Comprehensive Analysis of Kisspeptin Signaling: Effects on Cellular Dynamics in Cervical Cancer
Abstract
1. Introduction
2. Materials and Methods
2.1. Peptide Synthesis
2.2. MALDI-TOF Mass Spectrometry
2.3. Cell Culture
2.4. Cytotoxicity MTT Assay
2.5. Phosphorylation in Human Phospho-Kinase Array
2.6. In Vitro Wound Healing Assay
2.7. BRET Assays
2.8. Statistical Analyses
2.9. Bias Factor Calculation
2.10. Molecular Dynamics Simulations
3. Results
3.1. Design and MALDI-TOF Mass Spectrometry of KP10 Analogs
3.2. Effects of KP10 and Ala-Substituted Analogs on Cytotoxicity in Cancer Cells
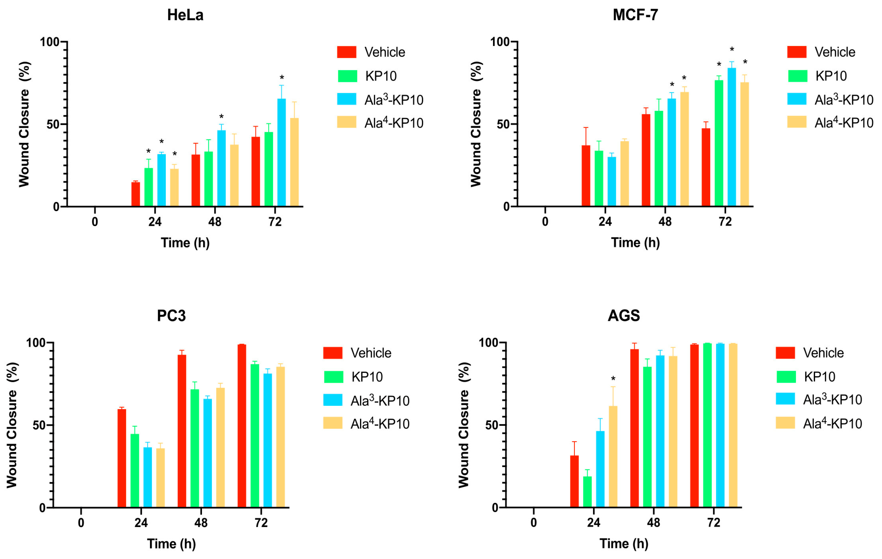
3.3. Impact of Ala3-KP10 and Ala4-KP10 on Kinase Activation and Cell Migration Dynamics
3.4. Analysis of KP10 and Relevant Analogs in Kisspeptin Receptor Signaling Transduction Pathways
4. Discussion
5. Conclusions
Supplementary Materials
Author Contributions
Funding
Institutional Review Board Statement
Informed Consent Statement
Data Availability Statement
Conflicts of Interest
References
- Wootten, D.; Christopoulos, A.; Marti-Solano, M.; Babu, M.M. Mechanisms of signalling and biased agonism in G protein-coupled receptors. Nat. Rev. Mol. Cell Biol. 2018, 19, 638–653. [Google Scholar] [CrossRef] [PubMed]
- Sriram, K.; Insel, P.A. G Protein-Coupled Receptors as Targets for Approved Drugs: How Many Targets and How Many Drugs? Mol. Pharmacol. 2018, 93, 251–258. [Google Scholar] [CrossRef]
- Kobilka, B.K. G protein coupled receptor structure and activation. Biochim. Biophys. Acta 2007, 1768, 794–807. [Google Scholar] [CrossRef]
- Yang, D.; Zhou, Q.; Labroska, V.; Qin, S.; Darbalaei, S.; Wu, Y.; Yuliantie, E.; Xie, L.; Tao, H.; Cheng, J.; et al. G protein-coupled receptors: Structure- and function-based drug discovery. Signal Transduct. Target. Ther. 2021, 6, 7. [Google Scholar] [CrossRef]
- Zhu, N.; Zhao, M.; Song, Y.; Ding, L.; Ni, Y. The KiSS-1/GPR54 system: Essential roles in physiological homeostasis and cancer biology. Genes. Dis. 2022, 9, 28–40. [Google Scholar] [CrossRef]
- Dhillo, W. Timeline: Kisspeptins. Lancet Diabetes Endocrinol. 2013, 1, 12–13. [Google Scholar] [CrossRef]
- Kirby, H.R.; Maguire, J.J.; Colledge, W.H.; Davenport, A.P. International Union of Basic and Clinical Pharmacology. LXXVII. Kisspeptin receptor nomenclature, distribution, and function. Pharmacol. Rev. 2010, 62, 565–578. [Google Scholar] [CrossRef] [PubMed]
- Navarro, V.M.; Castellano, J.M.; McConkey, S.M.; Pineda, R.; Ruiz-Pino, F.; Pinilla, L.; Clifton, D.K.; Tena-Sempere, M.; Steiner, R.A. Interactions between kisspeptin and neurokinin B in the control of GnRH secretion in the female rat. Am. J. Physiol. Endocrinol. Metab. 2011, 300, E202–E210. [Google Scholar] [CrossRef]
