Plasma Levels of Propionylcarnitine Improved Prediction of Heart Failure and All-Cause Mortality in Patients with Stable Coronary Artery Disease
Abstract
1. Introduction
2. Materials and Methods
2.1. Study Population
2.2. Study Design
2.3. Plasma Protein and Biochemical Determination
2.4. Plasma Metabolomics Analysis
2.5. Ethical Statement
2.6. Statistical Analysis
3. Results
3.1. Characterization of the SCAD Population
3.2. Plasma Biomarkers and Recurrent Cardiovascular Events
3.3. Association of Protein and Metabolomic Biomarkers with Cardiovascular Injuries
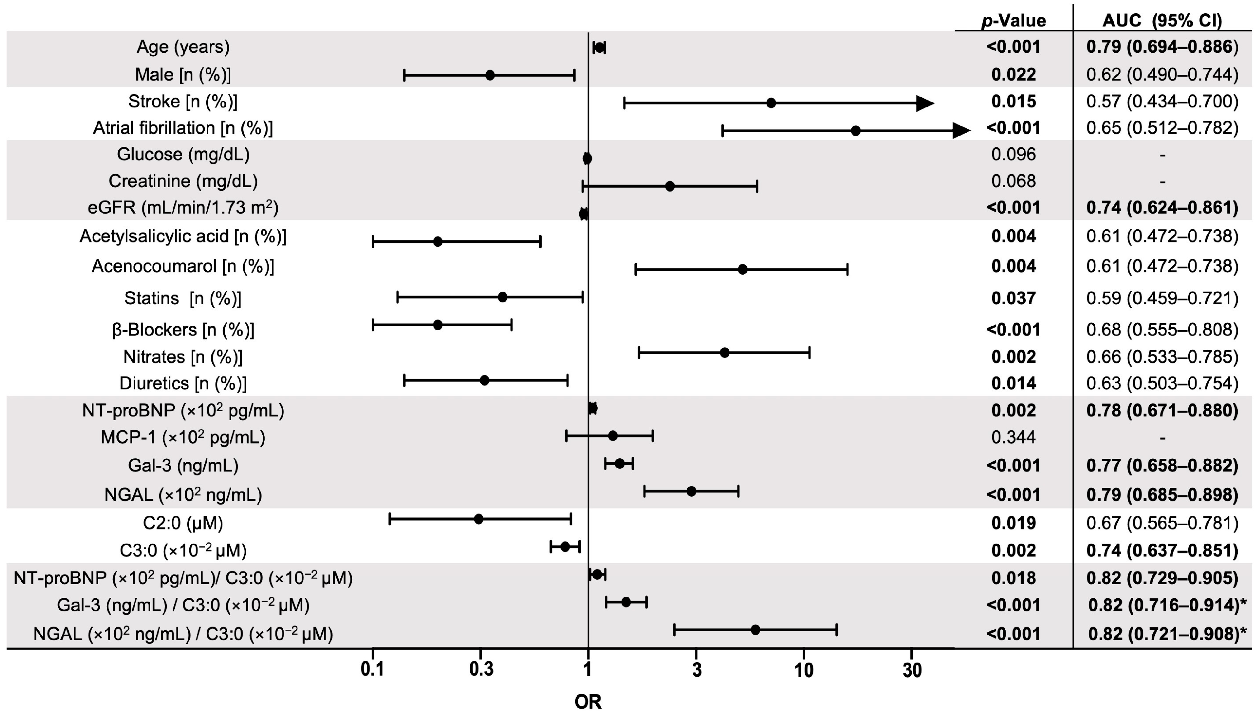
3.4. Combination of Protein and Metabolomic Biomarkers for Prediction of HF or All-Cause Mortality
4. Discussion
5. Limitations
6. Conclusions
Supplementary Materials
Author Contributions
Funding
Institutional Review Board Statement
Informed Consent Statement
Data Availability Statement
Conflicts of Interest
References
- Lopaschuk, G.D.; Karwi, Q.G.; Tian, R.; Wende, A.R.; Abel, E.D. Cardiac Energy Metabolism in Heart Failure. Circ. Res. 2021, 128, 1487–1513. [Google Scholar] [CrossRef] [PubMed]
- Longo, N.; Frigeni, M.; Pasquali, M. CARNITINE TRANSPORT AND FATTY ACID OXIDATION. Biochim. Biophys. Acta 2016, 1863, 2422–2435. [Google Scholar] [CrossRef] [PubMed]
- Drake, K.J.; Sidorov, V.Y.; McGuinness, O.P.; Wasserman, D.H.; Wikswo, J.P. Amino Acids as Metabolic Substrates during Cardiac Ischemia. Exp. Biol. Med. 2012, 237, 1369–1378. [Google Scholar] [CrossRef] [PubMed]
- Siliprandi, N.; Di Lisa, F.; Menabò, R. Propionyl-L-carnitine: Biochemical significance and possible role in cardiac metabolism. Cardiovasc. Drugs Ther. 1991, 5 (Suppl. S1), 11–15. [Google Scholar] [CrossRef]
- Kouzu, H.; Katano, S.; Yano, T.; Ohori, K.; Nagaoka, R.; Inoue, T.; Takamura, Y.; Ishigo, T.; Watanabe, A.; Koyama, M.; et al. Plasma amino acid profiling improves predictive accuracy of adverse events in patients with heart failure. ESC Heart Fail 2021, 8, 5045–5056. [Google Scholar] [CrossRef]
- Tang, W.H.W.; Wang, Z.; Cho, L.; Brennan, D.M.; Hazen, S.L. Diminished Global Arginine Bioavailability and Increased Arginine Catabolism as Metabolic Profile of Increased Cardiovascular Risk. J. Am. Coll. Cardiol. 2009, 53, 2061–2067. [Google Scholar] [CrossRef]
- Mehta, A.; Liu, C.; Nayak, A.; Tahhan, A.S.; Ko, Y.-A.; Dhindsa, D.S.; Kim, J.H.; Hayek, S.S.; Sperling, L.S.; Mehta, P.K.; et al. Untargeted high-resolution plasma metabolomic profiling predicts outcomes in patients with coronary artery disease. PLoS ONE 2020, 15, e0237579. [Google Scholar] [CrossRef]
- Du, X.; Li, Y.; Wang, Y.; You, H.; Hui, P.; Zheng, Y.; Du, J. Increased branched-chain amino acid levels are associated with long-term adverse cardiovascular events in patients with STEMI and acute heart failure. Life Sci. 2018, 209, 167–172. [Google Scholar] [CrossRef]
