Elucidating Events within the Black Box of Enzyme Catalysis in Energy Metabolism: Insights into the Molecular Mechanism of ATP Hydrolysis by F1-ATPase
Abstract
1. Introduction
2. Materials and Methods
2.1. Materials
2.2. ATP Hydrolysis by F1-ATPase
2.3. Oxygen Exchange
2.4. Separation of Pi
2.5. Determination of 18O in Pi
2.6. Calculations from Oxygen Exchange Measurements
3. Theory
3.1. Kinetic Analysis of the Overall Extent of Oxygen Exchange during ATP Hydrolysis
3.2. Stochastic Kinetic Theory for Calculation of Isotopomer Distributions of Various [18O] Species in Released Pi during ATP Hydrolysis
4. Results
4.1. Overall Extent of Oxygen Exchange by F1-ATPase as a Function of ATP Concentration
4.2. Fractional Extent of Oxygen Exchange as a Function of Time during ATP Hydrolysis by F1-ATPase
4.3. Evaluation of the Apparent Rate Constant of Oxygen Exchange during ATP Hydrolysis by F1-ATPase
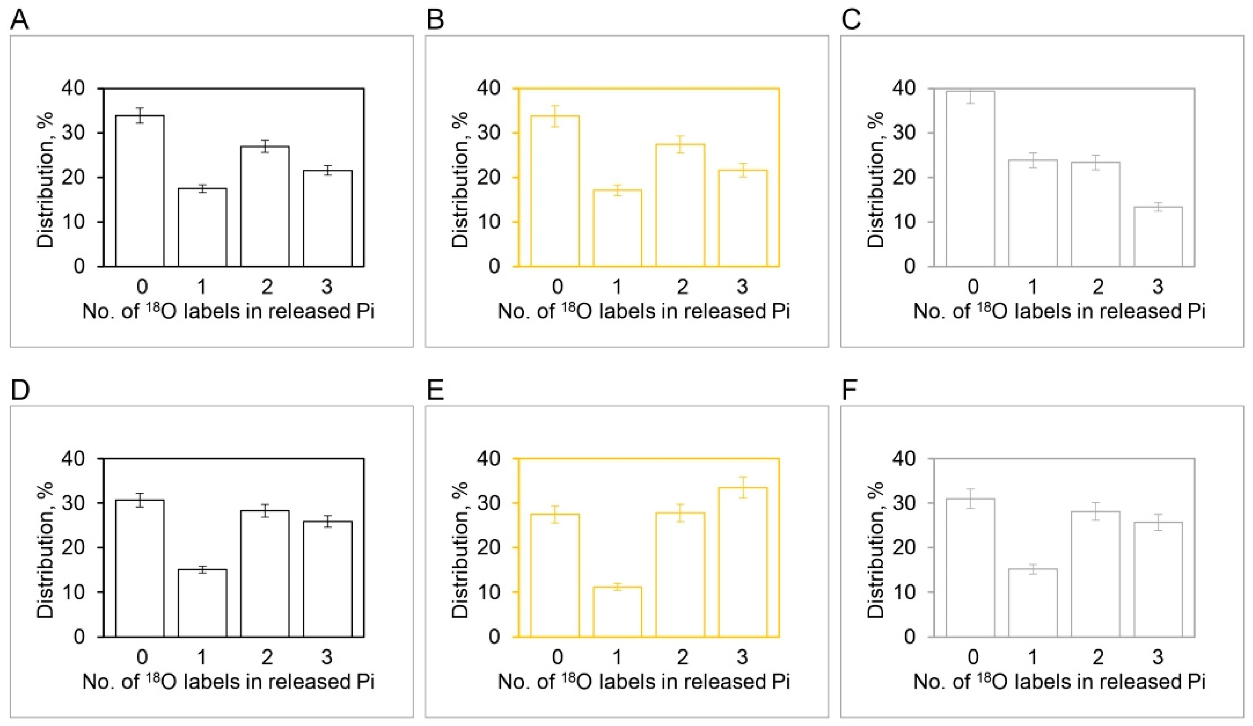
4.4. Quantification of the Distributions of [18O]Pi Species at Various ATP Concentrations during ATP Hydrolysis by F1-ATPase
5. Discussion
5.1. Limits of Oxygen Exchange during Catalysis by F1-ATPase
5.2. Time-Resolved Analysis of Oxygen Exchange
5.3. Mechanistic Implications for Energy Coupling
5.4. Mechanism of Oxygen Exchange
5.5. Number of Sites of Oxygen Exchange and Their Biological Implications
5.6. Model for Steady-State Multisite ATP Hydrolysis by F1-ATPase
5.7. Order of Product Release Steps during ATP Hydrolysis and Interpretation in Terms of High-Resolution MF1 X-ray Structures
5.8. Identity of Site 2 in the MF1 X-ray Structures
5.9. Angular Position of ATP Binding, Bond Cleavage, Pi Release, and ADP Release during ATP Hydrolysis by F1-ATPase
5.10. Consistency of the Proposed Mechanism with the Results of Catalytic Site Nucleotide Occupancies of Senior and Colleagues Using Tryptophan Fluorescence Quenching [97,104,105,106] and Relationship with Other Models of ATP Hydrolysis [2,7,14,15,31,38,82,93,96,107,108]
6. Conclusions
- A single site of entry of water oxygen—a fundamental limitation of the model of oxygen exchange proposed by Boyer’s binding change mechanism of ATP synthesis/hydrolysis—is inadequate to predict even gross features of the exchange process.
