Synthesis and Anti-Cancer Activity In Vitro of Synephrine Derivatives
Abstract
1. Introduction
2. Materials and Methods
2.1. Chemistry
2.1.1. General Procedures and Reagents
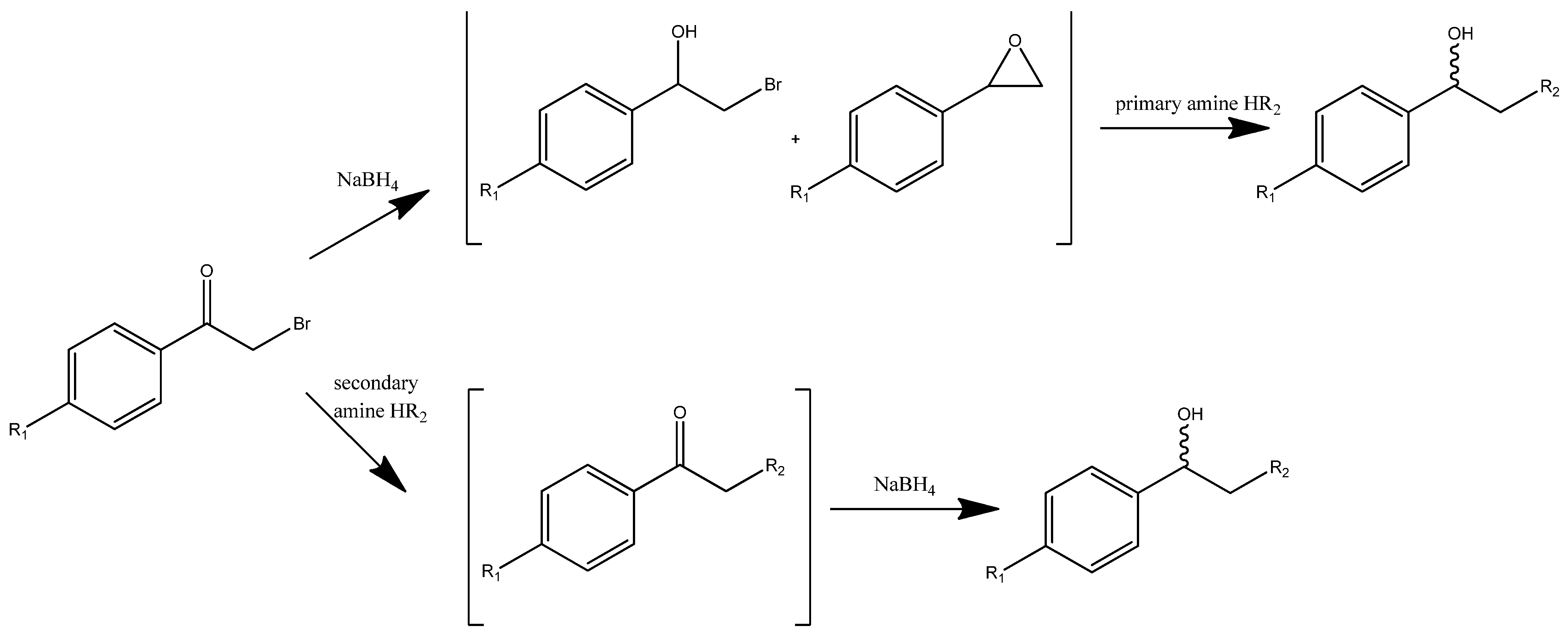
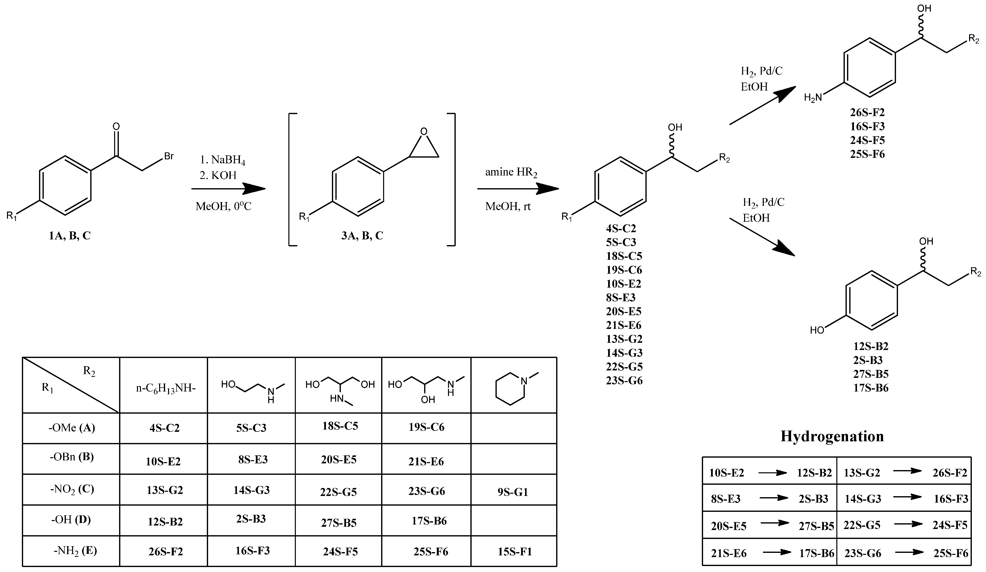
2.1.2. General Procedure for the Synthesis of Compounds 1A,B,C
2.1.3. General Procedure for the Synthesis of Products 3S-C1, 6S-C4, 7S-E1, and 11S-E4
2.1.4. General Procedure for the Synthesis of the Compounds 4S-C2, 5S-C3, 18S-C5, 19S-C6, 10S-E2, 8S-E3, 20S-E5, 21S-E6, 13S-G2, 14S-G3, 22S-G5, 23S-G6, and 9S-G1
2.1.5. General Procedure for the Synthesis of the Products 12S-B2, 2S-B3, 27S-B5, 17S-B6, 26S-F2, 16S-F3, 24S-F5, 25S-F6, and 15S-F1
2.2. Biology
2.2.1. Cell Cultures
2.2.2. MTT Cytotoxicity Assay
2.2.3. Molecular Docking
2.2.4. Statistical Analysis
3. Results
3.1. Synthesis of 26 Novel Synephrine Derivatives
3.2. The Evaluation of Cytotoxicity of Novel Synephrine Derivatives
3.3. The Evaluation of GR Affinity In Silico
4. Discussion
5. Conclusions
Supplementary Materials
Author Contributions
Funding
Institutional Review Board Statement
Informed Consent Statement
Data Availability Statement
Acknowledgments
Conflicts of Interest
References
- Faggiano, A.; Mazzilli, R.; Natalicchio, A.; Adinolfi, V.; Argentiero, A.; Danesi, R.; D’Oronzo, S.; Fogli, S.; Gallo, M.; Giuffrida, D.; et al. Corticosteroids in Oncology: Use, Overuse, Indications, Contraindications. An Italian Association of Medical Oncology (AIOM)/Italian Association of Medical Diabetologists (AMD)/Italian Society of Endocrinology (SIE)/Italian Society of Pharmacology (SIF) Multidisciplinary Consensus Position Paper. Crit. Rev. Oncol./Hematol. 2022, 180, 103826. [Google Scholar] [CrossRef] [PubMed]
- Eiers, A.-K.; Vettorazzi, S.; Tuckermann, J.P. Journey through Discovery of 75 Years Glucocorticoids: Evolution of Our Knowledge of Glucocorticoid Receptor Mechanisms in Rheumatic Diseases. Ann. Rheum. Dis. 2024, 83, ard-2023-225371. [Google Scholar] [CrossRef] [PubMed]
- Clarisse, D.; Offner, F.; De Bosscher, K. Latest Perspectives on Glucocorticoid-Induced Apoptosis and Resistance in Lymphoid Malignancies. Biochim. Biophys. Acta (BBA)-Rev. Cancer 2020, 1874, 188430. [Google Scholar] [CrossRef] [PubMed]
