Concentrations of Glypican-4, Irisin and Total Antioxidant Status in Women with Metabolic Syndrome: Influence of Physical Activity
Abstract
1. Introduction
2. Materials and Methods
2.1. Characteristics of the Studied Population
2.2. Physical Activity Analysis
2.3. Anthropometric and Blood Pressure Measurements
2.4. Biochemical Tests
2.5. Statistical Analyses
3. Results
4. Discussion
5. Conclusions
Author Contributions
Funding
Institutional Review Board Statement
Informed Consent Statement
Data Availability Statement
Conflicts of Interest
References
- Ross, M.T.; Grafham, D.V.; Coffey, A.J.; Scherer, S.; McLay, K.; Muzny, D.; Platzer, M.; Howell, G.R.; Burrows, C.; Bird, C.P.; et al. The DNA sequence of the human X chromosome. Nature 2005, 434, 325–337. [Google Scholar] [CrossRef]
- Ussar, S.; Bezy, O.; Blüher, M.; Kahl, R.C. Glypican-4 enhances insulin signaling via interaction with the insulin receptor and serves as a novel adipokine. Diabetes 2012, 61, 2289–2298. [Google Scholar] [CrossRef] [PubMed]
- Li, K.; Xu, X.; Hu, W.; Li, M.; Yang, M.; Wang, Y.; Luo, Y.; Zhang, X.; Liu, H.; Li, L. Glypican-4 is increased in human subjects with impaired glucose tolerance and decreased in patients with newly diagnosed type 2 diabetes. Acta Diabetol. 2014, 51, 981–990. [Google Scholar] [CrossRef] [PubMed]
- Sakane, H.; Yamamoto, H.; Matsumoto, S.; Sato, A.; Kikuchi, A. Localization of glypican-4 in different membrane microdomains is involved in the regulation of Wnt signaling. J. Cell Sci. 2012, 125, 449–460. [Google Scholar] [CrossRef]
- Boj, S.F.; van Es, J.H.; Huch, M.; Li, V.S.; José, A.; Hatzis, P.; Mokry, M.; Haegebarth, A.; van den Born, M.; Chambon, P.; et al. Diabetes risk gene and Wnt effector Tcf7l2/TCF4 controls hepatic response to perinatal and adult metabolic demand. Cell 2012, 151, 1595–1607. [Google Scholar] [CrossRef]
- Schulte, D.M.; Müller, N.; Neumann, K.; Oberhäuser, F.; Faust, M.; Güdelhöfer, H.; Brandt, B.; Krone, W.; Laudes, M. Pro-inflammatory wnt5a and anti-inflammatory sFRP5 are differentially regulated by nutritional factors in obese human subjects. PLoS ONE 2012, 7, e32437. [Google Scholar] [CrossRef] [PubMed]
- Strate, I.; Tessadori, F.; Bakkers, J. Glypican 4 promotes cardiac specification and differentiation by attenuating canonical Wnt and Bmp signaling. Development 2015, 142, 1767–1776. [Google Scholar] [CrossRef]
- Bostrom, P.; Wu, J.; Jedrychowski, M.P.; Korde, A.; Ye, L.; Lo, J.C.; Rasbach, K.A.; Boström, E.A.; Choi, J.H.; Long, J.Z.; et al. A PGC1-α-dependent myokine that drives brown-fat-like development of white fat and thermogenesis. Nature 2012, 481, 463–468. [Google Scholar] [CrossRef]
- Castillo-Quan, J.I. From white to brown fat through the PGC-1α-dependent myokine irisin: Implications for diabetes and obesity. Dis. Model. Mech. 2012, 5, 293–295. [Google Scholar] [CrossRef]