- Multiple sites of water entry, as proposed by Nath’s torsional mechanism of ATP synthesis/hydrolysis since 2003 [32], are essential to explain exchange data.
- A constant value for the apparent rate constant of oxygen exchange () of 10.5 s−1 is found over five decades of ATP concentration during steady-state ATP hydrolysis by mitochondrial F1-ATPase.
- Finding 3 contradicts a fundamental tenet of the binding change mechanism that postulates that medium ATP concentration markedly modifies values of the rate constant(s) governing the oxygen exchange of Pi bound at the catalytic site prior to its release [58,59,60] and neglects consideration of a timescale for the exchange.
- The results are consistent with the torsional mechanism that considers the time available for exchange, , by the bound nucleotide/Pi in the catalytic site as the appropriate timescale and postulates that this parameter quantitatively determined the observed extent of the oxygen exchange when multiplied by an essentially constant apparent rate constant for the exchange process, . According to this theory, changes in the medium substrate concentration alter , which then is responsible for the modulation of the extent and rate of oxygen exchange.
- Ligand permutation is the fundamental cause for the occurrence of the intermediate Pi–HOH exchange (during ATP hydrolysis) (this work) and the intermediate ATP–HOH oxygen exchange (during ATP synthesis) [57], as opposed to multiple spontaneous reversals of ATP synthesis/hydrolysis in a single catalytic site [60].
- The exchanges occur mechanistically because the enzyme catalytic site lacks absolute spatial selectivity for the oxygen ligands of a phosphorus intermediate that it accepts and binds as substrate. Hence, the oxygen ligands readily exchange, i.e., permute their positions about the central phosphorus atom.
- Three catalytic sites contribute to oxygen exchange at short times (high [ATP]) that, however, reduce to two sites mediating intermediate Pi–HOH exchange at long times (low [ATP]), as revealed by the detailed experimental distribution of [18O]Pi isotopomer species found in our work and its stochastic kinetic analysis.
- The finding 8 imposes strong constraints on possible molecular mechanisms of ATP hydrolysis by F1-ATPase.
- None of the existing mechanisms, in their current form, fully explain the experimental observations in 8 and present a solution to the mechanistic conundrum.
- The concept of ligand displacement was proposed in 2008 for bisite activation of the F1-ATPase by ATP binding at a second catalytic site by the torsional mechanism and the unified theory [31], with the additional new element that the enzyme needs to also hydrolyze the bound ATP (that had exchanged with bound ADP in site 2 by substitution chemistry) to ADP.Pi, and subsequently unbinding and releasing the Pi from the site, presently offers the only way to resolve the mechanistic conundrum [92,113].
- Pi release precedes ADP release in the catalytic cycle of steady-state ATP hydrolysis by F1-ATPase.
- The elementary chemical processes and the angular position at which they occur during ATP hydrolysis by the complete F1-ATPase that are consistent with the results of the oxygen exchange experiments in this work are ATP binding—0°, ATP bond cleavage—200°, Pi release—200°, and ADP release [92]—240°.
- F1-ATPase performs its function of steady-state Vmax hydrolysis using a trisite mechanism, i.e., by a mode of operation in which rotation and catalysis occur with 3-site filling of β-catalytic sites by the Mg-nucleotides MgATP or MgADP. This finding contradicts bisite models of steady-state catalysis by ATP synthase/F1-ATPase proposed within Boyer’s binding change mechanism [60] but is fully consistent with Nath’s torsional mechanism of energy transduction and ATP synthesis [31,33] and hydrolysis [31,92].
