Germline PDCDL1 Gene Variants Are Associated with Increased Primary Melanoma Thickness
Abstract
1. Introduction
2. Materials and Methods
2.1. Patients and Study Samples
2.2. Genotyping of PDCDL1 Single-Nucleotide Polymorphisms
2.3. Statistical Analysis
3. Results
3.1. Clinical Features and Survival Analyses
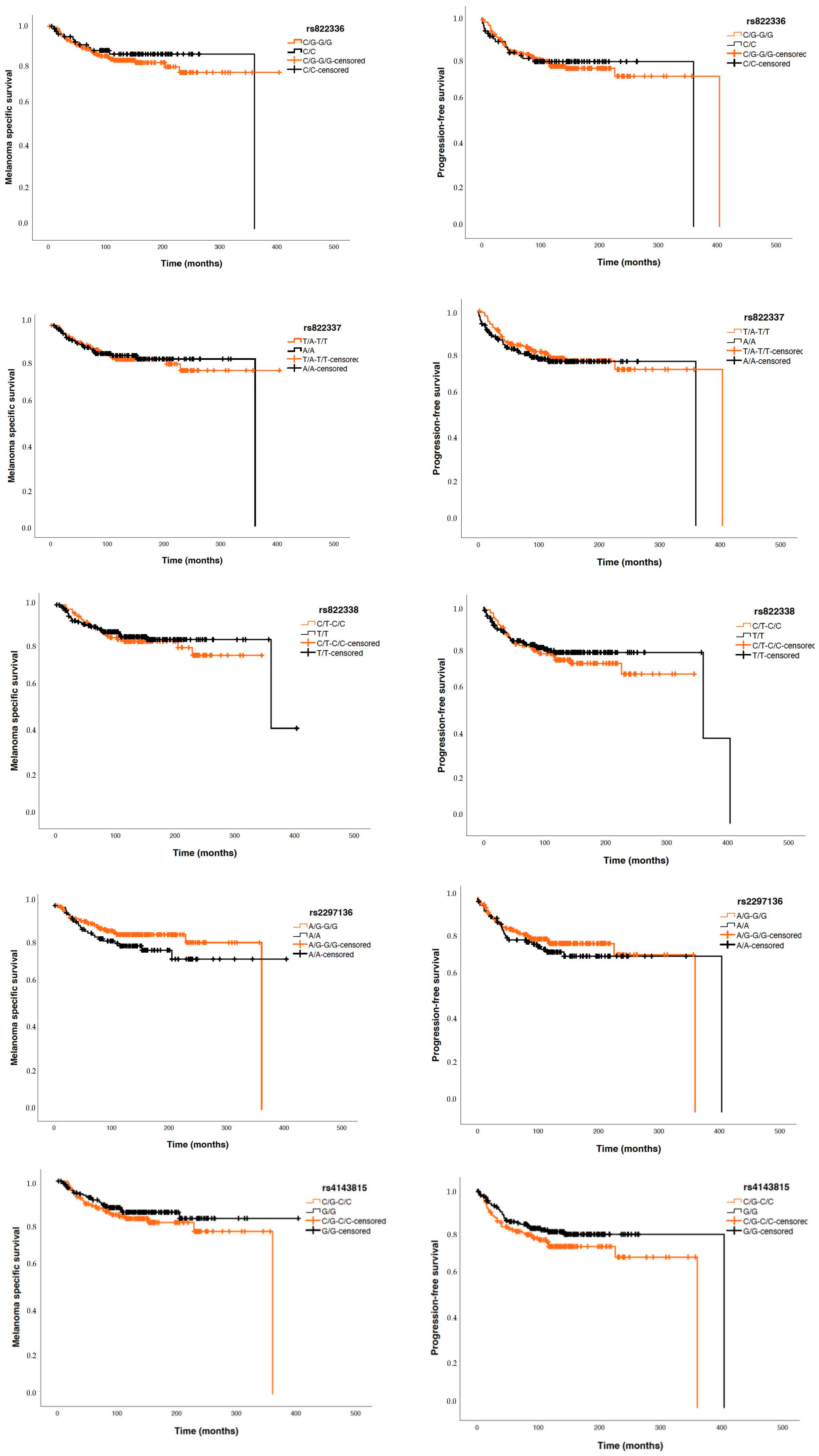
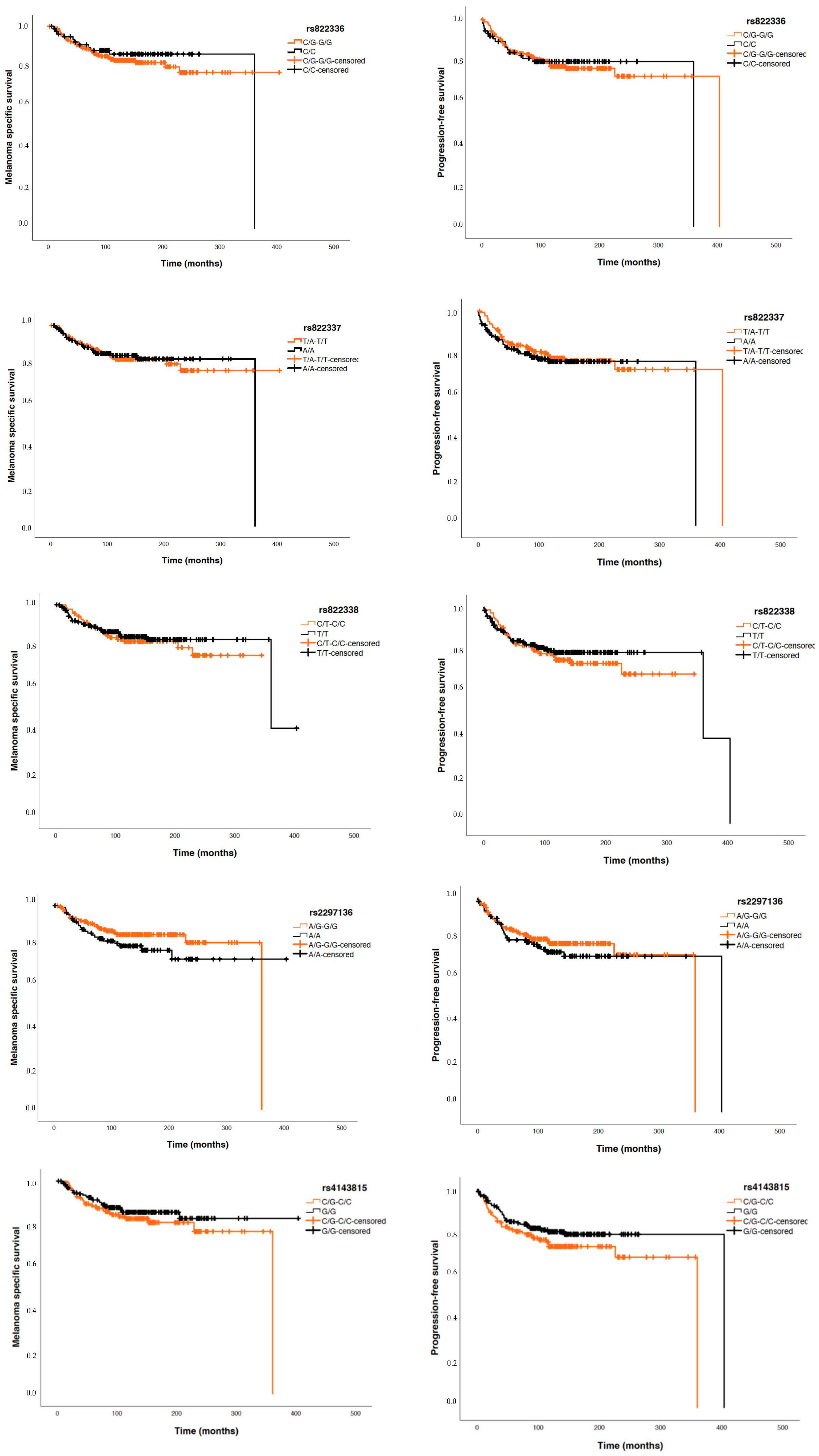
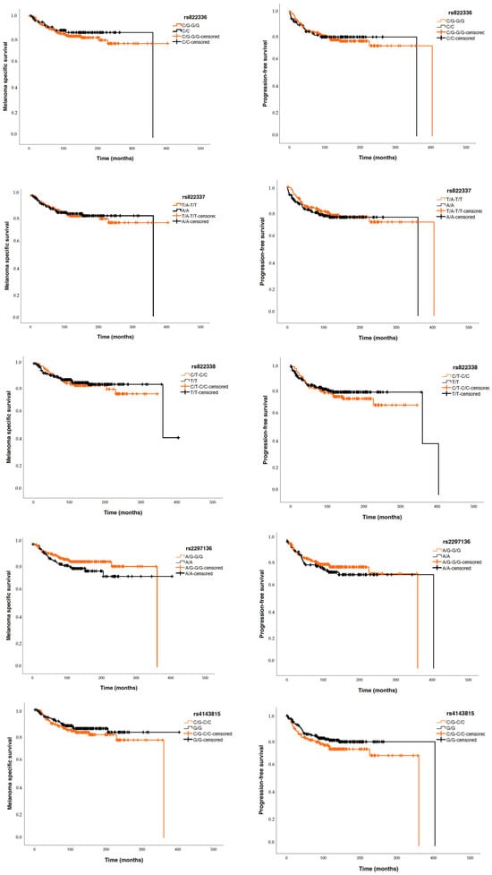
3.2. PDCDL1 Polymorphisms and Survival Analyses
3.3. PDCDL1 Polymorphisms and Tumour Invasiveness
4. Discussion
5. Conclusions
Author Contributions
Funding
Institutional Review Board Statement
Informed Consent Statement
Data Availability Statement
Acknowledgments
Conflicts of Interest
References
- Welch, H.G.; Mazer, B.L.; Adamson, A.S. The Rapid Rise in Cutaneous Melanoma Diagnoses. N. Engl. J. Med. 2021, 384, 72–79. [Google Scholar] [CrossRef]
- Ríos, L.; Nagore, E.; López, J.; Redondo, P.; Martí, R.; Fernández-De-Misa, R.; Soler, B. Melanoma characteristics at diagnosis from the Spanish National Cutaneous Melanoma Registry: 15 years of experience. Actas Dermosifiliogr. 2013, 104, 789–799, Erratum in Ann. Surg. Oncol. 2018, 25 (Suppl. S3), 993–994. [Google Scholar] [CrossRef] [PubMed]
- Gershenwald, J.E.; Scolyer, R.A. Melanoma Staging: American Joint Committee on Cancer (AJCC) 8th Edition and Beyond. Ann. Surg. Oncol. 2018, 25, 2105–2110. [Google Scholar] [CrossRef] [PubMed]