- Lesovaya, E.A.; Chudakova, D.; Baida, G.; Zhidkova, E.M.; Kirsanov, K.I.; Yakubovskaya, M.G.; Budunova, I.V. The Long Winding Road to the Safer Glucocorticoid Receptor (GR) Targeting Therapies. Oncotarget 2022, 13, 408–424. [Google Scholar] [CrossRef]
- Saglio, G.; Sharf, G.; Almeida, A.; Bogdanovic, A.; Bombaci, F.; Čugurović, J.; Deekes, N.; Garcia-Gutiérrez, V.; De Jong, J.; Narbutas, Š.; et al. Considerations for Treatment-Free Remission in Patients With Chronic Myeloid Leukemia: A Joint Patient–Physician Perspective. Clin. Lymphoma Myeloma Leuk. 2018, 18, 375–379. [Google Scholar] [CrossRef]
- Khouja, M.; Jiang, L.; Pal, K.; Stewart, P.J.; Regmi, B.; Schwarz, M.; Klapper, W.; Alig, S.K.; Darzentas, N.; Kluin-Nelemans, H.C.; et al. Comprehensive Genetic Analysis by Targeted Sequencing Identifies Risk Factors and Predicts Patient Outcome in Mantle Cell Lymphoma: Results from the EU-MCL Network Trials. Leukemia 2024, 38, 2675–2684. [Google Scholar] [CrossRef]
- Moreau, P.; Avet-Loiseau, H.; Facon, T.; Attal, M.; Tiab, M.; Hulin, C.; Doyen, C.; Garderet, L.; Randriamalala, E.; Araujo, C.; et al. Bortezomib plus Dexamethasone versus Reduced-Dose Bortezomib, Thalidomide plus Dexamethasone as Induction Treatment before Autologous Stem Cell Transplantation in Newly Diagnosed Multiple Myeloma. Blood 2011, 118, 5752–5758. [Google Scholar] [CrossRef]
- McConkey, D.J.; Zhu, K. Mechanisms of Proteasome Inhibitor Action and Resistance in Cancer. Drug Resist. Updates 2008, 11, 164–179. [Google Scholar] [CrossRef]
- Lesovaya, E.; Yemelyanov, A.; Kirsanov, K.; Popa, A.; Belitsky, G.; Yakubovskaya, M.; Gordon, L.I.; Rosen, S.T.; Budunova, I. Combination of a Selective Activator of the Glucocorticoid Receptor Compound A with a Proteasome Inhibitor as a Novel Strategy for Chemotherapy of Hematologic Malignancies. Cell Cycle 2013, 12, 133–144. [Google Scholar] [CrossRef]
- De Bosscher, K.; Haegeman, G.; Elewaut, D. Targeting Inflammation Using Selective Glucocorticoid Receptor Modulators. Curr. Opin. Pharmacol. 2010, 10, 497–504. [Google Scholar] [CrossRef]
- De Bosscher, K.; Beck, I.M.; Ratman, D.; Berghe, W.V.; Libert, C. Activation of the Glucocorticoid Receptor in Acute Inflammation: The SEDIGRAM Concept. Trends Pharmacol. Sci. 2016, 37, 4–16. [Google Scholar] [CrossRef] [PubMed]
