DPPH | Diphenyl-2-61 picryl-hydrazyl |
| FQs | Fluoroquinolones |
| GSH | Reduced glutathione |
| GPx | Glutathione peroxidase |
| H2O2 | Hydrogen peroxide |
| IL-6 | Interleukin-6 |
| Keap-1 | Kelch-like ECH-associated protein 1 |
| LDH | Lactate dehydrogenase |
| LEB | Lowest 184 energy of binding |
| MM2 | Molecular Mechanics 2 |
| NADH | Nicotinamide adenine dinucleotide |
| NAPQI | N-acetyl-p-benzoquinone imine |
| NCG | Negative control group |
| O2•− | Superoxide anion |
| ROS | Reactive oxygen species |
| SOD | Superoxide dismutase |
| TAS | Total antioxidant status |
| vdW | Van der Waals |
References
- Allameh, A.; Niayesh-Mehr, R.; Aliarab, A.; Sebastiani, G.; Pantopoulos, K. Oxidative stress in liver pathophysiology and disease. Antioxidants 2023, 12, 1653. [Google Scholar] [CrossRef] [PubMed]
- He, L.; He, T.; Farrar, S.; Ji, L.; Liu, T.; Ma, X. Antioxidants maintain cellular redox homeostasis by elimination of reactive oxygen species. Cell Physiol. Biochem. 2017, 44, 532–553. [Google Scholar] [CrossRef] [PubMed]
- Chaudhary, P.; Janmeda, P.; Docea, A.O.; Yeskaliyeva, B.; Abdull Razis, A.F.; Modu, B.; Calina, D.; Sharifi-Rad, J. Oxidative stress, free radicals and antioxidants: Potential crosstalk in the pathophysiology of human diseases. Front. Chem. 2023, 11, 1158198. [Google Scholar] [CrossRef] [PubMed]
- Liu, S.; Liu, J.; Wang, Y.; Deng, F.; Deng, Z. Oxidative Stress: Signaling Pathways, Biological Functions, and Disease. MedComm 2025, 6, e70268. [Google Scholar] [CrossRef]
- Zhang, P.; Li, T.; Wu, X.; Nice, E.C.; Huang, C.; Zhang, Y. Oxidative stress and diabetes: Antioxidative strategies. Front. Med. 2020, 14, 583–600. [Google Scholar] [CrossRef]
- Singh, A.; Kukreti, R.; Saso, L.; Kukreti, S. Oxidative stress: A key modulator in neurodegenerative diseases. Molecules 2019, 24, 1583. [Google Scholar] [CrossRef]
- Cichoż-Lach, H.; Michalak, A. Oxidative stress as a crucial factor in liver diseases. World J. Gastroenterol. 2014, 20, 8082. [Google Scholar] [CrossRef]
- Singh, S.; Nirala, S.K.; Bhadauria, M. Comparative role of acetaminophen, carbon tetrachloride and thioacetamide in development of fibrosis in rats. Toxicol. Res. 2024, 13, tfad114. [Google Scholar] [CrossRef]
- Scholten, D.; Trebicka, J.; Liedtke, C.; Weiskirchen, R. The carbon tetrachloride model in mice. Lab. Anim. 2015, 49, 4–11. [Google Scholar] [CrossRef]
- Mossanen, J.; Tacke, F. Acetaminophen-induced acute liver injury in mice. Lab. Anim. 2015, 49, 30–36. [Google Scholar] [CrossRef]
- Kisaoglu, A.; Ozogul, B.; Turan, M.I.; Yilmaz, I.; Demiryilmaz, I.; Atamanalp, S.S.; Bakan, E.; Suleyman, H. Damage induced by paracetamol compared with N-acetylcysteine. J. Chin. Med. Assoc. 2014, 77, 463–468. [Google Scholar] [CrossRef] [PubMed]