- Albrecht, E.; Norheim, F.; Thiede, B.; Holen, T.; Ohashi, T.; Schering, L.; Lee, S.; Brenmoehl, J.; Thomas, S.; Drevon, C.A.; et al. Irisin—A myth rather than an exercise-inducible myokine. Sci. Rep. 2015, 5, 8889. [Google Scholar] [CrossRef]
- Hwang, Y.-C.; Jeon, W.S.; Park, C.-Y.; Youn, B.-S. The ratio of skeletal muscle mass to visceral fat area is a main determinant linking circulating irisin to metabolic phenotype. Cardiovasc. Diabetol. 2016, 15, 9. [Google Scholar] [CrossRef] [PubMed]
- Rana, K.S.; Arif, M.; Hill, E.J.; Aldred, S.; Nagel, D.A.; Nevill, A.; Randeva, H.S.; Bailey, C.J.; Bellary, S.; Brown, J.E. Plasma irisin levels predict telomere length in healthy adults. Age 2014, 36, 995–1001. [Google Scholar] [CrossRef] [PubMed]
- Winn, N.C.; Grunewald, Z.I.; Liu, Y.; Heden, T.D.; Nyhoff, L.M.; Kanaley, J.A. Plasma irisin modestly increases during moderate and high-intensity afternoon exercise in obese females. PLoS ONE 2017, 12, e0170690. [Google Scholar] [CrossRef] [PubMed]
- Dal, S.; Sigrist, S. The protective effect of antioxidants consumption on diabetes and vascular complications. Diseases 2016, 4, 24. [Google Scholar] [CrossRef] [PubMed]
- Peluso, I.; Raguzzini, A. Salivary and urinary total antioxidant capacity as biomarkers of oxidative stress in humans. Pathol. Res. Int. 2016, 2016, 5480267. [Google Scholar] [CrossRef] [PubMed]
- Lin, X.; Zhang, X.; Guo, J.; Roberts, C.K.; McKenzie, S.; Wu, W.-C.; Liu, S.; Song, Y. Effects of exercise training on cardiorespiratory fitness and biomarkers of cardiometabolic health: A systematic review and meta-analysis of randomized controlled trials. J. Am. Heart Assoc. 2015, 4, e002014. [Google Scholar] [CrossRef] [PubMed]
- Rodriguez-Monforte, M.; Sánchez, E.; Barrio, F.; Costa, B.; Flores-Mateo, G. Metabolic syndrome and dietary patterns: A systematic review and meta-analysis of observational studies. Eur. J. Nutr. 2017, 56, 925–947. [Google Scholar] [CrossRef]
- Alberti, K.G.; Eckel, R.H.; Grundy, S.M.; Zimmet, P.Z.; Cleeman, J.I.; Donato, K.A.; Fruchart, J.C.; James, W.P.; Loria, C.M.; Smith, S.C. Harmonizing the metabolic syndrome: A joint interim statement of the International Diabetes Federation Task Force on Epidemiology and Prevention; National Heart, Lung, and Blood Institute; American Heart Association; World Heart Federation; International Atherosclerosis Society; and International Association for the Study of Obesity. Circulation 2009, 120, 1640–1645. [Google Scholar] [CrossRef]
- Biernat, E.; Tomaszewski, P. Association of socioeconomic and demographic factors with physical activity of males and females aged 20-69 years. Ann. Agric. Environ. Med. 2015, 22, 124–129. [Google Scholar] [CrossRef] [PubMed]
- Guidelines for Data Processing and Analysis of the International Physical Activity Questionnaire (IPAQ)—Short and Long Forms 2005. Available online: http://ipaq.ki.se (accessed on 22 March 2024).