- Rodriguez-Sarmiento, D.Y. Beyond reproduction: Exploring the Non-Canonical roles of the Kisspeptin System in Diverse Biological Systems. Rev. Bionatura 2023, 8, 1–6. [Google Scholar] [CrossRef]
- Stathaki, M.; Stamatiou, M.E.; Magioris, G.; Simantiris, S.; Syrigos, N.; Dourakis, S.; Koutsilieris, M.; Armakolas, A. The role of kisspeptin system in cancer biology. Crit. Rev. Oncol. Hematol. 2019, 142, 130–140. [Google Scholar] [CrossRef]
- Wang, H.; Jones, J.; Turner, T.; He, Q.P.; Hardy, S.; Grizzle, W.E.; Welch, D.R.; Yates, C. Clinical and biological significance of KISS1 expression in prostate cancer. Am. J. Pathol. 2012, 180, 1170–1178. [Google Scholar] [CrossRef] [PubMed]
- Dhar, D.K.; Naora, H.; Kubota, H.; Maruyama, R.; Yoshimura, H.; Tonomoto, Y.; Tachibana, M.; Ono, T.; Otani, H.; Nagasue, N. Downregulation of KiSS-1 expression is responsible for tumor invasion and worse prognosis in gastric carcinoma. Int. J. Cancer 2004, 111, 868–872. [Google Scholar] [CrossRef] [PubMed]
- Martin, T.A.; Watkins, G.; Jiang, W.G. KiSS-1 expression in human breast cancer. Clin. Exp. Metastasis 2005, 22, 503–511. [Google Scholar] [CrossRef] [PubMed]
- Kim, T.H.; Cho, S.G. Kisspeptin inhibits cancer growth and metastasis via activation of EIF2AK2. Mol. Med. Rep. 2017, 16, 7585–7590. [Google Scholar] [CrossRef] [PubMed]
- Ji, K.; Ye, L.; Mason, M.D.; Jiang, W.G. The Kiss-1/Kiss-1R complex as a negative regulator of cell motility and cancer metastasis (Review). Int. J. Mol. Med. 2013, 32, 747–754. [Google Scholar] [CrossRef] [PubMed]
- Cvetkovic, D.; Babwah, A.V.; Bhattacharya, M. Kisspeptin/KISS1R System in Breast Cancer. J. Cancer 2013, 4, 653–661. [Google Scholar] [CrossRef] [PubMed]
- Rodriguez Sarmiento, D.Y.; Toloza Sandoval, D.J.; Rondon Villarreal, P. Structural analysis and cytotoxic evaluation of kisspeptin10 and analogs in types of cancer. Rev. Bionatura 2023, 8, 61. [Google Scholar] [CrossRef]
- Taniguchi-Ponciano, K.; Ribas-Aparicio, R.M.; Marrero-Rodriguez, D.; Arreola-De la Cruz, H.; Huerta-Padilla, V.; Munoz, N.; Gomez-Ortiz, L.; Ponce-Navarrete, G.; Rodriguez-Esquivel, M.; Mendoza-Rodriguez, M.; et al. The KISS1 gene overexpression as a potential molecular marker for cervical cancer cells. Cancer Biomark. 2018, 22, 709–719. [Google Scholar] [CrossRef] [PubMed]
- WHO. Cancer. Available online: https://www.who.int/news-room/fact-sheets/detail/cancer (accessed on 8 June 2023).
