Primary Processes of Free Radical Formation in Pharmaceutical Formulations of Therapeutic Proteins
Abstract
1. Introduction
2. Composition of Pharmaceutical Formulations of Therapeutic Proteins
3. Pathways of Free Radical Formation That Are Relevant to Pharmaceutical Formulations
3.1. Autoxidation
3.2. Fenton and Fenton-like Reactions between Metals and Peroxides
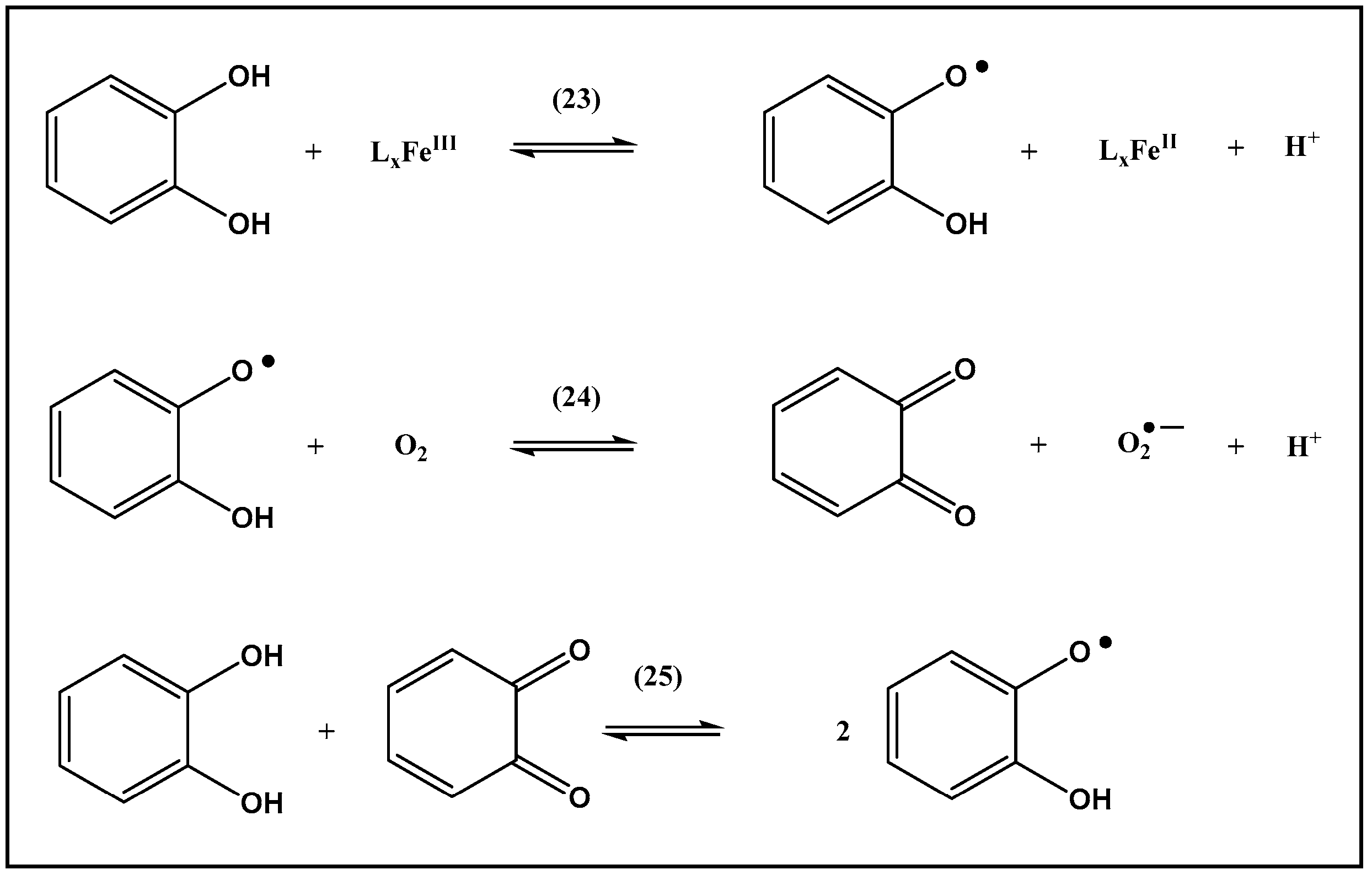
Reactions of Ferrous and Ferric Iron
3.3. Photochemical Generation of Radicals
3.4. Generation of Radicals via Mechanical Stress
4. Protein Formulations Containing Additional Excipients
4.1. Formulations Containing Antimicrobial Preservatives
4.2. Formulations Containing Zn(II)
5. IV Enzyme Formulations for Enzyme Replacement Therapy
6. Conclusions
Funding
Institutional Review Board Statement
Informed Consent Statement
Data Availability Statement
Conflicts of Interest
References
- Strickley, R.G.; Lambert, W.J. A review of Formulations of Commercially Available Antibodies. J. Pharm. Sci. 2021, 110, 2590–2608. [Google Scholar] [CrossRef]
- Manning, M.C.; Chou, D.K.; Murphy, B.M.; Payne, R.W.; Katayama, D.S. Stability of protein pharmaceuticals: An update. Pharm. Res. 2010, 27, 544–575. [Google Scholar] [CrossRef] [PubMed]
- Manning, M.C.; Liu, J.; Li, T.; Holcomb, R.E. Rational Design of Liquid Formulations of Proteins. Adv. Protein Chem. Struct. Biol. 2018, 112, 1–59. [Google Scholar] [PubMed]
- Wang, W.; Ohtake, S. Science and art of protein formulation development. Int. J. Pharm. 2019, 568, 118505. [Google Scholar] [CrossRef] [PubMed]
- Falconer, R.J. Advances in liquid formulations of parenteral therapeutic proteins. Biotechnol. Adv. 2019, 37, 107412. [Google Scholar] [CrossRef]
- Gupta, S.; Jiskoot, W.; Schöneich, C.; Rathore, A.S. Oxidation and Deamidation of Monoclonal Antibody Products: Potential Impact on Stability, Biological Activity, and Efficacy. J. Pharm. Sci. 2022, 111, 903–918. [Google Scholar] [CrossRef] [PubMed]
- Jiskoot, W.; Hawe, A.; Menzen, T.; Volkin, D.B.; Crommelin, D.J.A. Ongoing Challenges to Develop High Concentration Monoclonal Antibody-based Formulations for Subcutaneous Administration: Quo Vadis? J. Pharm. Sci. 2022, 111, 861–867. [Google Scholar] [CrossRef] [PubMed]
- Hawkins, C.L.; Davies, M.J. Detection, identification, and quantification of oxidative protein modifications. J. Biol. Chem. 2019, 294, 19683–19708. [Google Scholar] [CrossRef]
- Fuentes-Lemus, E.; Hagglund, P.; Lopez-Alarcon, C.; Davies, M.J. Oxidative Crosslinking of Peptides and Proteins: Mechanisms of Formation, Detection, Characterization and Quantification. Molecules 2021, 27, 15. [Google Scholar] [CrossRef]
- Ho, E.; Karimi Galougahi, K.; Liu, C.C.; Bhindi, R.; Figtree, G.A. Biological markers of oxidative stress: Applications to cardiovascular research and practice. Redox Biol. 2013, 1, 483–491. [Google Scholar] [CrossRef]
- Tucker, P.S.; Dalbo, V.J.; Han, T.; Kingsley, M.I. Clinical and research markers of oxidative stress in chronic kidney disease. Biomarkers 2013, 18, 103–115. [Google Scholar] [CrossRef] [PubMed]
- Cristani, M.; Speciale, A.; Saija, A.; Gangemi, S.; Minciullo, P.L.; Cimino, F. Circulating Advanced Oxidation Protein Products as Oxidative Stress Biomarkers and Progression Mediators in Pathological Conditions Related to Inflammation and Immune Dysregulation. Curr. Med. Chem. 2016, 23, 3862–3882. [Google Scholar] [CrossRef] [PubMed]
- Kadiiska, M.B.; Gladen, B.C.; Baird, D.D.; Germolec, D.; Graham, L.B.; Parker, C.E.; Nyska, A.; Wachsman, J.T.; Ames, B.N.; Basu, S.; et al. Biomarkers of oxidative stress study II: Are oxidation products of lipids, proteins, and DNA markers of CCl4 poisoning? Free Radic. Biol. Med. 2005, 38, 698–710. [Google Scholar] [CrossRef] [PubMed]