- Tejera-Vaquerizo, A.; Solís-García, E.; Ríos-Martín, J.J.; Moreno-Ramírez, D. Factores pronósticos en el melanoma cutáneo primario no incluidos en la clasificación de la American Joint Committee on Cancer (AJCC) [Primary cutaneous melanoma: Prognostic factors not included in the classification of the American Joint Committee on Cancer]. Actas Dermosifiliogr. 2011, 102, 255–263. [Google Scholar] [CrossRef]
- Balch, C.M.; Gershenwald, J.E.; Soong, S.-J.; Thompson, J.F.; Atkins, M.B.; Byrd, D.R.; Buzaid, A.C.; Cochran, A.J.; Coit, D.G.; Ding, S.; et al. Final version of 2009 AJCC melanoma staging and classification. J. Clin. Oncol. 2009, 27, 6199–6206. [Google Scholar] [CrossRef] [PubMed]
- Waseh, S.; Lee, J.B. Advances in melanoma: Epidemiology, diagnosis, and prognosis. Front. Med. 2023, 10, 1268479. [Google Scholar] [CrossRef]
- Zitvogel, L.; Kroemer, G. Targeting PD-1/PD-L1 interactions for cancer immunotherapy. Oncoimmunology 2012, 1, 1223–1225. [Google Scholar] [CrossRef]
- Pardoll, D.M. The blockade of immune checkpoints in cancer immunotherapy. Nat. Rev. Cancer 2012, 12, 252–264. [Google Scholar] [CrossRef]
- Barber, D.L.; Wherry, E.J.; Masopust, D.; Zhu, B.; Allison, J.P.; Sharpe, A.H.; Freeman, G.J.; Ahmed, R. Restoring function in exhausted CD8 T cells during chronic viral infection. Nature 2006, 439, 682–687. [Google Scholar] [CrossRef]
- Han, Y.; Liu, D.; Li, L. PD-1/PD-L1 pathway: Current researches in cancer. Am. J. Cancer Res. 2020, 10, 727–742. [Google Scholar]