- Fares, J.; Fares, M.Y.; Khachfe, H.H.; Salhab, H.A.; Fares, Y. Molecular principles of metastasis: A hallmark of cancer revisited. Signal Transduct. Target. Ther. 2020, 5, 28. [Google Scholar] [CrossRef]
- Bilal, M.S.; Ejaz, S.A.; Zargar, S.; Akhtar, N.; Wani, T.A.; Riaz, N.; Aborode, A.T.; Siddique, F.; Altwaijry, N.; Alkahtani, H.M.; et al. Computational Investigation of 1, 3, 4 Oxadiazole Derivatives as Lead Inhibitors of VEGFR 2 in Comparison with EGFR: Density Functional Theory, Molecular Docking and Molecular Dynamics Simulation Studies. Biomolecules 2022, 12, 1612. [Google Scholar] [CrossRef]
- Akbari, S.; Assaran Darban, R.; Javid, H.; Esparham, A.; Hashemy, S.I. The anti-tumoral role of Hesperidin and Aprepitant on prostate cancer cells through redox modifications. Naunyn Schmiedebergs Arch. Pharmacol. 2023, 396, 3559–3567. [Google Scholar] [CrossRef]
- Merrifield, R.B. Solid Phase Peptide Synthesis. 1. Synthesis of a Tetrapeptide. J. Am. Chem. Soc. 1963, 85, 2149. [Google Scholar] [CrossRef]
- Santos, G.A.; Duarte, D.A.; Parreiras, E.S.L.T.; Teixeira, F.R.; Silva-Rocha, R.; Oliveira, E.B.; Bouvier, M.; Costa-Neto, C.M. Comparative analyses of downstream signal transduction targets modulated after activation of the AT1 receptor by two beta-arrestin-biased agonists. Front. Pharmacol. 2015, 6, 131. [Google Scholar] [CrossRef] [PubMed]
- Hainaut, P.; Plymoth, A. Targeting the hallmarks of cancer: Towards a rational approach to next-generation cancer therapy. Curr. Opin. Oncol. 2013, 25, 50–51. [Google Scholar] [CrossRef] [PubMed]
- Hanahan, D.; Weinberg, R.A. Hallmarks of cancer: The next generation. Cell 2011, 144, 646–674. [Google Scholar] [CrossRef] [PubMed]
- Schneider, C.A.; Rasband, W.S.; Eliceiri, K.W. NIH Image to ImageJ: 25 years of image analysis. Nat. Methods 2012, 9, 671–675. [Google Scholar] [CrossRef]
- Gaitonde, S.A.; Bouvier, M. Enhanced Bystander BRET (ebBRET) Biosensors as Biophysical Tools to Map the Signaling Profile of Neuropsychiatric Drugs Targeting GPCRs. Methods Mol. Biol. 2023, 2687, 15–30. [Google Scholar] [CrossRef] [PubMed]
- Avet, C.; Mancini, A.; Breton, B.; Le Gouill, C.; Hauser, A.S.; Normand, C.; Kobayashi, H.; Gross, F.; Hogue, M.; Lukasheva, V.; et al. Effector membrane translocation biosensors reveal G protein and betaarrestin coupling profiles of 100 therapeutically relevant GPCRs. eLife 2022, 11, 74101. [Google Scholar] [CrossRef] [PubMed]
- Xiao, K.; Sun, J.; Kim, J.; Rajagopal, S.; Zhai, B.; Villen, J.; Haas, W.; Kovacs, J.J.; Shukla, A.K.; Hara, M.R.; et al. Global phosphorylation analysis of beta-arrestin-mediated signaling downstream of a seven transmembrane receptor (7TMR). Proc. Natl. Acad. Sci. USA 2010, 107, 15299–15304. [Google Scholar] [CrossRef]