- Kadiiska, M.B.; Basu, S.; Brot, N.; Cooper, C.; Saari Csallany, A.; Davies, M.J.; George, M.M.; Murray, D.M.; Jackson Roberts, L., 2nd; Shigenaga, M.K.; et al. Biomarkers of oxidative stress study V: Ozone exposure of rats and its effect on lipids, proteins, and DNA in plasma and urine. Free Radic. Biol. Med. 2013, 61, 408–415. [Google Scholar] [CrossRef] [PubMed]
- Hipper, E.; Blech, M.; Hinderberger, D.; Garidel, P.; Kaiser, W. Photo-Oxidation of Therapeutic Protein Formulations: From Radical Formation to Analytical Techniques. Pharmaceutics 2022, 14, 72. [Google Scholar] [CrossRef]
- Mason, B.D.; McCracken, M.; Bures, E.J.; Kerwin, B.A. Oxidation of free L-histidine by tert-Butylhydroperoxide. Pharm. Res. 2010, 27, 447–456. [Google Scholar] [CrossRef] [PubMed]
- Stroop, S.D.; Conca, D.M.; Lundgard, R.P.; Renz, M.E.; Peabody, L.M.; Leigh, S.D. Photosensitizers form in histidine buffer and mediate the photodegradation of a monoclonal antibody. J. Pharm. Sci. 2011, 100, 5142–5155. [Google Scholar] [CrossRef] [PubMed]
- Wang, T.; Markham, A.; Thomas, S.J.; Wang, N.; Huang, L.; Clemens, M.; Rajagopalan, N. Solution Stability of Poloxamer 188 Under Stress Conditions. J. Pharm. Sci. 2019, 108, 1264–1271. [Google Scholar] [CrossRef]
- Zheng, X.W.; Sutton, A.T.; Yang, R.S.; Miller, D.V.; Pagels, B.; Rustandi, R.R.; Welch, J.; Payne, A.; Haverick, M. Extensive Characterization of Polysorbate 80 Oxidative Degradation Under Stainless Steel Conditions. J. Pharm. Sci. 2023, 112, 779–789. [Google Scholar] [CrossRef] [PubMed]
- Kishore, R.S.; Kiese, S.; Fischer, S.; Pappenberger, A.; Grauschopf, U.; Mahler, H.C. The degradation of polysorbates 20 and 80 and its potential impact on the stability of biotherapeutics. Pharm. Res. 2011, 28, 1194–1210. [Google Scholar] [CrossRef] [PubMed]
- Kishore, R.S.; Pappenberger, A.; Dauphin, I.B.; Ross, A.; Buergi, B.; Staempfli, A.; Mahler, H.C. Degradation of polysorbates 20 and 80: Studies on thermal autoxidation and hydrolysis. J. Pharm. Sci. 2011, 100, 721–731. [Google Scholar] [CrossRef] [PubMed]
- Borisov, O.V.; Ji, J.A.; Wang, Y.J.; Vega, F.; Ling, V.T. Toward understanding molecular heterogeneity of polysorbates by application of liquid chromatography-mass spectrometry with computer-aided data analysis. Anal. Chem. 2011, 83, 3934–3942. [Google Scholar] [CrossRef] [PubMed]
- Borisov, O.V.; Ji, J.A.; John Wang, Y. Oxidative Degradation of Polysorbate Surfactants Studied by Liquid Chromatography-Mass Spectrometry. J. Pharm. Sci. 2015, 104, 1005–1018. [Google Scholar] [CrossRef]
- Kranz, W.; Wuchner, K.; Corradini, E.; Menzen, T.; Hawe, A. Micelle Driven Oxidation Mechansim and Novel Oxidation Markers for Different Grades of Polysorbate 20 and 80. J. Pharm. Sci. 2020, 109, 3064–3077. [Google Scholar] [CrossRef] [PubMed]
- Hille, R. Xanthine Oxidase-A Personal History. Molecules 2023, 28, 1921. [Google Scholar] [CrossRef] [PubMed]
- Stuehr, D.J.; Haque, M.M. Nitric oxide synthase enzymology in the 20 years after the Nobel Prize. Br. J. Pharmacol. 2019, 176, 177–188. [Google Scholar] [CrossRef]
- Hawkins, C.L.; Davies, M.J. Role of myeloperoxidase and oxidant formation in the extracellular environment in inflammation-induced tissue damage. Free Radic. Biol. Med. 2021, 172, 633–651. [Google Scholar] [CrossRef]
- Schröder, K. NADPH oxidases: Current aspects and tools. Redox Biol. 2020, 34, 101512. [Google Scholar] [CrossRef]
- Mieczkowski, C.A. The Evolution of Commercial Antibody Formulations. J. Pharm. Sci. 2023, 112, 1801–1810. [Google Scholar] [CrossRef]