Supplementary Materials
Funding
Institutional Review Board Statement
Informed Consent Statement
Data Availability Statement
Acknowledgments
Conflicts of Interest
References
- Abrahams, J.P.; Leslie, A.G.W.; Lutter, R.; Walker, J.E. Structure at 2.8 Å resolution of F1-ATPase from bovine heart mitochondria. Nature 1994, 370, 621–628. [Google Scholar] [CrossRef]
- Menz, R.I.; Walker, J.E.; Leslie, A.G.W. Structure of bovine mitochondrial F1-ATPase with nucleotide bound to all three catalytic sites: Implication for the mechanism of rotary catalysis. Cell 2001, 106, 331–341. [Google Scholar] [CrossRef]
- Zhou, A.; Rohou, A.; Schep, D.G.; Bason, J.V.; Walker, J.E.; Rubinstein, J.L. Structure and conformational states of the bovine mitochondrial ATP synthase by cryo-EM. eLife 2015, 4, e10180. [Google Scholar] [CrossRef] [PubMed]
- Murphy, B.J.; Klusch, N.; Langer, J.; Mills, D.J.; Yildiz, Ö.; Kühlbrandt, W. Rotary substates of mitochondrial ATP synthase reveal the basis of flexible F1-Fo coupling. Science 2019, 364, eaaw9128. [Google Scholar] [CrossRef] [PubMed]
- Gu, J.; Zhang, L.; Zong, S.; Guo, R.; Liu, T.; Yi, J.; Wang, P.; Zhuo, W.; Yang, M. Cryo-EM structure of the mammalian ATP synthase tetramer bound with inhibitory protein IF1. Science 2019, 364, 1068–1075. [Google Scholar] [CrossRef] [PubMed]
- Pinke, G.; Zhou, L.; Sazanov, L.A. Cryo-EM structure of the entire mammalian F-type ATP synthase. Nat. Struct. Mol. Biol. 2020, 27, 1077–1085. [Google Scholar] [CrossRef]
- Nakano, A.; Kishikawa, J.I.; Nakanishi, A.; Mitsuoka, K.; Yokoyama, K. Structural basis of unisite catalysis of bacterial F0F1-ATPase. PNAS Nexus 2022, 1, pgac116. [Google Scholar] [CrossRef]
- Sobti, M.; Zeng, Y.C.; Walshe, J.L.; Brown, S.H.J.; Ishmukhametov, R.; Stewart, A.G. Changes within the central stalk observed of E. coli F1Fo ATP synthase observed after addition of ATP. Commun. Biol. 2023, 6, 26. [Google Scholar] [CrossRef]
- Noji, H.; Yasuda, R.; Yoshida, M.; Kinosita, K. Direct observation of the rotation of F1-ATPase. Nature 1997, 386, 299–302. [Google Scholar] [CrossRef]
- Martin, J.L.; Ishmukhametov, R.; Spetzler, D.; Hornung, T.; Frasch, W.D. Elastic coupling power stroke mechanism of the F1-ATPase molecular motor. Proc. Natl. Acad. Sci. USA 2018, 115, 5750–5755. [Google Scholar] [CrossRef]
- Sakaki, N.; Shimo-Kon, R.; Adachi, K.; Itoh, H.; Furuike, S.; Muneyuki, E.; Yoshida, M.; Kinosita, K. One rotary mechanism for F1-ATPase over ATP concentrations from millimolar down to nanomolar. Biophys. J. 2005, 88, 2047–2056. [Google Scholar] [CrossRef] [PubMed]
- Nakanishi-Matsui, M.; Kashiwagi, S.; Hosokawa, H.; Cipriano, D.J.; Dunn, S.D.; Wada, Y.; Futai, M. Stochastic high-speed rotation of Escherichia coli F1 sector: The ε subunit-sensitive rotation. J. Biol. Chem. 2006, 281, 4126–4131. [Google Scholar] [CrossRef] [PubMed]
- Martin, J.L.; Ishmukhametov, R.; Hornung, T.; Ahmad, Z.; Frasch, W.D. Anatomy of F1-ATPase powered rotation. Proc. Natl. Acad. Sci. USA 2014, 111, 3715–3720. [Google Scholar] [CrossRef]
- Kobayashi, R.; Ueno, H.; Li, C.-B.; Noji, H. Rotary catalysis of bovine mitochondrial F1-ATPase studied by single-molecule experiments. Proc. Natl. Acad. Sci. USA 2020, 117, 1447–1456. [Google Scholar] [CrossRef] [PubMed]
- Hasimoto, Y.; Sugawa, M.; Nishiguchi, Y.; Aeba, F.; Tagawa, A.; Suga, K.; Tanaka, N.; Ueno, H.; Yamashita, H.; Yokota, R.; et al. Direct identification of the rotary angle of ATP cleavage in F1-ATPase from Bacillus PS3. Biophys. J. 2023, 122, 554–564. [Google Scholar] [CrossRef] [PubMed]
- García, J.J.; Capaldi, R.A. Unisite catalysis without rotation of the γ–ε domain in the Escherichia coli F1-ATPase. J. Biol. Chem. 1998, 273, 15940–15945. [Google Scholar] [CrossRef]
- Wilkens, S.; Capaldi, R.A. Solution structure of the ε-subunit of the F1-ATPase from Escherichia coli and the interactions of this subunit with β-subunits in the complex. J. Biol. Chem. 1998, 273, 26645–26651. [Google Scholar] [CrossRef]
- Nath, S. Energy landscapes and dynamics of ion translocation through membrane transporters: A meeting ground for physics, chemistry, and biology. J. Biol. Phys. 2021, 47, 401–433. [Google Scholar] [CrossRef]