- Kenakin, T.; Watson, C.; Muniz-Medina, V.; Christopoulos, A.; Novick, S. A simple method for quantifying functional selectivity and agonist bias. ACS Chem. Neurosci. 2012, 3, 193–203. [Google Scholar] [CrossRef]
- Lamiable, A.; Thevenet, P.; Rey, J.; Vavrusa, M.; Derreumaux, P.; Tuffery, P. PEP-FOLD3: Faster de novo structure prediction for linear peptides in solution and in complex. Nucleic Acids Res. 2016, 44, W449–W454. [Google Scholar] [CrossRef] [PubMed]
- Mirdita, M.; Schutze, K.; Moriwaki, Y.; Heo, L.; Ovchinnikov, S.; Steinegger, M. ColabFold: Making protein folding accessible to all. Nat. Methods 2022, 19, 679–682. [Google Scholar] [CrossRef] [PubMed]
- Wiederstein, M.; Sippl, M.J. ProSA-web: Interactive web service for the recognition of errors in three-dimensional structures of proteins. Nucleic Acids Res. 2007, 35, W407–W410. [Google Scholar] [CrossRef]
- Jo, S.; Kim, T.; Iyer, V.G.; Im, W. CHARMM-GUI: A web-based graphical user interface for CHARMM. J. Comput. Chem. 2008, 29, 1859–1865. [Google Scholar] [CrossRef] [PubMed]
- Klahn, M.; Zacharias, M. Transformations in plasma membranes of cancerous cells and resulting consequences for cation insertion studied with molecular dynamics. Phys. Chem. Chem. Phys. 2013, 15, 14427–14441. [Google Scholar] [CrossRef] [PubMed]
- Abraham, M.J.; Murtola, T.; Schulz, R.; Páll, S.; Smith, J.C.; Hess, B.; Lindahl, E. GROMACS: High performance molecular simulations through multi-level parallelism from laptops to supercomputers. SoftwareX 2015, 1–2, 19–25. [Google Scholar] [CrossRef]
- Ohtaki, T.; Shintani, Y.; Honda, S.; Matsumoto, H.; Hori, A.; Kanehashi, K.; Terao, Y.; Kumano, S.; Takatsu, Y.; Masuda, Y.; et al. Metastasis suppressor gene KiSS-1 encodes peptide ligand of a G-protein-coupled receptor. Nature 2001, 411, 613–617. [Google Scholar] [CrossRef] [PubMed]
- Steinhauser, D.; Usadel, B.; Luedemann, A.; Thimm, O.; Kopka, J. CSB.DB: A comprehensive systems-biology database. Bioinformatics 2004, 20, 3647–3651. [Google Scholar] [CrossRef]
- Kotani, M.; Detheux, M.; Vandenbogaerde, A.; Communi, D.; Vanderwinden, J.M.; Le Poul, E.; Brezillon, S.; Tyldesley, R.; Suarez-Huerta, N.; Vandeput, F.; et al. The metastasis suppressor gene KiSS-1 encodes kisspeptins, the natural ligands of the orphan G protein-coupled receptor GPR54. J. Biol. Chem. 2001, 276, 34631–34636. [Google Scholar] [CrossRef]
- Zhu, C.; Takasu, C.; Morine, Y.; Bando, Y.; Ikemoto, T.; Saito, Y.; Yamada, S.; Imura, S.; Arakawa, Y.; Shimada, M. KISS1 Associates with Better Outcome via Inhibiting Matrix Metalloproteinase-9 in Colorectal Liver Metastasis. Ann. Surg. Oncol. 2015, 22 (Suppl. S3), S1516–S1523. [Google Scholar] [CrossRef]