- Widmer, M.; Thommen, E.B.; Becker, C.; Beck, K.; Vincent, A.M.; Perrig, S.; Keller, A.; Bernasconi, L.; Neyer, P.; Marsch, S.; et al. Association of acyl carnitines and mortality in out-of-hospital-cardiac-arrest patients: Results of a prospective observational study. J. Crit. Care 2020, 58, 20–26. [Google Scholar] [CrossRef]
- Bergmark, B.A.; Mathenge, N.; Merlini, P.A.; Lawrence-Wright, M.B.; Giugliano, R.P. Acute coronary syndromes. Lancet 2022, 399, 1347–1358. [Google Scholar] [CrossRef]
- Byrne, R.A.; Rossello, X.; Coughlan, J.J.; Barbato, E.; Berry, C.; Chieffo, A.; Claeys, M.J.; Dan, G.-A.; Dweck, M.R.; Galbraith, M.; et al. 2023 ESC Guidelines for the management of acute coronary syndromes. Eur. Heart J. 2023, 44, 3720–3826. [Google Scholar] [CrossRef] [PubMed]
- Alcidi, G.; Goffredo, G.; Correale, M.; Brunetti, N.D.; Iacoviello, M. Brain Natriuretic Peptide Biomarkers in Current Clinical and Therapeutic Scenarios of Heart Failure. J. Clin. Med. 2022, 11, 3192. [Google Scholar] [CrossRef] [PubMed]
- Chaulin, A.M. Gender Specificities of Cardiac Troponin Serum Levels: From Formation Mechanisms to the Diagnostic Role in Case of Acute Coronary Syndrome. Life 2023, 13, 267. [Google Scholar] [CrossRef] [PubMed]
- Liu, H.; Wan, X.; Shi, Y.; Huang, F.; Shu, H.; Huang, R.; Gu, L. Neutrophil Gelatinase-Associated Lipocalin Contributes to Increased Risk of Cardiovascular Death After Acute Coronary Syndrome. Int. J. Gen. Med. 2021, 14, 4887–4895. [Google Scholar] [CrossRef]
- Tuñón, J.; Blanco-Colio, L.; Cristóbal, C.; Tarín, N.; Higueras, J.; Huelmos, A.; Alonso, J.; Egido, J.; Asensio, D.; Lorenzo, Ó.; et al. Usefulness of a Combination of Monocyte Chemoattractant Protein-1, Galectin-3, and N-Terminal Probrain Natriuretic Peptide to Predict Cardiovascular Events in Patients With Coronary Artery Disease. Am. J. Cardiol. 2014, 113, 434–440. [Google Scholar] [CrossRef]
- Richter, B.; Rychli, K.; Hohensinner, P.J.; Berger, R.; Mörtl, D.; Neuhold, S.; Zorn, G.; Huber, K.; Maurer, G.; Wojta, J.; et al. Differences in the predictive value of tumor necrosis factor-like weak inducer of apoptosis (TWEAK) in advanced ischemic and non-ischemic heart failure. Atherosclerosis 2010, 213, 545–548. [Google Scholar] [CrossRef]
- Blanco-Colio, L.M.; Méndez-Barbero, N.; Pello Lázaro, A.M.; Aceña, Á.; Tarín, N.; Cristóbal, C.; Martínez-Milla, J.; González-Lorenzo, Ó.; Martín-Ventura, J.L.; Huelmos, A.; et al. MCP-1 Predicts Recurrent Cardiovascular Events in Patients with Persistent Inflammation. J. Clin. Med. 2021, 10, 1137. [Google Scholar] [CrossRef]
- Wang, X.; Ji, X. Sample Size Estimation in Clinical Research: From Randomized Controlled Trials to Observational Studies. Chest 2020, 158, S12–S20. [Google Scholar] [CrossRef]