- Unsal, V.; Cicek, M.; Sabancilar, İ. Toxicity of carbon tetrachloride, free radicals and role of antioxidants. Rev. Environ. Health 2021, 36, 279–295. [Google Scholar] [CrossRef] [PubMed]
- Baggio, D.; Ananda-Rajah, M.R. Fluoroquinolone antibiotics and adverse events. Aust. Prescr. 2021, 44, 161. [Google Scholar] [CrossRef] [PubMed]
- Brar, R.K.; Jyoti, U.; Patil, R.K.; Patil, H.C. Fluoroquinolone antibiotics: An overview. Adesh Univ. J. Med. Sci. Res. 2020, 2, 26–30. [Google Scholar] [CrossRef]
- Abumansour, H.; Abusara, O.H.; Abu-Sini, M.; Khalil, W.; Ibrahim, A.I.; Badawoud, A.M.; Al Yami, M.S.; Abulebdah, D.H.; Halloush, S. Thionated levofloxacin derivative: Potential repurposing for cancer treatment and synergism with doxorubicin on doxorubicin-resistant lung cancer cells. PLoS ONE 2025, 20, e0324930. [Google Scholar] [CrossRef]
- Mohammed, H.H.; Abd El-Hafeez, A.A.; Ebeid, K.; Mekkawy, A.I.; Abourehab, M.A.; Wafa, E.I.; Alhaj-Suliman, S.O.; Salem, A.K.; Ghosh, P.; Abuo-Rahma, G.E.-D.A.; et al. New 1, 2, 3-triazole linked ciprofloxacin-chalcones induce DNA damage by inhibiting human topoisomerase I& II and tubulin polymerization. J. Enzym. Inhib. Med. Chem. 2022, 37, 1346–1363. [Google Scholar] [CrossRef]
- Donmez, F.; Dogan, A. Investigation of the effects of three different generations of fluoroquinolone derivatives on antioxidant and immunotoxic enzyme levels in different rat tissues. Drug Chem. Toxicol. 2022, 45, 2686–2698. [Google Scholar] [CrossRef]
- Mentese, M.; Demirbas, N.; Mermer, A.; Demirci, S.; Demirbas, A.; Ayaz, F.A. Novel azole-functionalited flouroquinolone hybrids: Design, conventional and microwave irradiated synthesis, evaluation as antibacterial and antioxidant agents. Lett. Drug Des. 2018, 15, 46–64. [Google Scholar] [CrossRef]
- Rodi, Y.K.; Baba, Y.F.; Mague, J.T.; Chraibi, M.; Benbrahim, K.F.; Chahdi, F.O.; Ouzidan, Y.; Essassi, E.M. New quinolone-based compounds: Synthesis, crystal structures and biological activities. Sci. Study Res. Chem. Chem. Eng. Biotechnol. Food Ind. 2019, 20, 487–500. [Google Scholar]
- Khaleel, S.; Al-Hiari, Y.; Kasabri, V.; Haddadin, R.; Albashiti, R.; Al-Zweri, M.; Bustanji, Y. Antiproliferative properties of 7, 8-ethylene diamine chelator-lipophilic fluoroquinolone derivatives against colorectal cancer cell lines. Anticancer Agents Med. Chem. 2022, 22, 1012–1028. [Google Scholar] [CrossRef]
- Alzghoul, M.; Al-Hiari, Y.; Kasabri, V.; Hamdan, I.; Arabiyat, S.; Al-Balas, Q.; AlQazzan, M.B.; AlSaad, D.; Telfah, A. Unique Bidentate Chelators of Functionalized Heterocyclic Fluoroquinolones with Dual Anti-Inflammatory and Selective Cytotoxic Effects via a C7-C8 Ethylene Diamine Bridge. Curr. Med. Chem. 2025. [Google Scholar] [CrossRef]
- Al-Hiari, Y.; Al-Qirim, T.; Suleiman, M.; Kasabri, V.; Alwahsh, M.; Abumansour, H. Antioxidant activity and hepatoprotective effects of functionalized heterocyclic fluoroquinolone derivatives in carbon tetrachloride–induced liver injury in rats. Naunyn-Schmiedeberg’s Arch Pharmacol. 2025, 399, 1297–1314. [Google Scholar] [CrossRef]