- Yoo, B.H.; Berezkin, A.; Wang, Y.; Zagryazhskaya, A.; Rosen, K.V. Tumor suppressor protein kinase Chk2 is a mediator of anoikis of intestinal epithelial cells. Int. J. Cancer 2012, 131, 357–366. [Google Scholar] [CrossRef]
- Kullmann, M.K.; Pegka, F.; Ploner, C.; Hengst, L. Stimulation of c-Jun/AP-1-Activity by the Cell Cycle Inhibitor p57(Kip2). Front. Cell Dev. Biol. 2021, 9, 664609. [Google Scholar] [CrossRef] [PubMed]
- Chong, Z.Z.; Shang, Y.C.; Wang, S.; Maiese, K. PRAS40 is an integral regulatory component of erythropoietin mTOR signaling and cytoprotection. PLoS ONE 2012, 7, e45456. [Google Scholar] [CrossRef] [PubMed]
- Houles, T.; Roux, P.P. Defining the role of the RSK isoforms in cancer. Semin. Cancer Biol. 2018, 48, 53–61. [Google Scholar] [CrossRef] [PubMed]
- Erdogan, F.; Radu, T.B.; Orlova, A.; Qadree, A.K.; de Araujo, E.D.; Israelian, J.; Valent, P.; Mustjoki, S.M.; Herling, M.; Moriggl, R.; et al. JAK-STAT core cancer pathway: An integrative cancer interactome analysis. J. Cell Mol. Med. 2022, 26, 2049–2062. [Google Scholar] [CrossRef]
- Dimberg, A.; Karlberg, I.; Nilsson, K.; Oberg, F. Ser727/Tyr701-phosphorylated Stat1 is required for the regulation of c-Myc, cyclins, and p27Kip1 associated with ATRA-induced G0/G1 arrest of U-937 cells. Blood 2003, 102, 254–261. [Google Scholar] [CrossRef] [PubMed]
- Smith, H.L.; Southgate, H.; Tweddle, D.A.; Curtin, N.J. DNA damage checkpoint kinases in cancer. Expert Rev. Mol. Med. 2020, 22, e2. [Google Scholar] [CrossRef]
- Nateri, A.S.; Spencer-Dene, B.; Behrens, A. Interaction of phosphorylated c-Jun with TCF4 regulates intestinal cancer development. Nature 2005, 437, 281–285. [Google Scholar] [CrossRef]





| Peptide | Sequence | Mass Spectrometry (Da) | ||||||||||
|---|---|---|---|---|---|---|---|---|---|---|---|---|
| Calculated | Observed | |||||||||||
| KP-10 | Tyr | Asn | Trp | Asn | Ser | Phe | Gly | Leu | Arg | Phe | 1304 | 1303.537 |
| Ala1-KP10 | Ala | Asn | Trp | Asn | Ser | Phe | Gly | Leu | Arg | Phe | 1211 | 1211.234 |
| Ala2-KP10 | Tyr | Ala | Trp | Asn | Ser | Phe | Gly | Leu | Arg | Phe | 1261 | 1261.461 |
| Ala3-KP10 | Tyr | Asn | Ala | Asn | Ser | Phe | Gly | Leu | Arg | Phe | 1188 | 1188.489 |
| Ala4-KP10 | Tyr | Asn | Trp | Ala | Ser | Phe | Gly | Leu | Arg | Phe | 1260 | 1260.589 |
| Ala5-KP10 | Tyr | Asn | Trp | Asn | Ala | Phe | Gly | Leu | Arg | Phe | 1288 | 1288.241 |
| Ala6-KP10 | Tyr | Asn | Trp | Asn | Ser | Ala | Gly | Leu | Arg | Phe | 1228 | 1228.284 |
| Ala7-KP10 | Tyr | Asn | Trp | Asn | Ser | Phe | Ala | Leu | Arg | Phe | 1318 | 1318.354 |
| Ala8-KP10 | Tyr | Asn | Trp | Asn | Ser | Phe | Gly | Ala | Arg | Phe | 1262 | 1262.203 |
| Ala9-KP10 | Tyr | Asn | Trp | Asn | Ser | Phe | Gly | Leu | Ala | Phe | 1218 | 1218.613 |