- Williams, B.; Mancia, G.; Spiering, W.; Agabiti Rosei, E.; Azizi, M.; Burnier, M.; Clement, D.L.; Coca, A.; de Simone, G.; Dominiczak, A.; et al. ESC Scientific Document Group, 2018 ESC/ESH Guidelines for the management of arterial hypertension, The Task Force for the management of arterial hypertension of the European Society of Cardiology (ESC) and the European Society of Hypertension (ESH). Eur. Heart J. 2018, 39, 3021–3104. [Google Scholar] [CrossRef]
- Fontana, M.; Zunt, S.; Eckert, G.J.; Zero, D. A screening test for unstimulated salivary flow measurement. Oper. Dent. 2005, 30, 3–8. [Google Scholar] [PubMed]
- Hosmer, D.W.; Lemeshow, S.A.; Sturdivant, R.X. Applied Logistic Regression, 3rd ed.; Wiley: Hoboken, NJ, USA, 2013; pp. 153–226. [Google Scholar]
- Yoo, H.J.; Hwang, S.Y.; Cho, G.J.; Hong, H.C.; Choi, H.Y.; Hwang, T.G.; Kim, S.M.; Blüher, M.; Youn, B.S.; Baik, S.H.; et al. Association of glypican-4 with body fat distribution, insulin resistance, and nonalcoholic fatty liver disease. J. Clin. Endocrinol. Metab. 2013, 98, 2897–2901. [Google Scholar] [CrossRef]
- Abdolmaleki, F.; Heidarianpour, A. The response of serum glypican-4 levels and its potential regulatory mechanism to endurance training and chamomile flowers’ hydroethanolic extract in streptozotocin–nicotinamide-induced diabetic rats. Acta Diabetol. 2018, 55, 935–942. [Google Scholar] [CrossRef] [PubMed]
- Heidarianpour, A.; Keshvari, M.; Shahidi, S.; Zarei, M. Modulation of GPC-4 and GPLD1 serum levels by improving glycemic indices in type 2 diabetes: Resistance training and hawthorn extract intervention. Heliyon 2023, 9, e15537. [Google Scholar] [CrossRef] [PubMed] [PubMed Central]
- Liu, J.J.; Wong, M.D.; Toy, W.C.; Tan, C.S.; Liu, S.; Ng, X.W.; Tavintharan, S.; Sum, C.F.; Lim, S.C. Lower circulating irisin is associated with type 2 diabetes mellitus. J. Diabetes Complicat. 2013, 27, 365–369. [Google Scholar] [CrossRef] [PubMed]
- White, N.; Parsons, R.; Collins, G.; Barnett, A. Evidence of questionable research practices in clinical prediction models. BMC Med. 2023, 21, 339. [Google Scholar] [CrossRef] [PubMed] [PubMed Central]
- Flehmig, G.; Scholz, M.; Klöting, N.; Fasshauer, M.; Tönjes, A.; Stumvoll, M.; Youn, B.S.; Blüher, M. Identification of adipokine clusters related to parameters of fat mass, insulin sensitivity and inflammation. PLoS ONE 2014, 9, e99785. [Google Scholar] [CrossRef] [PubMed]
- Cha, J.J.; Min, H.S.; Kim, K.; Lee, M.J.; Lee, M.H.; Kim, J.E.; Song, H.K.; Cha, D.R.; Kang, Y.S. Long-term study of the association of adipokines and glucose variability with diabetic complications. Korean J. Intern. Med. 2016, 33, 367. [Google Scholar] [CrossRef] [PubMed]