- Zare, F.; Solhjoo, A.; Sadeghpour, H.; Sakhteman, A.; Dehshahri, A. Structure-Based Virtual Screening, Molecular Docking, Molecular Dynamics Simulation and MM/PBSA Calculations towards Identification of Steroidal and Non-Steroidal Selective Glucocorticoid Receptor Modulators. J. Biomol. Struct. Dyn. 2023, 41, 7640–7650. [Google Scholar] [CrossRef] [PubMed]
- Lesovaya, E.; Yemelyanov, A.; Swart, A.C.; Swart, P.; Haegeman, G.; Budunova, I. Discovery of Compound A—A Selective Activator of the Glucocorticoid Receptor with Anti-Inflammatory and Anti-Cancer Activity. Oncotarget 2015, 6, 30730–30744. [Google Scholar] [CrossRef] [PubMed]
- Lesovaya, E.A.; Yemelyanov, A.Y.; Kirsanov, K.I.; Yakubovskaya, M.G.; Budunova, I.V. Antitumor Effect of Non-Steroid Glucocorticoid Receptor Ligand CpdA on Leukemia Cell Lines CEM and K562. Biochem. Mosc. 2011, 76, 1242–1252. [Google Scholar] [CrossRef] [PubMed]
- Dodonova, S.A.; Zhidkova, E.M.; Kryukov, A.A.; Valiev, T.T.; Kirsanov, K.I.; Kulikov, E.P.; Budunova, I.V.; Yakubovskaya, M.G.; Lesovaya, E.A. Synephrine and Its Derivative Compound A: Common and Specific Biological Effects. Int. J. Mol. Sci. 2023, 24, 17537. [Google Scholar] [CrossRef]
- Wüst, S.; Tischner, D.; John, M.; Tuckermann, J.P.; Menzfeld, C.; Hanisch, U.-K.; Van Den Brandt, J.; Lühder, F.; Reichardt, H.M. Therapeutic and Adverse Effects of a Non-Steroidal Glucocorticoid Receptor Ligand in a Mouse Model of Multiple Sclerosis. PLoS ONE 2009, 4, e8202. [Google Scholar] [CrossRef]
- Zhidkova, E.M.; Tilova, L.R.; Fetisov, T.I.; Kirsanov, K.I.; Kulikov, E.P.; Enikeev, A.D.; Budunova, I.V.; Badun, G.A.; Chernysheva, M.G.; Shirinian, V.Z.; et al. Synthesis and Anti-Cancer Activity of the Novel Selective Glucocorticoid Receptor Agonists of the Phenylethanolamine Series. Int. J. Mol. Sci. 2024, 25, 8904. [Google Scholar] [CrossRef]
- Desmet, S.J.; Bougarne, N.; Van Moortel, L.; De Cauwer, L.; Thommis, J.; Vuylsteke, M.; Ratman, D.; Houtman, R.; Tavernier, J.; De Bosscher, K. Compound A Influences Gene Regulation of the Dexamethasone-Activated Glucocorticoid Receptor by Alternative Cofactor Recruitment. Sci. Rep. 2017, 7, 8063. [Google Scholar] [CrossRef]
- Swart, P.; van der Merwe, K.J.; Swart, A.C.; Todres, P.C.; Hofmeyr, J.H. Inhibition of Cytochrome P-450(11)β by Some Naturally Occurring Acetophenones and Plant Extracts from the Shrub Salsola Tuberculatiformis. Planta Med. 1993, 59, 139–143. [Google Scholar] [CrossRef]