- Holmes-Cerfon, M.; Gortler, S.J.; Brenner, M.P. A geometrical approach to computing free-energy landscapes from short-ranged potentials. Proc. Natl. Acad. Sci. USA 2012, 109, E5–E14. [Google Scholar] [CrossRef]
- Rieu, M.; Taylor, N.M.I.; Krutyholowa, R.; Berry, R.M. A new class of biological ion-driven rotary molecular motors with 5:2 symmetry. Front. Microbiol. 2022, 13, 948383. [Google Scholar] [CrossRef]
- Wadhwa, N.; Berg, H.C. Bacterial motility: Machinery and mechanism. Nat. Rev. Microbiol. 2021, 20, 161–173. [Google Scholar] [CrossRef] [PubMed]
- Trybus, K.M. Myosin V from head to tail. Cell. Mol. Life Sci. 2008, 65, 1378–1389. [Google Scholar] [CrossRef]
- Burgess, S.; Walker, M.; Wang, F.; Sellers, J.R.; White, H.D.; Knight, P.J.; Trinick, J. The prepower stroke conformation of myosin V. J. Cell Biol. 2002, 159, 983–991. [Google Scholar] [CrossRef] [PubMed]
- Okazaki, K.; Takada, S. Structural comparison of F1-ATPase: Interplay among enzyme structures, catalysis, and rotations. Structure 2011, 19, 588–598. [Google Scholar] [CrossRef]
- Hayashi, S.; Ueno, H.; Shaikh, A.R.; Umemura, M.; Kamiya, M.; Ito, Y.; Ikeguchi, M.; Komoriya, Y.; Iino, R.; Noji, H. Molecular mechanism of ATP hydrolysis in F1-ATPase revealed by molecular simulations and single-molecule observations. J. Am. Chem. Soc. 2012, 134, 8447–8454. [Google Scholar] [CrossRef]
- Forsyth, A.M.; Wan, J.; Owrutsky, P.D.; Abkarian, M.; Stone, H.A. Multiscale approach to link red blood cell dynamics, shear viscosity, and ATP release. Proc. Natl. Acad. Sci. USA 2011, 108, 10986–10991. [Google Scholar] [CrossRef] [PubMed]
- Singharoy, A.; Chipot, C. Methodology for the simulation of molecular motors at different scales. J. Phys. Chem. B 2017, 121, 3502–3514. [Google Scholar] [CrossRef]
- Jarvis, K.J.; Bell, K.M.; Loya, A.K.; Swank, D.M.; Walcott, S. Force-velocity and tension transient measurements from Drosophila jump muscle reveal the necessity of both weakly-bound cross-bridges and series elasticity in models of muscle contraction. Arch. Biochem. Biophys. 2021, 701, 108809. [Google Scholar] [CrossRef]
- Štrajbl, M.; Shurki, A.; Warshel, A. Converting conformational changes to electrostatic energy in molecular motors: The energetics of ATP synthase. Proc. Natl. Acad. Sci. USA 2013, 100, 14834–14839. [Google Scholar] [CrossRef]
- Nath, S.S.; Nath, S. Energy transfer from adenosine triphosphate: Quantitative analysis and mechanistic insights. J. Phys. Chem. B 2009, 113, 1533–1537. [Google Scholar] [CrossRef]
- Nath, S. The new unified theory of ATP synthesis/hydrolysis and muscle contraction, its manifold fundamental consequences and mechanistic implications and its applications in health and disease. Int. J. Mol. Sci. 2008, 9, 1784–1840. [Google Scholar] [CrossRef] [PubMed]
- Nath, S. Molecular mechanisms of energy transduction in cells: Engineering applications and biological implications. Adv. Biochem. Eng. Biotechnol. 2003, 85, 125–180. [Google Scholar] [PubMed]
- Nath, S. The molecular mechanism of ATP synthesis by F1F0-ATP synthase: A scrutiny of the major possibilities. Adv. Biochem. Eng. Biotechnol. 2002, 74, 65–98. [Google Scholar]
- Senior, A.E.; Nadanaciva, S.; Weber, J. The molecular mechanism of ATP synthesis by F1F0-ATP synthase. Biochim. Biophys. Acta 2002, 1553, 188–211. [Google Scholar] [CrossRef]
- Xu, L.; Liu, F. The chemo-mechanical coupled model for F1F0-motor. Prog. Biophys. Mol. Biol. 2012, 108, 139–148. [Google Scholar] [CrossRef] [PubMed]
- Nath, S. Analysis of molecular mechanisms of ATP synthesis from the standpoint of the principle of electrical neutrality. Biophys. Chem. 2017, 224, 49–58. [Google Scholar] [CrossRef] [PubMed]
- Kell, D.B. A protet-based, protonic charge transfer model of energy coupling in oxidative and photosynthetic phosphorylation. Adv. Microb. Physiol. 2021, 78, 1–35. [Google Scholar]
- Frasch, W.D.; Bukhari, Z.A.; Yanagisawa, S. F1FO ATP synthase molecular motor mechanisms. Front. Microbiol. 2022, 13, 965620. [Google Scholar] [CrossRef]