- Allinger, N.L. Conformational analysis. 130. MM2. A hydrocarbon force field utilizing V1 and V2 torsional terms. J. Am. Chem. Soc. 1977, 99, 8127–8134. [Google Scholar] [CrossRef]
- Putnam, C.D.; Arvai, A.S.; Bourne, Y.; Tainer, J.A. Active and inhibited human catalase structures: Ligand and NADPH binding and catalytic mechanism. J. Mol. Biol. 2000, 296, 295–309. [Google Scholar] [CrossRef] [PubMed]
- Kaur, P.; Chamberlin, A.R.; Poulos, T.L.; Sevrioukova, I.F. Structure-Based Inhibitor Design for Evaluation of a CYP3A4 Pharmacophore Model. J. Med. Chem. 2016, 59, 4210–4220. [Google Scholar] [CrossRef]
- Epp, O.; Ladenstein, R.; Wendel, A. The Refined Structure of the Selenoenzyme Glutathione Peroxidase at 0.2-nm Resolution. Eur. J. Biochem. 1983, 133, 51–69. [Google Scholar] [CrossRef] [PubMed]
- Somers, W.; Stahl, M.; Seehra, J.S. 1.9 Å crystal structure of interleukin 6: Implications for a novel mode of receptor dimerization and signaling. EMBO J. 1997, 16, 989–997. [Google Scholar] [CrossRef]
- Lo, S.C.; Li, X.; Henzl, M.T.; Beamer, L.J.; Hannink, M. Structure of the Keap1:Nrf2 interface provides mechanistic insight into Nrf2 signaling. EMBO J. 2006, 25, 3605–3617. [Google Scholar] [CrossRef]
- Strange, R.W.; Antonyuk, S.V.; Hough, M.A.; Doucette, P.A.; Valentine, J.S.; Hasnain, S.S. Variable Metallation of Human Superoxide Dismutase: Atomic Resolution Crystal Structures of Cu–Zn, Zn–Zn and As-isolated Wild-type Enzymes. J. Mol. Biol. 2006, 356, 1152–1162. [Google Scholar] [CrossRef]
- Dassault-Systèmes. BIOVIA, Discovery Studio Modeling Environment, version 16.1; Dassault Systèmes Biovia: San Diego, CA, USA, 2016.
- Morris, G.M.; Huey, R.; Lindstrom, W.; Sanner, M.F.; Belew, R.K.; Goodsell, D.S.; Olson, A.J. AutoDock4 and AutoDockTools4: Automated docking with selective receptor flexibility. J. Comput. Chem. 2009, 30, 2785–2791. [Google Scholar] [CrossRef]
- Eberhardt, J.; Santos-Martins, D.; Tillack, A.F.; Forli, S. AutoDock Vina 1.2.0: New Docking Methods, Expanded Force Field, and Python Bindings. J. Chem. Inf. Model. 2021, 61, 3891–3898. [Google Scholar] [CrossRef] [PubMed]
- Trott, O.; Olson, A.J. AutoDock Vina: Improving the speed and accuracy of docking with a new scoring function, efficient optimization, and multithreading. J. Comput. Chem. 2010, 31, 455–461. [Google Scholar] [CrossRef] [PubMed]
- González, L.T.; Minsky, N.W.; Espinosa, L.E.M.; Aranda, R.S.; Meseguer, J.P.; Pérez, P.C. In vitro assessment of hepatoprotective agents against damage induced by acetaminophen and CCl4. BMC Complement. Altern. Med. 2017, 17, 39. [Google Scholar] [CrossRef] [PubMed]