- Gesta, S.; Blüher, M.; Yamamoto, Y.; Norris, A.W.; Berndt, J.; Kralisch, S.; Boucher, J.; Lewis, C.; Kahn, C.R. Evidence for a role of developmental genes in the origin of obesity and body fat distribution. Proc. Natl. Acad. Sci. USA 2006, 103, 6676–6681. [Google Scholar] [CrossRef]
- Huh, J.Y.; Panagiotou, G.; Mougios, V.; Brinkoetter, M.; Vamvini, M.T.; Schneider, B.E.; Mantzoros, C.S. FNDC5 and irisin in humans: I. Predictors of circulating concentrations in serum and plasma and II. mRNA expression and circulating concentrations in response to weight loss and exercise. Metabolism 2012, 61, 1725–1738. [Google Scholar] [CrossRef]
- Aydin, S.; Aydin, S.; Kuloglu, T.; Yilmaz, M.; Kalayci, M.; Sahin, I.; Cicek, D. Alterations of irisin concentrations in saliva and serum of obese and normal-weight subjects, before and after 45 min of a Turkish bath or running. Peptides 2013, 50, 13–18. [Google Scholar] [CrossRef] [PubMed]
- Benedini, S.; Dozio, E.; Invernizzi, P.L.; Vianello, E.; Banfi, G.; Terruzzi, I.; Luzi, L.; Corsi Romanelli, M.M. Irisin: A potential link between physical exercise and metabolism—An observational study in differently trained subjects, from elite athletes to sedentary people. J. Diabetes Res. 2017, 2017, 1039161. [Google Scholar] [CrossRef] [PubMed]
- Hofmann, T.; Elbelt, U.; Ahnis, A.; Kobelt, P.; Rose, M.; Stengel, A. Irisin levels are not affected by physical activity in patients with anorexia nervosa. Front. Endocrinol. 2014, 4, 202. [Google Scholar] [CrossRef] [PubMed]
- Fox, J.; Rioux, B.V.; Goulet, E.D.B.; Johanssen, N.M.; Swift, D.L.; Bouchard, D.R.; Loewen, H.; Sénéchal, M. Effect of an acute exercise bout on immediate post-exercise irisin concentration in adults: A meta-analysis. Scand. J. Med. Sci. Sports 2017, 28, 16–28. [Google Scholar] [CrossRef] [PubMed]
- Kraemer, R.R.; Shockett, P.; Webb, N.D.; Shah, U.; Castracane, V.D. A transient elevated irisin blood concentration in response to prolonged, moderate aerobic exercise in young men and women. Horm. Metab. Res. 2014, 46, 150–154. [Google Scholar] [CrossRef]
- Rad, M.M.; Bijeh, N.; Reza, S.; Hosseini, A.; Saeb, A.R. The impact of different modes of exercise training on irisin: A systematic review and meta-analysis research. Adv. Med. Biomed. Res. 2021, 29, 125–138. [Google Scholar]
- Yang, Z.; Chen, X.; Chen, Y.; Zhao, Q. Decreased irisin secretion contributes to muscle insulin resistance in high-fat diet mice. Int. J. Clin. Exp. Pathol. 2015, 8, 6490–6497. [Google Scholar]
- Pardo, M.; Crujeiras, A.B.; Amil, M.; Aguera, Z.; Jiménez-Murcia, S.; Baños, R.; Botella, C.; de la Torre, R.; Estivill, X.; Fagundo, A.B.; et al. Association of irisin with fat mass, resting energy expenditure, and daily activity in conditions of extreme body mass index. Int. J. Endocrinol. 2014, 2014, 857270. [Google Scholar] [CrossRef]