- Huang, Y.-T.; Tseng, Y.-T.; Chu, T.-W.; Chen, J.; Lai, M.-Y.; Tang, W.-R.; Shiao, C.-C. N-terminal pro b-type natriuretic peptide (NT-pro-BNP) –based score can predict in-hospital mortality in patients with heart failure. Sci. Rep. 2016, 6, 29590. [Google Scholar] [CrossRef]
- Ueland, T.; Svardal, A.; Øie, E.; Askevold, E.T.; Nymoen, S.H.; Bjørndal, B.; Dahl, C.P.; Gullestad, L.; Berge, R.K.; Aukrust, P. Disturbed carnitine regulation in chronic heart failure—Increased plasma levels of palmitoyl-carnitine are associated with poor prognosis. Int. J. Cardiol. 2013, 167, 1892–1899. [Google Scholar] [CrossRef]
- Bauters, C.; Tricot, O.; Meurice, T.; Lamblin, N. Long-term risk and predictors of cardiovascular death in stable coronary artery disease: The CORONOR study. Coron. Artery Dis. 2017, 28, 636–641. [Google Scholar] [CrossRef] [PubMed]
- Rapsomaniki, E.; Shah, A.; Perel, P.; Denaxas, S.; George, J.; Nicholas, O.; Udumyan, R.; Feder, G.S.; Hingorani, A.D.; Timmis, A.; et al. Prognostic models for stable coronary artery disease based on electronic health record cohort of 102 023 patients. Eur. Heart J. 2014, 35, 844–852. [Google Scholar] [CrossRef] [PubMed]
- Nielsen, R.R.; Pryds, K.; Olesen, K.K.W.; Mortensen, M.B.; Gyldenkerne, C.; Nielsen, J.C.; Hindricks, G.; Dagres, N.; Maeng, M. Coronary Artery Disease Is A Stronger Predictor of All-Cause Mortality Than Left Ventricular Ejection Fraction Among Patients With Newly Diagnosed Heart Failure: Insights From the WDHR. J. Am. Heart Assoc. 2024, 13, e033938. [Google Scholar] [CrossRef]
- Ponikowski, P.; Voors, A.A.; Anker, S.D.; Bueno, H.; Cleland, J.G.F.; Coats, A.J.S.; Falk, V.; González-Juanatey, J.R.; Harjola, V.-P.; Jankowska, E.A.; et al. 2016 ESC Guidelines for the diagnosis and treatment of acute and chronic heart failure: The Task Force for the diagnosis and treatment of acute and chronic heart failure of the European Society of Cardiology (ESC). Developed with the special contribution of the Heart Failure Association (HFA) of the ESC. Eur. J. Heart Fail. 2016, 18, 891–975. [Google Scholar] [CrossRef]
- Naz, S.; Calderón, Á.A.; García, A.; Gallafrio, J.; Mestre, R.T.; González, E.G.; de Cabo, C.M.; Delgado, M.C.M.; Balanza, J.Á.L.; Simionato, A.V.C.; et al. Unveiling differences between patients with acute coronary syndrome with and without ST elevation through fingerprinting with CE-MS and HILIC-MS targeted analysis. Electrophoresis 2015, 36, 2303–2313. [Google Scholar] [CrossRef]
- Polo, T.C.F.; Miot, H.A. Aplicações da curva ROC em estudos clínicos e experimentais. J. Vasc. Bras. 2020, 19, e20200186. [Google Scholar] [CrossRef]
- Bautista, D.; Arana, E.; Martí-Bonmatí, L.; Paredes, R. Validation of Logistic Regression Models in Small Samples. J. Clin. Epidemiol. 1999, 52, 237–241. [Google Scholar] [CrossRef]