- Alabbad, H.; Alfwuaires, M.; Abdel-Moneim, A.M.; Elsawy, H.; Almulhim, N.; Famurewa, A.C.; Sedky, A. Hepatoprotective Mechanism of Apigenin via Suppression of Oxidative Inflammatory Signaling and Apoptosis against Hepatotoxicity Induced by CCl4 in Rats. Indian J. Anim. Res. 2023. [Google Scholar] [CrossRef]
- Sun, L.; Zhao, M.; Zhao, Y.; Wang, M.; Man, J.; Zhao, C. Investigation of the therapeutic effect of Shaoyao Gancao decoction on CCL4-induced liver injury in rats by metabolomic analysis. Biomed. Chromatogr. 2020, 34, e4940. [Google Scholar] [CrossRef]
- Koçak, Y.; Yücel, U.M. Investigation of Antioxidant and Cytoprotective Effects of Allium Schoenoprasum L (Sirmo) Plant Ethanol Extract in Liver Damage Caused by Carbontetrachloride in Rats. East. J. Med. 2022, 27, 649. [Google Scholar] [CrossRef]
- Ramos-Tovar, E.; Hernández-Aquino, E.; Casas-Grajales, S.; Buendia-Montaño, L.D.; Galindo-Gómez, S.; Camacho, J.; Tsutsumi, V.; Muriel, P. Stevia prevents acute and chronic liver injury induced by carbon tetrachloride by blocking oxidative stress through Nrf2 upregulation. Oxidative Med. Cell. Longev. 2018, 2018, 3823426. [Google Scholar] [CrossRef]
- Fareed, M.M.; Khalid, H.; Khalid, S.; Shityakov, S. Deciphering molecular mechanisms of carbon tetrachloride-induced hepatotoxicity: A brief systematic review. Curr. Mol. Med. 2024, 24, 1124–1134. [Google Scholar] [CrossRef]
- Doudach, L.; Omari, N.E.; Mrabti, H.N.; Touhami, F.; Mrabti, N.; Benrahou, K.; Bouyahya, A.; Cherrah, Y.; Meddah, B.; Faouzi, M. Hepatoprotective effect of corrigiola telephiifolia pourr. Root methanolic extracts against ccl4-induced hepatic damage in mice. Biointerface Res. Appl. Chem. 2022, 12, 2489–2502. [Google Scholar] [CrossRef]
- Frank, D.; Savir, S.; Gruenbaum, B.F.; Melamed, I.; Grinshpun, J.; Kuts, R.; Knyazer, B.; Zlotnik, A.; Vinokur, M.; Boyko, M. Inducing acute liver injury in rats via carbon tetrachloride (CCl4) exposure through an orogastric tube. J. Vis. Exp. 2020. [Google Scholar] [CrossRef]
- El-Boshy, M.; BaSalamah, M.A.; Ahmad, J.; Idris, S.; Mahbub, A.; Abdelghany, A.H.; Almaimani, R.A.; Almasmoum, H.; Ghaith, M.M.; Elzubier, M.; et al. Vitamin D protects against oxidative stress, inflammation and hepatorenal damage induced by acute paracetamol toxicity in rat. Free Radic. Biol. Med. 2019, 141, 310–321. [Google Scholar] [CrossRef] [PubMed]
- Michaut, A.; Moreau, C.; Robin, M.A.; Fromenty, B. Acetaminophen-induced liver injury in obesity and nonalcoholic fatty liver disease. Liver Int. 2014, 34, e171–e179. [Google Scholar] [CrossRef] [PubMed]
- Rashid, U.; Khan, M.R.; Sajid, M. Hepatoprotective potential of Fagonia olivieri DC. against acetaminophen induced toxicity in rat. BMC Complement. Altern. Med. 2016, 16, 449. [Google Scholar] [CrossRef]
