Evaluating the Topological Features of Monomeric and Trimeric TRAF2-C: A Multi-Disciplinary Approach
Abstract
1. Introduction
2. Materials and Methods
2.1. Protein Expression and Purification
2.2. Spectroscopic Technique
2.2.1. Fluorescence Correlation Spectroscopy (FCS)
2.2.2. Dynamic Light Scattering (DLS)
2.2.3. Circular Dichroism Spectroscopy
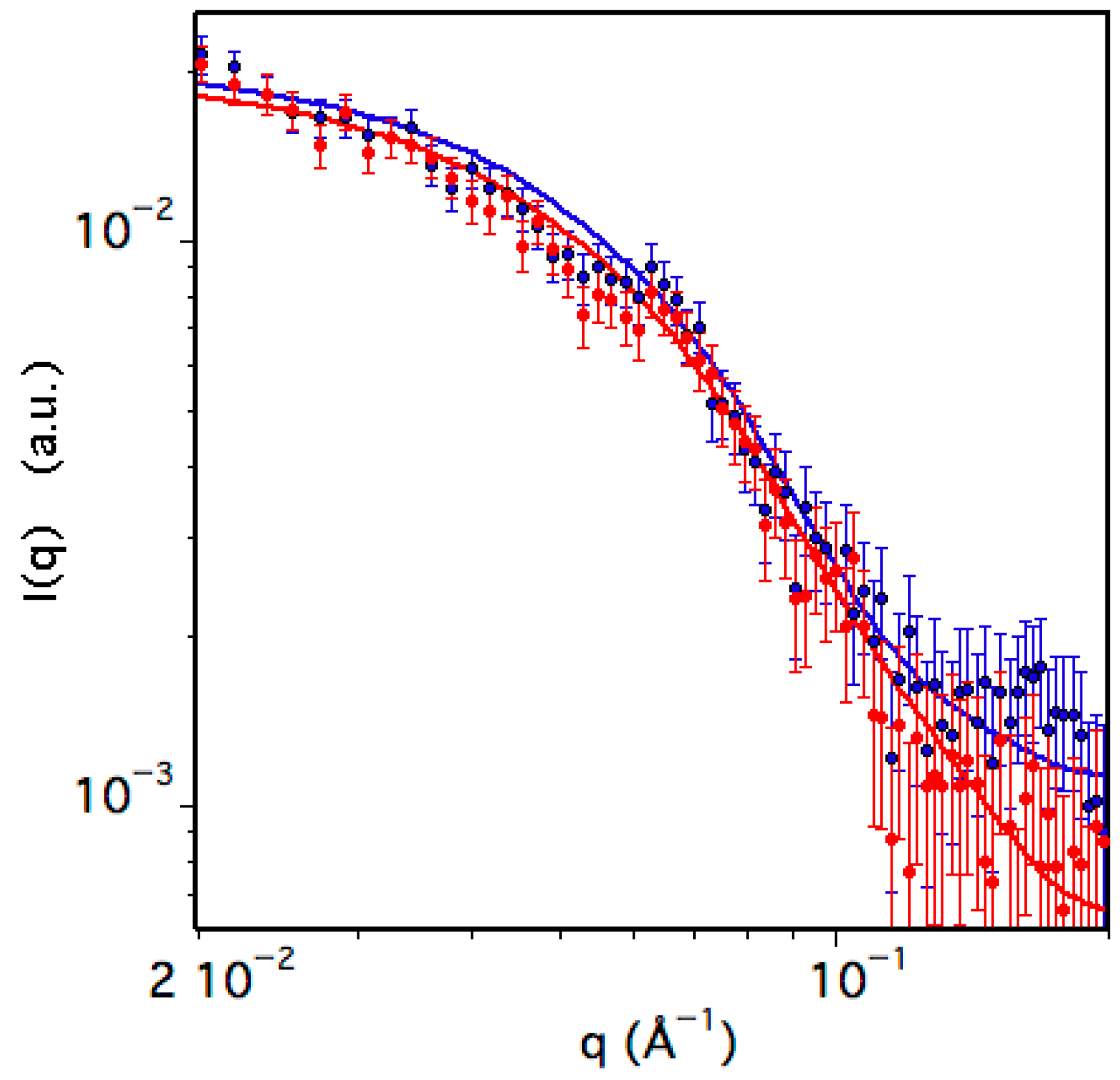
2.2.4. Small Angle Neutron Scattering (SANS)
2.3. Molecular Dynamics Simulations
2.4. Analysis of Simulated Data
2.4.1. Evaluation of the Ellipsoid of Revolution of Trimeric and Monomeric TRAF2-C
2.4.2. Fractal Dimension
2.4.3. Protein Contact Networks and Network Clustering
3. Results and Discussion
3.1. In Silico Prediction of TRAF2-C Superficial Roughness
3.2. FFS Determination of TRAF2-C Diffusion Coefficients and Particle Size Distribution
3.3. Analysis of Secondary, Tertiary, and Quaternary Structure Changes upon Subunit Dissociation

| Molecular Species | Rpolar (Å) | Requatorial (Å) | N (%) |
|---|---|---|---|
| Mon (20 °C) | 24 ± 1 | 17.6 ± 0.9 | 18 |
| Trim (20 °C) | 20 ± 1 | 41.3 ± 0.8 | 82 |
| Mon (37 °C) | 23.5 ± 0.6 | 19 ± 1 | 28 |
| Trim (37 °C) | 18 ± 1 | 44 ± 2 | 72 |
| Molecular Species | R1 (Å) | R2 (Å) | R3 (Å) |
|---|---|---|---|
| Monomer | 26.9 | 17.4 | 20.7 |
| Rpolar (Å) ≈ 26.9 | (*)Requatorial (Å) ≈ 19 ± 2 | ||
| Trimer | 24.7 | 36.1 | 40.1 |
| Rpolar (Å) ≈ 24.7 | (*)Requatorial (Å) ≈ 38 ± 2 | ||
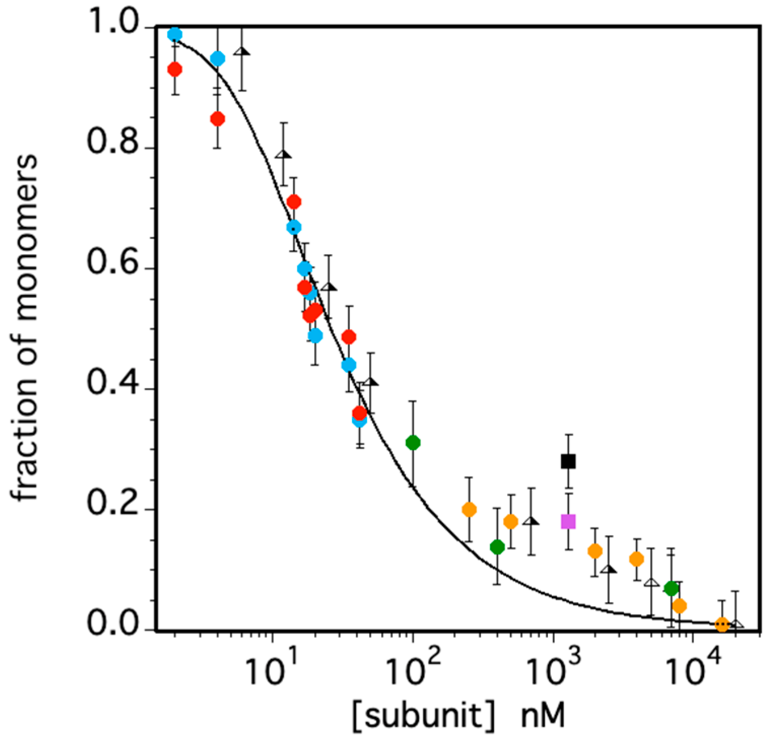
3.4. A Concerted Evaluation of TRAF2-C Subunits Dissociation Constant
3.5. Molecular Dynamics Prediction of Protein Hydrodynamic Shape: A Contact Network Analysis
4. Conclusions
Supplementary Materials
Author Contributions
Funding
Institutional Review Board Statement
Informed Consent Statement
Data Availability Statement
Acknowledgments
Conflicts of Interest
Abbreviations
| TRAFs | TNF Receptor-Associated Factors |
| TRAF-C | TRAF Carboxy-Terminal Domain |
| TRAF-N | TRAF Amino-Terminal Domain |
| MD | Molecular Dynamics |
| FFS | Fluorescence Fluctuations Spectroscopy; |
| FCS | Fluorescence Correlation Spectroscopy |
| CD | Circular Dichroism |
| DLS | Dynamic Light Scattering |
| SANS | Small Angle Neutron Scattering |
| FD | Fractal Dimension |
| PCN | Protein Contact Network |
| PCH | Photon Counting Histogram |
| BC | Betweenness Centrality |
References
- Dhillon, B.; Aleithan, F.; Abdul-Sater, Z.; Abdul-Sater, A.A. The Evolving Role of TRAFs in Mediating Inflammatory Responses. Front. Immunol. 2019, 10, 104. [Google Scholar] [CrossRef]