- Eagle, K.A.; Ginsburg, G.S.; Musunuru, K.; Aird, W.C.; Balaban, R.S.; Bennett, S.K.; Blumenthal, R.S.; Coughlin, S.R.; Davidson, K.W.; Frohlich, E.D.; et al. Identifying Patients at High Risk of a Cardiovascular Event in the Near Future. Circulation 2010, 121, 1447–1454. [Google Scholar] [CrossRef]
- Shi, X.; Qiu, H. New Insights Into Energy Substrate Utilization and Metabolic Remodeling in Cardiac Physiological Adaption. Front. Physiol. 2022, 13, 831829. [Google Scholar] [CrossRef]
- Visker, J.R.; Cluntun, A.A.; Velasco-Silva, J.N.; Eberhardt, D.R.; Cedeño-Rosario, L.; Shankar, T.S.; Hamouche, R.; Ling, J.; Kwak, H.; Hillas, J.Y.; et al. Enhancing mitochondrial pyruvate metabolism ameliorates ischemic reperfusion injury in the heart. JCI Insight 2024, 9, e180906. [Google Scholar] [CrossRef]
- Souza-Neto, F.V.; Islas, F.; Jiménez-González, S.; Luaces, M.; Ramchandani, B.; Romero-Miranda, A.; Delgado-Valero, B.; Roldan-Molina, E.; Saiz-Pardo, M.; Cerón-Nieto, M.Á.; et al. Mitochondrial Oxidative Stress Promotes Cardiac Remodeling in Myocardial Infarction through the Activation of Endoplasmic Reticulum Stress. Antioxidants 2022, 11, 1232. [Google Scholar] [CrossRef] [PubMed]
- Jaswal, J.S.; Keung, W.; Wang, W.; Ussher, J.R.; Lopaschuk, G.D. Targeting fatty acid and carbohydrate oxidation—A novel therapeutic intervention in the ischemic and failing heart. Biochim. Biophys. Acta (BBA)—Mol. Cell Res. 2011, 1813, 1333–1350. [Google Scholar] [CrossRef] [PubMed]
- Lewandowski, E.D.; Kudej, R.K.; White, L.T.; O’Donnell, J.M.; Vatner, S.F. Mitochondrial Preference for Short Chain Fatty Acid Oxidation During Coronary Artery Constriction. Circulation 2002, 105, 367–372. [Google Scholar] [CrossRef] [PubMed]
- Liu, Q.; Docherty, J.C.; Rendell, J.C.T.; Clanachan, A.S.; Lopaschuk, G.D. High levels of fatty acids delay the recovery of intracellular pH and cardiac efficiency inpost-ischemic hearts by inhibiting glucose oxidation. J. Am. Coll. Cardiol. 2002, 39, 718–725. [Google Scholar] [CrossRef]
- Odutayo, A.; Wong, C.X.; Hsiao, A.J.; Hopewell, S.; Altman, D.G.; Emdin, C.A. Atrial fibrillation and risks of cardiovascular disease, renal disease, and death: Systematic review and meta-analysis. BMJ 2016, 354, i4482. [Google Scholar] [CrossRef]
- Bots, S.H.; Peters, S.A.E.; Woodward, M. Sex differences in coronary heart disease and stroke mortality: A global assessment of the effect of ageing between 1980 and 2010. BMJ Glob Health 2017, 2, e000298. [Google Scholar] [CrossRef]
- Mace-Brickman, T.; Eddeen, A.B.; Carrero, J.-J.; Mark, P.B.; Molnar, A.O.; Lam, N.N.; Zimmerman, D.; Harel, Z.; Sood, M.M. The Risk of Stroke and Stroke Type in Patients With Atrial Fibrillation and Chronic Kidney Disease. Can. J. Kidney Health Dis. 2019, 6, 2054358119892372. [Google Scholar] [CrossRef]