- Wang, X.; Teng, F.; Kong, L.; Yu, J. PD-L1 expression in human cancers and its association with clinical outcomes. OncoTargets Ther. 2016, 9, 5023–5039. [Google Scholar] [CrossRef]
- Hino, R.; Kabashima, K.; Kato, Y.; Yagi, H.; Nakamura, M.; Honjo, T.; Okazaki, T.; Tokura, Y. Tumor cell expression of programmed cell death-1 ligand 1 is a prognostic factor for malignant melanoma. Cancer 2010, 116, 1757–1766. [Google Scholar] [CrossRef] [PubMed]
- Hamanishi, J.; Mandai, M.; Iwasaki, M.; Okazaki, T.; Tanaka, Y.; Yamaguchi, K.; Higuchi, T.; Yagi, H.; Takakura, K.; Minato, N.; et al. Programmed cell death 1 ligand 1 and tumor-infiltrating CD8+ T lymphocytes are prognostic factors of human ovarian cancer. Proc. Natl. Acad. Sci. USA 2007, 104, 3360–3365. [Google Scholar] [CrossRef] [PubMed]
- Kythreotou, A.; Siddique, A.; Mauri, F.A.; Bower, M.; Pinato, D.J. PD-L1. J. Clin. Pathol. 2018, 71, 189–194. [Google Scholar] [CrossRef]
- Daud, A.I.; Wolchok, J.D.; Robert, C.; Hwu, W.-J.; Weber, J.S.; Ribas, A.; Hodi, F.S.; Joshua, A.M.; Kefford, R.; Hersey, P.; et al. Programmed Death-Ligand 1 Expression and Response to the Anti-Programmed Death 1 Antibody Pembrolizumab in Melanoma. J. Clin. Oncol. 2016, 34, 4102–4109. [Google Scholar] [CrossRef]
- National Library of Medicine. NCBI Gene Resource CD274 Molecule [Homo sapiens (Human)]-Gene-NCBI. 2017. Available online: https://www.ncbi.nlm.nih.gov/gene (accessed on 29 June 2017).