- Park, H.H. Structure of TRAF family: Current understanding of receptor recognition. Front. Immunol. 2018, 9, 1999. [Google Scholar] [CrossRef]
- Zheng, C.; Kabaleeswaran, V.; Wang, Y.; Cheng, G.; Wu, H. Crystal structures of the TRAF2:cIAP2 and the TRAF1:TRAF2:cIAP2 complexes—Affinity, specificity and regulation. Mol. Cell 2010, 38, 101–113. [Google Scholar] [CrossRef]
- Cossu, F.; Sorrentino, L.; Fagnani, E.; Zaffaroni, M.; Milani, M.; Giorgino, T.; Mastrangelo, E. Computational and Experimental Characterization of NF023, A Candidate Anticancer Compound Inhibiting cIAP2/TRAF2 Assembly. J. Chem. Inf. Model. 2020, 60, 5036–5044. [Google Scholar] [CrossRef]
- Siegmund, D.; Wagner, J.; Wajant, H. TNF Receptor Associated Factor 2 (TRAF2) Signaling in Cancer. Cancers 2022, 14, 4055. [Google Scholar] [CrossRef] [PubMed]
- Albini, A.; Di Paola, L.; Mei, G.; Baci, D.; Fusco, N.; Corso, G.; Noonan, D. Inflammation and cancer cell survival: TRAF2 as a key player. Cell Death Dis. 2025, 16, 292. [Google Scholar] [CrossRef] [PubMed]
- Borghi, A.; Verstrepen, L.; Beyaert, R. TRAF2 multitasking in TNF receptor-induced signaling to NF-κB, MAP kinases and cell death. Biochem. Pharmacol. 2016, 116, 1–10. [Google Scholar] [CrossRef] [PubMed]
- Brenke, J.K.; Popowicz, G.M.; Schorpp, K.; Rothenaigner, I.; Roesner, M.; Meininger, I.; Kalinski, C.; Ringelstetter, L.; R’kyek, O.; Jürjens, G.; et al. Targeting TRAF6 E3 ligase activity with a small-molecule inhibitor combats autoimmunity. J. Biol. Chem. 2018, 293, 13191–13203. [Google Scholar] [CrossRef]
- Das, A.; Middleton, A.J.; Padala, P.; Ledgerwood, E.C.; Mace, P.D.; Day, C.L. The Structure and Ubiquitin Binding Properties of TRAF RING Heterodimers. J. Mol. Biol. 2021, 433, 166844. [Google Scholar] [CrossRef]
- Gonzalvez, F.; Lawrence, D.; Yang, B.; Yee, S.; Pitti, R.; Marsters, S.; Pham, V.C.; Stephan, J.P.; Lill, J.; Ashkenazi, A. TRAF2 Sets a threshold for extrinsic apoptosis by tagging caspase-8 with a ubiquitin shutoff timer. Mol. Cell 2012, 48, 888–899. [Google Scholar] [CrossRef]
- Park, H.H. Structural feature of TRAFs, their related human diseases and therapeutic intervention. Arch. Pharm. Res. 2021, 44, 475–486. [Google Scholar] [CrossRef] [PubMed]
- Zapata, J.M.; Lefebvre, S.; Reed, J.C. Targeting TRAFs for therapeutic intervention. Adv. Exp. Med. Biol. 2007, 597, 188–201. [Google Scholar]
- De Luca, A.; Mei, G.; Rosato, N.; Nicolai, E.; Federici, L.; Palumbo, C.; Pastore, A.; Serra, M.; Caccuri, A.M. The fine-tuning of TRAF2-GSTP1-1 interaction: Effect of ligand binding and in situ detection of the complex. Cell Death Dis. 2014, 5, e1015. [Google Scholar] [CrossRef] [PubMed]