- Gungor, H.; Ekici, M.; Ates, M.B. Lipid-lowering, anti-inflammatory, and hepatoprotective effects of isorhamnetin on acetaminophen-induced hepatotoxicity in mice. Drug Chem. Toxicol. 2023, 46, 566–574. [Google Scholar] [CrossRef] [PubMed]
- Salem, G.A.; Shaban, A.; Diab, H.A.; Elsaghayer, W.A.; Mjedib, M.D.; Hnesh, A.M.; Sahu, R.P. Phoenix dactylifera protects against oxidative stress and hepatic injury induced by paracetamol intoxication in rats. Biomed. Pharmacother. 2018, 104, 366–374. [Google Scholar] [CrossRef]
- Iqbal, M.; Gnanaraj, C. Eleusine indica L. possesses antioxidant activity and precludes carbon tetrachloride (CCl4)-mediated oxidative hepatic damage in rats. Environ. Health Prev. Med. 2012, 17, 307–315. [Google Scholar] [CrossRef]
- Pizzino, G.; Irrera, N.; Cucinotta, M.; Pallio, G.; Mannino, F.; Arcoraci, V.; Squadrito, F.; Altavilla, D.; Bitto, A. Oxidative stress: Harms and benefits for human health. Oxid. Med. Cell. Longev. 2017, 2017, 8416763. [Google Scholar] [CrossRef]
- Chandimali, N.; Bak, S.G.; Park, E.H.; Lim, H.-J.; Won, Y.-S.; Kim, E.-K.; Park, S.-I.; Lee, S.J. Free radicals and their impact on health and antioxidant defenses: A review. Cell Death Discov. 2025, 11, 19. [Google Scholar] [CrossRef]
- Jomova, K.; Alomar, S.Y.; Alwasel, S.H.; Nepovimova, E.; Kuca, K.; Valko, M. Several lines of antioxidant defense against oxidative stress: Antioxidant enzymes, nanomaterials with multiple enzyme-mimicking activities, and low-molecular-weight antioxidants. Arch. Toxicol. 2024, 98, 1323–1367. [Google Scholar] [CrossRef]
- Ighodaro, O.; Akinloye, O. First line defence antioxidants-superoxide dismutase (SOD), catalase (CAT) and glutathione peroxidase (GPX): Their fundamental role in the entire antioxidant defence grid. Alex. J. Med. 2018, 54, 287–293. [Google Scholar] [CrossRef]
- Rosa, A.C.; Corsi, D.; Cavi, N.; Bruni, N.; Dosio, F. Superoxide dismutase administration: A review of proposed human uses. Molecules 2021, 26, 1844. [Google Scholar] [CrossRef]
- Madkour, F.F.; Abdel-Daim, M. Hepatoprotective and antioxidant activity of Dunaliella salina in paracetamol-induced acute toxicity in rats. Indian J. Pharm. Sci. 2013, 75, 642. [Google Scholar]
- Maheshwari, D.; Kumar, M.Y.; Verma, S.K.; Singh, V.K.; Singh, S.N. Antioxidant and hepatoprotective activities of phenolic rich fraction of Seabuckthorn (Hippophae rhamnoides L.) leaves. Food Chem. Toxicol. 2011, 49, 2422–2428. [Google Scholar] [CrossRef]
- Islam, M.A.; Al Mamun, M.A.; Faruk, M.; Islam, M.T.U.; Rahman, M.M.; Alam, M.N.; Rahman, A.T.; Reza, H.M.; Alam, M.A. Astaxanthin ameliorates hepatic damage and oxidative stress in carbon tetrachloride-administered rats. Pharmacogn. Res. 2017, 9, S84. [Google Scholar] [CrossRef]
- Cui, C.; Song, H.; Guo, Y.; Shi, J.; Geng, B.; Wang, G. The Nrf Family and Its Cardioprotective Potential: Mechanisms, Functions, and Therapeutic Perspectives. Drug Des. Devel. Ther. 2025, 19, 8339–8373. [Google Scholar] [CrossRef] [PubMed]