- Gregg, L.P.; Tio, M.C.; Li, X.; Adams-Huet, B.; de Lemos, J.A.; Hedayati, S.S. Association of Monocyte Chemoattractant Protein-1 with Death and Atherosclerotic Events in Chronic Kidney Disease. Am. J. Nephrol. 2018, 47, 395–405. [Google Scholar] [CrossRef]
- Asleh, R.; Enriquez-Sarano, M.; Jaffe, A.S.; Manemann, S.M.; Weston, S.A.; Jiang, R.; Roger, V.L. Galectin-3 Levels and Outcomes After Myocardial Infarction: A Population-Based Study. J. Am. Coll. Cardiol. 2019, 73, 2286–2295. [Google Scholar] [CrossRef]
- Katagiri, M.; Takahashi, M.; Doi, K.; Myojo, M.; Kiyosue, A.; Ando, J.; Hirata, Y.; Komuro, I. Serum neutrophil gelatinase-associated lipocalin concentration reflects severity of coronary artery disease in patients without heart failure and chronic kidney disease. Heart Vessel. 2016, 31, 1595–1602. [Google Scholar] [CrossRef]
- Helanova, K.; Littnerova, S.; Kubena, P.; Ganovska, E.; Pavlusova, M.; Kubkova, L.; Jarkovsky, J.; Pavkova Goldbergova, M.; Lipkova, J.; Gottwaldova, J.; et al. Prognostic impact of neutrophil gelatinase-associated lipocalin and B-type natriuretic in patients with ST-elevation myocardial infarction treated by primary PCI: A prospective observational cohort study. BMJ Open 2015, 5, e006872. [Google Scholar] [CrossRef] [PubMed]
- Sygitowicz, G.; Tomaniak, M.; Filipiak, K.J.; Kołtowski, Ł.; Sitkiewicz, D. Galectin-3 in Patients with Acute Heart Failure: Preliminary Report on First Polish Experience. Adv. Clin. Exp. Med. 2016, 25, 617–623. [Google Scholar] [CrossRef] [PubMed]
- Vissing, C.R.; Duno, M.; Wibrand, F.; Christensen, M.; Vissing, J. Hydroxylated long-chain acylcarnitines are biomarkers of mitochondrial myopathy. J. Clin. Endocrinol. Metab. 2019, 104, 5968–5976. [Google Scholar] [CrossRef] [PubMed]
- Hunter, W.G.; Kelly, J.P.; McGarrah, R.W.; Khouri, M.G.; Craig, D.; Haynes, C.; Ilkayeva, O.; Stevens, R.D.; Bain, J.R.; Muehlbauer, M.J.; et al. Metabolomic Profiling Identifies Novel Circulating Biomarkers of Mitochondrial Dysfunction Differentially Elevated in Heart Failure With Preserved Versus Reduced Ejection Fraction: Evidence for Shared Metabolic Impairments in Clinical Heart Failure. J. Am. Heart Assoc. 2016, 5, e003190. [Google Scholar] [CrossRef]
- Wedekind, R.; Rothwell, J.A.; Viallon, V.; Keski-Rahkonen, P.; Schmidt, J.A.; Chajes, V.; Katzke, V.; Johnson, T.; Santucci De Magistris, M.; Krogh, V.; et al. Determinants of blood acylcarnitine concentrations in healthy individuals of the European Prospective Investigation into Cancer and Nutrition. Clin. Nutr. 2022, 41, 1735–1745. [Google Scholar] [CrossRef]
- Ahmad, T.; Kelly, J.P.; McGarrah, R.W.; Hellkamp, A.S.; Fiuzat, M.; Testani, J.M.; Wang, T.S.; Verma, A.; Samsky, M.D.; Donahue, M.P.; et al. Prognostic Implications of Long-Chain Acylcarnitines in Heart Failure and Reversibility With Mechanical Circulatory Support. J. Am. Coll. Cardiol. 2016, 67, 291–299. [Google Scholar] [CrossRef]