- Miller, D.M.; Buettner, G.R.; Aust, S.D. Transition metals as catalysts of “autoxidation” reactions. Free Radic. Biol. Med. 1990, 8, 95–108. [Google Scholar] [CrossRef]
- Merenyi, G.; Lind, J.; Jonsson, M. Autoxidation of Closed-Shell Organics—An Outer-Sphere Electron-Transfer. J. Am. Chem. Soc. 1993, 115, 4945–4946. [Google Scholar] [CrossRef]
- Prutz, W.A.; Butler, J.; Land, E.J.; Swallow, A.J. Unpaired electron migration between aromatic and sulfur peptide units. Free Radic. Res. Commun. 1986, 2, 69–75. [Google Scholar] [CrossRef] [PubMed]
- Surdhar, P.S.; Armstrong, D.A. Reduction Potentials and Exchange-Reactions of Thiyl Radicals and Disulfide Anion Radicals. J. Phys. Chem. 1987, 91, 6532–6537. [Google Scholar] [CrossRef]
- Howard, J.A. Homogenous Liquid-Phase Autoxidations. In Free Radicals; Kochi, J.K., Ed.; Wiley: New York, NY, USA, 1973; Volume 2, pp. 3–62. [Google Scholar]
- Dwivedi, M.; Blech, M.; Presser, I.; Garidel, P. Polysorbate degradation in biotherapeutic formulations: Identification and discussion of current root causes. Int. J. Pharm. 2018, 552, 422–436. [Google Scholar] [CrossRef]
- Konya, Y.; Ochiai, R.; Fujiwara, S.; Tsujino, K.; Okumura, T. Profiling polysorbate 80 components using comprehensive liquid chromatography-tandem mass spectrometry analysis. Rapid Commun. Mass Spectrom. 2023, 37, e9438. [Google Scholar] [CrossRef]
- Mittag, J.J.; Trutschel, M.L.; Kruschwitz, H.; Mader, K.; Buske, J.; Garidel, P. Characterization of radicals in polysorbate 80 using electron paramagnetic resonance (EPR) spectroscopy and spin trapping. Int. J. Pharm. X 2022, 4, 100123. [Google Scholar] [CrossRef]
- Ha, E.; Wang, W.; Wang, Y.J. Peroxide formation in polysorbate 80 and protein stability. J. Pharm. Sci. 2002, 91, 2252–2264. [Google Scholar] [CrossRef]
- Morita, M.; Tokita, M. The real radical generator other than main-product hydroperoxide in lipid autoxidation. Lipids 2006, 41, 91–95. [Google Scholar] [CrossRef]
- Porter, N.A. A Perspective on Free Radical Autoxidation: The Physical Organic Chemistry of Polyunsaturated Fatty Acid and Sterol Peroxidation. J. Org. Chem. 2013, 78, 3511–3524. [Google Scholar] [CrossRef]
- Mayo, F.R.; Miller, A.A. Oxidation of Unsaturated Compounds. 2. Reactions of Styrene Peroxide. J. Am. Chem. Soc. 1956, 78, 1023–1034. [Google Scholar] [CrossRef]
- Bensaid, F.; Dagallier, C.; Authelin, J.R.; Audat, H.; Filipe, V.; Narradon, C.; Guibal, P.; Clavier, S.; Wils, P. Mechanistic understanding of metal-catalyzed oxidation of polysorbate 80 and monoclonal antibody in biotherapeutic formulations. Int. J. Pharm. 2022, 615, 121496. [Google Scholar] [CrossRef] [PubMed]
- Gopalrathnam, G.; Sharma, A.N.; Dodd, S.W.; Huang, L. Impact of Stainless Steel Exposure on the Oxidation of Polysorbate 80 in Histidine Placebo and Active Monoclonal Antibody Formulation. PDA J. Pharm. Sci. Technol. 2018, 72, 163–175. [Google Scholar] [CrossRef]
- Wasylaschuk, W.R.; Harmon, P.A.; Wagner, G.; Harman, A.B.; Templeton, A.C.; Xu, H.; Reed, R.A. Evaluation of hydroperoxides in common pharmaceutical excipients. J. Pharm. Sci. 2007, 96, 106–116. [Google Scholar] [CrossRef]
- Ding, S. Quantitation of hydroperoxides in the aqueous solutions of non-ionic surfactants using polysorbate 80 as the model surfactant. J. Pharm. Biomed. Anal. 1993, 11, 95–101. [Google Scholar] [CrossRef] [PubMed]
- Noh, M.S.; Jung, S.H.; Kwon, O.; Lee, S.I.; Yang, S.J.; Hahm, E.; Jun, B.H. Evaluation of Sterilization Performance for Vaporized-Hydrogen-Peroxide-Based Sterilizer with Diverse Controlled Parameters. ACS Omega 2020, 5, 29382–29387. [Google Scholar] [CrossRef]
- Q3D(R2) Elemental Impurities. Guidance for Industry; International Council for Harmonization (ICH): Geneva, Switzerland, 2022.