- Sakran, M.I.; Alalawy, A.I.; Alharbi, A.A.; El-Hefnawy, M.E.; Alzahrani, S.M.; Alfuraydi, A.; Alzuaibr, F.M.; Zidan, N.S.; Elsaid, A.M.; Toraih, E.A.; et al. The blockage signal for PD-L1/CD274 gene variants and their potential impact on lung carcinoma susceptibility. Int. Immunopharmacol. 2023, 125 Pt A, 111180. [Google Scholar] [CrossRef]
- Zou, J.; Wu, D.; Li, T.; Wang, X.; Liu, Y.; Tan, S. Association of PD-L1 gene rs4143815 C>G polymorphism and human cancer susceptibility: A systematic review and meta-analysis. Pathol. Res. Pract. 2019, 215, 229–234. [Google Scholar] [CrossRef]
- Zhou, R.-M.; Li, Y.; Liu, J.-H.; Wang, N.; Huang, X.; Cao, S.-R.; Shan, B.-E. Programmed death-1 ligand-1 gene rs2890658 polymorphism associated with the risk of esophageal squamous cell carcinoma in smokers. Cancer Biomark. 2017, 21, 65–71. [Google Scholar] [CrossRef]
- Makrantonakis, A.-E.; Zografos, E.; Gazouli, M.; Dimitrakakis, K.; Toutouzas, K.G.; Zografos, C.G.; Kalapanida, D.; Tsiakou, A.; Samelis, G.; Zagouri, F. PD-L1 Gene Polymorphisms rs822336 G>C and rs822337 T>A: Promising Prognostic Markers in Triple Negative Breast Cancer Patients. Medicina 2022, 58, 1399. [Google Scholar] [CrossRef]
- Nomizo, T.; Ozasa, H.; Tsuji, T.; Funazo, T.; Yasuda, Y.; Yoshida, H.; Yagi, Y.; Sakamori, Y.; Nagai, H.; Hirai, T.; et al. Clinical Impact of Single Nucleotide Polymorphism in PD-L1 on Response to Nivolumab for Advanced Non-Small-Cell Lung Cancer Patients. Sci. Rep. 2017, 7, 45124. [Google Scholar] [CrossRef]
- Lee, S.Y.; Jung, D.K.; Choi, J.E.; Jin, C.C.; Hong, M.J.; Do, S.K.; Kang, H.-G.; Lee, W.K.; Seok, Y.; Lee, E.B.; et al. Functional polymorphisms in PD-L1 gene are associated with the prognosis of patients with early stage non-small cell lung cancer. Gene 2017, 599, 28–35. [Google Scholar] [CrossRef]
- Yeo, M.K.; Choi, S.Y.; Seong, I.O.; Suh, K.S.; Kim, J.M.; Kim, K.H. Association of PD-L1 expression and PD-L1 gene polymorphism with poor prognosis in lung adenocarcinoma and squamous cell carcinoma. Hum. Pathol. 2017, 68, 103–111. [Google Scholar] [CrossRef] [PubMed]
- Sun, H.; Li, Y.; Si, W.; Hua, T.; Chen, J.; Kang, S. Genetic Variation of PD-L1 Gene Affects Its Expression and Is Related to Clinical Outcome in Epithelial Ovarian Cancer. Front. Oncol. 2022, 12, 763134. [Google Scholar] [CrossRef] [PubMed]
- Calbet-Llopart, N.; Combalia, M.; Kiroglu, A.; Potrony, M.; Tell-Martí, G.; Combalia, A.; Brugues, A.; Podlipnik, S.; Carrera, C.; Puig, S.; et al. Common genetic variants associated with melanoma risk or naevus count in patients with wildtype MC1R melanoma. Br. J. Dermatol. 2022, 187, 753–764. [Google Scholar] [CrossRef] [PubMed]
- Mangantig, E.; MacGregor, S.; Iles, M.M.; Scolyer, A.R.; Cust, E.A.; Hayward, N.K.; Montgomery, G.W.; Duffy, D.L.; Thompson, J.F.; Henders, A.; et al. Germline variants are associated with increased primary melanoma tumor thickness at diagnosis. Hum. Mol. Genet. 2021, 29, 3578–3587. [Google Scholar] [CrossRef]