- Wu, Y.; Fan, Y.; Xue, B.; Luo, L.; Shen, J.; Zhang, S.; Jiang, Y.; Yin, Z. Human glutathione S-transferase P1-1 interacts with TRAF2 and regulates TRAF2-ASK1 signals. Oncogene 2006, 25, 5787–5800. [Google Scholar] [CrossRef] [PubMed]
- McWhirter, S.M.; Pullen, S.S.; Holton, J.M.; Crute, J.J.; Kehry, M.R.; Alber, T. Crystallographic analysis of CD40 recognition and signaling by human TRAF2. Proc. Natl. Acad. Sci. USA 1999, 96, 8408–8413. [Google Scholar] [CrossRef]
- Tsao, D.H.; McDonagh, T.; Telliez, J.B.; Hsu, S.; Malakian, K.; Xu, G.-Y.; Lin, L.-L. Solution structure of N-TRADD and characterization of the interaction of N-TRADD and C-TRAF2, a key step in the TNFR1 signaling pathway. Mol. Cell 2000, 5, 1051–1057. [Google Scholar] [CrossRef] [PubMed]
- Park, Y.C.; Ye, H.; Hsia, C.; Segal, D.; Rich, R.L.; Liou, H.C.; Myszka, D.G.; Wu, H. A novel mechanism of TRAF signaling revealed by structural and functional analyses of the TRADD-TRAF2 interaction. Cell 2000, 101, 777–787. [Google Scholar] [CrossRef]
- Di Venere, A.; Nicolai, E.; Minicozzi, V.; Caccuri, A.M.; Di Paola, L.; Mei, G. The Odd Faces of Oligomers: The Case of TRAF2-C, A Trimeric C-Terminal Domain of TNF Receptor-Associated Factor. Int. J. Mol. Sci. 2021, 22, 5871. [Google Scholar] [CrossRef]
- Erba, F.; Di Paola, L.; Di Venere, A.; Mastrangelo, E.; Cossu, F.; Mei, G.; Minicozzi, V. Head or tail? A molecular dynamics approach to the complex structure of TNF-associated factor TRAF2. Biomol. Concepts 2023, 14, 31. [Google Scholar] [CrossRef]
- Hayden, M.S.; Ghosh, S. Shared principles in NF-κB signaling. Cell 2008, 132, 344–362. [Google Scholar] [CrossRef]
- Labbé, K.; McIntire, C.R.; Doiron, K.; Leblanc, P.M.; Saleh, M. Cellular inhibitors of apoptosis proteins cIAP1 and cIAP2 are required for efficient caspase-1 activation by the inflammasome. Immunity 2011, 35, 897–907. [Google Scholar] [CrossRef] [PubMed]
- Das, A.; Foglizzo, M.; Padala, P.; Zhu, J.; Day, C.L. TRAF trimers form immune signalling networks via RING domain dimerization. FEBS Lett. 2023, 597, 1213–1224. [Google Scholar] [CrossRef]
- Di Venere, A.; Nicolai, E.; Sinibaldi, F.; Di Pierro, D.; Caccuri, A.M.; Mei, G. Studying the TRAF2 binding to model membranes: The role of subunits dissociation. Biotechnol. Appl. Biochem. 2018, 65, 38–45. [Google Scholar] [CrossRef]
- Ceccarelli, A.; Di Venere, A.; Nicolai, E.; De Luca, A.; Rosato, N.; Gratton, E.; Mei, G.; Caccuri, A.M. New insight into the interaction of TRAF2 C-terminal domain with lipid raft microdomains. Biochim. Biophys. Acta Mol. Cell Biol. Lipids 2017, 1862, 813–822. [Google Scholar] [CrossRef] [PubMed]