- Kuznetsov, M.L.; Kozlov, Y.N.; Mandelli, D.; Pombeiro, A.J.L.; Shul’pin, G.B. Mechanism of Al3+-Catalyzed Oxidations of Hydrocarbons: Dramatic Activation of H2O2 toward O-O Homolysis in Complex [Al(H2O)4(OOH)(H2O2)]2+ Explains the Formation of HO center dot Radicals. Inorg. Chem. 2011, 50, 3996–4005. [Google Scholar] [CrossRef] [PubMed]
- Luo, Y.; Sekhar, C.; Lee, H.; Fujimori, K.; Ronk, M.; Semin, D.; Nashed-Samuel, Y. A Risk-Based Approach to Evaluate and Control Elemental Impurities in Therapeutic Proteins. J. Pharm. Sci. 2020, 109, 3378–3385. [Google Scholar] [CrossRef]
- Lloyd, D.R.; Carmichael, P.L.; Phillips, D.H. Comparison of the formation of 8-hydroxy-2’-deoxyguanosine and single- and double-strand breaks in DNA mediated by fenton reactions. Chem. Res. Toxicol. 1998, 11, 420–427. [Google Scholar] [CrossRef]
- Anipsitakis, G.P.; Dionysiou, D.D. Radical generation by the interaction of transition metals with common oxidants. Environ. Sci. Technol. 2004, 38, 3705–3712. [Google Scholar] [CrossRef]
- Stadtman, E.R.; Berlett, B.S.; Chock, P.B. Manganese-dependent disproportionation of hydrogen peroxide in bicarbonate buffer. Proc. Natl. Acad. Sci. USA 1990, 87, 384–388. [Google Scholar] [CrossRef]
- Berlett, B.S.; Chock, P.B.; Yim, M.B.; Stadtman, E.R. Manganese(II) catalyzes the bicarbonate-dependent oxidation of amino acids by hydrogen peroxide and the amino acid-facilitated dismutation of hydrogen peroxide. Proc. Natl. Acad. Sci. USA 1990, 87, 389–393. [Google Scholar] [CrossRef] [PubMed]
- Yim, M.B.; Berlett, B.S.; Chock, P.B.; Stadtman, E.R. Manganese(II)-bicarbonate-mediated catalytic activity for hydrogen peroxide dismutation and amino acid oxidation: Detection of free radical intermediates. Proc. Natl. Acad. Sci. USA 1990, 87, 394–398. [Google Scholar] [CrossRef]
- Liu, J.; Dong, C.C.; Deng, Y.X.; Ji, J.H.; Bao, S.Y.; Chen, C.R.; Shen, B.; Zhang, J.L.; Xing, M.Y. Molybdenum sulfide Co-catalytic Fenton reaction for rapid and efficient inactivation of Escherichia colis. Water Res. 2018, 145, 312–320. [Google Scholar] [CrossRef]
- Yang, J.C.; Yao, H.L.; Guo, Y.D.; Yang, B.W.; Shi, J.L. Enhancing Tumor Catalytic Therapy by Co-Catalysis. Angew. Chem. Int. Ed. 2022, 61, e202200480. [Google Scholar]
- Ouellette, D.; Alessandri, L.; Piparia, R.; Aikhoje, A.; Chin, A.; Radziejewski, C.; Correia, I. Elevated cleavage of human immunoglobulin gamma molecules containing a lambda light chain mediated by iron and histidine. Anal. Biochem. 2009, 389, 107–117. [Google Scholar] [CrossRef] [PubMed]
- Adem, Y.T.; Molina, P.; Liu, H.; Patapoff, T.W.; Sreedhara, A.; Esue, O. Hexyl glucoside and hexyl maltoside inhibit light-induced oxidation of tryptophan. J. Pharm. Sci. 2014, 103, 409–416. [Google Scholar] [CrossRef]
- Koppenol, W.H.; Hider, R.H. Iron and redox cycling. Do’s and don’ts. Free Radic. Biol. Med. 2019, 133, 3–10. [Google Scholar] [CrossRef]
- Rachmilovich-Calis, S.; Masarwa, A.; Meyerstein, N.; Meyerstein, D.; van Eldik, R. New Mechanistic Aspects of the Fenton Reaction. Chem.-Eur. J. 2009, 15, 8303–8309. [Google Scholar] [CrossRef]
- Meyerstein, D. What Are the Oxidizing Intermediates in the Fenton and Fenton-like Reactions? A Perspective. Antioxidants 2022, 11, 1368. [Google Scholar] [CrossRef]
- Pierre, J.L.; Fontecave, M.; Crichton, R.R. Chemistry for an essential biological process: The reduction of ferric iron. Biometals 2002, 15, 341–346. [Google Scholar] [CrossRef]
- Chen, H.Y.; Lin, Y.F. DFT study on the catalytic decomposition of hydrogen peroxide by iron complexes of nitrilotriacetate. J. Comput. Chem. 2023. [Google Scholar] [CrossRef] [PubMed]
- Bielski, B.H.; Cabelli, D.E. Highlights of current research involving superoxide and perhydroxyl radicals in aqueous solutions. Int. J. Radiat. Biol. 1991, 59, 291–319. [Google Scholar] [CrossRef] [PubMed]
- Bull, C.; McClune, G.J.; Fee, J.A. The Mechanism of Fe-Edta Catalyzed Superoxide Dismutation. J. Am. Chem. Soc. 1983, 105, 5290–5300. [Google Scholar] [CrossRef]
- Vandegaer, J.; Chaberek, S.; Frost, A.E. Iron Chelates of Diethylenetriaminepentaacetic Acid. J. Inorg. Nucl. Chem. 1959, 11, 210–221. [Google Scholar] [CrossRef]
- Hong, J.; Schöneich, C. The metal-catalyzed oxidation of methionine in peptides by Fenton systems involves two consecutive one-electron oxidation processes. Free Radic. Biol. Med. 2001, 31, 1432–1441. [Google Scholar] [CrossRef]
- Koppenol, W.H.; Liebman, J.F. The Oxidizing Nature of the Hydroxyl Radical—A Comparison with the Ferryl Ion (Feo2+). J. Phys. Chem. 1984, 88, 99–101. [Google Scholar] [CrossRef]
- Illes, E.; Mizrahi, A.; Marks, V.; Meyerstein, D. Carbonate-radical-anions, and not hydroxyl radicals, are the products of the Fenton reaction in neutral solutions containing bicarbonate. Free Radic. Biol. Med. 2019, 131, 1–6. [Google Scholar] [CrossRef]
- Patra, S.G.; Mizrahi, A.; Meyerstein, D. The Role of Carbonate in Catalytic Oxidations. Accounts Chem. Res. 2020, 53, 2189–2200. [Google Scholar] [CrossRef]
- Walling, C.; Kurz, M.; Schugar, H.J. Iron(III)-Ethylenediaminetetraacetic Acid-Peroxide System. Inorg. Chem. 1970, 9, 931. [Google Scholar] [CrossRef]