- Choi, Y.K.; Kim, M.K.; Bae, K.H.; Seo, H.A.; Jeong, J.Y.; Lee, W.K.; Kim, J.G.; Lee, I.K.; Park, K.G. Serum irisin levels in new-onset type 2 diabetes. Diabetes Res. Clin. Pract. 2013, 100, 96–101. [Google Scholar] [CrossRef]
- Moreno-Navarrete, J.M.; Ortega, F.; Serrano, M.; Guerra, E.; Pardo, G.; Tinahones, F.; Ricart, W.; Fernández-Real, J.M. Irisin is expressed and produced by human muscle and adipose tissue in association with obesity and insulin resistance. J. Clin. Endocrinol. Metab. 2013, 94, 769–778. [Google Scholar] [CrossRef]
- Cui, H.; López, M.; Rahmouni, K. The cellular and molecular bases of leptin and ghrelin resistance in obesity. Nat. Rev. Endocrinol. 2017, 13, 338–351. [Google Scholar] [CrossRef] [PubMed]
- de Lima Sant’Anna, M.; Casimiro-Lopes, G.; Boaventura, G.; Marques, S.T.F.; Sorenson, M.M.; Simão, R.; Pinto, V.S. Anaerobic exercise affects the saliva antioxidant/oxidant balance in high-performance pentathlon athletes. Human. Mov. 2016, 17, 50–57. [Google Scholar] [CrossRef]
- Powers, S.K.; Duarte, J.; Kavazis, A.N.; Talbert, E.E. Reactive oxygen species are signalling molecules for skeletal muscle adaptation. Exp. Physiol. 2010, 95, 1–9. [Google Scholar] [CrossRef] [PubMed]
- Paszynska, E.; Tyszkiewicz-Nwafor, M.; Slopien, A.; Dmitrzak-Weglarz, M.; Dutkiewicz, A.; Grzelak, T. Study of salivary and serum vaspin and total antioxidants in anorexia nervosa. Clin. Oral Inv. 2018, 22, 2837–2845. [Google Scholar] [CrossRef] [PubMed]
- Yavari, A.; Javadi, M.; Mirmiran, P.; Bahadoran, Z. Exercise-induced oxidative stress and dietary antioxidants. Asian J. Sports Med. 2015, 6, e24898. [Google Scholar] [CrossRef]
- Vadala, M.; Beniamino, P.; Andrea, M.; Carmen, L. Oxidative stress, plasma/salivary antioxidant status detection and health risk factors. Asian J. Med. Sci. 2017, 8, 32–41. [Google Scholar]
- Baralic, I.; Andjelkovic, M.; Djordjevic, B.; Dikic, N.; Radivojevic, N.; Suzin-Zivkovic, V.; Radojevic-Skodric, S.; Pejic, S. Effect of astaxanthin supplementation on salivary IgA, oxidative stress, and inflammation in young soccer players. Evid.-Based Complement. Altern. Med. 2015, 2015, 783761. [Google Scholar] [CrossRef]
- Kamodyová, N.; Tóthová, L.; Celec, P. Salivary markers of oxidative stress and antioxidant status: Influence of external factors. Dis. Markers 2013, 34, 313–321. [Google Scholar]
- Li, Y.; Browne, R.W.; Bonner, M.R.; Deng, F.; Tian, L.; Mu, L. Positive relationship between total antioxidant status and chemokines observed in adults. Oxid. Med. Cell Longev. 2014, 2014, 693680. [Google Scholar] [CrossRef]
- Dame, Z.T.; Aziat, F.; Mandal, R.; Krishnamurthy, R.; Bouatra, S.; Borzouie, S.; Guo, A.C.; Sajed, T.; Deng, L.; Lin, H.; et al. The human saliva metabolome. Metabolomics 2015, 11, 1864–1883. [Google Scholar] [CrossRef]
- Tzimas, K.; Pappa, E. Saliva metabolomic profile in dental medicine research: A narrative review. Metabolites 2023, 13, 379. [Google Scholar] [CrossRef] [PubMed]