| Ala10-KP10 | Tyr | Asn | Trp | Asn | Ser | Phe | Gly | Leu | Arg | Ala | 1227 | 1226.697 |
| Peptide | pIC50 | ||||
|---|---|---|---|---|---|
| HEK293T | HeLa | MCF7 | PC3 | AGS | |
| KP-10 | 2.489 | 3.209 | 3.106 | 2.678 | 43.88 |
| Ala1-KP10 | 2.311 | 2.483 | 2.947 | 2.475 | 50.33 |
| Ala2-KP10 | 2.918 | 0.5728 | 2.756 | 2.67 | 38.71 |
| Ala3-KP10 | 2.959 | −0.6081 | 2.624 | 2.737 | 51.7 |
| Ala4-KP10 | 3.489 | −0.2705 | 3.132 | 2.541 | 43.25 |
| Ala5-KP10 | 3.335 | 2.61 | 3.327 | 2.203 | 43.42 |
| Ala6-KP10 | 3.518 | 2.523 | 3.168 | 2.461 | 38.05 |
| Ala7-KP10 | 3.027 | 2.554 | 3.009 | 2.42 | 49.16 |
| Ala8-KP10 | 4.017 | 2.564 | 3.15 | 2.151 | 34.5 |
| Ala9-KP10 | 4.197 | 2.429 | 3.183 | 2.295 | 36.86 |
| Ala10-KP10 | 3.292 | 2.493 | 2.826 | 1.739 | 34.56 |
| Inactive | KP10 | Ala3-KP10 | Ala4-KP10 |
|---|---|---|---|
| TM1 | 0.868 | 0.937 | 0.529 |
| TM2 | 1.254 | 0.510 | 0.803 |
| TM3 | 0.525 | 0.665 | 0.495 |
| TM4 | 0.711 | 0.568 | 1.880 |
| TM5 | 0.770 | 0.849 | 0.604 |
| TM6 | 1.046 | 1.096 | 1.118 |
| TM7 | 1.045 | 0.751 | 0.941 |
Disclaimer/Publisher’s Note: The statements, opinions and data contained in all publications are solely those of the individual author(s) and contributor(s) and not of MDPI and/or the editor(s). MDPI and/or the editor(s) disclaim responsibility for any injury to people or property resulting from any ideas, methods, instructions or products referred to in the content. |
© 2024 by the authors. Licensee MDPI, Basel, Switzerland. This article is an open access article distributed under the terms and conditions of the Creative Commons Attribution (CC BY) license (https://creativecommons.org/licenses/by/4.0/).
Share and Cite
Rodríguez-Sarmiento, D.Y.; Rondón-Villarreal, P.; Scarpelli-Pereira, P.H.; Bouvier, M. Comprehensive Analysis of Kisspeptin Signaling: Effects on Cellular Dynamics in Cervical Cancer. Biomolecules 2024, 14, 923. https://doi.org/10.3390/biom14080923
Rodríguez-Sarmiento DY, Rondón-Villarreal P, Scarpelli-Pereira PH, Bouvier M. Comprehensive Analysis of Kisspeptin Signaling: Effects on Cellular Dynamics in Cervical Cancer. Biomolecules. 2024; 14(8):923. https://doi.org/10.3390/biom14080923
Chicago/Turabian StyleRodríguez-Sarmiento, Deisy Yurley, Paola Rondón-Villarreal, Pedro Henrique Scarpelli-Pereira, and Michel Bouvier. 2024. "Comprehensive Analysis of Kisspeptin Signaling: Effects on Cellular Dynamics in Cervical Cancer" Biomolecules 14, no. 8: 923. https://doi.org/10.3390/biom14080923
APA StyleRodríguez-Sarmiento, D. Y., Rondón-Villarreal, P., Scarpelli-Pereira, P. H., & Bouvier, M. (2024). Comprehensive Analysis of Kisspeptin Signaling: Effects on Cellular Dynamics in Cervical Cancer. Biomolecules, 14(8), 923. https://doi.org/10.3390/biom14080923