- Graf, E.; Mahoney, J.R.; Bryant, R.G.; Eaton, J.W. Iron-catalyzed hydroxyl radical formation. Stringent requirement for free iron coordination site. J. Biol. Chem. 1984, 259, 3620–3624. [Google Scholar] [CrossRef]
- Lind, M.D.; Hoard, J.L.; Hamor, M.J.; Hamor, T.A. Stereocnemistry of ethylenediaminetetraacetato complexes. II. The structure of crystalline Rb[Fe(OH2)Y].H2O1-3. III. The structure of crystalline Li[Fe(OH2Y].2H2O1-3. Inorg. Chem. 1964, 3, 34. [Google Scholar] [CrossRef]
- Mizuta, T.; Wang, J.; Miyoshi, K. Molecular-Structures of Fe(II) Complexes with Monoprotonated and Diprotonated Ethylenediamine-N,N,N’,N’-Tetraacetate (Hedta and H2edta), as Determined by X-Ray Crystal Analyses. Inorg. Chim. Acta 1995, 230, 119–125. [Google Scholar] [CrossRef]
- Schwarzenbach, G.; Heller, J. Komplexone. 18. Die Eisen(II) Und Eisen(III)-Komplexe Der Athylendiamin-Tetraessigsaure Und Ihr Redoxgleichgewicht. Helv. Chim. Acta 1951, 34, 576–591. [Google Scholar] [CrossRef]
- Gustafson, R.L.; Martell, A.E. Hydrolytic Tendencies of Ferric Chelates. J. Phys. Chem. 1963, 67, 576–582. [Google Scholar] [CrossRef]
- Brausam, A.; van Eldik, R. Further mechanistic information on the reaction between Fe-III(edta) and hydrogen peroxide: Observation of a second reaction step and importance of pH. Inorg. Chem. 2004, 43, 5351–5359. [Google Scholar] [CrossRef]
- Seibig, S.; vanEldik, R. Kinetics of [Fe-II(edta)] oxidation by molecular oxygen revisited. New evidence for a multistep mechanism. Inorg. Chem. 1997, 36, 4115–4120. [Google Scholar] [CrossRef]
- Rush, J.D.; Koppenol, W.H. Oxidizing intermediates in the reaction of ferrous EDTA with hydrogen peroxide. Reactions with organic molecules and ferrocytochrome c. J. Biol. Chem. 1986, 261, 6730–6733. [Google Scholar] [CrossRef]
- Rush, J.D.; Koppenol, W.H. The reaction between ferrous polyaminocarboxylate complexes and hydrogen peroxide: An investigation of the reaction intermediates by stopped flow spectrophotometry. J. Inorg. Biochem. 1987, 29, 199–215. [Google Scholar] [CrossRef]
- Baertschi, S.W.; Clapham, D.; Foti, C.; Jansen, P.J.; Kristensen, S.; Reed, R.A.; Templeton, A.C.; Tonnesen, H.H. Implications of in-use photostability: Proposed guidance for photostability testing and labeling to support the administration of photosensitive pharmaceutical products, part 1: Drug products administered by injection. J. Pharm. Sci. 2013, 102, 3888–3899. [Google Scholar] [CrossRef]
- Kerwin, B.A.; Remmele, R.L. Protect from light: Photodegradation and protein biologics. J. Pharm. Sci. 2007, 96, 1468–1479. [Google Scholar] [CrossRef]
- Mallaney, M.; Wang, S.H.; Sreedhara, A. Effect of ambient light on monoclonal antibody product quality during small-scale mammalian cell culture process in clear glass bioreactors. Biotechnol. Prog. 2014, 30, 562–570. [Google Scholar] [CrossRef]
- Sreedhara, A.; Yin, J.; Joyce, M.; Lau, K.; Wecksler, A.T.; Deperalta, G.; Yi, L.; John Wang, Y.; Kabakoff, B.; Kishore, R.S. Effect of ambient light on IgG1 monoclonal antibodies during drug product processing and development. Eur. J. Pharm. Biopharm. 2016, 100, 38–46. [Google Scholar] [CrossRef]
- Luis, L.M.; Hu, Y.; Zamiri, C.; Sreedhara, A. Determination of the Acceptable Ambient Light Exposure during Drug Product Manufacturing for Long-Term Stability of Monoclonal Antibodies. PDA J. Pharm. Sci. Technol. 2018, 72, 393–403. [Google Scholar] [CrossRef]
- Liu, M.; Zhang, Z.; Cheetham, J.; Ren, D.; Zhou, Z.S. Discovery and characterization of a photo-oxidative histidine-histidine cross-link in IgG1 antibody utilizing (1)(8)O-labeling and mass spectrometry. Anal. Chem. 2014, 86, 4940–4948. [Google Scholar] [CrossRef]
- Lei, M.; Carcelen, T.; Walters, B.T.; Zamiri, C.; Quan, C.; Hu, Y.; Nishihara, J.; Yip, H.; Woon, N.; Zhang, T.; et al. Structure-Based Correlation of Light-Induced Histidine Reactivity in A Model Protein. Anal. Chem. 2017, 89, 7225–7231. [Google Scholar] [CrossRef]
- Lei, M.; Quan, C.; Wang, Y.J.; Kao, Y.H.; Schöneich, C. Light-Induced Covalent Buffer Adducts to Histidine in a Model Protein. Pharm. Res. 2018, 35, 67. [Google Scholar] [CrossRef]
- Bane, J.; Mozziconacci, O.; Yi, L.; Wang, Y.J.; Sreedhara, A.; Schöneich, C. Photo-oxidation of IgG1 and Model Peptides: Detection and Analysis of Triply Oxidized His and Trp Side Chain Cleavage Products. Pharm. Res. 2017, 34, 229–242. [Google Scholar] [CrossRef]
- Kaiser, W.; Schultz-Fademrecht, T.; Blech, M.; Buske, J.; Garidel, P. Investigating photodegradation of antibodies governed by the light dosage. Int. J. Pharm. 2021, 604, 120723. [Google Scholar] [CrossRef]
- More, H.T.; Bindra, D.S.; Zumba, A.; Zhou, K.; Carvalho, T.; Mantri, R. Effect of light source and UVA quotient on monoclonal antibody stability during ambient light exposure studies. Eur. J. Pharm. Biopharm. 2023, 185, 177–182. [Google Scholar] [CrossRef]
- Zhang, Y.; Schöneich, C. Visible Light Induces Site-Specific Oxidative Heavy Chain Fragmentation of a Monoclonal Antibody (IgG1) Mediated by an Iron(III)-Containing Histidine Buffer. Mol. Pharm. 2023, 20, 650–662. [Google Scholar] [CrossRef]