- Goodfellow, M.J.; Borcar, A.; Proctor, J.L.; Greco, T.; Rosenthal, R.E.; Fiskum, G. Transcriptional activation of antioxidant gene expression by Nrf2 protects against mitochondrial dysfunction and neuronal death associated with acute and chronic neurodegeneration. Exp. Neurol. 2020, 328, 113247. [Google Scholar] [CrossRef] [PubMed]
- Mondal, D.; Narwani, D.; Notta, S.; Ghaffar, D.; Mardhekar, N.; Quadri, S.S.A. Oxidative stress and redox signaling in CRPC progression: Therapeutic potential of clinically-tested Nrf2-activators. Cancer Drug. Resist. 2021, 4, 96–124. [Google Scholar] [CrossRef] [PubMed]
- Collins, J.A.; Osheroff, N. Gyrase and Topoisomerase IV: Recycling Old Targets for New Antibacterials to Combat Fluoroquinolone Resistance. ACS Infect. Dis. 2024, 10, 1097–1115. [Google Scholar] [CrossRef]
- Nandi, A.; Yan, L.-J.; Jana, C.K.; Das, N. Role of Catalase in Oxidative Stress- and Age-Associated Degenerative Diseases. Oxid. Med. Cell. Longev. 2019, 2019, 9613090. [Google Scholar] [CrossRef]
- Alfonso-Prieto, M.; Biarnés, X.; Vidossich, P.; Rovira, C. The molecular mechanism of the catalase reaction. J. Am. Chem. Soc. 2009, 131, 11751–11761. [Google Scholar] [CrossRef]
- Kowalska, J.; Banach, K.; Rok, J.; Beberok, A.; Rzepka, Z.; Wrześniok, D. Molecular and Biochemical Basis of Fluoroquinolones-Induced Phototoxicity—The Study of Antioxidant System in Human Melanocytes Exposed to UV-A Radiation. Int. J. Mol. Sci. 2020, 21, 9714. [Google Scholar] [CrossRef] [PubMed]
- Basheer, L.; Kerem, Z. Interactions between CYP3A4 and Dietary Polyphenols. Oxid. Med. Cell Longev. 2015, 2015, 854015. [Google Scholar] [CrossRef]
- Hakkola, J.; Hukkanen, J.; Turpeinen, M.; Pelkonen, O. Inhibition and induction of CYP enzymes in humans: An update. Arch. Toxicol. 2020, 94, 3671–3722. [Google Scholar] [CrossRef]
- Canning, P.; Sorrell, F.J.; Bullock, A.N. Structural basis of Keap1 interactions with Nrf2. Free Radic. Biol. Med. 2015, 88, 101–107. [Google Scholar] [CrossRef]
- Zhuang, C.; Wu, Z.; Xing, C.; Miao, Z. Small molecules inhibiting Keap1–Nrf2 protein–protein interactions: A novel approach to activate Nrf2 function. Med. Chem. Comm. 2017, 8, 286–294. [Google Scholar] [CrossRef]
- Lipinski, C.A.; Lombardo, F.; Dominy, B.W.; Feeney, P.J. Experimental and computational approaches to estimate solubility and permeability in drug discovery and development settings. Adv. Drug Deliv. Rev. 2001, 46, 3–26. [Google Scholar] [CrossRef]
- O’Hagan, D.; Young, R.J. Future challenges and opportunities with fluorine in drugs? Med. Chem. Res. 2023, 32, 1231–1234. [Google Scholar] [CrossRef]









| Compound 4 | 7- Substituted Aniline Derivative | R | X | Code | LogP |
|---|---|---|---|---|---|
| 4A | 4- Fluoro aniline | n-Hx | F | R 4-FACHxA | 4.26 |