- Bruns, K.; Studtrucker, N.; Sharma, A.; Fossen, T.; Mitzner, D.; Eissman, A.; Tessmer, U.; Roder, R.; Henklein, P.; Wray, V.; et al. Structural characterization and oligomerization of PB1–F2, a proapoptotic influenza A virus protein. J. Biol. Chem. 2007, 282, 353–363. [Google Scholar] [CrossRef]
- Hards, K.; McMillan, D.G.G.; Schurig-Briccio, L.A.; Gennis, R.B.; Lill, H.; Bald, D.; Cook, G.M. Ionophoric effects of the antitubercular drug bedaquiline. Proc. Natl. Acad. Sci. USA 2018, 115, 7326–7331. [Google Scholar] [CrossRef]
- Nath, S. Interpretation of the mechanism of action of antituberculosis drug bedaquiline based on a novel two-ion theory of energy coupling in ATP synthesis. Bioeng. Transl. Med. 2019, 4, 164–170. [Google Scholar] [CrossRef]
- Sarathy, J.P.; Grüber, G.; Dick, T. Re-understanding the mechanisms of action of the anti-mycobacterial drug bedaquiline. Antibiotics 2019, 8, 261. [Google Scholar] [CrossRef]
- Niedzwiecka, K.; Baranowska, E.; Panja, C.; Kucharczyk, R. ATP synthase subunit a supports permeability transition in yeast lacking dimerization subunits and modulates yPTP conductance. Cell. Physiol. Biochem. 2020, 54, 211–229. [Google Scholar]
- Nath, S. A novel conceptual model for the dual role of FOF1-ATP synthase in cell life and cell death. Biomol. Concepts 2020, 11, 143–152. [Google Scholar] [CrossRef]
- Bernardi, P.; Carraro, M.; Lippe, G. The mitochondrial permeability transition: Recent progress and open questions. FEBS J. 2022, 289, 7051–7074. [Google Scholar] [CrossRef]
- Nath, S. Supercomplex supercomplexes: Raison d’etre and functional significance of supramolecular organization in oxidative phosphorylation. Biomol. Concepts 2022, 13, 272–288. [Google Scholar] [CrossRef]
- Chu, X.-Y.; Xu, Y.-Y.; Tong, X.-Y.; Wang, G.; Zhang, H.-Y. The legend of ATP: From origin of life to precision medicine. Metabolites 2022, 12, 461. [Google Scholar] [CrossRef] [PubMed]
- Callender, R.; Dyer, R.B. Advances in time-resolved approaches to characterize the dynamical nature of enzymatic catalysis. Chem. Rev. 2006, 106, 3031–3042. [Google Scholar] [CrossRef] [PubMed]
- Wang, Q.; Moerner, W.E. An adaptive anti-Brownian electrokinetic trap with real-time information on single-molecule diffusivity and mobility. ACS Nano 2011, 5, 5792–5799. [Google Scholar] [CrossRef]
- Rob, T.; Wilson, D.J. Time-resolved mass spectrometry for monitoring millisecond time-scale solution-phase processes. Eur. J. Mass. Spectrom. 2012, 18, 205–214. [Google Scholar] [CrossRef] [PubMed]
- Clark, T.B.; Ziółkowski, M.; Schatz, G.C.; Goodson, T. Two-photon and time-resolved fluorescence spectroscopy as probes for structural determination in amyloid β-peptides and aggregates. J. Phys. Chem. B 2014, 118, 2351–2359. [Google Scholar] [CrossRef]
- Sielaff, H.; Börsch, M. Twisting and subunit rotation in single FOF1-ATP synthase. Philos. Trans. R. Soc. B 2013, 368, 20120024. [Google Scholar] [CrossRef]
- Krah, A.; Vogelaar, T.; De Jong, S.I.; Claridge, J.K.; Bond, P.J.; McMillan, D. ATP binding by an F1Fo ATP synthase ε subunit is pH subunit, suggesting a diversity of ε subunit functional regulation in bacteria. Front. Mol. Biosci. 2023, 10, 1059673. [Google Scholar] [CrossRef]
- Shah, N.B.; Hutcheon, M.L.; Haarer, B.K.; Duncan, T.M. F1-ATPase of Escherichia coli. The ε-inhibited state forms after ATP hydrolysis, is distinct from the ADP-inhibited state, and responds dynamically to catalytic site ligands. J. Biol. Chem. 2013, 288, 9383–9395. [Google Scholar] [CrossRef]
- Zimmermann, B.; Diez, M.; Zarrabi, N.; Gräber, P.; Börsch, M. Movements of the ε-subunit during catalysis and activation in single membrane-bound H+-ATP synthase. EMBO J. 2005, 24, 2053–2063. [Google Scholar] [CrossRef] [PubMed]
- Huang, H.-L.; Brudwig, G.W. Kinetic modeling of substrate-water exchange in Photosystem II. BBA Adv. 2021, 1, 100014. [Google Scholar] [CrossRef]
- Mehta, R.; Singh, J.; Nath, S. Time-resolved oxygen exchange measurements offer novel mechanistic insights into enzyme-catalyzed ATP synthesis during photophosphorylation. J. Phys. Chem. B. 2020, 124, 5139–5148. [Google Scholar] [CrossRef] [PubMed]