- Lin, X.; Kang, K.; Chen, P.; Zeng, Z.; Li, G.; Xiong, W.; Yi, M.; Xiang, B. Regulatory mechanisms of PD-1/PD-L1 in cancers. Mol. Cancer. 2024, 23, 108. [Google Scholar] [CrossRef]
- Kang, M.K.; Lee, S.Y.; Choi, J.E.; Do, S.K.; Cho, M.; Kim, J.; Park, J.Y. Prognostic implication of PD-L1 polymorphisms in non-small cell lung cancer treated with radiotherapy. Cancer Med. 2021, 10, 8071–8078. [Google Scholar] [CrossRef]
- Boutros, A.; Carosio, R.; Campanella, D.; Spagnolo, F.; Banelli, B.; Morabito, A.; Pistillo, M.; Croce, E.; Cecchi, F.; Pronzato, P.; et al. The predictive and prognostic role of single nucleotide gene variants of PD-1 and PD-L1 in patients with advanced melanoma treated with PD-1 inhibitors. Immunooncol. Technol. 2023, 20, 100408. [Google Scholar] [CrossRef]
- Davari, D.R.; Orlow, I.; Kanetsky, P.A.; Luo, L.; Busam, K.J.; Sharma, A.; Kricker, A.; Cust, A.E.; Anton-Culver, H.; Gruber, S.B.; et al. Association of Melanoma-Risk Variants with Primary Melanoma Tumor Prognostic Characteristics and Melanoma-Specific Survival in the GEM Study. Curr. Oncol. 2021, 28, 4756–4771. [Google Scholar] [CrossRef]
- Fathi, F.; Ebrahimi, M.; Eslami, A.; Hafezi, H.; Eskandari, N.; Motedayyen, H. Association of programmed death-1 gene polymorphisms with the risk of basal cell carcinoma. Int. J. Immunogenet. 2019, 46, 444–450. [Google Scholar] [CrossRef]
- Kong, E.K.P.; Prokunina-Olsson, L.; Wong, W.H.S.; Lau, C.S.; Chan, T.M.; Alarcón-Riquelme, M.; Lau, Y.-L. A new haplotype of PDCD1 is associated with rheumatoid arthritis in Hong Kong Chinese. Arthritis Rheum. 2005, 52, 1058–1062. [Google Scholar] [CrossRef] [PubMed]
- Wu, Y.; Zhao, T.; Jia, Z.; Cao, D.; Cao, X.; Pan, Y.; Zhao, D.; Zhang, B.; Jiang, J. Polymorphism of the programmed death-ligand 1 gene is associated with its protein expression and prognosis in gastric cancer. J. Gastroenterol. Hepatol. 2019, 34, 1201–1207. [Google Scholar] [CrossRef] [PubMed]
- Gong, Q.; Qie, H.L.; Dong, S.Y.; Jiang, H.T. Implication of PD-L1 polymorphisms rs2297136 on clinical outcomes of patients with advanced NSCLC who received PD-1 blockades: A retrospective exploratory study. Oncol. Lett. 2024, 27, 144. [Google Scholar] [CrossRef] [PubMed] [PubMed Central]
- Hindorff, L.A.; Bonham, V.L.; Brody, L.C.; Ginoza, M.E.C.; Hutter, C.M.; Manolio, T.A.; Green, E.D. Prioritizing diversity in human genomics research. Nat. Rev. Genet. 2018, 19, 175–185. [Google Scholar] [CrossRef]
- Umemoto, M.; Yokoyama, Y.; Sato, S.; Tsuchida, S.; Al-Mulla, F.; Saito, Y. Carbonyl reductase as a significant predictor of survival and lymph node metastasis in epithelial ovarian cancer. Br. J. Cancer 2001, 85, 1032–1036. [Google Scholar] [CrossRef] [PubMed]
- Du, W.; Zhu, J.; Chen, Y.; Zeng, Y.; Shen, D.; Zhang, N.; Ning, W.; Liu, Z.; Huang, J.-A. Variant SNPs at the microRNA complementary site in the B7-H1 3′-untranslated region increase the risk of non-small cell lung cancer. Mol. Med. Rep. 2017, 16, 2682–2690. [Google Scholar] [CrossRef]