| Parameters [Unit] | Median Values ± QD in 1st Day/in 28th Day of Analyses in MetS | Median Values ± QD in 1st Day/in 28th Day of Analyses in CONTR | p |
|---|---|---|---|
| Body mass [kg] | 84.40 ± 5.62/82.60 ± 5.92 | 63.20 ± 4.40/63.50 ± 3.75 | <0.0001 * <0.0001 ** NS # NS ## |
| Height [m] | 1.65 ± 0.04 # | 1.68 ± 0.04 # | NS *** |
| BMI [kg/m2] | 30.55 ± 1.71/30.00 ± 2.16 | 22.30 ± 1.49/22.45 ± 1.55 | <0.0001 * <0.0001 ** NS # NS ## |
| WC [cm] | 96.00 ± 6.25/96.00 ± 6.00 | 76.50 ± 6.00/77.00 ± 6.00 | <0.0001 * <0.0001 ** NS # NS ## |
| Hip circumference [cm] | 114.00 ± 5.12/114.00 ± 3.75 | 98.50 ± 4.25/100.00 ± 4.00 | <0.0001 * <0.0001 ** NS # NS ## |
| Arm circumference [cm] | 32.00 ± 2.50/34.00 ± 2.12 | 26.65 ± 1.75/27.36 ± 0.87 | <0.0001 * <0.0001 ** NS # 0.011 ## |
| Fat body mass [kg] | 32.85 ± 4.20/31.95 ± 4.55 | 17.10 ± 3.10/17.55 ± 3.46 | <0.0001 * <0.0001 ** 0.049 # NS ## |
| Fat-free body mass [%] | 51.35 ± 2.36/50.75 ± 2.25 | 46.50 ± 3.09/46.50 ± 2.70 | <0.0001 * <0.0001 ** NS # NS ## |
| WHR | 0.85 ± 0.03/0.84 ± 0.03 | 0.77 ± 0.04/0.78 ± 0.03 | <0.0001 * <0.0001 ** NS # NS ## |
| WHtR | 0.58 ± 0.03/0.58 ± 0.03 | 0.46 ± 0.03/0.46 ± 0.04 | <0.0001 * <0.0001 ** NS # NS ## |
| BAI | 34.85 ± 2.54/35.09 ± 2.39 | 26.99 ± 1.85/27.97 ± 1.67 | <0.0001 * <0.0001 ** NS # NS ## |
| Parameters [Unit] | Median Values ± QD in 1st Day/in 28th Day of Analyses in MetS | Median Values ± QD in 1st Day/in 28th Day of Analyses in CONTR | p |
|---|---|---|---|
| SBP [mm/Hg] | 128.50 ± 11.12/129.50 ± 8.87 | 116.00 ± 7.25/113.50 ± 7.75 | 0.0003 <0.0001 ** NS # 0.033 ## |
| DBP [mm/Hg] | 79.50 ± 5.75/81.00 ± 7.87 | 71.00 ± 4.87/69.00 ± 6.12 | 0.0009 * <0.0001 ** NS # 0.029 ## |
| Number of steps/24 h (pedometers) | 6761.79 ± 1399.32 † | 7100.44 ± 2090.23 † | NS *** |
| Distance/24 h [km] (pedometers) | 4.73 ± 1.37 † | 4.89 ± 1.34 † | NS *** |
| Time of physical activity/24 h [min] (pedometers) | 55.62 ± 13.22 † | 58.17 ± 18.94 † | NS *** |
| Degree of minimum †† physical activity/24 h [%] (pedometers) | 112.17 ± 23.30 † | 117.85 ± 31.73 † | NS *** |
| Parameters [Unit] | Median Values ± QD in 1st Day/in 28th Day of Analyses in MetS | Median Values ± QD in 1st Day/in 28th Day of Analyses in CONTR | p |
|---|---|---|---|
| TC [mmol/L] | 4.85 ± 0.44/4.75 ± 0.53 | 4.84 ± 0.78/4.87 ± 0.91 | NS * NS ** NS # NS ## |
| LDL-C [mmol/L] | 2.89 ± 0.40/2.86 ± 0.44 | 2.90 ± 0.74/2.74 ± 0.79 | NS * NS ** NS # NS ## |
| HDL-C [mmol/L] | 1.45 ± 0.25/1.39 ± 0.26 | 1.87 ± 0.31/1.86 ± 0.25 | <0.0001 * <0.0001 ** NS # NS ## |
| TG [mmol/L] | 1.14 ± 0.46/1.19 ± 0.41 | 0.79 ± 0.20/0.78 ± 0.22 | <0.0001 * 0.0003 ** NS # NS ## |
| Glycemia [mmol/L] | 5.33 ± 0.31/5.34 ± 0.37 | 4.89 ± 0.23/4.86 ± 0.28 | <0.0001 * <0.0001 ** NS # NS ## |
| Glypican-4 [ng/mL] | 1.49 ± 1.02/1.51 ± 0.49 | 1.50 ± 1.13/1.69 ± 1.38 | NS * 0.049 ** NS # 0.0006 ## |