- Ruiz-Moreno, C.; Del Coso, J.; Giráldez-Costas, V.; González-García, J.; Gutiérrez-Hellín, J. Effects of P-Synephrine during Exercise: A Brief Narrative Review. Nutrients 2021, 13, 233. [Google Scholar] [CrossRef]
- Gottlieb, H.E.; Kotlyar, V.; Nudelman, A. NMR Chemical Shifts of Common Laboratory Solvents as Trace Impurities. J. Org. Chem. 1997, 62, 7512–7515. [Google Scholar] [CrossRef] [PubMed]
- Roman, G.; Vlahakis, J.Z.; Vukomanovic, D.; Nakatsu, K.; Szarek, W.A. Heme Oxygenase Inhibition by 1-Aryl-2-(1 H -imidazol-1-yl/1 H -1,2,4-triazol-1-yl)Ethanones and Their Derivatives. ChemMedChem 2010, 5, 1541–1555. [Google Scholar] [CrossRef] [PubMed]
- Lesovaya, E.A.; Savinkova, A.V.; Morozova, O.V.; Lylova, E.S.; Zhidkova, E.M.; Kulikov, E.P.; Kirsanov, K.I.; Klopot, A.; Baida, G.; Yakubovskaya, M.G.; et al. A Novel Approach to Safer Glucocorticoid Receptor-Targeted Anti-Lymphoma Therapy via REDD1 (Regulated in Development and DNA Damage 1) Inhibition. Mol. Cancer Ther. 2020, 19, 1898–1908. [Google Scholar] [CrossRef] [PubMed]
- De Bosscher, K. Selective Glucocorticoid Receptor Modulators. J. Steroid Biochem. Mol. Biol. 2010, 120, 96–104. [Google Scholar] [CrossRef]
- Tonsing-Carter, E.; Hernandez, K.M.; Kim, C.R.; Harkless, R.V.; Oh, A.; Bowie, K.R.; West-Szymanski, D.C.; Betancourt-Ponce, M.A.; Green, B.D.; Lastra, R.R.; et al. Glucocorticoid Receptor Modulation Decreases ER-Positive Breast Cancer Cell Proliferation and Suppresses Wild-Type and Mutant ER Chromatin Association. Breast Cancer Res. 2019, 21, 82. [Google Scholar] [CrossRef]
- West, D.C.; Kocherginsky, M.; Tonsing-Carter, E.Y.; Dolcen, D.N.; Hosfield, D.J.; Lastra, R.R.; Sinnwell, J.P.; Thompson, K.J.; Bowie, K.R.; Harkless, R.V.; et al. Discovery of a Glucocorticoid Receptor (GR) Activity Signature Using Selective GR Antagonism in ER-Negative Breast Cancer. Clin. Cancer Res. 2018, 24, 3433–3446. [Google Scholar] [CrossRef]
- Jin, S.E.; Seo, C.-S.; Jeon, W.-Y.; Oh, Y.J.; Shin, H.-K.; Jeong, H.G.; Ha, H. Evodiae Fructus extract suppresses inflammatory response in HaCaT cells and improves house dust mite-induced atopic dermatitis in NC/Nga mice. Sci. Rep. 2024, 14, 472. [Google Scholar] [CrossRef]