- Ruiz, M.; Labarthe, F.; Fortier, A.; Bouchard, B.; Thompson Legault, J.; Bolduc, V.; Rigal, O.; Chen, J.; Ducharme, A.; Crawford, P.A.; et al. Circulating acylcarnitine profile in human heart failure: A surrogate of fatty acid metabolic dysregulation in mitochondria and beyond. Am. J. Physiol.-Heart Circ. Physiol. 2017, 313, H768–H781. [Google Scholar] [CrossRef]
- Dambrova, M.; Makrecka-Kuka, M.; Kuka, J.; Vilskersts, R.; Nordberg, D.; Attwood, M.M.; Smesny, S.; Sen, Z.D.; Guo, A.C.; Oler, E.; et al. Acylcarnitines: Nomenclature, Biomarkers, Therapeutic Potential, Drug Targets, and Clinical Trials. Pharmacol. Rev. 2022, 74, 506–551. [Google Scholar] [CrossRef]
- Ussher, J.R.; Elmariah, S.; Gerszten, R.E.; Dyck, J.R.B. The Emerging Role of Metabolomics in the Diagnosis and Prognosis of Cardiovascular Disease. J. Am. Coll. Cardiol. 2016, 68, 2850–2870. [Google Scholar] [CrossRef]
- Bain, J.R.; Stevens, R.D.; Wenner, B.R.; Ilkayeva, O.; Muoio, D.M.; Newgard, C.B. Metabolomics Applied to Diabetes Research. Diabetes 2009, 58, 2429–2443. [Google Scholar] [CrossRef]
- Shah, S.H.; Bain, J.R.; Muehlbauer, M.J.; Stevens, R.D.; Crosslin, D.R.; Haynes, C.; Dungan, J.; Newby, L.K.; Hauser, E.R.; Ginsburg, G.S.; et al. Association of a Peripheral Blood Metabolic Profile With Coronary Artery Disease and Risk of Subsequent Cardiovascular Events. Circ. Cardiovasc. Genet. 2010, 3, 207–214. [Google Scholar] [CrossRef] [PubMed]
- Davies, A.; Wenzl, F.A.; Li, X.S.; Winzap, P.; Obeid, S.; Klingenberg, R.; Mach, F.; Räber, L.; Muller, O.; Matter, C.M.; et al. Short and medium chain acylcarnitines as markers of outcome in diabetic and non-diabetic subjects with acute coronary syndromes. Int. J. Cardiol. 2023, 389, 131261. [Google Scholar] [CrossRef] [PubMed]
- Wang, C.-H.; Cheng, M.-L.; Liu, M.-H. Simplified plasma essential amino acid-based profiling provides metabolic information and prognostic value additive to traditional risk factors in heart failure. Amino Acids. 2018, 50, 1739–1748. [Google Scholar] [CrossRef]
- Moffett, J.R.; Puthillathu, N.; Vengilote, R.; Jaworski, D.M.; Namboodiri, A.M. Acetate Revisited: A Key Biomolecule at the Nexus of Metabolism, Epigenetics and Oncogenesis—Part 1: Acetyl-CoA, Acetogenesis and Acyl-CoA Short-Chain Synthetases. Front. Physiol. 2020, 11, 580167. [Google Scholar] [CrossRef]
- Jiang, M.; Xie, X.; Cao, F.; Wang, Y. Mitochondrial Metabolism in Myocardial Remodeling and Mechanical Unloading: Implications for Ischemic Heart Disease. Front. Cardiovasc. Med. 2021, 8, 789267. [Google Scholar] [CrossRef]
- Harrington, J.S.; Ryter, S.W.; Plataki, M.; Price, D.R.; Choi, A.M.K. Mitochondria in health, disease, and aging. Physiol. Rev. 2023, 103, 2349–2422. [Google Scholar] [CrossRef]