- De Luca, A.; Faienza, F.; Fulci, C.; Nicolai, E.; Calligari, P.; Palumbo, C.; Caccuri, A.M. Molecular and cellular evidence of a direct interaction between the TRAF2 C-terminal domain and ganglioside GM1. Int. J. Biochem. Cell Biol. 2024, 167, 106508. [Google Scholar] [CrossRef] [PubMed]
- Ceccarelli, A.; Di Venere, A.; Nicolai, E.; De Luca, A.; Minicozzi, V.; Rosato, N.; Caccuri, A.M.; Mei, G. TNFR-Associated Factor-2 (TRAF2): Not Only a Trimer. Biochemistry 2015, 54, 6153–6161. [Google Scholar] [CrossRef] [PubMed]
- Micsonai, A.; Wien, F.; Bulyáki, É.; Kun, J.; Moussong, É.; Lee, Y.H.; Goto, Y.; Réfrégiers, M.; Kardos, J. BeStSel: A web server for accurate protein secondary structure prediction and fold recognition from the circular dichroism spectra. Nucleic Acids Res. 2018, 46, W315–W322. [Google Scholar] [CrossRef]
- Dewhurst, C.D. Graphical reduction and analysis small-angle neutronn scattering program: GRASP. J. Appl. Crystallogr. 2023, 56, 1595–1609. [Google Scholar] [CrossRef]
- Berendsen, H.J.C.; van der Spoel, D.; van Drunen, R. GROMACS: A message-passing parallel molecular dynamics implementation. Comput. Phys. Commun. 1995, 91, 43–56. [Google Scholar] [CrossRef]
- Lindahl, E.; Hess, B.; van der Spoel, D. GROMACS 3.0: A package for molecular simulation and trajectory analysis. J. Mol. Model. 2001, 7, 306–317. [Google Scholar] [CrossRef]
- van der Spoel, D.; Lindahl, E.; Hess, B.; Groenhof, G.; Mark, A.E.; Berendsen, H.J.C. GROMACS: Fast, flexible, and free. J. Comput. Chem. 2005, 26, 1701–1718. [Google Scholar] [CrossRef]
- Hess, B.; Kutzner, C.; van der Spoel, D.; Lindahl, E. GROMACS 4: Algorithms for highly efficient, load-balanced, and scalable molecular simulation. J. Chem. Theory Comput. 2008, 4, 435–447. [Google Scholar] [CrossRef]
- van Gunsteren, W.; Billeter, S.; Eking, A.; Hünenberger, P.; Krüger, P.; Mark, A.; Tironi, I. Biomolecular Simulation: The GROMOS96 Manual and User Guide; BIOMOS: Groningen, The Netherlands, 1996. [Google Scholar]
- Minicozzi, V.; Di Venere, A.; Nicolai, E.; Giuliani, A.; Caccuri, A.M.; Di Paola, L.; Mei, G. Non-symmetrical structural behavior of a symmetric protein: The case of homo-trimeric TRAF2. J. Biomol. Struct. Dyn. 2021, 39, 319–329. [Google Scholar] [CrossRef]
- Bussi, G.; Donadio, D.; Parrinello, M. Canonical sampling through velocity rescaling. J. Chem. Phys. 2007, 126, 014101. [Google Scholar] [CrossRef]