- Wang, Y.-L.; Lin, S.-X.; Wang, Y.; Liang, T.; Jiang, T.; Liu, P.; Li, X.-Y.; Lang, D.-Q.; Liu, Q.; Shen, C.-Y. p-Synephrine ameliorates alloxan-induced diabetes mellitus through inhibiting oxidative stress and inflammation via suppressing the NF-kappa B and MAPK pathways. Food Funct. 2023, 14, 1971–1988. [Google Scholar] [CrossRef]
- Ishida, M.; Takekuni, C.; Nishi, K.; Sugahara, T. p-Synephrine suppresses inflammatory responses in lipopolysaccharide-stimulated RAW264.7 cells and alleviates systemic inflammatory response syndrome in mice. Food Funct. 2022, 13, 5229–5239. [Google Scholar] [CrossRef]
- Xu, W.W.; Zheng, C.-C.; Huang, Y.-N.; Chen, W.-Y.; Yang, Q.-S.; Ren, J.-Y.; Wang, Y.-M.; He, Q.-Y.; Liao, H.-X.; Li, B. Synephrine Hydrochloride Suppresses Esophageal Cancer Tumor Growth and Metastatic Potential through Inhibition of Galectin-3-AKT/ERK Signaling. J. Agric. Food Chem. 2018, 66, 9248–9258. [Google Scholar] [CrossRef]








| Code | IC50, µM | |||
|---|---|---|---|---|
| K562 | Granta | |||
| 24 h | 72 h | 24 h | 72 h | |
| 4S-C2 | N/I | N/I | 201 ± 32.1 | N/I |
| 8S-E3 | 120 ± 20.4 | N/I | 89.1 ± 22.41 | N/I |
| 10S-E2 | 13.1 ± 1.51 | N/I | 13.0 ± 0.73 | N/I |
| 12S-B2 | N/I | 77.3 ± 34.1 | 246 ± 6.4 | 53.1 ± 18.92 |
| 13S-G2 | 184 ± 91.2 | 36.0 ± 14.0 | 26.8 ± 1.24 | N/I |
| 20S-E5 | N/I | 31.0 ± 0.4 | N/I | N/I |
| 21S-E6 | N/I | 130 ± 30 | 725 ± 392.3 | 80.1 ± 41.73 |
| 26S-F2 | 670 ± 148.0 | 56.1 ± 0.93 | 215 ± 71.1 | 108 ± 14.4 |
| Compound | MolDock Score | H-Bond | Compound | MolDock Score | H-Bond |
|---|---|---|---|---|---|
| Dex | −146.169 | Asn564, Thr739, Tyr735, Gln642, Arg611 | 19S-C6 | −102.139 | Asn564, Gln570, Arg611, Leu563 |
| 10S-E2 | −142.988 | Asn564, Thr739, Gln642 | 9S-G1 | −99.2892 | Gln570, Arg611 |
| 21S-E6 | −136.472 | Asn564, Thr739, Gln642, Leu732 | 18S-C5 | −99.2424 | Asn564, Gln570, Arg611, Met560 |
| 8S-E3 | −125.395 | Asn564, Thr739, Gln642, Leu732 | 17S-B6 | −95.9832 | Asn564, Leu732, Cys643 |
| 20S-E5 | −123.111 | Thr739, Gln642 | 25S-F6 | −95.955 | Asn564, Leu563, Gln570 |
| 7S-E1 | −118.911 | Thr739, Leu732 | 5S-C3 | −95.2164 | Thr739, Cys643, Leu732 |
| 13S-G2 | −117.383 | Asn564, Gln642, Arg611 | 3S-C1 | −94.9736 | Thr739, Leu732 |
| 11S-E4 | −116.985 | Thr739, Tyr735, Gln642 | 6S-C4 | −94.1991 | Met604, Gln570, Arg611, Leu563 |
| 4S-C2 | −106.142 | Thr739 | 24S-F5 | −93.3857 | Asn564, Gln642, Cys643 |