| 4B | 4- Bromo aniline | n-Bu | Br | R 4-BrACBA | 4.10 |
| 4C | 4- Chloro aniline | n-Bu | Cl | R 4-ClACBA | 3.83 |
| 4D | 4- Fluoro aniline | n-Bu | F | R 4-FACBA | 3.43 |
| 4E | 4- Chloro aniline | n-Hx | Cl | R-4-ClACHxA | 4.66 |
| Protein | PDB ID | Binding Site Coordinates | Grid Box Dimensions (Å) | ||||
|---|---|---|---|---|---|---|---|
| x | y | z | x | y | Z | ||
| CAT | 1DGF | 24.215 | 59.199 | 54.658 | 20 | 20 | 20 |
| CYP3A4 | 4D6Z | 19.372 | 27.439 | −10.940 | 20 | 20 | 20 |
| GPx-1 | 1GP1 | 25.078 | 56.439 | 54.911 | 20 | 20 | 20 |
| IL-6 | 1ALU | −2.314 | −13.795 | 1.092 | 20 | 20 | 20 |
| Keap-1 | 2FLU | 1.979 | 7.582 | 1.387 | 20 | 20 | 20 |
| SOD | 2C9V | 17.547 | −20.191 | 16.685 | 20 | 20 | 20 |
Disclaimer/Publisher’s Note: The statements, opinions and data contained in all publications are solely those of the individual author(s) and contributor(s) and not of MDPI and/or the editor(s). MDPI and/or the editor(s) disclaim responsibility for any injury to people or property resulting from any ideas, methods, instructions or products referred to in the content. |
© 2026 by the authors. Licensee MDPI, Basel, Switzerland. This article is an open access article distributed under the terms and conditions of the Creative Commons Attribution (CC BY) license.
Share and Cite
Alwahsh, M.; Shawaqfeh, B.; Alejel, R.; Hasan, A.; Yousef, D.; Saqallah, F.G.; Al-Kouz, S.; Alassi, A.; Swaiss, Y.; Al-Hiari, Y.; et al. Antioxidant Properties of Novel Lipophilic Fluoroquinolone Compounds Against Oxidative Stress Induced by Acetaminophen and Carbon Tetrachloride in Male Wistar Rats. Biomolecules 2026, 16, 567. https://doi.org/10.3390/biom16040567
Alwahsh M, Shawaqfeh B, Alejel R, Hasan A, Yousef D, Saqallah FG, Al-Kouz S, Alassi A, Swaiss Y, Al-Hiari Y, et al. Antioxidant Properties of Novel Lipophilic Fluoroquinolone Compounds Against Oxidative Stress Induced by Acetaminophen and Carbon Tetrachloride in Male Wistar Rats. Biomolecules. 2026; 16(4):567. https://doi.org/10.3390/biom16040567
Chicago/Turabian StyleAlwahsh, Mohammad, Bara’a Shawaqfeh, Rahaf Alejel, Aya Hasan, Dana Yousef, Fadi G. Saqallah, Sameer Al-Kouz, Ameen Alassi, Yasmine Swaiss, Yusuf Al-Hiari, and et al. 2026. "Antioxidant Properties of Novel Lipophilic Fluoroquinolone Compounds Against Oxidative Stress Induced by Acetaminophen and Carbon Tetrachloride in Male Wistar Rats" Biomolecules 16, no. 4: 567. https://doi.org/10.3390/biom16040567
APA StyleAlwahsh, M., Shawaqfeh, B., Alejel, R., Hasan, A., Yousef, D., Saqallah, F. G., Al-Kouz, S., Alassi, A., Swaiss, Y., Al-Hiari, Y., & Al-Qirim, T. (2026). Antioxidant Properties of Novel Lipophilic Fluoroquinolone Compounds Against Oxidative Stress Induced by Acetaminophen and Carbon Tetrachloride in Male Wistar Rats. Biomolecules, 16(4), 567. https://doi.org/10.3390/biom16040567