| Glypican-4/Fat Body Mass [ng/mL/%] | 0.037 ± 0.024/0.047 ± 0.021 | 0.053 ± 0.038/0.128 ± 0.083 | 0.033 * <0.0001 ** 0.004 # <0.0001 ## |
| Irisin [ng/mL] | 2.19 ± 0.79/1.95 ± 0.72 | 2.15 ± 2.07/2.00 ± 1.57 | NS * NS ** NS # NS ## |
| Irisin/Fat Body Mass [ng/mL/%] | 0.053 ± 0.021/0.051 ± 0.021 | 0.096 ± 0.087/0.138 ± 0.092 | 0.0024 * <0.0001 ** NS # <0.0001 ## |
| TAS [mmol/L] in plasma | 1.40 ± 0.16/1.29 ± 0.18 | 1.32 ± 0.10/1.36 ± 0.11 | NS * NS ** NS # 0.043 ## |
| TAS [mmol/L] in saliva | 1.19 ± 0.48/1.12 ± 0.50 | 0.79 ± 0.58/0.80 ± 0.29 | NS * NS ** NS # NS ## |
| Parameters [Unit] | Sum of Squares | df | Mean Squares | F Value | p |
|---|---|---|---|---|---|
| TC [mmol/L] | |||||
| GROUPS (MetS/CONTR) | 0.532 | 1 | 0.532 | 0.339 | 0.562 |
| Error | 109.835 | 70 | 1.569 | ||
| TIME (1st day/28th day) | 0.017 | 1 | 0.017 | 0.091 | 0.763 |
| TIME × GROUPS | 0.294 | 1 | 0.294 | 1.609 | 0.209 |
| Error | 12.802 | 70 | 0.183 | ||
| HDL-C [mmol/L] | |||||
| GROUPS (MetS/CONTR) | 11,236.0 | 1 | 11,236.0 | 30.533 | <0.0001 |
| Error | 25,759.6 | 70 | 368.0 | ||
| TIME (1st day/28th day) | 49.0 | 1 | 49.0 | 1.790 | 0.185 |
| TIME × GROUPS | 6.2 | 1 | 6.2 | 0.228 | 0.634 |
| Error | 1915.8 | 70 | 27.4 |
| Parameters [Unit] | Time of Physical Activity According to Pedometers [Min/24 h] |
|---|---|
| Body weight [kg] | R = −0.33; p = 0.049 |
| WC [cm] | R = −0.34; p = 0.039 |
| Body fat mass [%] | R = −0.53; p = 0.0007 |
| BMI [kg/m2] | R = −0.40; p = 0.001 |
| DBP [mmHg] | R = −0.36; p = 0.030 |
| Physical activity connecting with walking (according to IPAQ) [MET—min/week] | R = 0.36; p = 0.029 |
| TC [mmol/L] | R = −0.33; p = 0.049 |
| Non-HDL-C [mmol/L] | R = −0.35; p = 0.038 |
| Glycemia [mmol/L] | R = −0.42; p = 0.010 |
| Parameters [Unit] | Cut-Off Value | AUC | SD (AUC) | 95% CI | p |
|---|---|---|---|---|---|
| Glypican-4/Body Mass [ng/mL/kg] | 0.022 | 0.744 | 0.058 | 0.631–0.857 | <0.0001 |
| Glypican-4/BMI [ng/mL/kg/m2] | 0.092 | 0.646 | 0.065 | 0.519–0.773 | 0.024 |
| Glypican-4/Fat Body Mass (%) [ng/mL/%] | 0.071 | 0.837 | 0.047 | 0.744–0.930 | <0.0001 |
| Glypican-4/Fat-Free Body Mass (%) [ng/mL/%] | 0.196 | 0.686 | 0.062 | 0.565–0.808 | 0.027 |
| Glypican-4 /WHR [ng/mL] | 4.245 | 0.653 | 0.064 | 0.527–0.780 | 0.017 |
| Glypican-4/WHtR [ng/mL] | 3.018 | 0.710 | 0.060 | 0.592–0.828 | 0.0005 |
| Glypican-4/BAI [ng/mL] | 0.050 | 0.726 | 0.059 | 0.611–0.842 | 0.0001 |
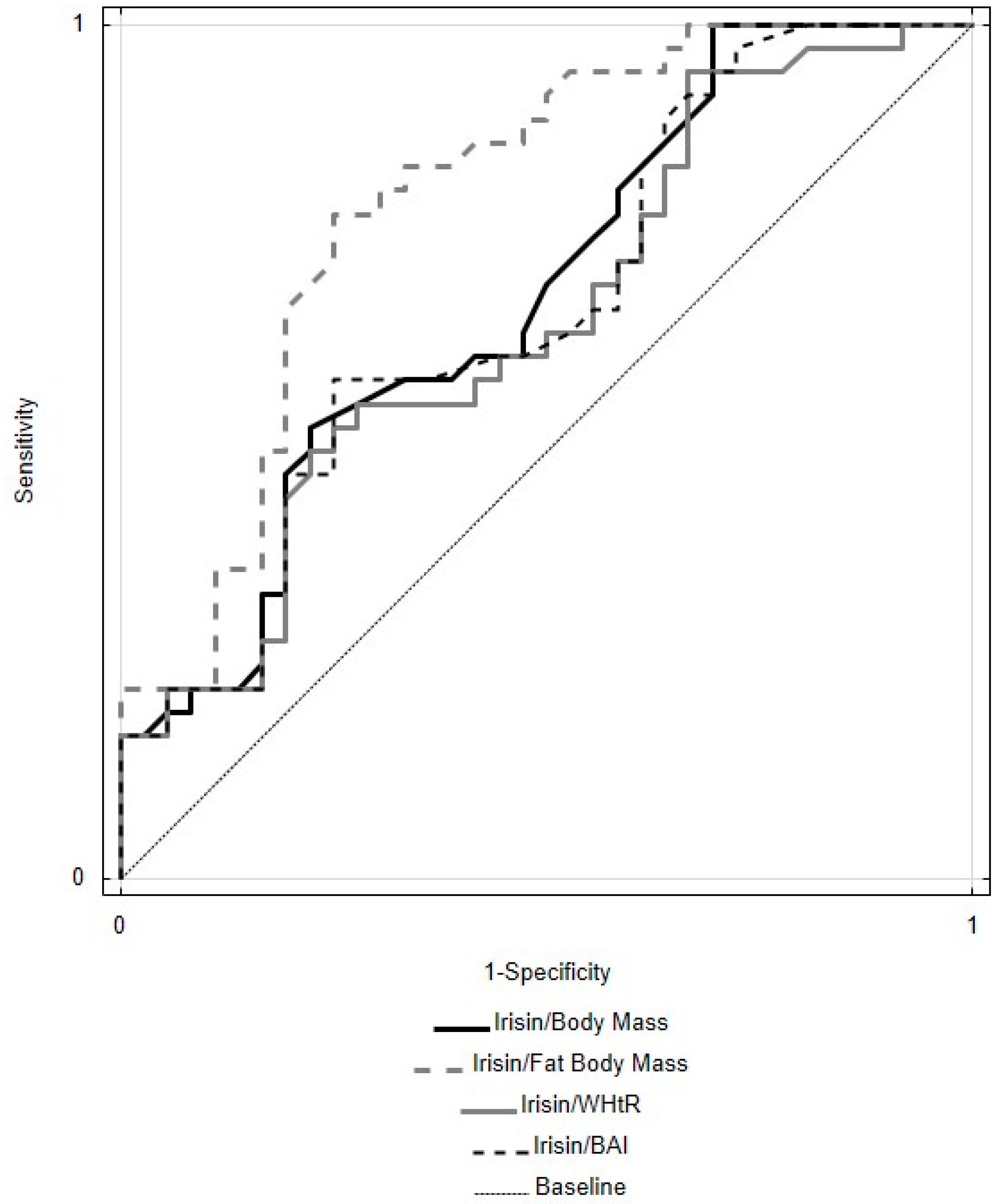
| Parameters [Unit] | Cut-Off Value | AUC | SD (AUC) | 95% CI | p |
|---|---|---|---|---|---|
| Irisin/Body Mass [ng/mL/kg] | 0.029 | 0.682 | 0.062 | 0.560–0.805 | 0.003 |
| Irisin/BMI [ng/mL/kg/m2] | 0.079 | 0.595 | 0.067 | 0.463–0.727 | NS |
| Irisin/Fat Body Mass (%) [ng/mL/%] | 0.076 | 0.796 | 0.053 | 0.692–0.900 | <0.0001 |