| HF or Death | ||||
|---|---|---|---|---|
| Total (n = 139) | No (n = 114) | Yes (n = 25) | p-Value | |
| Anthropometric parameters | ||||
| Age (years) | 67 (16) | 65 (14) | 78 (13) | <0.001 |
| Male [n (%)] | 99 (71.2) | 86 (75.4) | 13 (52) | 0.019 |
| BMI (kg/m2) | 28.6 (5.6) | 29.1 (4.9) | 27.4 (6.4) | 0.09 |
| Biochemistry | ||||
| Glucose (mg/dL) | 103 (30) | 104.5 (35) | 97.0 (20) | 0.008 |
| Creatinine (mg/dL) | 1.0 (0.3) | 1.0 (0.3) | 1.2 (0.55) | 0.013 |
| eGFR (mL/min/1.73 m2) | 67.7 (30.1) | 70.8 (27.18) | 47.5 (29) | <0.001 |
| TC (mg/dL) | 147 (43) | 148.5 (43) | 144 (48) | 0.693 |
| TGs (mg/dL) | 113 (79) | 112 (69) | 117 (103) | 0.376 |
| LDL-C (mg/dL) | 80 (37) | 80.5 (35) | 73 (46) | 0.231 |
| HDL-C (mg/dL) | 42 (12) | 42 (11) | 40 (20) | 0.831 |
| Non-HDL-C (mg/dL) | 105 (38) | 105 (38) | 98 (40) | 0.761 |
| Protein Biomarkers | ||||
| hsCRP (mg/L) | 2.3 (4) | 2.3 (3.7) | 3.4 (8) | 0.119 |
| NT-proBNP (×102 pg/mL) | 3 (6.87) | 2.5 (5.4) | 13 (22.21) | <0.001 |
| MCP-1 (×102 pg/mL) | 1.5 (0.67) | 1.4 (0.72) | 1.7 (0.73) | 0.043 |
| Gal-3 (ng/mL) | 8.4 (4.3) | 7.9 (3.9) | 12.7 (6.2) | <0.001 |
| NGAL (×102 ng/mL) | 1.8 (1.2) | 1.6 (1.1) | 2.7 (1.6) | <0.001 |
| sTWEAK (×102 pg/mL) | 1.9 (1) | 1.9 (1) | 1.7 (1.3) | 0.82 |
| HF or Death | ||||
|---|---|---|---|---|
| Total (n = 139) | No (n = 114) | Yes (n = 25) | p-Value | |
| Amino Acids | ||||
| Alanine (×10 µM) | 4.71 (1.77) | 4.73 (1.78) | 4.42 (1.42) | 0.368 |
| Arginine (×10 µM) | 4.27 (2.71) | 4.47 (3.04) | 3.9 (2.28) | 0.106 |
| Aspartic (×10 µM) | 1.19 (5.78) | 1.19 (5.93) | 1.23 (2.63) | 0.705 |
| Citrulline (×10−1 µM) | 0.71 (0.48) | 0.67 (0.54) | 0.79 (0.62) | 0.052 |
| Glutamic (×10 µM) | 1.12 (1.36) | 1.08 (1.18) | 1.55 (2.22) | 0.326 |
| Glycine (×10 µM) | 2.29 (1.38) | 2.27 (1.37) | 2.43 (1.39) | 0.717 |
| Leucine (×10 µM) | 1.46 (1.16) | 1.48 (1.26) | 1.26 (0.84) | 0.188 |
| Methionine (µM) | 1.73 (0.68) | 1.76 (0.92) | 1.63 (0.51) | 0.221 |
| Ornithine (×10 µM) | 1.73 (1.16) | 1.71 (1.15) | 2.00 (1.25) | 0.095 |
| Phenylalanine (µM) | 6.1 (2.61) | 6.02 (2.74) | 6.52 (2.12) | 0.42 |
| Proline (×10 µM) | 3.56 (1.37) | 3.56 (1.35) | 3.43 (1.53) | 0.705 |
| Tyrosine (×10 µM) | 1.24 (0.53) | 1.24 (0.62) | 1.18 (0.28) | 0.614 |
| Valine (×10 µM) | 1.77 (0.62) | 1.8 (0.63) | 1.66 (0.56) | 0.176 |
| Free Carnitine | ||||
| C0:0 (µM) | 4.56 (2.21) | 4.48 (2.24) | 4.71 (2.19) | 0.697 |
| Short-Chain Acylcarnitines | ||||
| C2:0 (µM) | 0.89 (0.79) | 0.99 (0.81) | 0.59 (0.53) | 0.007 |
| C3:0 (×10−2 µM) | 6.02 (6.30) | 6.49 (6.36) | 3.22 (3.86) | <0.001 |
| C4:0 (×10−2 µM) | 3.57 (4.33) | 3.6 (4.15) | 3.51 (5.57) | 0.943 |
| C5:0 (×10−2 µM) | 1.79 (1.65) | 2.04 (1.72) | 1.45 (1.35) | 0.050 |
| C5:0-DC (×10−2 µM) | 4.96 (3.96) | 4.95 (3.81) | 5.08 (5.70) | 0.930 |