- Gong, J.; Chehrazi-Raffle, A.; Reddi, S.; Salgia, R. Development of PD-1 and PD-L1 inhibitors as a form of cancer immunotherapy: A comprehensive review of registration trials and future considerations. J. Immunother. Cancer 2018, 6, 8. [Google Scholar] [CrossRef]
- Yang, J.; Dong, M.; Shui, Y.; Zhang, Y.; Zhang, Z.; Mi, Y.; Zuo, X.; Jiang, L.; Liu, K.; Liu, Z.; et al. A pooled analysis of the prognostic value of PD-L1 in melanoma: Evidence from 1062 patients. Cancer Cell Int. 2020, 20, 96. [Google Scholar] [CrossRef]
- Rastrelli, M.; Tropea, S.; Rossi, C.R.; Alaibac, M. Melanoma: Epidemiology, risk factors, pathogenesis, diagnosis and classification. In Vivo 2014, 28, 1005–1011. [Google Scholar]




| Death Due to Melanoma (n [%]) | Melanoma Progression (n [%]) | |||||
|---|---|---|---|---|---|---|
| Clinical characteristics | N | Patients (n [%]) | No | Yes | No | Yes |
| Age at diagnosis (years) 1 | 338 | 53.1 (16.3) | 51.8 (15.7) | 60.1 (17.7) | 51.8 (15.7) | 57.7 (17.9) |
| Age at diagnosis | 338 | |||||
| ≤50 years | 160 (47.3) | 141 (88.1) | 19 (11.9) | 130 (81.3) | 30 (18.8) | |
| >50 years | 178 (52.7) | 143 (80.3) | 35 (19.7) | 133 (74.7) | 45 (25.3) | |
| Gender | 338 | |||||
| Female | 196 (58.0) | 175 (89.3) | 21 (10.7) | 162 (82.7) | 34 (17.4) | |
| Male | 142 (42.0) | 109 (76.8) | 33 (23.2) | 101 (71.1) | 41 (28.9) | |
| Breslow (mm) 2 | 338 | 1.10 (0.60–2.15) | 0.86 (0.57–1.75) | 3.10 (1.90–5.00) | 0.80 (0.55–1.70) | 2.50 (1.60–5.00) |
| Ulceration | 309 | |||||
| Absent | 247 (79.9) | 226 (91.5) | 21 (8.5) | 214 (86.6) | 33 (11.3) | |
| Present | 62 (20.1) | 36 (58.1) | 26 (41.9) | 31 (50.0) | 31 (50.0) | |
| Stage | 338 | |||||
| I–II | 304 (89.9) | 261 (85.9) | 43 (14.1) | 246 (80.9) | 58 (19.1) | |
| III–IV | 34 (10.1) | 23 (67.7) | 11 (32.4) | 17 (50.0) | 17 (50.0) | |
| PDCDL1 SNPs | In Situ Melanoma | Invasive Melanoma | OR (95% CI) | p-Value |
|---|---|---|---|---|
| n (%) | n (%) | |||
| rs822336 | ||||
| Codominance | 0.0058 ** | |||
| CC | 19 (48.7%) | 81 (24%) | 1.00 | |
| CG | 15 (38.5%) | 175 (51.8%) | 2.74 (1.32–5.66) | |
| GG | 5 (12.8%) | 82 (24.3%) | 3.85 (1.37–10.80) | |
| Dominance | 0.0017 ** | |||
| CC | 19 (48.7%) | 81 (24%) | 1.00 | |
| CG + GG | 20 (51.3%) | 257 (76%) | 3.01 (1.53–5.92) | |
| Recessive | 0.089 | |||
| CC + CG | 34 (87.2%) | 256 (75.7%) | 1.00 | |
| GG | 5 (12.8%) | 82 (24.3%) | 2.18 (0.82–5.75) | |
| rs822337 | ||||
| Codominance | 0.03 * | |||
| AA | 26 (66.7%) | 152 (45%) | 1.00 | |
| TA | 10 (25.6%) | 155 (45.9%) | 2.65 (1.24–5.69) | |
| TT | 3 (7.7%) | 31 (9.2%) | 1.77 (0.50–6.21) | |
| Dominance | 0.0098 ** | |||
| AA | 26 (66.7%) | 152 (45%) | 1.00 | |
| TA + TT | 13 (33.3%) | 186 (55%) | 2.45 (1.22–4.93) | |
| Recessive | 0.76 | |||
| AA + TA | 36 (92.3%) | 307 (90.8%) | 1.00 | |
| TT | 3 (7.7%) | 31 (9.2%) | 1.21 (0.35–4.16) | |
| rs822338 | ||||
| Codominance | 0.015 * | |||
| TT | 29 (74.4%) | 191 (56.5%) | 1.00 | |
| CT | 7 (17.9%) | 135 (39.9%) | 2.93 (1.25–6.88) | |
| CC | 3 (7.7%) | 12 (3.5%) | 0.61 (0.16–2.28) | |
| Dominance | 0.028 * | |||
| TT | 29 (74.4%) | 191 (56.5%) | 1.00 | |
| CT + CC | 10 (25.6%) | 147 (43.5%) | 2.23 (1.05–4.73) | |