- O’Neal, C.C.; Boyer, P.D. Assessment of the rate of bound substrate interconversion and of ATP acceleration of product release during catalysis by mitochondrial adenosine triphosphatase. J. Biol. Chem. 1984, 259, 5761–5767. [Google Scholar] [CrossRef] [PubMed]
- Boyer, P.D.; Cross, R.L.; Momsen, W. A new concept for energy coupling in oxidative phosphorylation based on a molecular explanation of the oxygen exchange reactions. Proc. Natl. Acad. Sci. USA 1973, 70, 2837–2839. [Google Scholar] [CrossRef]
- Boyer, P.D. The binding change mechanism for ATP synthase—Some probabilities and possibilities. Biochim. Biophys. Acta 1993, 1140, 215–250. [Google Scholar] [CrossRef]
- Boyer, P.D. Catalytic site occupancy during ATP synthase catalysis. FEBS Lett. 2002, 512, 29–32. [Google Scholar] [CrossRef] [PubMed]
- Nath, S.; Rohatgi, H.; Saha, A. The torsional mechanism of energy transfer in ATP synthase. Curr. Sci. 1999, 77, 167–169. [Google Scholar]
- Nath, S.; Rohatgi, H.; Saha, A. The catalytic cycle of ATP synthesis by means of a torsional mechanism. Curr. Sci. 2000, 78, 23–27. [Google Scholar]
- Nath, S.; Jain, S. Breakthroughs and views: Kinetic modeling of ATP synthesis by ATP synthase and its mechanistic implications. Biochem. Biophys. Res. Commun. 2000, 272, 629–633. [Google Scholar] [CrossRef] [PubMed]
- Jain, S.; Murugavel, R.; Hansen, L.D. ATP synthase and the torsional mechanism: Resolving a 50-year-old mystery. Curr. Sci. 2004, 87, 16–19. [Google Scholar]
- Villadsen, J.; Nielsen, J.; Lidén, G. Bioreaction Engineering Principles, 3rd ed.; Springer: New York, NY, USA, 2011; Chapter 4. [Google Scholar]
- Channakeshava, C. New paradigm for ATP synthesis and consumption. J. Biosci. 2011, 36, 3–4. [Google Scholar] [CrossRef]
- Agarwal, B. A role for anions in ATP synthesis and its molecular mechanistic interpretation. J. Bioenerg. Biomembr. 2011, 43, 299–310. [Google Scholar] [CrossRef]
- Agarwal, B. Revisiting the ‘chemiosmotic theory’: Coupled transport of anion and proton for ATP synthesis. Bioenergetics 2013, 2, e116. [Google Scholar] [CrossRef]
- Rao, N.M. Medical Biochemistry, 2nd ed.; New Age International: New Delhi, India, 2014; pp. 280–281. [Google Scholar]
- Wray, V. Commentary on “Oxidative phosphorylation revisited”. Biotechnol. Bioeng. 2015, 112, 1984–1985. [Google Scholar] [CrossRef]
- Ji, S. The Cell Language Theory: Connecting Mind and Matter; World Scientific: Singapore, 2018; Chapter 3. [Google Scholar]
- Levy, W.B.; Calvert, V.G. Communication consumes 35 times more energy than computation in the human cortex, but both costs are needed to predict synapse number. Proc. Natl. Acad. Sci. USA 2021, 118, e2008173118. [Google Scholar] [CrossRef]
- Juretić, D. Bioenergetics: A Bridge across Life and Universe; CRC Press: Boca Raton, FL, USA, 2022. [Google Scholar]
- Hill, R.D.; Boyer, P.D. Inorganic orthophosphate activation and adenosine diphosphate as the primary phosphoryl acceptor in oxidative phosphorylation. J. Biol. Chem. 1967, 242, 4320–4323. [Google Scholar] [CrossRef] [PubMed]
- Penefsky, H.S. Preparation of beef heart mitochondrial ATPase. Methods Enzymol. 1979, 55, 304–308. [Google Scholar] [PubMed]
- Hackney, D.D.; Stempel, K.E.; Boyer, P.D. Oxygen–18 probes of enzymic reactions of phosphate compounds. Methods Enzymol. 1980, 64, 60–83. [Google Scholar]
- Feller, W. An Introduction to Probability Theory and its Applications: Volume I, 3rd ed.; John Wiley: New York, NY, USA, 1968; Chapter 17. [Google Scholar]
- Ross, S.M. Introduction to Probability Models, 10th ed.; Elsevier: Amsterdam, The Netherlands, 2010. [Google Scholar]
- Witkov, C.; Zengel, K. Chi-Squared Data Analysis and Model Testing for Beginners; Oxford University Press: Oxford, UK, 2019. [Google Scholar]
- Nath, S. Consolidation of Nath’s torsional mechanism of ATP synthesis and two-ion theory of energy coupling in oxidative phosphorylation and photophosphorylation. Biophys. Chem. 2020, 257, 106279. [Google Scholar] [CrossRef]
- Allison, W.S. F1-ATPase: A molecular motor that hydrolyzes ATP with sequential opening and closing of catalytic sites coupled to rotation of its γ-subunit. Acc. Chem. Res. 1998, 31, 819–826. [Google Scholar] [CrossRef]