- Schöneich, C. Photo-Degradation of Therapeutic Proteins: Mechanistic Aspects. Pharm. Res. 2020, 37, 45. [Google Scholar] [CrossRef] [PubMed]
- Reid, L.O.; Vignoni, M.; Martins-Froment, N.; Thomas, A.H.; Dantola, M.L. Photochemistry of tyrosine dimer: When an oxidative lesion of proteins is able to photoinduce further damage. Photochem. Photobiol. Sci. 2019, 18, 1732–1741. [Google Scholar] [CrossRef] [PubMed]
- Masaki, H.; Okano, Y.; Sakurai, H. Generation of active oxygen species from advanced glycation end-products (AGEs) during ultraviolet light A (UVA) irradiation and a possible mechanism for cell damaging. Biochim. Biophys. Acta 1999, 1428, 45–56. [Google Scholar] [CrossRef]
- Lamore, S.D.; Azimian, S.; Horn, D.; Anglin, B.L.; Uchida, K.; Cabello, C.M.; Wondrak, G.T. The malondialdehyde-derived fluorophore DHP-lysine is a potent sensitizer of UVA-induced photooxidative stress in human skin cells. J. Photochem. Photobiol. B 2010, 101, 251–264. [Google Scholar] [CrossRef] [PubMed]
- Karran, P.; Brem, R. Protein oxidation, UVA and human DNA repair. DNA Repair 2016, 44, 178–185. [Google Scholar] [CrossRef] [PubMed]
- Cardoso, D.R.; Franco, D.W.; Olsen, K.; Andersen, M.L.; Skibsted, L.H. Reactivity of bovine whey proteins, peptides, and amino acids toward triplet riboflavin as studied by laser flash photolysis. J. Agric. Food Chem. 2004, 52, 6602–6606. [Google Scholar] [CrossRef]
- Huvaere, K.; Skibsted, L.H. Light-induced oxidation of tryptophan and histidine. Reactivity of aromatic N-heterocycles toward triplet-excited flavins. J. Am. Chem. Soc. 2009, 131, 8049–8060. [Google Scholar] [CrossRef] [PubMed]
- Castano, C.; Dantola, M.L.; Oliveros, E.; Thomas, A.H.; Lorente, C. Oxidation of tyrosine photoinduced by pterin in aqueous solution. Photochem. Photobiol. 2013, 89, 1448–1455. [Google Scholar] [CrossRef]
- Thomas, A.H.; Lorente, C.; Roitman, K.; Morales, M.M.; Dantola, M.L. Photosensitization of bovine serum albumin by pterin: A mechanistic study. J. Photochem. Photobiol. B 2013, 120, 52–58. [Google Scholar] [CrossRef]
- Reid, L.O.; Dantola, M.L.; Petroselli, G.; Erra-Balsells, R.; Miranda, M.A.; Lhiaubet-Vallet, V.; Thomas, A.H. Chemical Modifications of Globular Proteins Phototriggered by an Endogenous Photosensitizer. Chem. Res. Toxicol. 2019, 32, 2250–2259. [Google Scholar] [CrossRef]
- Baptista, M.S.; Cadet, J.; Di Mascio, P.; Ghogare, A.A.; Greer, A.; Hamblin, M.R.; Lorente, C.; Nunez, S.C.; Ribeiro, M.S.; Thomas, A.H.; et al. Type I and Type II Photosensitized Oxidation Reactions: Guidelines and Mechanistic Pathways. Photochem. Photobiol. 2017, 93, 912–919. [Google Scholar] [CrossRef]
- Dougherty, D.A. Cation-pi interactions in chemistry and biology: A new view of benzene, Phe, Tyr, and Trp. Science 1996, 271, 163–168. [Google Scholar] [CrossRef] [PubMed]
- Gallivan, J.P.; Dougherty, D.A. Cation-pi interactions in structural biology. Proc. Natl. Acad. Sci. USA 1999, 96, 9459–9464. [Google Scholar] [CrossRef]
- Dougherty, D.A. The cation-pi interaction. Acc. Chem. Res. 2013, 46, 885–893. [Google Scholar] [CrossRef] [PubMed]
- Roveri, O.A.; Braslavsky, S.E. pi-Cation interactions as the origin of the weak absorption at 532 nm observed in tryptophan-containing polypeptides. Photochem. Photobiol. Sci. 2012, 11, 962–966. [Google Scholar] [CrossRef] [PubMed]
- Juszczak, L.J.; Eisenberg, A.S. The Color of Cation-pi Interactions: Subtleties of Amine-Tryptophan Interaction Energetics Allow for Radical-like Visible Absorbance and Fluorescence. J. Am. Chem. Soc. 2017, 139, 8302–8311. [Google Scholar] [CrossRef]
- Chen, J.; Browne, W.R. Photochemistry of iron complexes. Coordin. Chem. Rev. 2018, 374, 15–35. [Google Scholar] [CrossRef]
- Van der Zee, J.; Krootjes, B.B.; Chignell, C.F.; Dubbelman, T.M.; Van Steveninck, J. Hydroxyl radical generation by a light-dependent Fenton reaction. Free Radic. Biol. Med. 1993, 14, 105–113. [Google Scholar]
- Pozdnyakov, I.P.; Kel, O.V.; Plyusnin, V.F.; Grivin, V.P.; Bazhin, N.M. New insight into photochemistry of ferrioxalate. J. Phys. Chem. A 2008, 112, 8316–8322. [Google Scholar] [CrossRef]
- Nogueira, A.A.; Souza, B.M.; Dezotti, M.W.C.; Boaventura, R.A.R.; Vilar, V.J.P. Ferrioxalate complexes as strategy to drive a photo-FENTON reaction at mild pH conditions: A case study on levofloxacin oxidation. J. Photoch. Photobio. A 2017, 345, 109–123. [Google Scholar] [CrossRef]
- Faust, B.C.; Zepp, R.G. Photochemistry of Aqueous Iron(Iii) Polycarboxylate Complexes—Roles in the Chemistry of Atmospheric and Surface Waters. Environ. Sci. Technol. 1993, 27, 2517–2522. [Google Scholar] [CrossRef]
- Huffman, R.E.; Davidson, N. Kinetics of the Ferrous Iron-Oxygen Reaction in Sulfuric Acid Solution. J. Am. Chem. Soc. 1956, 78, 4836–4842. [Google Scholar] [CrossRef]
- Subelzu, N.; Schöneich, C. Near UV and Visible Light Induce Iron-Dependent Photodegradation Reactions in Pharmaceutical Buffers: Mechanistic and Product Studies. Mol. Pharm. 2020, 17, 4163–4179. [Google Scholar] [CrossRef] [PubMed]
- Q1B Photostability Testing of New Drug Substances and Products. Guidance for Industry; International Council for Harmonization (ICH): Geneva, Switzerland, 1996.