- Berendsen, H.J.C.; Postma, J.P.M.; van Gunsteren, W.F.; Dinola, A.; Haak, J.R. Molecular dynamics with coupling to an external bath. J. Chem. Phys. 1984, 81, 3684–3690. [Google Scholar] [CrossRef]
- Darden, T.; York, D.; Pedersen, L. Particle mesh Ewald: An N·log(N) method for Ewald sums in large systems. J. Chem. Phys. 1993, 98, 10089–10092. [Google Scholar] [CrossRef]
- Lewis, M.; Rees, D.C. Fractal surfaces proteins. Science 1985, 230, 1163–1165. [Google Scholar] [CrossRef] [PubMed]
- Di Paola, L.; Mei, G.; Di Venere, A.; Giuliani, A. Disclosing Allostery Through Protein Contact Networks. Methods Mol. Biol. 2021, 2253, 7–20. [Google Scholar]
- Daniel, M.; Baskar, S.; Latha, M.M. Fractal Dimension and Tertiary Structure of Proteins. Phys. Scr. 1999, 60, 270–276. [Google Scholar] [CrossRef]
- Chan, T.C.; Li, H.T.; Li, K.Y. Effects of shapes of solute molecules on diffusion: A study of dependences on solute size, solvent, and temperature. J. Phys. Chem. B 2015, 119, 15718–15728. [Google Scholar] [CrossRef] [PubMed]
- Skakun, V.V.; Engel, R.; Digris, A.V.; Borst, J.W.; Visser, A.J. Global analysis of autocorrelation functions and photon counting distributions. Front. Biosci. 2011, 3, 489–505. [Google Scholar] [CrossRef] [PubMed]
- Nederveen-Schippers, L.M.; Pathak, P.; Keizer-Gunnink, I.; Westphal, A.H.; van Haastert, P.J.M.; Borst, J.W.; Kortholt, A.; Skakun, V. Combined FCS and PCH Analysis to Quantify Protein Dimerization in Living Cells. Int. J. Mol. Sci. 2021, 22, 7300. [Google Scholar] [CrossRef] [PubMed]
- Tian, Y.; Martinez, M.M.; Pappas, D. Fluorescence Correlation Spectroscopy: A Review of Biochemical and Microfluidic Applications. Appl. Spectrosc. 2011, 65, 115–124. [Google Scholar] [CrossRef]
- Chen, Y.; Müller, J.D.; So, P.T.; Gratton, E. The photon counting histogram in fluorescence fluctuation spectroscopy. Biophys. J. 1999, 77, 553–567. [Google Scholar] [CrossRef] [PubMed]
- Huang, Y.K.; Hedde, P.N. Breaking the Concentration Limit in Fluorescence Fluctuation Spectroscopy with Camera-Based Detection. Int. J. Mol. Sci. 2022, 23, 9840. [Google Scholar] [CrossRef]
- Minicozzi, V.; Di Venere, A.; Caccuri, A.M.; Mei, G.; Di Paola, L. One for All, All for One: The Peculiar Dynamics of TNF-Receptor-Associated Factor (TRAF2) Subunits. Symmetry 2022, 14, 720. [Google Scholar] [CrossRef]
- Wako, H.; Endo, S. Dynamic properties of oligomers that characterize low-frequency normal modes. Biophys. Physicobiol. 2019, 16, 220–231. [Google Scholar] [CrossRef]
- Krissinel, E.; Henrick, K. Inference of macromolecular assemblies from crystalline state. J. Mol. Biol. 2007, 372, 774–797. [Google Scholar] [CrossRef]