- Ko, Y.H.; Hong, S.; Pedersen, P.L. Chemical mechanism of ATP synthase. J. Biol. Chem. 1999, 274, 28853–28856. [Google Scholar] [CrossRef] [PubMed]
- Chen, C.; Saxena, A.K.; Simcoke, W.N.; Garboczi, D.N.; Pedersen, P.L.; Ko, Y.H. Mitochondrial ATP synthase: Crystal structure of the catalytic F1 unit in a vanadate-induced transition-like state and implications for mechanism. J. Biol. Chem. 2006, 281, 13777–13783. [Google Scholar] [CrossRef]
- Nath, S. Beyond the chemiosmotic theory: Analysis of key fundamental aspects of energy coupling in oxidative phosphorylation in the light of a torsional mechanism of energy transduction and ATP synthesis—Invited review part 1. J. Bioenerg. Biomembr. 2010, 42, 293–300. [Google Scholar] [CrossRef]
- Nath, S. Beyond the chemiosmotic theory: Analysis of key fundamental aspects of energy coupling in oxidative phosphorylation in the light of a torsional mechanism of energy transduction and ATP synthesis—Invited review part 2. J. Bioenerg. Biomembr. 2010, 42, 301–309. [Google Scholar] [CrossRef]
- Nath, S. The torsional mechanism of energy transduction and ATP synthesis as a breakthrough in our understanding of the mechanistic, kinetic and thermodynamic details. Thermochim. Acta 2004, 422, 5–17. [Google Scholar] [CrossRef]
- Nath, S. The thermodynamic efficiency of ATP synthesis in oxidative phosphorylation. Biophys. Chem. 2016, 219, 69–74. [Google Scholar] [CrossRef] [PubMed]
- Nath, S. The need for consistency with physical laws and logic in choosing between competing molecular mechanisms in biological processes: A case study in modeling ATP synthesis. Function 2022, 3, zqac054. [Google Scholar] [CrossRef] [PubMed]
- Nath, S. Molecular mechanistic insights into coupling of ion transport to ATP synthesis. Biophys. Chem. 2018, 241, 20–26. [Google Scholar] [CrossRef]
- Nath, S. Molecular mechanistic insights into uncoupling of ion transport from ATP synthesis. Biophys. Chem. 2018, 242, 15–21. [Google Scholar] [CrossRef] [PubMed]
- Nath, S. Beyond binding change: The molecular mechanism of ATP hydrolysis by F1-ATPase and its biochemical consequences. Front. Chem. 2023, 11, 1058500. [Google Scholar] [CrossRef]
- Yasuda, R.; Noji, H.; Yoshida, M.; Kinosita, K.; Itoh, H. Resolution of distinct rotational substeps by submillisecond kinetic analysis of F1-ATPase. Nature 2001, 410, 898–904. [Google Scholar] [CrossRef] [PubMed]
- Nishizaka, T.; Oiwa, K.; Noji, H.; Kimura, S.; Muneyuki, E.; Kinosita, K.; Yoshida, M. Chemomechanical coupling in F1-ATPase revealed by simultaneous observation of nucleotide kinetics and rotation. Nat. Struct. Mol. Biol. 2004, 11, 142–148. [Google Scholar] [CrossRef]
- Adachi, K.; Oiwa, K.; Nishizaka, T.; Furuike, S.; Noji, H.; Ito, H.; Yoshida, M.; Kinosita, K. Coupling of rotation and catalysis in F1-ATPase revealed by single-molecule imaging and manipulation. Cell 2007, 130, 309–321. [Google Scholar] [CrossRef]
- Suzuki, T.; Tanaka, K.; Wakabayashi, C.; Saita, E.; Yoshida, M. Chemomechanical coupling of human mitochondrial F1-ATPase motor. Nat. Chem. Biol. 2014, 10, 930–936. [Google Scholar] [CrossRef]
- Weber, J.; Senior, A.E. Bi-site catalysis in F1-ATPase: Does it exist? J. Biol. Chem. 2001, 276, 35422–35428. [Google Scholar] [CrossRef]
- Rees, D.M.; Montgomery, M.G.; Leslie, A.G.W.; Walker, J.E. Structural evidence of a new catalytic intermediate in the pathway of ATP hydrolysis by F1-ATPase from bovine heart mitochondria. Proc. Natl. Acad. Sci. USA 2012, 109, 11139–11143. [Google Scholar] [CrossRef]
- Rastogi, K.; Puliyakodan, M.S.; Pandey, V.; Nath, S.; Elangovan, R. Maximum limit to the number of myosin II motors participating in processive sliding of actin. Sci. Rep. 2016, 6, 32043. [Google Scholar] [CrossRef]
- Trentham, D.R.; Eccleston, J.F.; Bagshaw, C.R. Kinetic analysis of ATPase mechanisms. Q. Rev. Biophys. 1976, 9, 217–281. [Google Scholar] [CrossRef] [PubMed]
- Goldman, Y.E. Kinetics of the actomyosin ATPase in muscle fibers. Annu. Rev. Physiol. 1987, 49, 637–654. [Google Scholar] [CrossRef]
- Yount, R.G.; Lawson, D.; Rayment, I. Is myosin a “back door” enzyme? Biophys. J. 1995, 68, 44s−49s. [Google Scholar]