| Recessive | 0.26 | |||
| TT + CT | 36 (92.3%) | 326 (96.5%) | 1.00 | |
| CC | 3 (7.7%) | 12 (3.5%) | 0.44 (0.12–1.64) | |
| rs2297136 | ||||
| Codominance | 0.0097 ** | |||
| AA | 5 (12.8%) | 115 (34%) | 1.00 | |
| AG | 21 (53.9%) | 156 (46.1%) | 0.32 (0.12–0.88) | |
| GG | 13 (33.3%) | 67 (19.8%) | 0.22 (0.08–0.66) | |
| Dominance | 0.0038 ** | |||
| AA | 5 (12.8%) | 115 (34%) | 1.00 | |
| AG + GG | 34 (87.2%) | 223 (66%) | 0.29 (0.11–0.75) | |
| Recessive | 0.063 | |||
| AA + AG | 26 (66.7%) | 271 (80.2%) | 1.00 | |
| GG | 13 (33.3%) | 67 (19.8%) | 0.49 (0.24–1.01) | |
| rs4143815 | ||||
| Codominance | 0.38 | |||
| GG | 23 (59%) | 187 (55.3%) | 1.00 | |
| CG | 15 (38.5%) | 124 (36.7%) | 1.02 (0.51–2.03) | |
| CC | 1 (2.6%) | 27 (8%) | 3.32 (0.43–25.57) | |
| Dominance | 0.66 | |||
| GG | 23 (59%) | 187 (55.3%) | 1.00 | |
| CG + CC | 16 (41%) | 151 (44.7%) | 1.16 (0.59–2.28) | |
| Recessive | 0.17 | |||
| GG + CG | 38 (97.4%) | 311 (92%) | 1.00 | |
| CC | 1 (2.6%) | 27 (8%) | 3.30 (0.44–24.95) |
| rs822336 | rs822337 | rs822338 | rs2297136 | rs4143815 | Total | In Situ MM | Invasive MM | OR (95% CI) | p-Value |
|---|---|---|---|---|---|---|---|---|---|
| C | A | T | G | G | 0.3273 | 0.487 | 0.3104 | 1.00 | - |
| C | A | T | A | G | 0.1415 | 0.1477 | 0.1415 | 1.39 (0.66–2.94) | 0.39 |
| G | T | C | A | C | 0.1104 | 0.0621 | 0.1157 | 2.95 (1.08–8.10) | 0.036 * |
| G | A | T | A | C | 0.0848 | 0.0601 | 0.0893 | 2.22 (0.78–6.38) | 0.14 |
| G | A | T | A | G | 0.0778 | 0.0553 | 0.08 | 2.14 (0.71–6.42) | 0.18 |
| G | T | C | G | G | 0.0609 | 0.0786 | 0.057 | 1.01 (0.42–2.46) | 0.98 |
| rs822336 (n [%]) | rs822337 (n [%]) | rs822338 (n [%]) | rs2297136 (n [%]) | rs4143815 (n [%]) | ||||||||||||||||
|---|---|---|---|---|---|---|---|---|---|---|---|---|---|---|---|---|---|---|---|---|
| Clinical Characteristics | CC | CG | GG | p | AA | TA | TT | p | TT | CT | CC | p | AA | AG | GG | p | GG | CG | CC | p |
| Age at diagnosis (years) ¹ | 53.5 (14.8) | 53.6 (16.9) | 52.0 (16.5) | 0.748 | 54.0 (16.2) | 52.1 (16.0) | 54.5 (18.0) | 0.528 | 53.3 (16.2) | 52.8 (16.2) | 54.8 (18.2) | 0.902 | 52.8 (16.0) | 53.1 (16.9) | 53.9 (15.5) | 0.916 | 53.8 (15.4) | 52.0 (17.6) | 53.8 (15.6) | 0.629 |
| Age at diagnosis | ||||||||||||||||||||
| ≤50 years | 42 (51.9) | 75 (42.9) | 43 (52.4) | 0.231 | 72 (47.4) | 73 (47.1) | 15 (48.4) | 0.991 | 91 (47.6) | 63 (46.7) | 6 (50.0) | 0.968 | 55 (47.8) | 74 (47.4) | 31 (46.3) | 0.979 | 88 (47.1) | 62 (50.0) | 10 (37.0) | 0.471 |
| >50 years | 39 (48.1) | 100 (57.1) | 39 (47.6) | 80 (52.6) | 82 (52.9) | 16 (51.6) | 100 (52.4) | 72 (53.3) | 6 (50.0) | 60 (52.2) | 82 (52.6) | 36 (53.7) | 99 (52.9) | 62 (50.0) | 17 (63.0) | |||||
| Gender | ||||||||||||||||||||
| Female | 49 (60.5) | 99 (56.6) | 48 (58.5) | 0.834 | 85 (55.9) | 94 (60.6) | 17 (54.8) | 0.656 | 107 (56.0) | 80 (59.3) | 9 (75.0) | 0.403 | 68 (59.1) | 91 (58.3) | 37 (55.2) | 0.870 | 109 (58.3) | 72 (58.1) | 15 (55.6) | 0.964 |
| Male | 32 (39.5) | 76 (43.4) | 34 (41.5) | 67 (44.1) | 61 (39.4) | 14 (45.2) | 84 (44.0) | 55 (40.7) | 3 (25.0) | 47 (40.9) | 65 (41.7) | 30 (44.8) | 78 (41.7) | 52 (41.9) | 12 (44.4) | |||||