- Zhang, Y.; Richards, D.S.; Grotemeyer, E.N.; Jackson, T.A.; Schöneich, C. Near-UV and Visible Light Degradation of Iron (III)-Containing Citrate Buffer: Formation of Carbon Dioxide Radical Anion via Fragmentation of a Sterically Hindered Alkoxyl Radical. Mol. Pharm. 2022, 19, 4026–4042. [Google Scholar] [CrossRef]
- Koppenol, W.H.; Rush, J.D. Reduction Potential of the Co2/Co2.- Couple—A Comparison with Other C1 Radicals. J. Phys. Chem. 1987, 91, 4429–4430. [Google Scholar] [CrossRef]
- Adams, G.E.; Willson, R.L. Pulse Radiolysis Studies on Oxidation of Organic Radicals in Aqueous Solution. Trans. Faraday Soc. 1969, 65, 2981. [Google Scholar] [CrossRef]
- Fojtik, A.; Czapski, G.; Henglein, A. Pulse Radiolytic Investigation of Carboxyl Radical in Aqueous Solution. J. Phys. Chem. 1970, 74, 3204. [Google Scholar] [CrossRef]
- Willson, R.L. Pulse Radiolysis Studies of Electron Transfer in Aqueous Disulphide Solutions. J. Chem. Soc. Chem. Comm. 1970, 64, 1425–1426. [Google Scholar] [CrossRef]
- Favaudon, V.; Tourbez, H.; Houeelevin, C.; Lhoste, J.M. Co2.- Radical Induced Cleavage of Disulfide Bonds in Proteins—A Gamma-Ray and Pulse-Radiolysis Mechanistic Investigation. Biochemistry 1990, 29, 10978–10989. [Google Scholar] [CrossRef]
- Joshi, R.; Adhikari, S.; Gopinathan, C.; O’Neill, P. Reduction reactions of bovine serum albumin and lysozyme by CO2- radical in polyvinyl alcohol solution: A pulse radiolysis study. Radiat. Phys. Chem. 1998, 53, 171–176. [Google Scholar] [CrossRef]
- Matzapetakis, M.; Raptopoulou, C.P.; Tsohos, A.; Papaefthymiou, V.; Moon, N.; Salifoglou, A. Synthesis, spectroscopic and structural characterization of the first mononuclear, water soluble iron-citrate complex, (NH4)5Fe(C6H4O7)2 · 2H2O. J. Am. Chem. Soc. 1998, 120, 13266–13267. [Google Scholar] [CrossRef]
- Duerkop, M.; Berger, E.; Durauer, A.; Jungbauer, A. Influence of cavitation and high shear stress on HSA aggregation behavior. Eng. Life Sci. 2018, 18, 169–178. [Google Scholar] [CrossRef] [PubMed]
- Duerkop, M.; Berger, E.; Durauer, A.; Jungbauer, A. Impact of Cavitation, High Shear Stress and Air/Liquid Interfaces on Protein Aggregation. Biotechnol. J. 2018, 13, 1800062. [Google Scholar] [CrossRef] [PubMed]
- Nayak, A.; Colandene, J.; Bradford, V.; Perkins, M. Characterization of subvisible particle formation during the filling pump operation of a monoclonal antibody solution. J. Pharm. Sci. 2011, 100, 4198–4204. [Google Scholar] [CrossRef]
- Gikanga, B.; Eisner, D.R.; Ovadia, R.; Day, E.S.; Stauch, O.B.; Maa, Y.F. Processing Impact on Monoclonal Antibody Drug Products: Protein Subvisible Particulate Formation Induced by Grinding Stress. PDA J. Pharm. Sci. Technol. 2017, 71, 172–188. [Google Scholar] [CrossRef]
- Gikanga, B.; Hui, A.; Maa, Y.F. Mechanistic Investigation on Grinding-Induced Subvisible Particle Formation during Mixing and Filling of Monoclonal Antibody Formulations. PDA J. Pharm. Sci. Technol. 2018, 72, 117–133. [Google Scholar] [CrossRef]
- Randolph, T.W.; Schiltz, E.; Sederstrom, D.; Steinmann, D.; Mozziconacci, O.; Schöneich, C.; Freund, E.; Ricci, M.S.; Carpenter, J.F.; Lengsfeld, C.S. Do not drop: Mechanical shock in vials causes cavitation, protein aggregation, and particle formation. J. Pharm. Sci. 2015, 104, 602–611. [Google Scholar] [CrossRef]
- Torisu, T.; Maruno, T.; Hamaji, Y.; Ohkubo, T.; Uchiyama, S. Synergistic Effect of Cavitation and Agitation on Protein Aggregation. J. Pharm. Sci. 2017, 106, 521–529. [Google Scholar] [CrossRef]
- Wu, H.; Chisholm, C.F.; Puryear, M.; Movafaghi, S.; Smith, S.D.; Pokhilchuk, Y.; Lengsfeld, C.S.; Randolph, T.W. Container Surfaces Control Initiation of Cavitation and Resulting Particle Formation in Protein Formulations After Application of Mechanical Shock. J. Pharm. Sci. 2020, 109, 1270–1280. [Google Scholar] [CrossRef]
- Siavashpouri, M.; Bailey-Hytholt, C.M.; Authelin, J.R.; Patke, S. Quantification and Stability Impact Assessment of Drop Stresses in Biologic Drug Products. PDA J. Pharm. Sci. Technol. 2022, 76, 461–473. [Google Scholar] [CrossRef]
- Yasui, K. Production of O Radicals from Cavitation Bubbles under Ultrasound. Molecules 2022, 27, 4788. [Google Scholar] [CrossRef] [PubMed]
- Meyer, B.K.; Ni, A.; Hu, B.; Shi, L. Antimicrobial preservative use in parenteral products: Past and present. J. Pharm. Sci. 2007, 96, 3155–3167. [Google Scholar] [CrossRef]
- Stroppel, L.; Schultz-Fademrecht, T.; Cebulla, M.; Blech, M.; Marhofer, R.J.; Selzer, P.M.; Garidel, P. Antimicrobial Preservatives for Protein and Peptide Formulations: An Overview. Pharmaceutics 2023, 15, 563. [Google Scholar] [CrossRef] [PubMed]
- Sankar, M.; Nowicka, E.; Carter, E.; Murphy, D.M.; Knight, D.W.; Bethell, D.; Hutchings, G.J. The benzaldehyde oxidation paradox explained by the interception of peroxy radical by benzyl alcohol. Nat. Commun. 2014, 5, 3332. [Google Scholar] [CrossRef] [PubMed]