| Irisin/Fat-Free Body Mass (%) [ng/mL/%] | 0.159 | 0.485 | 0.07 | 0.347–0.622 | NS |
| Irisin/WHR [ng/mL] | 3.983 | 0.604 | 0.067 | 0.473–0.736 | NS |
| Irisin/WHtR [ng/mL] | 4.134 | 0.653 | 0.065 | 0.526–0.779 | 0.018 |
| Irisin/BAI [ng/mL] | 0.062 | 0.669 | 0.064 | 0.545–0.794 | 0.008 |
| Factors | b | SE (b) | Wald Statistics | OR (95% CI) | p |
|---|---|---|---|---|---|
| MetS group (n = 36) R2 Nagelkerke = 0.262; LRI = −18.465 (p = 0.007); the Hosmer–Lemeshow statistic = 8.420 (p = 0.394) | |||||
| Constant (y-intercept) | −6.288 | 2.376 | 7.002 | 0.002 (0.000–0.196) | 0.008 |
| TAS [mmol/L] in plasma | 4.071 | 1.701 | 5.727 | 58.648 (2.089–1646.187) | 0.017 |
| CONTR group (n = 36) R2 Nagelkerke = 0.117; LRI = −18.758 (p = 0.085); the Hosmer–Lemeshow statistic = 8.528 (p = 0.384) | |||||
| Constant (y-intercept) | −5.029 | 2.501 | 4.145 | 0.006 (0.000–0.827) | 0.042 |
| TAS [mmol/L] in plasma | 2.805 | 1.704 | 2.708 | 16.527 (0.585–466.664) | 0.100 |
Disclaimer/Publisher’s Note: The statements, opinions and data contained in all publications are solely those of the individual author(s) and contributor(s) and not of MDPI and/or the editor(s). MDPI and/or the editor(s) disclaim responsibility for any injury to people or property resulting from any ideas, methods, instructions or products referred to in the content. |
© 2024 by the authors. Licensee MDPI, Basel, Switzerland. This article is an open access article distributed under the terms and conditions of the Creative Commons Attribution (CC BY) license (https://creativecommons.org/licenses/by/4.0/).
Share and Cite
Grzelak, T.; Sperling, M.; Pelczyńska, M.; Mikulska-Sauermann, A.A.; Bogdański, P.; Czyżewska, K.; Mądry, E. Concentrations of Glypican-4, Irisin and Total Antioxidant Status in Women with Metabolic Syndrome: Influence of Physical Activity. Biomolecules 2024, 14, 768. https://doi.org/10.3390/biom14070768
Grzelak T, Sperling M, Pelczyńska M, Mikulska-Sauermann AA, Bogdański P, Czyżewska K, Mądry E. Concentrations of Glypican-4, Irisin and Total Antioxidant Status in Women with Metabolic Syndrome: Influence of Physical Activity. Biomolecules. 2024; 14(7):768. https://doi.org/10.3390/biom14070768
Chicago/Turabian StyleGrzelak, Teresa, Marcelina Sperling, Marta Pelczyńska, Aniceta Ada Mikulska-Sauermann, Paweł Bogdański, Krystyna Czyżewska, and Edyta Mądry. 2024. "Concentrations of Glypican-4, Irisin and Total Antioxidant Status in Women with Metabolic Syndrome: Influence of Physical Activity" Biomolecules 14, no. 7: 768. https://doi.org/10.3390/biom14070768
APA StyleGrzelak, T., Sperling, M., Pelczyńska, M., Mikulska-Sauermann, A. A., Bogdański, P., Czyżewska, K., & Mądry, E. (2024). Concentrations of Glypican-4, Irisin and Total Antioxidant Status in Women with Metabolic Syndrome: Influence of Physical Activity. Biomolecules, 14(7), 768. https://doi.org/10.3390/biom14070768