| Breslow (mm) (IQR) 2 | 0.9 (0.6–2.0) | 1.1 (0.6–2.4) | 1.3 (0.7–2.1) | 0.574 | 0.9 (0.6–2.5) | 1.2 (0.6–2.2) | 1.2 (0.8–1.9) | 0.607 | 0.9 (0.6–2.4) | 1.2 (0.6–2.1) | 1.2 (0.4–1.9) | 0.576 | 1.4 (0.6–2.6) | 1.0 (0.6–2.0) | 0.8 (0.5–1.7) | 0.030 * | 1.0 (0.6–2.1) | 1.1 (0.6–2.1) | 1.2 (0.7–2.2) | 0.701 |
| Ulceration | ||||||||||||||||||||
| Absent | 61 (81.3) | 124 (78.5) | 62 (81.6) | 0.807 | 108 (78.8) | 113 (79.0) | 26 (89.7) | 0.389 | 142 (81.1) | 96 (78.0) | 9 (81.8) | 0.796 | 75 (73.5) | 121 (83.4) | 51 (82.3) | 0.140 | 141 (82.0) | 87 (77.7) | 19 (76.0) | 0.593 |
| Presence | 14 (18.7) | 34 (21.5) | 14 (18.4) | 29 (21.2) | 30 (21.0) | 3 (10.3) | 33 (18.9) | 27 (22.0) | 2 (18.2) | 27 (26.5) | 24 (16.6) | 11 (17.7) | 31 (18.0) | 25 (22.3) | 6 (24.0) | |||||
| Stage | ||||||||||||||||||||
| I–II | 70 (86.4) | 162 (92.6) | 72 (87.8) | 0.239 | 134 (88.2) | 143 (92.3) | 27 (87.1) | 0.421 | 170 (89.0) | 124 (91.9) | 10 (83.3) | 0.520 | 98 (85.2) | 143 (91.7) | 63 (94.0) | 0.101 | 169 (90.4) | 111 (89.5) | 24 (88.9) | 0.953 |
| III–IV | 11 (13.6) | 13 (7.4) | 10 (12.2) | 18 (11.8) | 12 (7.7) | 4 (12.9) | 21 (11.0) | 11 (8.1) | 2 (16.7) | 17 (14.8) | 13 (8.3) | 4 (6.0) | 18 (9.6) | 13 (10.5) | 3 (11.1) | |||||
Disclaimer/Publisher’s Note: The statements, opinions and data contained in all publications are solely those of the individual author(s) and contributor(s) and not of MDPI and/or the editor(s). MDPI and/or the editor(s) disclaim responsibility for any injury to people or property resulting from any ideas, methods, instructions or products referred to in the content. |
© 2025 by the authors. Licensee MDPI, Basel, Switzerland. This article is an open access article distributed under the terms and conditions of the Creative Commons Attribution (CC BY) license (https://creativecommons.org/licenses/by/4.0/).
Share and Cite
Córdoba-Lanús, E.; García-Pérez, O.; Melgar-Vilaplana, L.; Domínguez-de-Barros, A.; Fernández-de-Misa, R. Germline PDCDL1 Gene Variants Are Associated with Increased Primary Melanoma Thickness. Biomolecules 2025, 15, 584. https://doi.org/10.3390/biom15040584
Córdoba-Lanús E, García-Pérez O, Melgar-Vilaplana L, Domínguez-de-Barros A, Fernández-de-Misa R. Germline PDCDL1 Gene Variants Are Associated with Increased Primary Melanoma Thickness. Biomolecules. 2025; 15(4):584. https://doi.org/10.3390/biom15040584
Chicago/Turabian StyleCórdoba-Lanús, Elizabeth, Omar García-Pérez, Leticia Melgar-Vilaplana, Angélica Domínguez-de-Barros, and Ricardo Fernández-de-Misa. 2025. "Germline PDCDL1 Gene Variants Are Associated with Increased Primary Melanoma Thickness" Biomolecules 15, no. 4: 584. https://doi.org/10.3390/biom15040584
APA StyleCórdoba-Lanús, E., García-Pérez, O., Melgar-Vilaplana, L., Domínguez-de-Barros, A., & Fernández-de-Misa, R. (2025). Germline PDCDL1 Gene Variants Are Associated with Increased Primary Melanoma Thickness. Biomolecules, 15(4), 584. https://doi.org/10.3390/biom15040584