| 26S-F2 | −105.588 | Asn564, Thr739, Leu732 | 2S-B3 | −90.1894 | Asn564, Cys643 |
| 12S-B2 | −103.893 | Asn564, Thr739, Gln642 | 15S-F1 | −85.8472 | Asn564, Met604 |
| 23S-G6 | −103.408 | Thr739, Gln642, Cys643, Leu732 | 16S-F3 | −89.1399 | Asn564, Leu732, Cys643 |
| 14S-G3 | −102.897 | Asn564, Gln570, Arg611, Cys736 | 27S-B5 | −89.0255 | Asn564, Gln570, Arg611 |
Disclaimer/Publisher’s Note: The statements, opinions and data contained in all publications are solely those of the individual author(s) and contributor(s) and not of MDPI and/or the editor(s). MDPI and/or the editor(s) disclaim responsibility for any injury to people or property resulting from any ideas, methods, instructions or products referred to in the content. |
© 2024 by the authors. Licensee MDPI, Basel, Switzerland. This article is an open access article distributed under the terms and conditions of the Creative Commons Attribution (CC BY) license (https://creativecommons.org/licenses/by/4.0/).
Share and Cite
Zhidkova, E.M.; Oleynik, E.S.; Mikhina, E.A.; Stepanycheva, D.V.; Grigoreva, D.D.; Grebenkina, L.E.; Gordeev, K.V.; Savina, E.D.; Matveev, A.V.; Yakubovskaya, M.G.; et al. Synthesis and Anti-Cancer Activity In Vitro of Synephrine Derivatives. Biomolecules 2025, 15, 2. https://doi.org/10.3390/biom15010002
Zhidkova EM, Oleynik ES, Mikhina EA, Stepanycheva DV, Grigoreva DD, Grebenkina LE, Gordeev KV, Savina ED, Matveev AV, Yakubovskaya MG, et al. Synthesis and Anti-Cancer Activity In Vitro of Synephrine Derivatives. Biomolecules. 2025; 15(1):2. https://doi.org/10.3390/biom15010002
Chicago/Turabian StyleZhidkova, Ekaterina M., Evgeniya S. Oleynik, Ekaterina A. Mikhina, Daria V. Stepanycheva, Diana D. Grigoreva, Lyubov E. Grebenkina, Kirill V. Gordeev, Ekaterina D. Savina, Andrey V. Matveev, Marianna G. Yakubovskaya, and et al. 2025. "Synthesis and Anti-Cancer Activity In Vitro of Synephrine Derivatives" Biomolecules 15, no. 1: 2. https://doi.org/10.3390/biom15010002
APA StyleZhidkova, E. M., Oleynik, E. S., Mikhina, E. A., Stepanycheva, D. V., Grigoreva, D. D., Grebenkina, L. E., Gordeev, K. V., Savina, E. D., Matveev, A. V., Yakubovskaya, M. G., & Lesovaya, E. A. (2025). Synthesis and Anti-Cancer Activity In Vitro of Synephrine Derivatives. Biomolecules, 15(1), 2. https://doi.org/10.3390/biom15010002