- Chan, F.K. Three is better than one: Pre-ligand receptor assembly in the regulation of TNF receptor signaling. Cytokine 2007, 37, 101–107. [Google Scholar] [CrossRef]
- Ye, H.; Wu, H. Thermodynamic characterization of the interaction between TRAF2 and tumor necrosis factor receptor peptides by isothermal titration calorimetry. Proc. Natl. Acad. Sci. USA 2000, 97, 8961–8966. [Google Scholar] [CrossRef] [PubMed]
- Cantor, C.R.; Schimmel, P.R. Biophysical Chemistry; W. H. Freeman & Company: New York, NY, USA, 1980. [Google Scholar]
- Vasanthi, R.; Bhattacharyya, S.; Bagchi, B. Anisotropic diffusion of spheroids in liquids: Slow orientational relaxation of the oblates. J. Chem. Phys. 2001, 116, 3. [Google Scholar] [CrossRef]













Disclaimer/Publisher’s Note: The statements, opinions and data contained in all publications are solely those of the individual author(s) and contributor(s) and not of MDPI and/or the editor(s). MDPI and/or the editor(s) disclaim responsibility for any injury to people or property resulting from any ideas, methods, instructions or products referred to in the content. |
© 2025 by the authors. Licensee MDPI, Basel, Switzerland. This article is an open access article distributed under the terms and conditions of the Creative Commons Attribution (CC BY) license (https://creativecommons.org/licenses/by/4.0/).
Share and Cite
Erba, F.; Russo, D.; Minicozzi, V.; Di Paola, L.; Prevost, S.; De Luca, A.; Mei, G.; Di Venere, A. Evaluating the Topological Features of Monomeric and Trimeric TRAF2-C: A Multi-Disciplinary Approach. Biomolecules 2025, 15, 1626. https://doi.org/10.3390/biom15111626
Erba F, Russo D, Minicozzi V, Di Paola L, Prevost S, De Luca A, Mei G, Di Venere A. Evaluating the Topological Features of Monomeric and Trimeric TRAF2-C: A Multi-Disciplinary Approach. Biomolecules. 2025; 15(11):1626. https://doi.org/10.3390/biom15111626
Chicago/Turabian StyleErba, Fulvio, Daniela Russo, Velia Minicozzi, Luisa Di Paola, Sylvain Prevost, Anastasia De Luca, Giampiero Mei, and Almerinda Di Venere. 2025. "Evaluating the Topological Features of Monomeric and Trimeric TRAF2-C: A Multi-Disciplinary Approach" Biomolecules 15, no. 11: 1626. https://doi.org/10.3390/biom15111626
APA StyleErba, F., Russo, D., Minicozzi, V., Di Paola, L., Prevost, S., De Luca, A., Mei, G., & Di Venere, A. (2025). Evaluating the Topological Features of Monomeric and Trimeric TRAF2-C: A Multi-Disciplinary Approach. Biomolecules, 15(11), 1626. https://doi.org/10.3390/biom15111626