- Kagawa, R.; Montgomery, M.G.; Braig, K.; Leslie, A.G.W.; Walker, J.E. The structure of bovine F1-ATPase inhibited by ADP and beryllium fluoride. EMBO J. 2004, 23, 2734–2744. [Google Scholar] [CrossRef] [PubMed]
- Weber, J.; Wilke-Mounts, S.; Lee, R.S.-F.; Grell, E.; Senior, A.E. Specific placement of tryptophan in the catalytic sites of Escherichia coli F1-ATPase provides a direct probe of nucleotide binding: Maximal ATP hydrolysis occurs with three sites occupied. J. Biol. Chem. 1993, 268, 20126–20133. [Google Scholar] [CrossRef]
- Weber, J.; Bowman, C.; Senior, A.E. Specific tryptophan substitution in catalytic sites of Escherichia coli F1-ATPase allows differentiation between bound substrate ATP and product ADP in steady-state catalysis. J. Biol. Chem. 1996, 271, 18711–18718. [Google Scholar] [CrossRef]
- Löbau, S.; Weber, J.; Senior, A.E. Catalytic site nucleotide binding and hydrolysis in F1Fo-ATP synthase. Biochemistry 1998, 37, 10846–10853. [Google Scholar] [CrossRef]
- Mukherjee, S.; Warshel, A. Electrostatic origin of the mechanochemical rotary mechanism and the catalytic dwell of F1-ATPase. Proc. Natl. Acad. Sci. USA 2011, 108, 20550–20555. [Google Scholar] [CrossRef]
- Oster, G.; Wang, H. Reverse engineering a protein: The mechanochemistry of ATP synthase. Biochim. Biophys. Acta 2000, 1458, 482–510. [Google Scholar] [CrossRef] [PubMed]
- Cross, R.L.; Duncan, T.M. Subunit rotation in F0F1-ATP synthases as a means of coupling proton transport through F0 to the binding changes in F1. J. Bioenerg. Biomembr. 1996, 28, 403–408. [Google Scholar] [CrossRef] [PubMed]
- Cross, R.L.; Nalin, C.M. Adenine nucleotide binding sites on beef heart F1-ATPase: Evidence for three exchangeable sites that are distinct from three noncatalytic sites. J. Biol. Chem. 1982, 257, 2874–2881. [Google Scholar] [CrossRef] [PubMed]
- Cross, R.L.; Grubmeyer, C.; Penefsky, H.S. Mechanism of ATP hydrolysis by beef heart mitochondrial ATPase: Rate enhancements resulting from cooperative interactions between multiple catalytic sites. J. Biol. Chem. 1982, 257, 12101–12105. [Google Scholar] [CrossRef]
- Nath, S. Charge transfer across biomembranes: A solution to the conundrum of high desolvation free energy penalty in ion transport. Biophys. Chem. 2021, 275, 106604. [Google Scholar] [CrossRef]
- Wray, V. Elucidating a complex mechanism: Perspective on “Beyond binding change: The molecular mechanism of ATP hydrolysis by F1-ATPase and its biochemical consequences”. Function 2023, 4, zqad051. [Google Scholar] [CrossRef]











Disclaimer/Publisher’s Note: The statements, opinions and data contained in all publications are solely those of the individual author(s) and contributor(s) and not of MDPI and/or the editor(s). MDPI and/or the editor(s) disclaim responsibility for any injury to people or property resulting from any ideas, methods, instructions or products referred to in the content. |
© 2023 by the author. Licensee MDPI, Basel, Switzerland. This article is an open access article distributed under the terms and conditions of the Creative Commons Attribution (CC BY) license (https://creativecommons.org/licenses/by/4.0/).
Share and Cite
Nath, S. Elucidating Events within the Black Box of Enzyme Catalysis in Energy Metabolism: Insights into the Molecular Mechanism of ATP Hydrolysis by F1-ATPase. Biomolecules 2023, 13, 1596. https://doi.org/10.3390/biom13111596
Nath S. Elucidating Events within the Black Box of Enzyme Catalysis in Energy Metabolism: Insights into the Molecular Mechanism of ATP Hydrolysis by F1-ATPase. Biomolecules. 2023; 13(11):1596. https://doi.org/10.3390/biom13111596
Chicago/Turabian StyleNath, Sunil. 2023. "Elucidating Events within the Black Box of Enzyme Catalysis in Energy Metabolism: Insights into the Molecular Mechanism of ATP Hydrolysis by F1-ATPase" Biomolecules 13, no. 11: 1596. https://doi.org/10.3390/biom13111596
APA StyleNath, S. (2023). Elucidating Events within the Black Box of Enzyme Catalysis in Energy Metabolism: Insights into the Molecular Mechanism of ATP Hydrolysis by F1-ATPase. Biomolecules, 13(11), 1596. https://doi.org/10.3390/biom13111596