- Grootveld, M.; Halliwell, B. An aromatic hydroxylation assay for hydroxyl radicals utilizing high-performance liquid chromatography (HPLC). Use to investigate the effect of EDTA on the Fenton reaction. Free Radic. Res. Commun. 1986, 1, 243–250. [Google Scholar] [CrossRef]
- Grootveld, M.; Halliwell, B. Aromatic hydroxylation as a potential measure of hydroxyl-radical formation in vivo. Identification of hydroxylated derivatives of salicylate in human body fluids. Biochem. J. 1986, 237, 499–504. [Google Scholar] [CrossRef]
- Maskos, Z.; Rush, J.D.; Koppenol, W.H. The hydroxylation of the salicylate anion by a Fenton reaction and T-radiolysis: A consideration of the respective mechanisms. Free Radic. Biol. Med. 1990, 8, 153–162. [Google Scholar] [CrossRef]
- Hamilton, G.A.; Friedman, J.P.; Campbell, P.M. Hydroxylation of Anisole by Hydrogen Peroxide in Presence of Catalytic Amounts of Ferric Ion and Catechol. Scope Requirements and Kinetic Studies. J. Am. Chem. Soc. 1966, 88, 5266. [Google Scholar] [CrossRef]
- Friedrich, L.C.; Mendes, M.A.; Silva, V.O.; Zanta, C.L.P.S.; Machulek, A.; Quina, F.H. Mechanistic Implications of Zinc(II) Ions on the Degradation of Phenol by the Fenton Reaction. J. Brazil Chem. Soc. 2012, 23, 1372–1377. [Google Scholar] [CrossRef]
- Pasquet, J.; Chevalier, Y.; Pelletier, J.; Couval, E.; Bouvier, D.; Bolzinger, M.A. The contribution of zinc ions to the antimicrobial activity of zinc oxide. Colloid. Surf. A 2014, 457, 263–274. [Google Scholar] [CrossRef]
- Dodson, G.; Steiner, D. The role of assembly in insulin’s biosynthesis. Curr. Opin. Struct. Biol. 1998, 8, 189–194. [Google Scholar] [CrossRef] [PubMed]
- Karthikeyan, C.; Arunachalam, P.; Ramachandran, K.; Al-Mayouf, A.M.; Karuppuchamy, S. Recent advances in semiconductor metal oxides with enhanced methods for solar photocatalytic applications. J. Alloy. Compd. 2020, 828, 154281. [Google Scholar] [CrossRef]
- Qin, H.C.; Li, W.Y.; Xia, Y.J.; He, T. Photocatalytic Activity of Heterostructures Based on ZnO and N-Doped ZnO. ACS Appl. Mater. Inter. 2011, 3, 3152–3156. [Google Scholar] [CrossRef] [PubMed]
- Kubo, W.; Tatsuma, T. Photocatalytic remote oxidation with various photocatalysts and enhancement of its activity. J. Mater. Chem. 2005, 15, 3104–3108. [Google Scholar] [CrossRef]
- Al-Rasheed, R.; Cardin, D.J. Photocatalytic degradation of humic acid in saline waters Part 2. Effects of various photocatalytic materials. Appl. Catal. A Gen. 2003, 246, 39–48. [Google Scholar] [CrossRef]
- Parini, R.; Deodato, F. Intravenous Enzyme Replacement Therapy in Mucopolysaccharidoses: Clinical Effectiveness and Limitations. Int. J. Mol. Sci. 2020, 21, 2975. [Google Scholar] [CrossRef]
- Brennan, G.T.; Saif, M.W. Pancreatic Enzyme Replacement Therapy: A Concise Review. JOP 2019, 20, 121–125. [Google Scholar]
- Rivera-Colon, Y.; Schutsky, E.K.; Kita, A.Z.; Garman, S.C. The structure of human GALNS reveals the molecular basis for mucopolysaccharidosis IV A. J. Mol. Biol. 2012, 423, 736–751. [Google Scholar] [CrossRef]
- Demydchuk, M.; Hill, C.H.; Zhou, A.; Bunkoczi, G.; Stein, P.E.; Marchesan, D.; Deane, J.E.; Read, R.J. Insights into Hunter syndrome from the structure of iduronate-2-sulfatase. Nat. Commun. 2017, 8, 15786. [Google Scholar] [CrossRef]




Disclaimer/Publisher’s Note: The statements, opinions and data contained in all publications are solely those of the individual author(s) and contributor(s) and not of MDPI and/or the editor(s). MDPI and/or the editor(s) disclaim responsibility for any injury to people or property resulting from any ideas, methods, instructions or products referred to in the content. |
© 2023 by the author. Licensee MDPI, Basel, Switzerland. This article is an open access article distributed under the terms and conditions of the Creative Commons Attribution (CC BY) license (https://creativecommons.org/licenses/by/4.0/).
Share and Cite
Schöneich, C. Primary Processes of Free Radical Formation in Pharmaceutical Formulations of Therapeutic Proteins. Biomolecules 2023, 13, 1142. https://doi.org/10.3390/biom13071142
Schöneich C. Primary Processes of Free Radical Formation in Pharmaceutical Formulations of Therapeutic Proteins. Biomolecules. 2023; 13(7):1142. https://doi.org/10.3390/biom13071142
Chicago/Turabian StyleSchöneich, Christian. 2023. "Primary Processes of Free Radical Formation in Pharmaceutical Formulations of Therapeutic Proteins" Biomolecules 13, no. 7: 1142. https://doi.org/10.3390/biom13071142
APA StyleSchöneich, C. (2023). Primary Processes of Free Radical Formation in Pharmaceutical Formulations of Therapeutic Proteins. Biomolecules, 13(7), 1142. https://doi.org/10.3390/biom13071142