| Medium-Chain Acylcarnitines | ||||
| C6:0 (×10−3 µM) | 6.51 (7.67) | 6.48 (7.55) | 6.76 (7.90) | 0.401 |
| C8:0 (×10−2 µM) | 1.9 (2.33) | 1.90 (2.49) | 1.72 (2.02) | 0.380 |
| C10:0 (×10−2 µM) | 2.61 (3.33) | 2.61 (3.70) | 2.57 (2.52) | 0.532 |
| C12:0 (×10−3 µM) | 6.02 (5.46) | 6.02 (5.23) | 6.14 (6) | 0.576 |
| Long-Chain Acylcarnitines | ||||
| C14:0 (×10−3 µM) | 2.14 (2.84) | 2.19 (2.84) | 1.95 (4.46) | 0.734 |
| C16:0 (×10−2 µM) | 0.88 (1.02) | 0.82 (1.04) | 1.11 (1.03) | 0.439 |
| C18:0 (×10−3 µM) | 3.94 (3.70) | 3.82 (2.28) | 4.38 (3.73) | 0.275 |
Disclaimer/Publisher’s Note: The statements, opinions and data contained in all publications are solely those of the individual author(s) and contributor(s) and not of MDPI and/or the editor(s). MDPI and/or the editor(s) disclaim responsibility for any injury to people or property resulting from any ideas, methods, instructions or products referred to in the content. |
© 2024 by the authors. Licensee MDPI, Basel, Switzerland. This article is an open access article distributed under the terms and conditions of the Creative Commons Attribution (CC BY) license (https://creativecommons.org/licenses/by/4.0/).
Share and Cite
Lumpuy-Castillo, J.; Rupérez, F.J.; Porto, B.L.S.; Cristóbal, C.; Tarín, N.; Huelmos, A.I.; Alonso, J.; Egido, J.; Mahíllo-Fernández, I.; López-Bescós, L.; et al. Plasma Levels of Propionylcarnitine Improved Prediction of Heart Failure and All-Cause Mortality in Patients with Stable Coronary Artery Disease. Biomolecules 2025, 15, 27. https://doi.org/10.3390/biom15010027
Lumpuy-Castillo J, Rupérez FJ, Porto BLS, Cristóbal C, Tarín N, Huelmos AI, Alonso J, Egido J, Mahíllo-Fernández I, López-Bescós L, et al. Plasma Levels of Propionylcarnitine Improved Prediction of Heart Failure and All-Cause Mortality in Patients with Stable Coronary Artery Disease. Biomolecules. 2025; 15(1):27. https://doi.org/10.3390/biom15010027
Chicago/Turabian StyleLumpuy-Castillo, Jairo, Francisco J. Rupérez, Brenda Lee Simas Porto, Carmen Cristóbal, Nieves Tarín, Ana Isabel Huelmos, Joaquín Alonso, Jesús Egido, Ignacio Mahíllo-Fernández, Lorenzo López-Bescós, and et al. 2025. "Plasma Levels of Propionylcarnitine Improved Prediction of Heart Failure and All-Cause Mortality in Patients with Stable Coronary Artery Disease" Biomolecules 15, no. 1: 27. https://doi.org/10.3390/biom15010027
APA StyleLumpuy-Castillo, J., Rupérez, F. J., Porto, B. L. S., Cristóbal, C., Tarín, N., Huelmos, A. I., Alonso, J., Egido, J., Mahíllo-Fernández, I., López-Bescós, L., Tuñón, J., & Lorenzo, Ó. (2025). Plasma Levels of Propionylcarnitine Improved Prediction of Heart Failure and All-Cause Mortality in Patients with Stable Coronary Artery Disease. Biomolecules, 15(1), 27. https://doi.org/10.3390/biom15010027

